Ionic Liquids as Environmental Pollutants—Analysis of the Effect of Tetrabutylammonium Chloride on the Growth and Development of Wheat and Cucumber
Abstract
1. Introduction
2. Materials and Methods
2.1. Materials
2.2. Conditions for Conducting the Pot Experiment
2.3. Determination of Photosynthetic Pigments
2.4. Chlorophyll Fluorescence
2.5. Statistical Analysis
3. Results and Discussion
3.1. Effect of [TBA][Cl] on Plant Growth and Development
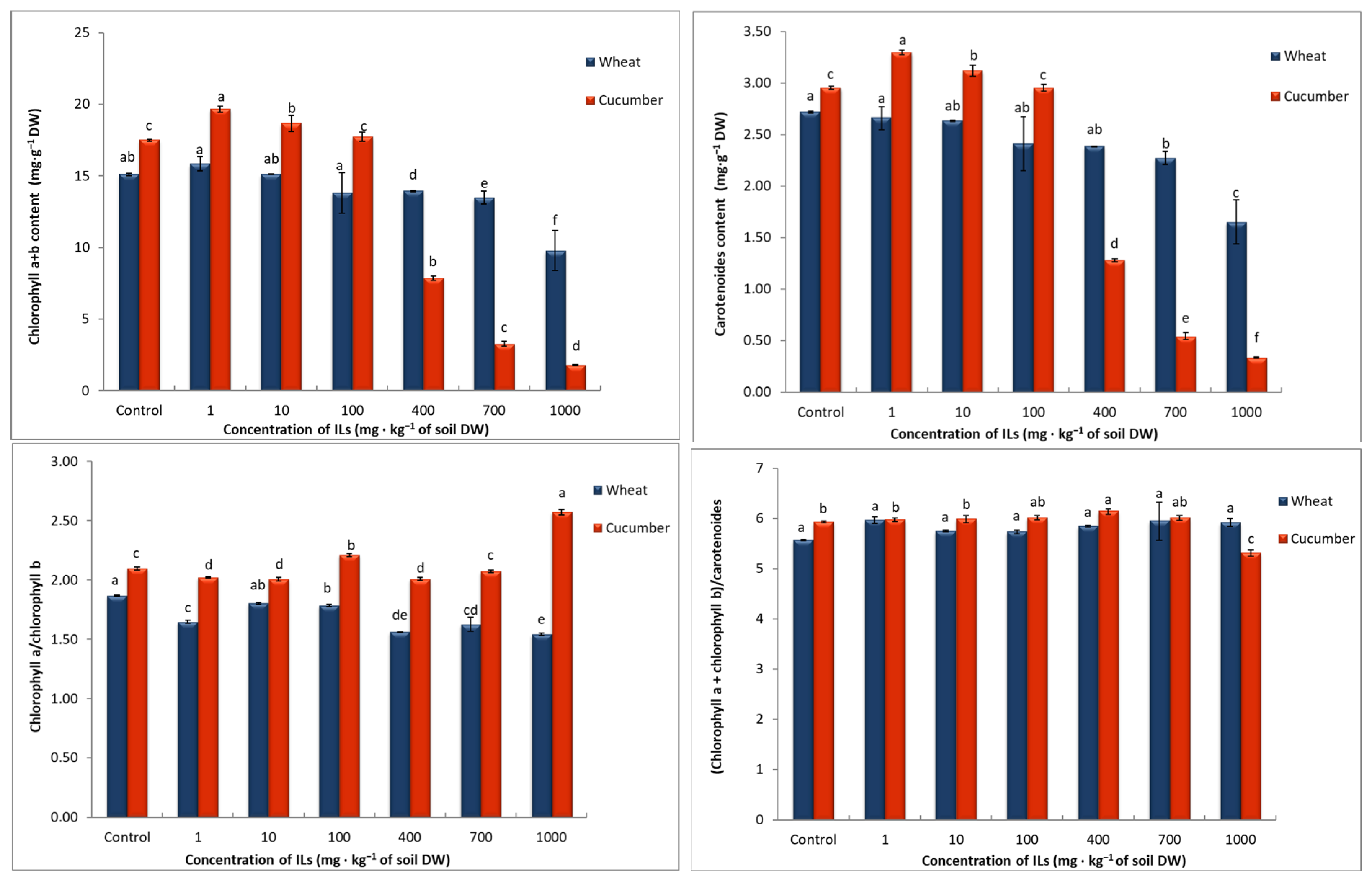
3.2. Effect of [TBA][Cl] on Photosynthetic Pigment Content
3.3. Effect of [TBA][Cl] on Chlorophyll Fluorescence
4. Conclusions
Author Contributions
Funding
Institutional Review Board Statement
Informed Consent Statement
Data Availability Statement
Acknowledgments
Conflicts of Interest
References
- Egorova, K.S.; Ananikov, V.A. Fundamental importance of ionic interactions in the liquid phase: A review of recent studies of ionic liquids in biomedical and pharmaceutical applications. J. Mol. Liq. 2018, 272, 271–300. [Google Scholar] [CrossRef]
- Cvjetko Bubalo, M.; Radošević, K.; Radojčić Redovniković, I.; Halambek, J.; Srček, V.G. A brief overview of the potential environmental hazards of ionic liquids. Ecotoxicol. Environ. Saf. 2014, 99, 1–12. [Google Scholar] [CrossRef] [PubMed]
- Cvjetko Bubalo, M.; Radošević, K.; Radojčić Redovniković, I.; Slivac, I.; Gaurina Srček, V. Toxicity mechanisms of ionic liquids. Arh. Hig. Rada. Toksikol. 2017, 68, 171–179. [Google Scholar] [CrossRef] [PubMed]
- Cho, C.-W.; Pham, T.P.T.; Zhao, Y.; Stolte, S.; Yun, Y.-S. Review of the toxic effects of ionic liquids. Sci. Total Environ. 2021, 786, 147309. [Google Scholar] [CrossRef]
- Chu, L.; Kang, X.; Li, D.; Song, X.; Zhao, X. The toxicological mechanism of two typical imidazole ionic liquids in textile industry on Isatis tinctorial. Chemosphere 2021, 275, 130042. [Google Scholar] [CrossRef]
- Chu, L.; Hou, X.; Song, X.; Zhao, X. Toxicological effects of different ionic liquids on growth, photosynthetic pigments, oxidative stress, and ultrastructure of Nostoc punctiforme and the combined toxicity with heavy metals. Chemosphere 2022, 298, 134273. [Google Scholar] [CrossRef]
- Daničić, M.; Vraneš, M.; Putnik-Delić, M.; Tot, A.; Weihs, P.; Maksimović, I. Mineral composition and growth of tomato and cucumber affected by imidazolium-based ionic liquids. Plant Physiol. Biochem. 2021, 167, 132–139. [Google Scholar] [CrossRef]
- Magina, S.; Barros-Timmons, A.; Ventura, S.P.M.; Evtuguin, D.V. Evaluating the hazardous impact of ionic liquids—Challenges and opportunities. J. Hazard. Mater. 2021, 412, 125215. [Google Scholar] [CrossRef]
- Kapitanov, I.V.; Raba, G.; Špulák, M.; Vilu, R.; Karpichev, Y.; Gathergood, N. Design of sustainable ionic liquids based on L-phenylalanine and L-alanine dipeptides: Synthesis, toxicity and biodegradation studies. J. Mol. Liq. 2023, 374, 121285. [Google Scholar] [CrossRef]
- Liu, T.; Zhu, L.; Wang, J.; Wang, J.; Xie, H. The genotoxic and cytotoxic effects of 1-butyl-3-methylimidazolium chloride in soil on Vicia faba seedlings. J. Hazard. Mater. 2015, 285, 27–36. [Google Scholar] [CrossRef]
- Studzińska, S.; Buszewski, B. Study of toxicity of imidazolium ionic liquids to watercress (Lepidium sativum L.). Anal. Bioanal. Chem. 2009, 393, 983–990. [Google Scholar] [CrossRef]
- Parus, A.; Zdebelak, O.; Ciesielski, T.; Szumski, R.; Woźniak-Karczewska, M.; Framski, G.; Baranowski, D.; Niemczak, M.; Zembrzuska, J.; Cajthaml, T.; et al. Can ionic liquids exist in the soil environment? Effect of quaternary ammonium cations on glyphosate sorption, mobility and toxicity in the selected herbicidal ionic liquids. J. Mol. Liq. 2023, 370, 120981. [Google Scholar] [CrossRef]
- Zhu, J.; Bie, Z.; Huang, Y.; Han, X. Effect of grafting on the growth and ion concentrations of cucumber seedlings under NaCl stress. Soil Sci. Plant Nutr. 2008, 54, 895–902. [Google Scholar] [CrossRef]
- Zhu, J.; Bie, Z.; Li, Y. Physiological and growth responses of two different salt-sensitive cucumber cultivars to NaCl stress. Soil Sci. Plant Nutr. 2008, 54, 400–407. [Google Scholar] [CrossRef]
- Liu, H.; Zhang, X.; Dong, Y.; Chen, C.; Zhu, S.; Ma, X. Enantioselective toxicities of chiral ionic liquids 1-alkyl-3-methylimidazolium tartrate on Scenedesmus obliquus. Aquat. Toxicol. 2015, 169, 179–187. [Google Scholar] [CrossRef] [PubMed]
- Cho, C.-W.; Pham, T.P.T.; Jeon, Y.-C.; Vijayaraghavan, K.; Choe, W.-S.; Yun, Y.-S. Toxicity of imidazolium salt with anion bromide to a phytoplankton Selenastrum capricornutum: Effect of alkyl-chain length. Chemosphere 2007, 69, 1003–1007. [Google Scholar] [CrossRef]
- OECD/OCDE 208, Guidelines for the Testing of Chemical. Terrestrial Plant: Seedling Test: Seedling Emergence and Seedling Growth Test. 2006. Available online: https://www.oecd.org/chemicalsafety/testing/33653757.pdf (accessed on 30 June 2022).
- PN-EN ISO 11269:2; Determination of the Effects of Pollutants on Soil Flora. Part 2: Effects of Contaminated Soil on the Emergence and Early Growth of Higher Plants. International Organization for Standardization (ISO): Geneva, Switzerland, 2012.
- Wang, L.-S.; Wang, L.; Wang, L.; Wang, G.; Li, Z.-H.; Wang, J.-J. Effect of 1-butyl-3-methylimidazolium tetrafluoroborate on the wheat (Triticum aestivum L.) seedlings. Environ. Toxicol. 2009, 24, 296–303. [Google Scholar] [CrossRef]
- Kowalska, I. Zawartość Wybranych Składników Szpinaku (Spinacia oleraceae L.) Uprawianym Przy Zróżnicowanej Zawartości Wapnia. Rocz. AR Pozn. 2004, 38, 105–110. (In Polish) [Google Scholar]
- Oren, R.; Werk, K.S.; Buchmann, N.; Zimmermann, R. Chlorophyll-nutrient relationships identify nutritionally caused decline in Picea abies stands. Can. J. For. Res. 1993, 23, 1187–1195. [Google Scholar] [CrossRef]
- Biczak, R. Changes in growth and physiological parameters of spring barley and common radish under the influence of 1-butyl-2,3-dimethylimidazolium tetrafluoroborate. Plant Physiol. Biochem. 2017, 115, 259–268. [Google Scholar] [CrossRef]
- Biczak, R.; Pawłowska, B.; Feder-Kubis, J.; Telesiński, A. Comparison of the effect of ionic liquids containing hexafluorophosphate and trifluoroacetate anions on the inhibition of growth and oxidative stress in spring barley and common radish. Environ. Toxicol. Chem. 2017, 36, 2167–2177. [Google Scholar] [CrossRef]
- Habibul, N.; Ilmurat, M.; Habibul, Z.; Hu, Y.; Ma, X. Uptake and accumulation of imidazolium ionic liquids in rice seedlings: Impacts of alkyl chain length. Chemosphere 2020, 242, 125228. [Google Scholar] [CrossRef] [PubMed]
- Cvjetko Bubalo, M.; Hanousek, K.; Radošević, K.; Srček, V.G.; Jakovljević, T.; Radojčić Redovniković, I. Imidazolium based ionic liquids: Effect of different anions and alkyl chains lengths on the barley seedlings. Ecotoxicol. Environ. Saf. 2014, 101, 116–123. [Google Scholar] [CrossRef]
- Xu, Y.; Wang, J.; Zhu, L.; Du, Z.; Wang, J.; Wei, K. Physiological and biochemical responses of wheat (Triticum aestivum L.) seedlings to three imidazolium-based ionic liquids in soil. Chemosphere 2018, 191, 81–88. [Google Scholar] [CrossRef] [PubMed]
- Chapman, N.; Miller, A.J.; Lindsey, K.; Whalley, W.R. Roots, water, and nutrient acquisition: Let’s get physical. Trends Plant Sci. 2012, 17, 701–710. [Google Scholar] [CrossRef] [PubMed]
- Liu, H.; Zhang, S.; Hu, X.; Chen, C. Phytotoxicity and oxidative stress effect of 1-octyl-3-methylimidazolium chloride ionic liquid on rice seedlings. Environ. Pollut. 2013, 181, 242–249. [Google Scholar] [CrossRef]
- Liu, T.; Zhu, L.; Wang, J.; Wang, J.; Tan, M. Phytotoxicity of imidazolium-based ILs with different anions in soil on Vicia faba seedlings and the influence of anions on toxicity. Chemosphere 2016, 145, 269–276. [Google Scholar] [CrossRef]
- Chen, Z.; Zhou, Q.; Guan, W.; Wang, J.; Li, Y.; Yu, N.; Wei, J. Effects of imidazolium-based ionic liquids with different anions on wheat seedlings. Chemosphere 2018, 194, 20–27. [Google Scholar] [CrossRef]
- Pawłowska, B.; Feder-Kubis, J.; Telesiński, A.; Biczak, R. Biochemical Responses of Wheat Seedlings on the Introduction of Selected Chiral Ionic Liquids to the Soils. J. Agric. Food Chem. 2019, 67, 3086–3095. [Google Scholar] [CrossRef]
- Li, Y.; Yang, M.; Liu, L.; Zhang, R.; Cui, Y.; Dang, P.; Ge, X.; Chen, X. Effects of 1-butyl-3-methylimidazolium chloride on the photosynthetic system and metabolism of maize (Zea mays L.) seedlings. Ecotoxicol. Environ. Saf. 2018, 161, 648–654. [Google Scholar] [CrossRef]
- Xia, Y.; Liu, D.; Dong, Y.; Chen, J.; Liu, H. Effect of ionic liquids with different cations and anions on photosystem and cell structure of Scenedesmus obliquus. Chemosphere 2018, 195, 437–447. [Google Scholar] [CrossRef]
- Liu, D.; Liu, H.; Wang, S.; Chen, J.; Xia, Y. The toxicity of ionic liquid 1-decylpyridinium bromide to the algae Scenedesmus obliquus: Growth inhibition, phototoxicity, and oxidative stress. Sci. Total Environ. 2018, 622–623, 1572–1580. [Google Scholar] [CrossRef]
- Kalaji, H.M.; Łoboda, T. Fluorescencja Chlorofilu w Badaniach Stanu Fizjologicznego Roślin; Wydawnictwo SGGW: Warszawa, Polen, 2010. (In Polish) [Google Scholar]
- Lichtenthaler, H.K. Biosynthesis, accumulation and emission of carotenoids, α—Tocopherol, plastoquinone, and isoprene in leaves under high photosynthesis irradiance. Photosynth. Res. 2007, 92, 163–179. [Google Scholar] [CrossRef] [PubMed]
- Zha, Q.; Xi, X.; Jiang, A.; Wang, S.; Tian, Y. Changes in the protective mechanism of photosystem II and molecular regulation in response to high temperature stress in grapevines. Plant Physiol. Biochem. 2016, 101, 43–53. [Google Scholar] [CrossRef] [PubMed]
- Maxwell, K.; Johnson, G.N. Chlorophyll fluorescence-a practical guide. J. Exp. Bot. 2000, 51, 659–668. [Google Scholar] [CrossRef]
- Liu, H.J.; Zhang, S.X.; Zhang, X.Q.; Chen, C.D. Growth inhibition and effect on photosystem by three imidazolium chloride ionic liquids in rice seedlings. J. Hazard. Mater. 2015, 286, 440–448. [Google Scholar] [CrossRef] [PubMed]
- Liu, H.; Xia, Y.; Fan, H.; Xu, Q.; Du, S.; Fang, Z.; Xia, H. Effect of imidazolium-based ionic liquids with varying carbon chain lengths on Arabidopsis thaliana: Response of growth and photosynthetic fluorescence parameters. J. Hazard. Mater. 2018, 358, 327–336. [Google Scholar] [CrossRef]




| Concentration of [TBA][Cl] (mg kg−1 of Soil DW) | Number of Plants in the Pot | Yield of Fresh Weight (g poot−1) | Dry Weight (g g−1 FW) |
|---|---|---|---|
| Wheat | |||
| 0 | 20 ±1 a | 2.323 ±0.264 a | 0.0963 ± 0.0006 d |
| 1 | 19 ± 0 a | 2.139 ± 0.126 a | 0.0938 ± 0.0016 d |
| 10 | 20 ± 1 a | 2.371 ± 0.077 a | 0.0967 ± 0.0018 d |
| 100 | 19 ± 1 a | 2.156 ± 0.015 a | 0.0962 ± 0.0009 d |
| 400 | 20 ± 1 a | 1.463 ± 0.041 b | 0.1089 ± 0.0009 c |
| 700 | 20 ± 1 a | 0.792 ± 0.241 c | 0.1274 ± 0.0020 b |
| 1000 | 19 ± 1 a | 0.228 ± 0.166 d | 0.1651 ± 0.0001 a |
| Cucumber | |||
| 0 | 10 ± 0 a | 3.925 ± 0.104 a | 0.0724 ± 0.0011 e |
| 1 | 9 ± 1 a | 3.599 ± 0.216 a | 0.07127 ±0.0003 e |
| 10 | 9 ± 0 a | 2.960 ± 0.260 b | 0.0745 ±0.0008 e |
| 100 | 10 ± 1 a | 2.567 ± 0.315 b | 0.0863 ± 0.0005 d |
| 400 | 9 ± 1 a | 1.054 ± 0.114 c | 0.1743 ± 0.0070 c |
| 700 | 8 ± 1 a | 0.580 ± 0.131 d | 0.2262 ± 0.0003 b |
| 1000 | 8 ± 2 a | 0.477 ± 0.059 d | 0.3034 ± 0.0002 a |
| Wheat | Cucumber | |
|---|---|---|
| Inhibition for Fresh Weight | 973.9 | 2797 |
| Inhibition for Root Length | 476.7 | 384.6 |
| Inhibition for Shoot Length | 1887 | 2089 |
| Concentration of [TBA][Cl] (mg∙kg−1 of soil DW) | F0 | Fm | Fv | Fv/Fm | Fv/F0 |
|---|---|---|---|---|---|
| Wheat | |||||
| 0 | 199.67 ± 8.73 a | 1002.50 ± 25.11 ab | 802.83 ± 22.06 ab | 0.800 ± 0.007 a | 4.026 ± 0.182 a |
| 1 | 200.17 ± 5.04 a | 1032.17 ± 45.26 a | 832.00 ± 42.74 a | 0.805 ± 0.007 a | 4.156 ± 0.191 a |
| 10 | 196.83 ± 8.42 a | 1009.50 ± 35.37 ab | 812.67 ± 28.05 ab | 0.805 ± 0.004 a | 4.131 ± 0.102 a |
| 100 | 197.67 ± 5.43 a | 1028.50 ± 23.59 a | 830.83 ± 19.43 a | 0.807 ± 0.003 a | 4.204 ± 0.083 a |
| 400 | 179.17 ± 13.33 b | 943.00 ± 77.42 b | 763.83 ± 65.26 b | 0.809 ± 0.005 a | 4.262 ± 0.157 a |
| 700 | - | - | - | - | - |
| 1000 | - | - | - | - | - |
| Cucumber | |||||
| 0 | 188.67 ± 7.06 a | 990.17 ± 18.17 a | 801.50 ± 22.64 a | 0.809 ± 0.009 a | 4.255 ± 0.255 a |
| 1 | 188.00 ± 9.84 a | 997.33 ± 31.02 a | 809.33 ± 23.42 a | 0.811 ± 0.006 a | 4.310 ± 0.160 a |
| 10 | 183.00 ± 6.39 ab | 977.17 ± 13.61 a | 794.17 ± 15.09 a | 0.812 ± 0.007 a | 4.345 ± 0.200 a |
| 100 | 175.33 ± 5.20 b | 930.67 ± 45.34 a | 755.33 ± 42.72 a | 0.811 ± 0.008 a | 4.308 ± 0.216 a |
| 400 | 159.50 ± 7.06 c | 807.50 ± 80.52 b | 648.00 ± 75.24 b | 0.802 ± 0.0018 a | 4.056 ± 0.374 a |
| 700 | - | - | - | - | - |
| 1000 | - | - | - | - | - |
Disclaimer/Publisher’s Note: The statements, opinions and data contained in all publications are solely those of the individual author(s) and contributor(s) and not of MDPI and/or the editor(s). MDPI and/or the editor(s) disclaim responsibility for any injury to people or property resulting from any ideas, methods, instructions or products referred to in the content. |
© 2023 by the authors. Licensee MDPI, Basel, Switzerland. This article is an open access article distributed under the terms and conditions of the Creative Commons Attribution (CC BY) license (https://creativecommons.org/licenses/by/4.0/).
Share and Cite
Pawłowska, B.; Wojtala, D.; Biczak, R. Ionic Liquids as Environmental Pollutants—Analysis of the Effect of Tetrabutylammonium Chloride on the Growth and Development of Wheat and Cucumber. Toxics 2023, 11, 522. https://doi.org/10.3390/toxics11060522
Pawłowska B, Wojtala D, Biczak R. Ionic Liquids as Environmental Pollutants—Analysis of the Effect of Tetrabutylammonium Chloride on the Growth and Development of Wheat and Cucumber. Toxics. 2023; 11(6):522. https://doi.org/10.3390/toxics11060522
Chicago/Turabian StylePawłowska, Barbara, Dagmara Wojtala, and Robert Biczak. 2023. "Ionic Liquids as Environmental Pollutants—Analysis of the Effect of Tetrabutylammonium Chloride on the Growth and Development of Wheat and Cucumber" Toxics 11, no. 6: 522. https://doi.org/10.3390/toxics11060522
APA StylePawłowska, B., Wojtala, D., & Biczak, R. (2023). Ionic Liquids as Environmental Pollutants—Analysis of the Effect of Tetrabutylammonium Chloride on the Growth and Development of Wheat and Cucumber. Toxics, 11(6), 522. https://doi.org/10.3390/toxics11060522

