Comparative Remediation of Arsenic and Antimony Co-Contaminated Soil by Iron- and Manganese-Modified Activated Carbon and Biochar
Abstract
1. Introduction
2. Materials and Methods
2.1. Preparation of Materials
2.2. Soil Cultivation
2.3. Determination
2.4. Statistical Analysis
3. Results and Discussion
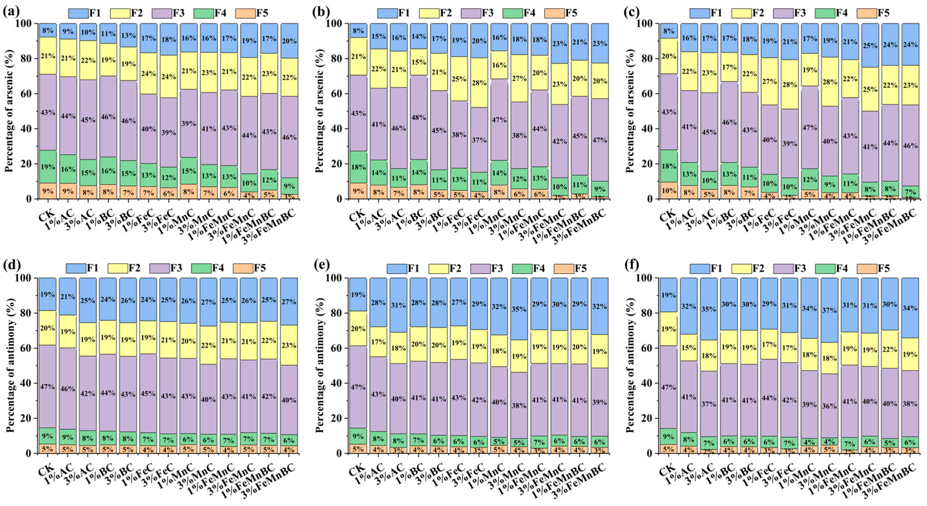
3.1. As and Sb Speciation
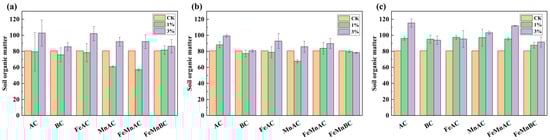
3.2. Soil pH and Organic Matter
3.3. Enzyme Activity
3.3.1. Urease Activity
3.3.2. Catalase Activity
3.3.3. Sucrase Activity
4. Conclusions
Supplementary Materials
Author Contributions
Funding
Institutional Review Board Statement
Informed Consent Statement
Data Availability Statement
Conflicts of Interest
References
- Pérez-Sirvent, C.; Martínez-Sánchez, M.J.; Martínez-López, S.; Bech, J.; Bolan, N. Distribution and bioaccumulation of arsenic and antimony in Dittrichia viscosa growing in mining-affected semiarid soils in southeast Spain. J. Geochem. Explor. 2012, 123, 128–135. [Google Scholar] [CrossRef]
- Bolan, N.; Kumar, M.; Singh, E.; Kumar, A.; Singh, L.; Kumar, S.; Keerthanan, S.; Hoang, S.A.; El-Naggar, A.; Vithanage, M.; et al. Antimony contamination and its risk management in complex environmental settings: A review. Environ. Int. 2022, 158, 106908. [Google Scholar] [CrossRef]
- Al-Makishah, N.H.; Taleb, M.A.; Barakat, M.A. Arsenic bioaccumulation in arsenic-contaminated soil: A review. Chem. Pap. 2020, 74, 2743–2757. [Google Scholar] [CrossRef]
- Gao, T.; Tian, H.; Niu, H.; Megharaj, M.; He, W. Evaluation of arsenic pollution in field-contaminated soil at the soil’s actual pH. J. Environ. Sci. 2024, 144, 137–147. [Google Scholar] [CrossRef] [PubMed]
- Serafimovska, J.M.; Arpadjan, S.; Stafilov, T.; Tsekova, K. Study of the antimony species distribution in industrially contaminated soils. J. Soils Sediments 2012, 13, 294–303. [Google Scholar] [CrossRef]
- Rong, Q.; Nong, X.; Zhang, C.; Zhong, K.; Zhao, H. Immobilization mechanism of antimony by applying zirconium-manganese oxide in soil. Sci. Total Environ. 2022, 823, 153435. [Google Scholar] [CrossRef] [PubMed]
- Al-Akeel, K.A.; Al-Fredan, M.A.; Desoky, E.-S.M. Impact of wastewater discharge on the plant diversity, community structure and heavy metal pollution of range plants in eastern Saudi Arabia. Saudi. J. Biol. Sci. 2021, 28, 7367–7372. [Google Scholar] [CrossRef]
- Sánchez-Castro, I.; Molina, L.; Prieto-Fernández, M.-Á.; Segura, A. Past, present and future trends in the remediation of heavy-metal contaminated soil—Remediation techniques applied in real soil-contamination events. Heliyon 2023, 9, e16692. [Google Scholar] [CrossRef]
- Li, H.; Dong, X.; da Silva, E.B.; de Oliveira, L.M.; Chen, Y.; Ma, L.Q. Mechanisms of metal sorption by biochars: Biochar characteristics and modifications. Chemosphere 2017, 178, 466–478. [Google Scholar] [CrossRef]
- Yang, X.; Liu, J.; McGrouther, K.; Huang, H.; Lu, K.; Guo, X.; He, L.; Lin, X.; Che, L.; Ye, Z.; et al. Effect of biochar on the extractability of heavy metals (Cd, Cu, Pb, and Zn) and enzyme activity in soil. Environ. Sci. Pollut. Res. 2015, 23, 974–984. [Google Scholar] [CrossRef]
- Silvani, L.; Cornelissen, G.; Botnen Smebye, A.; Zhang, Y.; Okkenhaug, G.; Zimmerman, A.R.; Thune, G.; Sævarsson, H.; Hale, S.E. Can biochar and designer biochar be used to remediate per- and polyfluorinated alkyl substances (PFAS) and lead and antimony contaminated soils? Sci. Total Environ. 2019, 694, 133693. [Google Scholar] [CrossRef] [PubMed]
- El-Naggar, A.; Chang, S.X.; Cai, Y.; Lee, Y.H.; Wang, J.; Wang, S.-L.; Ryu, C.; Rinklebe, J.; Sik Ok, Y. Mechanistic insights into the (im)mobilization of arsenic, cadmium, lead, and zinc in a multi-contaminated soil treated with different biochars. Environ. Int. 2021, 156, 106638. [Google Scholar] [CrossRef] [PubMed]
- Wijeyawardana, P.; Nanayakkara, N.; Law, D.; Gunasekara, C.; Karunarathna, A.; Pramanik, B.K. Evaluating the performance of cement-modified biochar adsorbent for Cu, Pb and Zn removal from urban stormwater. Process Saf. Environ. Prot. 2024, 186, 1419–1431. [Google Scholar] [CrossRef]
- Song, P.; Liu, J.; Ma, W.; Gao, X. Remediation of cadmium-contaminated soil by biochar-loaded nano-zero-valent iron and its microbial community responses. J. Environ. Chem. Eng. 2024, 12, 112311. [Google Scholar] [CrossRef]
- Brocza, F.M.; Foster, S.J.; Peacock, C.L.; Jones, J.M. Synthesis and applications of manganese oxide—Biochar composites: A systematic review across catalysis, capacitor and sorption applications. Biomass Bioenergy 2024, 184, 107201. [Google Scholar] [CrossRef]
- Ghandali, M.V.; Safarzadeh, S.; Ghasemi-Fasaei, R.; Zeinali, S. Heavy metals immobilization and bioavailability in multi-metal contaminated soil under ryegrass cultivation as affected by ZnO and MnO2 nanoparticle-modified biochar. Sci. Rep. 2024, 14, 10684. [Google Scholar] [CrossRef]
- Nikić, J.; Agbaba, J.; Watson, M.A.; Tubić, A.; Šolić, M.; Maletić, S.; Dalmacija, B. Arsenic adsorption on Fe–Mn modified granular activated carbon (GAC–FeMn): Batch and fixed-bed column studies. J. Environ. Sci. Health Part A 2019, 54, 168–178. [Google Scholar] [CrossRef]
- Wan, X.; Li, C.; Parikh, S.J. Simultaneous removal of arsenic, cadmium, and lead from soil by iron-modified magnetic biochar. Environ. Pollut. 2020, 261, 114157. [Google Scholar] [CrossRef]
- Si, D.; Wu, S.; Wu, H.; Wang, D.; Fu, Q.-l.; Wang, Y.; Wang, P.; Zhao, F.-j.; Zhou, D. Activated Carbon Application Simultaneously Alleviates Paddy Soil Arsenic Mobilization and Carbon Emission by Decreasing Porewater Dissolved Organic Matter. Environ. Sci. Technol. 2024, 58, 7880–7890. [Google Scholar] [CrossRef]
- Song, P.; Ma, W.; Gao, X.; Ai, S.; Wang, J.; Liu, W. Remediation mechanism of Cu, Zn, As, Cd, and Pb contaminated soil by biochar-supported nanoscale zero-valent iron and its impact on soil enzyme activity. J. Clean. Prod. 2022, 378, 134510. [Google Scholar] [CrossRef]
- Wenzel, W.W.; Kirchbaumer, N.; Prohaska, T.; Stingeder, G.; Lombi, E.; Adriano, D.C. Arsenic fractionation in soils using an improved sequential extraction procedure. Anal. Chim. Acta 2001, 436, 309–323. [Google Scholar] [CrossRef]
- Rehman, A.; Rahman, S.u.; Li, P.; Shah, I.H.; Manzoor, M.A.; Azam, M.; Cao, J.; Malik, M.S.; Jeridi, M.; Ahmad, N.; et al. Modulating plant-soil microcosm with green synthesized ZnONPs in arsenic contaminated soil. J. Hazard. Mater. 2024, 470, 134130. [Google Scholar] [CrossRef] [PubMed]
- Bayar, J.; Ali, N.; Dong, Y.; Ahmad, U.; Anjum, M.M.; Khan, G.R.; Zaib, M.; Jalal, A.; Ali, R.; Ali, L. Biochar-based adsorption for heavy metal removal in water: A sustainable and cost-effective approach. Environ. Geochem. Health 2024, 46, 428. [Google Scholar] [CrossRef]
- Li, J.; He, Q.; Lin, W.; Xu, Y.; Gao, Y.; Zhang, M.; Wen, X.; Xue, W. Assessment of biochar supported sulfidized iron-based nanoparticles for immobilization of cadmium in sediment: Effectiveness, contribution of iron reducing bacteria, and mechanism insight. J. Clean. Prod. 2024, 467, 143026. [Google Scholar] [CrossRef]
- Faheem, M.; Iqbal, T.; Afsheen, S.; Basit, A.; Munir, R.M.; Khan, M.I.; Elgorban, A.M.; Al-Shwaiman, H.A.; Rizvi, H.I. A maghemite (γ-Fe2O3) incorporated activated carbon photocatalytic nanocomposite fabricated via Co-precipitation utilized against degradation of methyl orange. Opt. Mater. 2024, 157, 116131. [Google Scholar] [CrossRef]
- Koju, R.; Dhakal, A.; Gwachha, S.; Joshi, D.R.; Joshi, T.P.; Shrestha, S.M. Adsorption of Inorganic As(III) from Aqueous Solutions by Iron-Manganese Oxide. Sci. World 2020, 13, 46–50. [Google Scholar] [CrossRef]
- Liu, X.; Wang, Y.; Xiang, H.; Wu, J.; Yan, X.; Zhang, W.; Lin, Z.; Chai, L. Unveiling the crucial role of iron mineral phase transformation in antimony(V) elimination from natural water. Eco-Environ. Health 2023, 2, 176–183. [Google Scholar] [CrossRef]
- Belzile, N.; Chen, Y.-W.; Wang, Z. Oxidation of antimony (III) by amorphous iron and manganese oxyhydroxides. Chem. Geol. 2001, 174, 379–387. [Google Scholar] [CrossRef]
- Jiao, Y.; Wang, T.; He, M.; Liu, X.; Lin, C.; Ouyang, W. Simultaneous stabilization of Sb and As co-contaminated soil by Fe Mg modified biochar. Sci. Total Environ. 2022, 830, 154831. [Google Scholar] [CrossRef]
- Yang, X.; Fan, J.; Jiang, L.; Zhu, F.; Yan, Z.; Li, X.; Jiang, P.; Li, X.; Xue, S. Using Fe/H2O2-Modified Biochar to Realize Field-Scale Sb/As Stabilization and Soil Structure Improvement in an Sb Smelting Site. Sci. Total Environ. 2024, 912, 168775. [Google Scholar] [CrossRef]
- Chai, L.; Tang, J.; Liao, Y.; Yang, Z.; Liang, L.; Li, Q.; Wang, H.; Yang, W. Biosynthesis of Schwertmannite by Acidithiobacillus ferrooxidans and Its Application in Arsenic Immobilization in the Contaminated Soil. J. Soils Sediments 2016, 16, 2430–2438. [Google Scholar] [CrossRef]
- Song, P.; Xu, H.; Sun, S.; Xiong, W.; Yang, Z. Remediation of Arsenic-Spiked Soil by Biochar-Loaded Nanoscale Zero-Valent Iron: Performance, Mechanism, and Microbial Response. J. Clean. Prod. 2022, 380, 134985. [Google Scholar] [CrossRef]
- Yu, Z.; Qiu, W.; Wang, F.; Lei, M.; Wang, D.; Song, Z. Effects of Manganese Oxide-Modified Biochar Composites on Arsenic Speciation and Accumulation in an Indica Rice (Oryza sativa L.) Cultivar. Chemosphere 2017, 168, 341–349. [Google Scholar] [CrossRef] [PubMed]
- Li, J.; Gao, Y.; Li, C.; Wang, F.; Chen, H.; Yang, X.; Jeyakumar, P.; Sarkar, B.; Luo, Z.; Bolan, N.; et al. Pristine and Fe-functionalized biochar for the simultaneous immobilization of arsenic and antimony in a contaminated mining soil. J. Hazard. Mater. 2024, 469, 133937. [Google Scholar] [CrossRef]
- Amen, R.; Elsayed, I.; Barbary Hassan, E. Sustainable and economical dolomite-modified biochar for efficient removal of anionic dyes. Arab. J. Chem. 2023, 16, 105125. [Google Scholar] [CrossRef]
- Khan, B.A.; Ahmad, M.; Iqbal, S.; Ullah, F.; Bolan, N.; Solaiman, Z.M.; Shafique, M.A.; Siddique, K.H.M. Adsorption and immobilization performance of pine-cone pristine and engineered biochars for antimony in aqueous solution and military shooting range soil: An integrated novel approach. Environ. Pollut. 2023, 317, 120723. [Google Scholar] [CrossRef]
- Nieto-Delgado, C.; Gutiérrez-Martínez, J.; Rangel-Méndez, J.R. Modified activated carbon with interconnected fibrils of iron-oxyhydroxides using Mn2+ as morphology regulator, for a superior arsenic removal from water. J. Environ. Sci. 2019, 76, 403–414. [Google Scholar] [CrossRef]
- Yang, S.; Xiao, Q.; Li, B.; Zhou, T.; Cen, Q.; Liu, Z.; Zhou, Y. Insights into Remediation of Cadmium and Lead Contaminated-Soil by Fe-Mn Modified Biochar. J. Environ. Chem. Eng. 2024, 12, 112771. [Google Scholar] [CrossRef]
- Mridha, D.; Sarkar, J.; Majumdar, A.; Sarkar, K.; Maiti, A.; Acharya, K.; Das, M.; Chen, H.; Niazi, N.K.; Roychowdhury, T. Evaluation of iron-modified biochar on arsenic accumulation by rice: A pathway to assess human health risk from cooked rice. Environ. Sci. Pollut. Res. 2024, 31, 23549–23567. [Google Scholar] [CrossRef]
- Rahman, M.A.; Rahman, M.M.; Bahar, M.M.; Sanderson, P.; Lamb, D. Antimonate sequestration from aqueous solution using zirconium, iron and zirconium-iron modified biochars. Sci. Rep. 2021, 11, 8113. [Google Scholar] [CrossRef]
- Park, S.-J.; Lee, Y.-J.; Kang, J.-K.; Lee, J.-C.; Lee, C.-G. Application of Fe-Impregnated Biochar from Cattle Manure for Removing Pentavalent Antimony from Aqueous Solution. Appl. Sci. 2021, 11, 9257. [Google Scholar] [CrossRef]
- Li, J.; Zhang, Y.; Zheng, S.; Liu, F.; Wang, G. Anaerobic Bacterial Immobilization and Removal of Toxic Sb(III) Coupled With Fe(II)/Sb(III) Oxidation and Denitrification. Front. Microbiol. 2019, 10, 360. [Google Scholar] [CrossRef] [PubMed]
- Tomczyk, A.; Sokołowska, Z.; Boguta, P. Biochar physicochemical properties: Pyrolysis temperature and feedstock kind effects. Rev. Environ. Sci. Bio/Technol. 2020, 19, 191–215. [Google Scholar] [CrossRef]
- Montes-Morán, M.A.; Suárez, D.; Menéndez, J.A.; Fuente, E. On the nature of basic sites on carbon surfaces: An overview. Carbon 2004, 42, 1219–1225. [Google Scholar] [CrossRef]
- Arwenyo, B.; Varco, J.J.; Dygert, A.; Brown, S.; Pittman, C.U.; Mlsna, T. Contribution of modified P-enriched biochar on pH buffering capacity of acidic soil. J. Environ. Manag. 2023, 339, 117863. [Google Scholar] [CrossRef]
- Gallios, G.; Tolkou, A.; Katsoyiannis, I.; Stefusova, K.; Vaclavikova, M.; Deliyanni, E. Adsorption of Arsenate by Nano Scaled Activated Carbon Modified by Iron and Manganese Oxides. Sustainability 2017, 9, 1684. [Google Scholar] [CrossRef]
- Siriwardane, R.V.; Poston, J.A., Jr.; Fisher, E.P.; Shen, M.-S.; Miltz, A.L. Decomposition of the sulfates of copper, iron (II), iron (III), nickel, and zinc: XPS, SEM, DRIFTS, XRD, and TGA study. Appl. Surf. Sci. 1999, 152, 219–236. [Google Scholar] [CrossRef]
- Aihemaiti, A.; Chen, J.; Hua, Y.; Dong, C.; Wei, X.; Yan, F.; Zhang, Z. Effect of ferrous sulfate modified sludge biochar on the mobility, speciation, fractionation and bioaccumulation of vanadium in contaminated soil from a mining area. J. Hazard. Mater. 2022, 437, 129405. [Google Scholar] [CrossRef]
- Aborisade, M.A.; Feng, A.; Zheng, X.; Oba, B.T.; Kumar, A.; Battamo, A.Y.; Kavwenje, S.; Liu, J.; Chen, D.; Okimiji, O.P.; et al. Carbothermal reduction synthesis of eggshell-biochar modified with nanoscale zerovalent iron/activated carbon for remediation of soil polluted with lead and cadmium. Environ. Nanotechnol. Monit. Manag. 2022, 18, 100726. [Google Scholar] [CrossRef]
- Farhangi-Abriz, S.; Ghassemi-Golezani, K. Changes in soil properties and salt tolerance of safflower in response to biochar-based metal oxide nanocomposites of magnesium and manganese. Ecotoxicol. Environ. Saf. 2021, 211, 111904. [Google Scholar] [CrossRef]
- Ghassemi-Golezani, K.; Farhangi-Abriz, S. Biochar-based metal oxide nanocomposites of magnesium and manganese improved root development and productivity of safflower (Carthamus tinctorius L.) under salt stress. Rhizosphere 2021, 19, 100416. [Google Scholar] [CrossRef]
- Itam, D.H.; Horsfall, I.T.; Ekiyor, T.H. Application of biochar in soil remediation: A decade of scientometrics and systematic review from 2014 to 2024. Results Eng. 2024, 23, 102757. [Google Scholar] [CrossRef]
- Björklund, K.; Li, L. Removal of organic contaminants in bioretention medium amended with activated carbon from sewage sludge. Environ. Sci. Pollut. Res. 2017, 24, 19167–19180. [Google Scholar] [CrossRef] [PubMed]
- Singh, R.P.; Yadav, R.; Pandey, V.; Singh, A.; Singh, M.; Shanker, K.; Khare, P. Effect of biochar on soil microbial community, dissipation and uptake of chlorpyrifos and atrazine. Biochar 2024, 6, 17. [Google Scholar] [CrossRef]
- Soares, M.B.; dos Santos, F.H.; Alleoni, L.R.F. Iron-Modified Biochar from Sugarcane Straw to Remove Arsenic and Lead from Contaminated Water. Water Air Soil Pollut. 2021, 232, 391. [Google Scholar] [CrossRef]
- Sharma, G.; Verma, Y.; Lai, C.W.; Naushad, M.; Iqbal, J.; Kumar, A.; Dhiman, P. Biochar and biosorbents derived from biomass for arsenic remediation. Heliyon 2024, 10, e36288. [Google Scholar] [CrossRef]
- Wang, Q.; He, M.; Wang, Y. Influence of combined pollution of antimony and arsenic on culturable soil microbial populations and enzyme activities. Ecotoxicology 2010, 20, 9–19. [Google Scholar] [CrossRef]
- Karbalaei, S.; Franke, A.; Oppelt, J.; Aziz, T.; Jordan, A.; Pokkuluri, P.R.; Schwartz, D.D.; Ivanović-Burmazović, I.; Goldsmith, C.R. A macrocyclic quinol-containing ligand enables high catalase activity even with a redox-inactive metal at the expense of the ability to mimic superoxide dismutase. Chem. Sci. 2023, 14, 9910–9922. [Google Scholar] [CrossRef] [PubMed]
- Moore, R.L.; Powell, L.J.; Goodwin, D.C. The kinetic properties producing the perfunctory pH profiles of catalase-peroxidases. Biochim. Biophys. Acta Proteins Proteom. 2008, 1784, 900–907. [Google Scholar] [CrossRef]
- Ahmad, S.; Zhai, X.; Wang, M.; Shi, Y.; Chen, Y.; Liang, Q.; He, B.; Wen, R. Biochar amendments improve soil functionalities, microbial community and reduce Pokkah boeng disease of sugarcane. Chem. Biol. Technol. Agric. 2024, 11, 28. [Google Scholar] [CrossRef]
- Bier, R.L.; Daniels, M.; Oviedo-Vargas, D.; Peipoch, M.; Price, J.R.; Omondi, E.; Smith, A.; Kan, J. Agricultural soil microbiomes differentiate in soil profiles with fertility source, tillage, and cover crops. Agric. Ecosyst. Environ. 2024, 368, 109002. [Google Scholar] [CrossRef]
- Manlay, R.J.; Feller, C.; Swift, M.J. Historical evolution of soil organic matter concepts and their relationships with the fertility and sustainability of cropping systems. Agric. Ecosyst. Environ. 2007, 119, 217–233. [Google Scholar] [CrossRef]






Disclaimer/Publisher’s Note: The statements, opinions and data contained in all publications are solely those of the individual author(s) and contributor(s) and not of MDPI and/or the editor(s). MDPI and/or the editor(s) disclaim responsibility for any injury to people or property resulting from any ideas, methods, instructions or products referred to in the content. |
© 2024 by the authors. Licensee MDPI, Basel, Switzerland. This article is an open access article distributed under the terms and conditions of the Creative Commons Attribution (CC BY) license (https://creativecommons.org/licenses/by/4.0/).
Share and Cite
Han, J.; Zhao, C.; Yang, M.; Ye, M.; Li, Y.; Zhou, K.; Zhang, J.; Song, P. Comparative Remediation of Arsenic and Antimony Co-Contaminated Soil by Iron- and Manganese-Modified Activated Carbon and Biochar. Toxics 2024, 12, 740. https://doi.org/10.3390/toxics12100740
Han J, Zhao C, Yang M, Ye M, Li Y, Zhou K, Zhang J, Song P. Comparative Remediation of Arsenic and Antimony Co-Contaminated Soil by Iron- and Manganese-Modified Activated Carbon and Biochar. Toxics. 2024; 12(10):740. https://doi.org/10.3390/toxics12100740
Chicago/Turabian StyleHan, Jiayi, Chuang Zhao, Min Yang, Mingheng Ye, Yani Li, Keke Zhou, Junrui Zhang, and Peipei Song. 2024. "Comparative Remediation of Arsenic and Antimony Co-Contaminated Soil by Iron- and Manganese-Modified Activated Carbon and Biochar" Toxics 12, no. 10: 740. https://doi.org/10.3390/toxics12100740
APA StyleHan, J., Zhao, C., Yang, M., Ye, M., Li, Y., Zhou, K., Zhang, J., & Song, P. (2024). Comparative Remediation of Arsenic and Antimony Co-Contaminated Soil by Iron- and Manganese-Modified Activated Carbon and Biochar. Toxics, 12(10), 740. https://doi.org/10.3390/toxics12100740
