Due to scheduled maintenance work on our servers, there may be short service disruptions on this website between 11:00 and 12:00 CEST on March 28th.
Sign in to use this feature.

Years

Between: -

Subjects

remove_circle_outline
remove_circle_outline
remove_circle_outline
remove_circle_outline
remove_circle_outline
remove_circle_outline
remove_circle_outline
remove_circle_outline
remove_circle_outline

Journals

remove_circle_outline
remove_circle_outline
remove_circle_outline
remove_circle_outline
remove_circle_outline
remove_circle_outline
remove_circle_outline
remove_circle_outline
remove_circle_outline

Article Types

Countries / Regions

remove_circle_outline
remove_circle_outline
remove_circle_outline
remove_circle_outline

Search Results (1,744)

Search Parameters:
Keywords = SPME

Order results
Result details
Results per page
Select all
Export citation of selected articles as:
16 pages, 943 KB  
Article
Evolution of Sensory Properties of Extra Virgin Olive Oil with Different Levels of Total Polyphenols During Daily Consumption
by Rosanna Donnarumma, Andrea Balivo, Maria Luisa Ambrosino, Lucia De Luca, Alessandro Genovese and Raffaele Sacchi
Appl. Sci. 2026, 16(7), 3183; https://doi.org/10.3390/app16073183 - 26 Mar 2026
Abstract
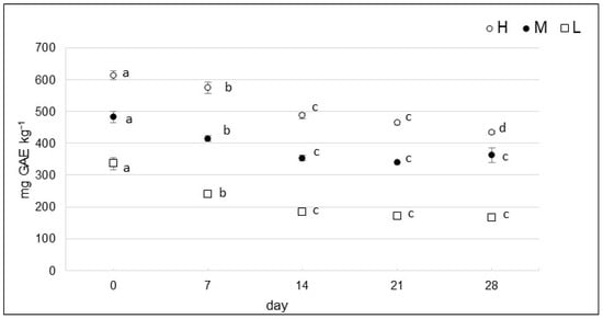
This study investigated the sensory and chemical properties of extra virgin olive oil (EVOO) under simulated domestic consumption conditions. EVOO with different polyphenol contents was analyzed and stored in the dark and at room temperature (20 °C) to simulate typical household storage and [...] Read more.
This study investigated the sensory and chemical properties of extra virgin olive oil (EVOO) under simulated domestic consumption conditions. EVOO with different polyphenol contents was analyzed and stored in the dark and at room temperature (20 °C) to simulate typical household storage and consumption. The volume of the bottles at the beginning was 1 L, from which 20 mL was taken daily from the same bottle for a period of one month. Chemical and sensory analyses were performed at the beginning and at the end of the experiment, whereas total polyphenol content and volatile organic compounds (VOCs) were analyzed at 7-day intervals. The results revealed a progressive reduction in total phenolic compounds, with a more pronounced decline in the sample initially characterized by a lower phenolic content. GC/MS analysis showed an increase in aldehydes such as trans, trans-2,4-octadienal, hexanal and nonanal, as well as in acetic acid and 1-octen-3-ol during a one-month period. These chemical changes were accompanied by a slight attenuation in the herbaceous sensory descriptors of EVOOs by the end of the simulated household consumption period. This suggests that choosing EVOOs with a higher phenolic content, in addition to their recognized nutritional benefits, can offer greater protection by slowing oxidative reactions and better preserving the quality of the oil during domestic use. Full article
(This article belongs to the Section Food Science and Technology)
Show Figures

Figure 1

15 pages, 3212 KB  
Article
Investigating the Impact of Different Drying Methods on the Aroma of Citri Reticulatae Pericarpium Using GC–MS/GC–IMS and E-Nose Technology
by Aygul Alim, Chengfei Huang, Xin Zhao, Saren Gaowa, Runrong Zhang, Junrong Zhang, Xueqing Zhang, Yuanbao Jin and Wenzhong Hu
Foods 2026, 15(7), 1117; https://doi.org/10.3390/foods15071117 - 24 Mar 2026
Viewed by 93
Abstract
Drying and storage conditions play a critical role in shaping the quality of aged citrus peel. This study investigated the effects of different processing strategies on the volatile composition, microstructure, and sensory characteristics of five-year-aged Citrus Reticulata ‘Chachi’ Peel (CRP). Four treatments were [...] Read more.
Drying and storage conditions play a critical role in shaping the quality of aged citrus peel. This study investigated the effects of different processing strategies on the volatile composition, microstructure, and sensory characteristics of five-year-aged Citrus Reticulata ‘Chachi’ Peel (CRP). Four treatments were evaluated using SPME/GC–MS, GC–IMS, electronic nose analysis, sensory assessment, scanning electron microscopy (SEM), and multivariate statistical tools. GC–IMS identified 96 volatile compounds, demonstrating that aging combined with varied drying–storage conditions promoted the formation of diverse aroma-active substances. Terpenes and related compounds predominated, with the indoor-dried and warehouse-stored XH sample showing significantly higher concentrations of key terpenoids and sesquiterpenes, including α-terpineol, γ-muurolene, germacrene, β-selinenol, α-farnesene, and nerolidol. These compounds contributed to enhanced citrus, floral, fruity, and woody notes. Principal component analysis of electronic nose data (93.46% cumulative variance) clearly distinguished XH from other samples. Sensory results supported instrumental findings, indicating stronger fruity and sweet attributes in XH and C, while sun-dried samples exhibited more hay-like characteristics. SEM revealed better structural integrity in indoor-dried samples, potentially facilitating volatile retention. Overall, indoor drying and controlled storage improved aroma complexity and sensory quality, providing a scientific basis for optimized CRP processing. Full article
(This article belongs to the Special Issue Sensory Detection and Analysis in Food Industry)
Show Figures

Figure 1

17 pages, 3154 KB  
Article
Embedded MOX-Based Volatilomic Sensing for Real-Time Classification of Plant-Based Milk Beverages
by Elisabetta Poeta, Veronica Sberveglieri and Estefanía Núñez-Carmona
Sensors 2026, 26(6), 1976; https://doi.org/10.3390/s26061976 - 21 Mar 2026
Viewed by 325
Abstract
The increasing diffusion of plant-based milk alternatives poses new challenges at the intersection of food safety and consumer experience, particularly regarding allergen cross-contamination and beverage performance during preparation. Traditional quality control strategies are typically confined to upstream production stages and are unable to [...] Read more.
The increasing diffusion of plant-based milk alternatives poses new challenges at the intersection of food safety and consumer experience, particularly regarding allergen cross-contamination and beverage performance during preparation. Traditional quality control strategies are typically confined to upstream production stages and are unable to address individualized risks and sensory variability at the point of consumption. In this study, we propose an embedded volatilomic sensing approach that combines metal oxide semiconductor (MOX) sensor arrays with lightweight artificial intelligence algorithms to enable real-time, on-device decision-making. The volatilome of four commercially available plant-based milk beverages (oat, almond, soy, and coconut) was characterized using GC–MS/SPME as a reference method, while a MOX-based electronic nose provided rapid, non-destructive sensing of volatile fingerprints. Linear Discriminant Analysis demonstrated clear discrimination among beverage types based on their volatile signatures, supporting the use of MOX sensor arrays as functional descriptors of compositional identity and process-related variability. Beyond beverage classification, the proposed framework is designed to support future implementation of (i) screening for anomalous volatilomic patterns potentially compatible with accidental cow’s milk carryover in shared preparation settings and (ii) adaptive tuning of preparation parameters (e.g., foaming-related settings) in smart beverage systems. The results highlight the role of embedded volatilomic intelligence as a unifying layer between personalized risk-aware screening and sensory-oriented process control, paving the way for intelligent food-processing appliances capable of autonomous, real-time adaptation at the point of consumption. Full article
Show Figures

Figure 1

23 pages, 3580 KB  
Article
Process Optimization and Flavor Analysis of Lespedeza juncea Tea Based on HS-SPME-GC-O-MS, LC-MS, and Sensory Evaluation
by Hui Fu, Yuning Liu, Pengcheng Qiu, Ying Ying, Yiying Huang, Runhang Li, Qiang Yin, Yuanfa Meng, Zhihui Zhao, Xiaowei Jiang and Hongxin Wu
Foods 2026, 15(6), 1066; https://doi.org/10.3390/foods15061066 - 18 Mar 2026
Viewed by 144
Abstract
Based on ancient records of “Marching tea” and the flavonoid-rich properties of Lespedeza juncea, this study optimized green tea processing parameters for Lespedeza juncea tea. By adjusting leaf loading, roasting temperature, and time and employing precise methods such as gas chromatography–olfactory–mass spectrometry [...] Read more.
Based on ancient records of “Marching tea” and the flavonoid-rich properties of Lespedeza juncea, this study optimized green tea processing parameters for Lespedeza juncea tea. By adjusting leaf loading, roasting temperature, and time and employing precise methods such as gas chromatography–olfactory–mass spectrometry (GC-O-MS), liquid chromatography–mass spectrometry (LC-MS), and electronic tongues to determine key indicators, including metabolites, volatile compounds, and flavor profiles, the optimal processing conditions were determined through comprehensive analysis as 150 g, 200 °C, and 180 s. These conditions resulted in superior sensory quality (score: 90.9), the highest flavonoid content (4.11%), strong antioxidant activity (DPPH: 66.0% at 20 mg/mL; ABTS: >95% at 2.5 mg/mL), and key aroma compounds 1-octen-3-ol and β-ionone. This work revives an ancient tea tradition and provides a scientific basis for developing novel functional teas from grassland resources. Full article
(This article belongs to the Special Issue Analysis of Tea Flavor and Functional Components)
Show Figures

Graphical abstract

22 pages, 3186 KB  
Article
Comprehensive Analysis of Volatile Flavor Components in ‘Hujing Milu’ Peach from Different Regions Using HS-SPME-GC-MS and HS-GC-IMS
by Yiying Wang, Linshu Jiao, Yiran Gui, Wei Zhao, Lanlan Chen, Xiaolong Chen, Jian Chen, Yong Li, Lixiao Song and Xiangyang Yu
Foods 2026, 15(6), 1051; https://doi.org/10.3390/foods15061051 - 17 Mar 2026
Viewed by 180
Abstract
To explore the characteristic volatile compounds of ‘Hujing Milu’ peaches from different growing regions, headspace solid-phase microextraction coupled with gas chromatography–mass spectrometry (HS-SPME-GC-MS) and headspace gas chromatography–ion mobility spectrometry (HS-GC-IMS) were employed to analyze volatile components in samples from six production areas. A [...] Read more.
To explore the characteristic volatile compounds of ‘Hujing Milu’ peaches from different growing regions, headspace solid-phase microextraction coupled with gas chromatography–mass spectrometry (HS-SPME-GC-MS) and headspace gas chromatography–ion mobility spectrometry (HS-GC-IMS) were employed to analyze volatile components in samples from six production areas. A total of 73 and 56 volatile compounds were identified by HS-SPME-GC-MS and HS-GC-IMS, respectively. Quantitative analysis revealed that esters, aldehydes, and alcohols were the main contributors to the aroma profile, accounting for over 70% of the total relative content. Combined with chemometric analysis (VIP > 1 and OAV/ROAV > 1), 17 potential biomarkers were identified that can distinguish ‘Hujing Milu’ peaches from different regions, including ethyl acetate, hexanol, (E)-2-nonenal, and dihydro-β-ionone. Moreover, soil properties of these regions and their correlation with volatile compounds were analyzed to elucidate the formation mechanisms of characteristic aromas. The results showed that ethyl acetate exhibited a significant positive correlation with soil pH (r = 0.530, p < 0.05), whereas dihydro-β-ionone showed a significant positive correlation with soil organic matter (r = 0.587, p < 0.05) and available potassium (r = 0.830, p < 0.05). This study identified characteristic volatile compounds of ‘Hujing Milu’ peaches from different regions, providing a reliable technical basis for origin traceability and the enhancement of aroma quality in ‘Hujing Milu’ peaches. Full article
(This article belongs to the Section Food Quality and Safety)
Show Figures

Graphical abstract

17 pages, 412 KB  
Article
Investigation of Millet-Based Beer Fermentation and the Volatile Compounds Formed
by Katherine A. Thompson-Witrick, Danielle Yuabov, Leah Rose, Kaitlinne Crosco, Regan Verespie, Luke Ferguson, Lindsey Bell and Drew Budner
Beverages 2026, 12(3), 37; https://doi.org/10.3390/beverages12030037 - 16 Mar 2026
Viewed by 303
Abstract
There has continued to be an increase in the production of gluten-free products, including beer. This interest is a combination of responses to both consumers addressing food sensitivities as well as personal preferences. Beer produced from gluten-free grains has a distinct flavor that [...] Read more.
There has continued to be an increase in the production of gluten-free products, including beer. This interest is a combination of responses to both consumers addressing food sensitivities as well as personal preferences. Beer produced from gluten-free grains has a distinct flavor that differs greatly from traditional barley beer. Recently, the use of millet to produce gluten-free beer has increased with larger-scale malting of millet. It is the goal of this project to investigate the chemical composition of the millet beer aroma. The fermentation of millet-based beers was compared to sorghum and barley beers. Beyond this, the impact of common yeast strains on the fermentation of millet-based beers weas also investigated. All brews were regularly monitored for pH, gravity, total titratable acidity, total polyphenols, and free amino nitrogen. In addition, the aroma profile was sampled using Solid-Phase Microextraction (SPME) with chemical separation and identification and quantification using Gas Chromatography with Mass Spectroscopy (GC-MS). The analysis showed the production of acceptable beers; however, the fermentation there is obvious needed to optimize brewing conditions. In addition, the amount of total volatile compounds was found to be significantly different than beer produced using malted barley. Full article
Show Figures

Figure 1

15 pages, 2749 KB  
Article
Dynamic Evolution of Aroma Characteristics in Ripened Pu-Erh Tea During Industrial Fermentation: Insights from GC-MS and Flavor Wheel Analysis
by Yiqing Guan, Qiuyue Chen, Nianguo Bo, Dihan Yang, Fan Yang, Hongyan Gao, Xiaying Tao, Ping Liang, Guanghong Pan, Bei Cai, Yingling Zhou, Hao Zhang, Shaohua Peng, Lei Shi and Teng Wang
Foods 2026, 15(6), 1014; https://doi.org/10.3390/foods15061014 - 13 Mar 2026
Viewed by 258
Abstract
Ripened Pu-erh tea (RPT) experiences notable aroma transformations during industrial pile fermentation, yet the stage-dependent evolution of key aroma compounds remains poorly understood. This study analyzed two independent industrial batches of RPT across three fermentation stages: raw material (RM), intermediate fermentation (IF), and [...] Read more.
Ripened Pu-erh tea (RPT) experiences notable aroma transformations during industrial pile fermentation, yet the stage-dependent evolution of key aroma compounds remains poorly understood. This study analyzed two independent industrial batches of RPT across three fermentation stages: raw material (RM), intermediate fermentation (IF), and final fermentation (FF). Using HS-SPME/GC-MS coupled with multivariate statistical analysis and relative odor activity values (rOAVs), 134 volatile organic compounds (VOCs) were identified, with hydrocarbons, alcohols, and esters as predominant classes. In total, 13 key aroma-active compounds (rOAVs > 1) were found to be major contributors to RPT’s characteristic aroma. During early fermentation, relative levels of VOCs responsible for fresh and green aromas (e.g., linalool, D-limonene) diminished, while those for woody and minty aromas (e.g., isophorone, methyl salicylate) increased. A flavor wheel was developed to illustrate the dynamic shifts in aroma profiles. This stage-resolved analysis offers new mechanistic insights into aroma formation, aiding in the optimization of aroma quality control and process standardization for RPT production. Full article
(This article belongs to the Special Issue Analysis of Tea Flavor and Functional Components)
Show Figures

Figure 1

31 pages, 1497 KB  
Review
Recent Advance in the Sample Pretreatments for Drug Analysis in Zebrafish
by Ting Wang, Chuyu Wang, Mingjing Luo, Xinyu Wang, Yiwen Chen, Zhi Yang, Guang Hu and Weikang Liu
Pharmaceuticals 2026, 19(3), 465; https://doi.org/10.3390/ph19030465 - 12 Mar 2026
Viewed by 235
Abstract
Zebrafish, as an emerging model organism, are widely used in in vivo pharmacodynamic and pharmacokinetic studies. Unlike direct chemical analyses that require no sample preparation, most biological samples must undergo preprocessing steps—procedures that profoundly affect analytical outcomes. This paper systematically summarizes the main [...] Read more.
Zebrafish, as an emerging model organism, are widely used in in vivo pharmacodynamic and pharmacokinetic studies. Unlike direct chemical analyses that require no sample preparation, most biological samples must undergo preprocessing steps—procedures that profoundly affect analytical outcomes. This paper systematically summarizes the main methods and types of zebrafish sample pretreatment currently in use, aiming to provide a reference for future research in zebrafish sample analysis and preparation. A systematic search was conducted across PubMed, Web of Science, and CNKI for studies published between 2014 and 2024 focusing on liquid–liquid extraction (LLE), solid phase extraction (SPE), and related techniques for zebrafish drug analysis. The results indicate that traditional methods, including LLE and protein precipitation, remain prevalent due to their operational simplicity, but are limited by low enrichment efficiency and pronounced matrix effects (MEs). In contrast, advanced SPE techniques, particularly solid phase microextraction (SPME), are increasingly favored for complex biological sample processing, with key trends including technique hyphenation (e.g., SPME–high-performance liquid chromatography (SPME-HPLC), and micro-SPE–mass spectrometry (µSPE-MS)) and the development of novel sorbents. Despite these advances, current challenges persist, such as immature rapid on-site pretreatment protocols, the difficulty of balancing analytical efficiency with operational simplicity, and the lack of standardized procedures across studies. Overall, zebrafish sample pretreatment techniques are evolving toward higher efficiency, selectivity, and automation. Future research efforts should prioritize the development of intelligent, eco-friendly pretreatment methods and the establishment of unified standards to enhance the reproducibility and comparability of zebrafish-based pharmacological studies. Full article
(This article belongs to the Special Issue Application of Zebrafish Model in Pharmacology and Toxicology)
Show Figures

Graphical abstract

20 pages, 10796 KB  
Article
A New Approach Integrating Brood-Associated Semiochemicals with Additional Feeding for Honey Bee (Apis mellifera) Colony Development
by Irina Ciotlaus, Ana Balea, Diana Klara Gaia and Maria Pojar-Fenesan
Insects 2026, 17(3), 294; https://doi.org/10.3390/insects17030294 - 7 Mar 2026
Viewed by 422
Abstract
The aim of this study was to identify chemical formulations that stimulate Apis mellifera colony development by enhancing queen egg-laying under protein-supplemented conditions. Feeding trials were conducted in early spring, when natural food sources are scarce. The experiment was conducted in two Romanian [...] Read more.
The aim of this study was to identify chemical formulations that stimulate Apis mellifera colony development by enhancing queen egg-laying under protein-supplemented conditions. Feeding trials were conducted in early spring, when natural food sources are scarce. The experiment was conducted in two Romanian apiaries and included four treatment groups. Three formulations included protein-enriched bee food: two standard variants and one supplemented with essential fatty acids. All were administered alongside behavioral stimulants (T1–T3). A fourth treatment served as a control, containing only protein-based food without brood pheromones or additional stimulants (T4). Pheromone blends were formulated based on brood-emitted volatiles identified by solid-phase microextraction-gas chromatography coupled with mass spectrometry (SPME–GC–MS). The effects of the treatments were evaluated by measuring queen egg-laying and brood area development. Results showed that treatments based on brood ester pheromones (BEP)–T1 and a fatty acid blend (FAB)–T3 significantly stimulated queen egg-laying and brood production, with comparable performance and a slight advantage for T3. In contrast, combining BEP with a fatty acid-supplemented protein diet (T2) produced a moderate effect, consistent with regulated lipid intake in honey bee colonies. These findings indicate that brood-associated semiochemicals, combined with protein supplementation, can effectively stimulate colony growth. Full article
(This article belongs to the Section Insect Physiology, Reproduction and Development)
Show Figures

Figure 1

27 pages, 1362 KB  
Article
Multivariate Characterization of Maratheftiko Wines (2019–2024): Physicochemical, Phenolic, Antioxidant, Chromatic and Volatile Profiles
by Artemis Toulaki, Dimitrios Kalompatsios, Martha Mantiniotou, Vassilis Athanasiadis, Kosmas Roufas and Stavros I. Lalas
Beverages 2026, 12(3), 34; https://doi.org/10.3390/beverages12030034 - 6 Mar 2026
Viewed by 742
Abstract
This study examined the evolution of volatile and non-volatile compounds of a Cypriot monovarietal cultivar Maratheftiko red wine over a span of six years (2019–2024). Several physicochemical properties of the wines were evaluated. Alcohol content and volatile acidity remained stable; acidity and malic [...] Read more.
This study examined the evolution of volatile and non-volatile compounds of a Cypriot monovarietal cultivar Maratheftiko red wine over a span of six years (2019–2024). Several physicochemical properties of the wines were evaluated. Alcohol content and volatile acidity remained stable; acidity and malic acid are the main differentiating factors among vintages. In addition, bioactive molecules in the wines showed a distinct vintage effect, with the 2024 vintage exhibiting significantly higher concentrations. For instance, the high concentration of polyphenols (3877.86 mg gallic acid equivalents per L), tannins (688.43 mg of catechin equivalents per L), flavonoids (506.90 mg of rutin equivalents per L), and anthocyanins (413.74 mg of cyanidin equivalents per L) contributed to the high antioxidant capacity of the specific vintage, as FRAP and DPPH assays were measured at 44.60 and 29.91 mmol of ascorbic acid equivalents per L, respectively. Furthermore, the intense crimson color of this red wine could be attributed to the high concentration of the abundant anthocyanin malvidin-3-O-glucoside in this vintage (21.62 mg/L). On the other hand, it was observed that the latest vintage showed high polyphenol concentration but low volatile compound concentration. This pattern was ascertained through correlation analyses and could be attributed to an unsatisfactory level of the aging process. Correlation analysis (Pearson’s r) confirmed inverse relationships between polyphenol concentration and volatile compounds (r = −0.62, p < 0.05). Principal component analysis (PCA) further highlighted the 2024 as an outlier vintage, distinguished by elevated phenolic and antioxidant profiles. Full article
Show Figures

Graphical abstract

20 pages, 1975 KB  
Article
The Impact of Varying Enzymatic Pretreatment Durations of Wheat Gluten on the Flavour Characteristics of High-Moisture Plant-Based Extrudates
by Xiaodong Li, Huihui Dai, Boning Mao, Hongzhou An, Yanhong Bai and Lovedeep Kaur
Foods 2026, 15(5), 912; https://doi.org/10.3390/foods15050912 - 6 Mar 2026
Viewed by 223
Abstract
This study examined the effects of varying enzymatic pretreatment durations (0–80 min) of wheat gluten on flavour characteristics of high-moisture plant-based extrudates (HMPEs). Through a comprehensive analysis involving sensory evaluation, electronic tongue, free amino acid (FAA) profiling, electronic nose, and headspace solid-phase microextraction-gas [...] Read more.
This study examined the effects of varying enzymatic pretreatment durations (0–80 min) of wheat gluten on flavour characteristics of high-moisture plant-based extrudates (HMPEs). Through a comprehensive analysis involving sensory evaluation, electronic tongue, free amino acid (FAA) profiling, electronic nose, and headspace solid-phase microextraction-gas chromatography-mass spectrometer (HS-SPME-GC-MS) analysis of volatile odour compounds, it was found that HMPEs with moderate enzymatic pretreatment (40 min) achieved the highest overall sensory score. Electronic tongue and FAA results confirmed a significant enhancement in umami and sweetness, while electronic nose effectively discriminated differences in odour profiles. Extending pretreatment durations gradually reduced beany off-flavours substances (hexanal reduced by up to 174.7 μg/kg) and encouraged the formation of meaty aroma compounds (furans and pyrazines). However, excessive pretreatment (>40 min) reduced acceptance due to burnt odour caused by the excessive accumulation of pyrazines, particularly 2,3-diethyl-5-methylpyrazine. Six key volatile odour compounds were identified by integrating the analysis of variable importance projection (VIP ≥ 1) and relative odour activity value (ROAV ≥ 1), offering a foundation for targeted flavour regulation in HMPEs. Full article
Show Figures

Graphical abstract

16 pages, 1284 KB  
Article
Evaluation of an Electronic Nose Coupled with In Vitro Fecal Fermentation as a Screening Tool for Fecal Odor in Cats
by Koramit Jenjirawatn, Attawit Kovitvadhi, Songyos Chotchutima, Pipatpong Chundang, Sathita Areerat, Kunaporn Homyog and Nattaphong Akrimajirachoote
Animals 2026, 16(5), 801; https://doi.org/10.3390/ani16050801 - 4 Mar 2026
Viewed by 376
Abstract
In vitro fecal inoculation coupled with gas chromatography–mass spectrometry (GC-MS) has been used for evaluating fecal deodorants. However, high cost and complex data interpretation limit its routine application. An electronic nose (eNose) offers a rapid, cost-effective alternative. This study aimed to evaluate the [...] Read more.
In vitro fecal inoculation coupled with gas chromatography–mass spectrometry (GC-MS) has been used for evaluating fecal deodorants. However, high cost and complex data interpretation limit its routine application. An electronic nose (eNose) offers a rapid, cost-effective alternative. This study aimed to evaluate the eNose as a screening tool for fecal odor compared with solid-phase microextraction gas chromatography–mass spectrometry (SPME GC-MS) and to examine the in vitro effects of fecal deodorant supplements on fecal odor profiles. Feces from ten healthy cats were serially diluted (1:1 to 1:8) and analyzed using both instruments. Four dietary supplements—Yucca schidigera extract (YSE), Quillaja saponaria extract (QSE), fructooligosaccharides (FOS), and oat beta-glucans (OBG)—were tested at concentrations of 0.0, 0.2, 0.4, and 0.8 g/100 mL. The eNose showed comparable performance to GC-MS in discriminating among sample dilutions. In vitro fermentation showed that FOS and OBG significantly increased volatile fatty acid (VFA)-related sensor responses while signals linked to ammonia and sulfur compounds were reduced. QSE had minimal effect, whereas YSE produced moderate changes. The total sensor response intensities did not differ between treatments. These findings indicate that prebiotic supplements exert stronger effects than saponin-based supplements and highlight the potential of eNoses with in vitro fermentation for rapid screening of fecal deodorants. Full article
(This article belongs to the Section Animal Nutrition)
Show Figures

Figure 1

18 pages, 1441 KB  
Article
Fatty Acid Composition and Aromatic Profile of Krškopolje and Modern Pig Breeds Reared Under Organic and Conventional Systems
by Marjeta Mencin, Katja Babič, Lidija Strojnik, Zala Sel, Andrej Kastelic and Nives Ogrinc
Foods 2026, 15(5), 866; https://doi.org/10.3390/foods15050866 - 4 Mar 2026
Viewed by 292
Abstract
Slovenia preserves one autochthonous pig breed, the Krškopolje pig, whose meat has been reported to exhibit a favourable fatty acid profile compared with that of modern breeds. However, meat quality is not solely determined by genetics; the production system also influences it, as [...] Read more.
Slovenia preserves one autochthonous pig breed, the Krškopolje pig, whose meat has been reported to exhibit a favourable fatty acid profile compared with that of modern breeds. However, meat quality is not solely determined by genetics; the production system also influences it, as organic and conventional farming differ in feed composition, housing and outdoor access. This study aimed to compare the effects of pig breed (Krškopolje vs. modern) and production system (organic vs. conventional) on the fatty acid composition and volatile organic compound (VOC) profile of pork. Fatty acid composition was determined by GC-FID after methylation, and the VOCs profile was obtained using headspace solid-phase microextraction (HS-SPME) coupled with GC-MS. Results showed that Krškopolje meat had higher SFA and MUFA, while modern pig meat had higher PUFAs, particularly n-6, reflecting genetic and dietary influences. Modern breeds also showed greater fatty acid response to the rearing system than the Krškopolje breed. Several VOCs were unique to modern breed pigs, indicating breed-specific differences in lipid composition, amino acid metabolism, and microbial activity. Aldehydes were the dominant VOC class in both breeds, slightly higher in Krškopolje meat. OPLS-DA model revealed breed-related differences in VOCs, pinpointing compounds likely responsible for breed-specific aroma and flavour. Full article
Show Figures

Graphical abstract

31 pages, 1562 KB  
Review
Green Approaches in Forensic Separations—An Overview
by Thomas A. Brettell
Separations 2026, 13(3), 84; https://doi.org/10.3390/separations13030084 - 3 Mar 2026
Viewed by 407
Abstract
Green Analytical Chemistry (GAC) provides a framework for reducing hazardous reagents, energy consumption, and waste. The topic has gained momentum across many chemical industries over the past 25 years; however, progress in implementing sustainable methods and conducting greenness assessments within forensic laboratories has [...] Read more.
Green Analytical Chemistry (GAC) provides a framework for reducing hazardous reagents, energy consumption, and waste. The topic has gained momentum across many chemical industries over the past 25 years; however, progress in implementing sustainable methods and conducting greenness assessments within forensic laboratories has been comparatively slow. The purpose of this review is to highlight green approaches to analytical separation methods, including greenness assessment metrics, that have been reported in the literature for forensic chemistry and toxicology applications and to raise awareness of GAC in the forensic field. Recent scientific literature highlights promising advances in greener sample preparation and chromatographic approaches, particularly in forensic toxicology and seized-drug analysis. Emerging trends include the use of green solvents, bio-based and deep eutectic solvent systems, and the rapid expansion of microextraction techniques such as SPME, LPME, MEPS, FPSE, and DLLME, which reduce solvent volumes, minimize waste, and support higher-throughput workflows. Parallel developments in portable and miniaturized chromatographic instrumentation such as miniaturized LC–MS systems with increased detection specificity and Lab-on-a-Chip applications show promise for in situ measurements in the field. Ambient ionization mass spectrometry—in particular, DESI and DART—has had a major impact on forensic chemistry by providing tools for the rapid and direct analysis of chemical compounds in complex matrices with little or no sample preparation. Greenness assessment tools—including AGREE, AGREEprep, Eco-Scale, GAPI, and BAGI—are increasingly applied to evaluate analytical methods in forensic chemistry and toxicology, including those used for novel psychoactive substances. Although many green methodologies are well documented, their routine implementation remains limited. The continued integration of green solvents, microextractions, portable instrumentation, and standardized greenness metrics will be essential for advancing sustainable forensic separations. Full article
(This article belongs to the Section Forensic Science and Toxicology)
Show Figures

Graphical abstract

16 pages, 3358 KB  
Article
The Volatile Signature: Tracking Ripening Dynamics to Ensure Goat Cheese Quality
by Giovanni Ferrara, Cristina Matarazzo, Maria Staiano, Sabato D’Auria and Rosaria Cozzolino
Sensors 2026, 26(5), 1583; https://doi.org/10.3390/s26051583 - 3 Mar 2026
Viewed by 331
Abstract
Cheese ripening involves a series of biochemical and microbiological transformations that directly affect the texture, aroma, flavor, and quality of the final product. This study aimed to characterize the volatile organic compounds (VOCs) produced during the ripening of goat cheese to find suitable [...] Read more.
Cheese ripening involves a series of biochemical and microbiological transformations that directly affect the texture, aroma, flavor, and quality of the final product. This study aimed to characterize the volatile organic compounds (VOCs) produced during the ripening of goat cheese to find suitable molecular markers for monitoring the maturation process. Headspace solid-phase microextraction coupled with gas chromatography-mass spectrometry (HS-SPME/GC–MS) was applied to samples collected at different ripening times (0, 30, 60, 90, 120, and 150 days). Overall, sixty-eight different VOCs were identified, including alcohols, esters, ketones, carboxylic acids, aldehydes, terpenes, sulfur compounds, and others. The total volatile content progressively increased up to 120 days and slightly decreased thereafter. This dynamic evolution reflected the interplay of proteolysis, lipolysis, and microbial metabolism occurring during the ripening process. Among the compounds, 2-butanone and 2-butanol appeared as promising volatile markers of the advanced ripening stages. These results offer new insights into goat cheese flavor development and support the design of a sensing approach for a first warning of the end of the cheese maturation process. Full article
(This article belongs to the Special Issue Sensors in 2026)
Show Figures

Graphical abstract

Back to TopTop