Regarding Bioanalysis Lasting a Few Minutes: Automated Cooling-SPME and Fast-GC for Urinary 2-Phenyl-2-Propanol Monitoring
Abstract
1. Introduction
2. Materials and Methods
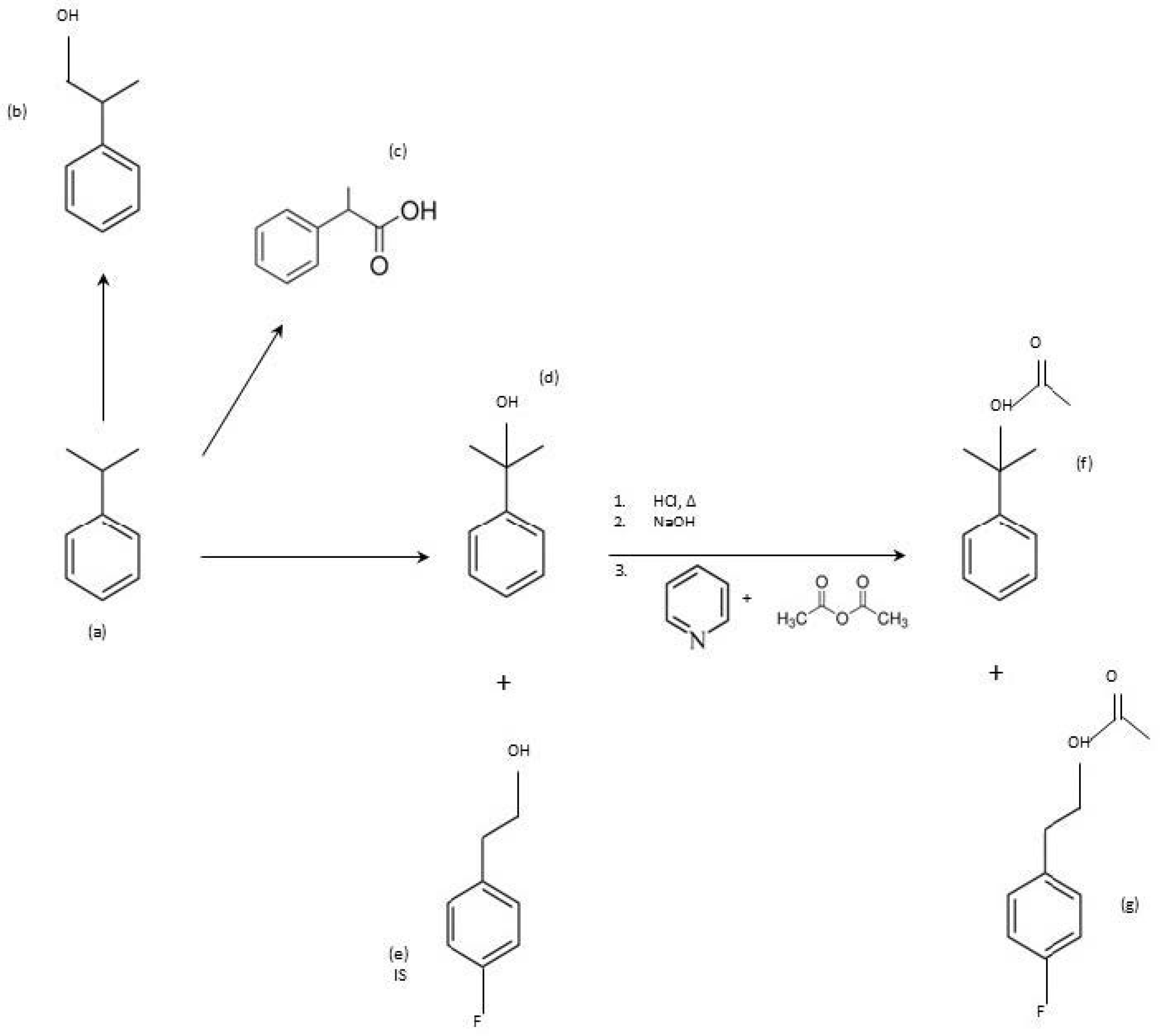
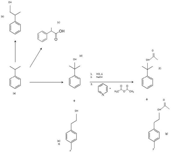
2.1. Chemical and Reagents
2.2. Sample Preparation by Fully Automated Procedure
2.3. Online Robotic System
2.4. Calibration Levels
2.5. GC–MS Operating Conditions
2.6. Heat Transfer Theory and LTPRI
2.7. Experimental Design Data Analysis
2.8. Greenness Method Evaluation
2.9. Method Performance Evaluation
3. Results and Discussion
3.1. SPME Heat Transfer Theory and LTPRI Calculation
3.2. Experimental Design
3.3. Green Analytical Protocol Index (GAPI) and Method Comparison
3.4. Method Performances
4. Conclusions
Supplementary Materials
Author Contributions
Funding
Institutional Review Board Statement
Informed Consent Statement
Data Availability Statement
Conflicts of Interest
Abbreviations
References
- Some Chemicals Present in Industrial and Consumer Products, Food and Drinking-Water. Available online: https://www.ncbi.nlm.nih.gov/books/NBK373179/ (accessed on 20 May 2024).
- Harmonised Classification—Annex VI of Regulation (EC) (CLP Regulation). Available online: https://echa.europa.eu/it/information-on-chemicals/cl-inventory-database/-/discli/details/132275 (accessed on 20 May 2024).
- Carc and Muta Directive, Annex 1—Substances, Mixtures & Processes. Available online: https://echa.europa.eu/it/carcinogens-mutagens-dir-2004-37 (accessed on 20 May 2024).
- Commissione Europea. Direttiva (UE) 2019/1831 del 24 Ottobre 2019 sui Valori Limite di Esposizione Professionale. Gazzetta Ufficiale dell’Unione Europea, L279. 2019, Volume 62, pp. 42–77. Available online: http://data.europa.eu/eli/dir/2019/1831/oj (accessed on 20 May 2024).
- Cumene: WHO International Chemical Safety Cards. Available online: https://www.ilo.org/dyn/icsc/showcard.display?p_lang=en&p_card_id=0170&p_version=2 (accessed on 20 May 2024).
- Cumene. CDC-Immediately Dangerous to Life or Health Concentration (IDLH). Available online: https://www.cdc.gov/niosh/idlh/98828.html (accessed on 20 May 2024).
- Cumene. Available online: https://www.acgih.org/cumene/ (accessed on 20 May 2024).
- Knecht, U. 2-Phenyl-2-propanol in urine. In The MAK-Collection for Occupational Health and Safety, 1st ed.; Deutsche Forschungsgemeinschaft and Commission for the Investigation of Health Hazards of Chemical Compounds in the Work Area, Ed.; Wiley: Oxford, UK, 2013; pp. 163–178. [Google Scholar] [CrossRef]
- Jankowska, A.; Czerczak, S. Cumene Documentation of proposed values of occupationalexposure limits (OELs). Podstawy Metody Oceny Śr. Pr. 2017, 33, 63–95. [Google Scholar] [CrossRef]
- SCOEL/REC/029 2-Phenylpropane (Cumene): Recommendation from the Scientific Committee on Occupational Exposure Limits: Corrigendum. Available online: https://data.europa.eu/doi/10.2767/120149 (accessed on 20 May 2024).
- Goenechea, S.; Olek, K.; Wardenbach, P. Simultaneous gas chromatographic determination of the cumene metabolites 2-phenylpropanol-1 and 2-phenylpropanol-2 in urine. J. Chromatogr. A 1978, 154, 282–284. [Google Scholar] [CrossRef] [PubMed]
- Handbook of Reagents for Organic Synthesis; Wiley: Chichester, UK; New York, NY, USA, 1999.
- Heravi, M.M.; Behbahani, F.K.; Bamoharram, F.F. H14[NaP5W30O110]: A heteropoly acid catalyzed acetylation of alcohols and phenols in acetic anhydride. J. Mol. Catal. Chem. 2006, 253, 16–19. [Google Scholar] [CrossRef]
- Ye, F.; Yan, X.; Xu, J.; Chen, H. Determination of aldoses and ketoses by GC-MS using differential derivatisation. Phytochem. Anal. 2006, 17, 379–383. [Google Scholar] [CrossRef]
- Biermann, C.J.; McGinnis, G.D. Analysis of Carbohydrates by GLC and MS, 1st ed.; CRC Press: Boca Raton, FL, USA, 1988. [Google Scholar]
- Bergo, P.L.D.S.; Correa, J.M.; Nagem, T.J.; Augusti, R.; Nascentes, C.C. Simultaneous quantification of amphetamines and ephedrines in urine by GC/MS using analytical-grade acetic anhydride/pyridine as derivatizing reagents: A suitable approach to reduce costs of routine analyses. J. Braz. Chem. Soc. 2009, 20, 348–359. [Google Scholar] [CrossRef]
- Coutts, R.T.; Hargesheimer, E.E.; Pasutto, F.M. Application of a direct aqueous acetylation technique to the gas chromatographic quantitation of nitrophenols and 1-naphthol in environmental water samples. J. Chromatogr. A 1980, 195, 105–112. [Google Scholar] [CrossRef]
- Dugheri, S.; Mucci, N.; Cappelli, G.; Trevisani, L.; Bonari, A.; Bucaletti, E.; Squillaci, D.; Arcangeli, G. Advanced Solid-Phase Microextraction Techniques and Related Automation: A Review of Commercially Available Technologies. J. Anal. Methods Chem. 2022, 2022, 1–15. [Google Scholar] [CrossRef]
- Arthur, C.L.; Pawliszyn, J. Solid phase microextraction with thermal desorption using fused silica optical fibers. Anal. Chem. 1990, 62, 2145–2148. [Google Scholar] [CrossRef]
- Dugheri, S.; Bonari, A.; Gentili, M.; Cappelli, G.; Pompilio, I.; Bossi, C.; Arcangeli, G.; Campagna, M.; Mucci, N. High-Throughput Analysis of Selected Urinary Hydroxy Polycyclic Aromatic Hydrocarbons by an Innovative Automated Solid-Phase Microextraction. Molecules 2018, 23, 1869. [Google Scholar] [CrossRef]
- Dugheri, S.; Pizzella, G.; Mucci, N.; Bonari, A.; Cappelli, G.; Santillo, M.; Rainaldi, I.; Pompilio, I.; Carrara, M.; Rapisarda, V.; et al. Low-Dose Benzene Exposure Monitoring of Oil Refinery Workers: Inhalation and Biomarkers. Atmosphere 2022, 13, 450. [Google Scholar] [CrossRef]
- Pacenti, M.; Dugheri, S.; Gagliano-Candela, R.; Strisciullo, G.; Franchi, E.; Degli Esposti, F.; Perchiazzi, N.; Boccalon, P.; Arcangeli, G.; Cupelli, V. Analysis of 2-Chloroacetophenone in air by multi-fiber solid-phase microextraction and fast gas chromatography-mass spectrometry. Acta Chromatogr. 2009, 21, 379–397. [Google Scholar] [CrossRef]
- Maštovská, K.; Lehotay, S.J. Practical approaches to fast gas chromatography–mass spectrometry. J. Chromatogr. A. 2003, 1000, 153–180. [Google Scholar] [CrossRef] [PubMed]
- Deng, C.; Li, N.; Zhu, W.; Qian, J.; Yang, X.; Zhang, X. Rapid determination of C6-aldehydes in tomato plant emission by gas chromatography-mass spectrometry and solid-phase microextraction with on-fiber derivatization. J. Sep. Sci. 2005, 28, 172–176. [Google Scholar] [CrossRef] [PubMed]
- Pacenti, M.; Dugheri, S.; Traldi, P.; Degli Esposti, F.; Perchiazzi, N.; Franchi, E.; Calamante, M.; Kikic, I.; Alessi, P.; Bonacchi, A.; et al. New Automated and High-Throughput Quantitative Analysis of Urinary Ketones by Multifiber Exchange-Solid Phase Microextraction Coupled to Fast Gas Chromatography/Negative Chemical-Electron Ionization/Mass Spectrometry. J. Autom. Methods Manag. Chem. 2010, 2010, 1–13. [Google Scholar] [CrossRef]
- Xu, S.; Li, H.; Wu, H.; Xiao, L.; Dong, P.; Feng, S.; Fan, J. A facile cooling-assisted solid-phase microextraction device for solvent-free sampling of polycyclic aromatic hydrocarbons from soil based on matrix solid-phase dispersion technique. Anal. Chim. Acta 2020, 1115, 7–15. [Google Scholar] [CrossRef]
- Ghiasvand, A.R.; Hosseinzadeh, S.; Pawliszyn, J. New cold-fiber headspace solid-phase microextraction device for quantitative extraction of polycyclic aromatic hydrocarbons in sediment. J. Chromatogr. A 2006, 1124, 35–42. [Google Scholar] [CrossRef]
- Chai, X.; Jia, J.; Sun, T.; Wang, Y.; Liao, L. Application of a novel cold activated carbon fiber-solid phase microextraction for analysis of organochlorine pesticides in soil. J. Environ. Sci. Health Part B 2007, 42, 629–634. [Google Scholar] [CrossRef]
- Dugheri, S.; Cappelli, G.; Fanfani, N.; Ceccarelli, J.; Marrubini, G.; Squillaci, D.; Traversini, V.; Gori, R.; Mucci, N.; Arcangeli, G. A New Perspective on SPME and SPME Arrow: Formaldehyde Determination by On-Sample Derivatization Coupled with Multiple and Cooling-Assisted Extractions. Molecules 2023, 28, 5441. [Google Scholar] [CrossRef]
- Koster, E.H.M.; De Jong, G.J. Multiple solid-phase microextraction. J. Chromatogr. A. 2000, 878, 27–33. [Google Scholar] [CrossRef]
- Carasek, E.; Pawliszyn, J. Screening of Tropical Fruit Volatile Compounds Using Solid-Phase Microextraction (SPME) Fibers and Internally Cooled SPME Fiber. J. Agric. Food Chem. 2006, 54, 8688–8696. [Google Scholar] [CrossRef]
- Ghiasvand, A.R.; Setkova, L.; Pawliszyn, J. Determination of flavour profile in Iranian fragrant rice samples using cold-fibre SPME–GC–TOF–MS. Flavour Fragr. J. 2007, 22, 377–391. [Google Scholar] [CrossRef]
- Haddadi, S.H.; Niri, V.H.; Pawliszyn, J. Study of desorption kinetics of polycyclic aromatic hydrocarbons (PAHs) from solid matrices using internally cooled coated fiber. Anal. Chim. Acta 2009, 652, 224–230. [Google Scholar] [CrossRef] [PubMed]
- Banitaba, M.H.; Davarani, S.S.H.; Movahed, S.K. Comparison of direct, headspace and headspace cold fiber modes in solid phase microextraction of polycyclic aromatic hydrocarbons by a new coating based on poly(3,4-ethylenedioxythiophene)/graphene oxide composite. J. Chromatogr. A 2014, 1325, 23–30. [Google Scholar] [CrossRef] [PubMed]
- Pati, S.; Tufariello, M.; Crupi, P.; Coletta, A.; Grieco, F.; Losito, I. Quantification of Volatile Compounds in Wines by HS-SPME-GC/MS: Critical Issues and Use of Multivariate Statistics in Method Optimization. Processes 2021, 9, 662. [Google Scholar] [CrossRef]
- Saison, D.; De Schutter, D.P.; Delvaux, F.; Delvaux, F.R. Determination of carbonyl compounds in beer by derivatisation and headspace solid-phase microextraction in combination with gas chromatography and mass spectrometry. J. Chromatogr. A 2009, 1216, 5061–5068. [Google Scholar] [CrossRef]
- Marrubini, G.; Dugheri, S.; Cappelli, G.; Arcangeli, G.; Mucci, N.; Appelblad, P.; Melzi, C.; Speltini, A. Experimental designs for solid-phase microextraction method development in bioanalysis: A review. Anal. Chim. Acta 2020, 1119, 77–100. [Google Scholar] [CrossRef]
- Płotka-Wasylka, J. A new tool for the evaluation of the analytical procedure: Green Analytical Procedure Index. Talanta 2018, 181, 204–209. [Google Scholar] [CrossRef]
- Louch, D.; Motlagh, S.; Pawliszyn, J. Dynamics of organic compound extraction from water using liquid-coated fused silica fibers. Anal. Chem. 1992, 64, 1187–1199. [Google Scholar] [CrossRef]
- Wardencki, W.; Orlita, J.; Namieśnik, J. Comparison of extraction techniques for gas chromatographic determination of volatile carbonyl compounds in alcohols. Anal. Bioanal. Chem. 2001, 369, 661–665. [Google Scholar] [CrossRef]
- Zhang, Z.; Pawliszyn, J. Headspace solid-phase microextraction. Anal. Chem. 1993, 65, 1843–1852. [Google Scholar] [CrossRef]
- Pacenti, M.; Dugheri, S.; Villanelli, F.; Bartolucci, G.; Calamai, L.; Boccalon, P.; Arcangeli, G.; Vecchione, F.; Alessi, P.; Kikic, I.; et al. Determination of organic acids in urine by solid-phase microextraction and gas chromatography–ion trap tandem mass spectrometry previous ‘in sample’ derivatization with trimethyloxonium tetrafluoroborate. Biomed. Chromatogr. 2008, 22, 1155–1163. [Google Scholar] [CrossRef] [PubMed]
- Martos, P.A.; Saraullo, A.; Pawliszyn, J. Estimation of Air/Coating Distribution Coefficients for Solid Phase Microextraction Using Retention Indexes from Linear Temperature-Programmed Capillary Gas Chromatography. Application to the Sampling and Analysis of Total Petroleum Hydrocarbons in Air. Anal. Chem. 1997, 69, 402–408. [Google Scholar] [CrossRef] [PubMed]
- CAT (Chemometric Agile Tool). Available online: http://gruppochemiometria.it/index.php/software (accessed on 20 May 2024).
- Brugnone, F.; Perbellini, L.; Faccini, G.B.; Pasini, F.; Maranelli, G.; Romeo, L.; Gobbi, M.; Zedde, A. Breath and blood levels of benzene, toluene, cumene and styrene in non-occupational exposure. Int. Arch. Occup. Environ. Health 1989, 61, 303–311. [Google Scholar] [CrossRef] [PubMed]
- Buchholz, K.D.; Pawliszyn, J. Optimization of solid-phase microextraction conditions for determination of phenols. Anal. Chem. 1994, 66, 160–167. [Google Scholar] [CrossRef]
- Mattarozzi, M.; Musci, M.; Careri, M.; Mangia, A.; Fustinoni, S.; Campo, L.; Bianchi, F. A novel headspace solid-phase microextraction method using in situ derivatization and a diethoxydiphenylsilane fibre for the gas chromatography–mass spectrometry determination of urinary hydroxy polycyclic aromatic hydrocarbons. J. Chromatogr. A 2009, 1216, 5634–5639. [Google Scholar] [CrossRef]
- Shao, Y.; Marriott, P.; Hügel, H. Solid-phase microextraction—On-fibre derivatization with comprehensive two dimensional gas chromatography analysis oftrans-resveratrol in wine. Chromatographia 2003, 57, S349–S353. [Google Scholar] [CrossRef]
- Li, S.; Feng, S.; Van Schepdael, A.; Wang, X. Hollow fiber membrane-protected amino/hydroxyl bifunctional microporous organic network fiber for solid-phase microextraction of bisphenols A, F, S, and triclosan in breast milk and infant formula. Food Chem. 2022, 390, 133217. [Google Scholar] [CrossRef]
- Wu, T.; Zang, X.; Wang, M.; Chang, Q.; Wang, C.; Wu, Q.; Wang, Z. Covalent Organic Framework as Fiber Coating for Solid-Phase Microextraction of Chlorophenols Followed by Quantification with Gas Chromatography–Mass Spectrometry. J. Agric. Food Chem. 2018, 66, 11158–11165. [Google Scholar] [CrossRef]
- Wang, C.-H.; Su, H.; Chou, J.-H.; Lin, J.-Y.; Huang, M.-Z.; Lee, C.-W.; Shiea, J. Multiple solid phase microextraction combined with ambient mass spectrometry for rapid and sensitive detection of trace chemical compounds in aqueous solution. Anal. Chim. Acta. 2020, 1107, 101–106. [Google Scholar] [CrossRef]
- Pérez-Olivero, S.J.; Pérez-Pont, M.L.; Conde, J.E.; Pérez-Trujillo, J.P. Determination of Lactones in Wines by Headspace Solid-Phase Microextraction and Gas Chromatography Coupled with Mass Spectrometry. J. Anal. Methods Chem. 2014, 2014, 863019. [Google Scholar] [CrossRef]
- Keith, L.H.; Gron, L.U.; Young, J.L. Green Analytical Methodologies. Chem. Rev. 2007, 107, 2695–2708. [Google Scholar] [CrossRef] [PubMed]
- Gałuszka, A.; Migaszewski, Z.M.; Konieczka, P.; Namieśnik, J. Analytical Eco-Scale for assessing the greenness of analytical procedures. TrAC Trends Anal. Chem. 2012, 37, 61–72. [Google Scholar] [CrossRef]
- Hicks, M.B.; Farrell, W.; Aurigemma, C.; Lehmann, L.; Weisel, L.; Nadeau, K.; Lee, H.; Moraff, C.; Wong, M.; Huang, Y.; et al. Making the move towards modernized greener separations: Introduction of the analytical method greenness score (AMGS) calculator. Green Chem. 2019, 21, 1816–1826. [Google Scholar] [CrossRef]
- Byrne, F.P.; Jin, S.; Paggiola, G.; Petchey, T.H.M.; Clark, J.H.; Farmer, T.J.; Hunt, A.J.; McElroy, C.R.; Sherwood, J. Tools and techniques for solvent selection: Green solvent selection guides. Sustain. Chem. Process. 2016, 4, 7. [Google Scholar] [CrossRef]
- Tietje, C.; Brouder, A. Handbook of Transnational Economic Governance Regimes; Brill|Nijhoff: Leiden, The Netherlands, 2009. [Google Scholar] [CrossRef]





| Experimental Matrix | Experimental Plan | |||
|---|---|---|---|---|
| Exp# | X1 | X2 | SPME Fiber Thickness | HS Sampling Temperature |
| 1 | −1 | −1 | 7 µm | 60 °C |
| 2 | 0 | −1 | 30 µm | 60 °C |
| 3 | 1 | −1 | 100 µm | 60 °C |
| 4 | −1 | 1 | 7 µm | 10 °C |
| 5 | 0 | 1 | 30 µm | 10 °C |
| 6 | 1 | 1 | 100 µm | 10 °C |
| K1 = Kow/K2 | Henry’s Constant (atm m3/mol) | K2 (=KH/RT) | Kow (log) | teq (min) | n (ng) C0 = 0.3 mg/L Static HS SPME | n (ng) C0 = 0.3 mg/L | n (ng) C0 = 0.3 mg/L | |
|---|---|---|---|---|---|---|---|---|
| 60 °C | 3.95 × 104 | 5.25 × 10−4 | 1.92 × 10−2 | 2.88 | 38 | 120 | 99 a | 21 b |
| 10 °C | 4.23 × 105 | 5.58 × 105 | 2.40 × 10−3 | 3.41 | 14 | 148 | 167 a | 53 c |
| R2 | Slope | Intercept |
|---|---|---|
| 0.991 | 210,501 | 151,459 |
| LOD (mg/L) | LOQ (mg/L) | RSD % | Recovery (%) | Accuracy (%) | R2 | |||
|---|---|---|---|---|---|---|---|---|
| 0.3 mg/L | 1 mg/L | 0.3 mg/L | 1 mg/L | 10 mg/L | ||||
| 0.034 | 0.10 | 4.38 | 4.12 | 92.1 | 95.7 | 96.0 | 93.6 | 0.991 |
Disclaimer/Publisher’s Note: The statements, opinions and data contained in all publications are solely those of the individual author(s) and contributor(s) and not of MDPI and/or the editor(s). MDPI and/or the editor(s) disclaim responsibility for any injury to people or property resulting from any ideas, methods, instructions or products referred to in the content. |
© 2024 by the authors. Licensee MDPI, Basel, Switzerland. This article is an open access article distributed under the terms and conditions of the Creative Commons Attribution (CC BY) license (https://creativecommons.org/licenses/by/4.0/).
Share and Cite
Dugheri, S.; Fanfani, N.; Cappelli, G.; Marigliano, A.; Bucaletti, E.; Squillaci, D.; Rapi, I.; Venturini, L.; Pizzella, G.; Manetta, S.; et al. Regarding Bioanalysis Lasting a Few Minutes: Automated Cooling-SPME and Fast-GC for Urinary 2-Phenyl-2-Propanol Monitoring. Toxics 2024, 12, 743. https://doi.org/10.3390/toxics12100743
Dugheri S, Fanfani N, Cappelli G, Marigliano A, Bucaletti E, Squillaci D, Rapi I, Venturini L, Pizzella G, Manetta S, et al. Regarding Bioanalysis Lasting a Few Minutes: Automated Cooling-SPME and Fast-GC for Urinary 2-Phenyl-2-Propanol Monitoring. Toxics. 2024; 12(10):743. https://doi.org/10.3390/toxics12100743
Chicago/Turabian StyleDugheri, Stefano, Niccolò Fanfani, Giovanni Cappelli, Antonio Marigliano, Elisabetta Bucaletti, Donato Squillaci, Ilaria Rapi, Lorenzo Venturini, Giulia Pizzella, Sara Manetta, and et al. 2024. "Regarding Bioanalysis Lasting a Few Minutes: Automated Cooling-SPME and Fast-GC for Urinary 2-Phenyl-2-Propanol Monitoring" Toxics 12, no. 10: 743. https://doi.org/10.3390/toxics12100743
APA StyleDugheri, S., Fanfani, N., Cappelli, G., Marigliano, A., Bucaletti, E., Squillaci, D., Rapi, I., Venturini, L., Pizzella, G., Manetta, S., Pavone, A., Secchi, M., Rainaldi, I., & Mucci, N. (2024). Regarding Bioanalysis Lasting a Few Minutes: Automated Cooling-SPME and Fast-GC for Urinary 2-Phenyl-2-Propanol Monitoring. Toxics, 12(10), 743. https://doi.org/10.3390/toxics12100743

