Associations of Maternal Urinary Concentrations of Phenols, Individually and as a Mixture, with Serum Biomarkers of Thyroid Function and Autoimmunity: Results from the EARTH Study
Abstract
1. Introduction
2. Materials and Methods
2.1. Study Participants
2.2. Exposure Assessment
2.3. Outcome Assessment
2.4. Statistical Analysis
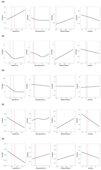
3. Results
4. Discussion
5. Conclusions
Supplementary Materials
Author Contributions
Funding
Institutional Review Board Statement
Informed Consent Statement
Data Availability Statement
Acknowledgments
Conflicts of Interest
Disclaimer
References
- Diamanti-Kandarakis, E.; Bourguignon, J.P.; Giudice, L.C.; Hauser, R.; Prins, G.S.; Soto, A.M.; Zoeller, R.T.; Gore, A.C. Endocrine-disrupting chemicals: An Endocrine Society scientific statement. Endocr. Rev. 2009, 30, 293–342. [Google Scholar] [CrossRef] [PubMed]
- Braun, J.M.; Hauser, R. Bisphenol A and children’s health. Curr. Opin. Pediatr. 2011, 23, 233–239. [Google Scholar] [CrossRef] [PubMed]
- Calafat, A.M.; Wong, L.Y.; Ye, X.; Reidy, J.A.; Needham, L.L. Concentrations of the sunscreen agent benzophenone-3 in residents of the United States: National Health and Nutrition Examination Survey 2003–2004. Environ. Health Perspect. 2008, 116, 893–897. [Google Scholar] [CrossRef] [PubMed]
- Soni, M.G.; Carabin, I.G.; Burdock, G.A. Safety assessment of esters of p-hydroxybenzoic acid (parabens). Food Chem. Toxicol. 2005, 43, 985–1015. [Google Scholar] [CrossRef]
- Soni, M.G.; Taylor, S.L.; Greenberg, N.A.; Burdock, G.A. Evaluation of the health aspects of methyl paraben: A review of the published literature. Food Chem. Toxicol. 2002, 40, 1335–1373. [Google Scholar] [CrossRef]
- Guo, Y.; Wang, L.; Kannan, K. Phthalates and parabens in personal care products from China: Concentrations and human exposure. Arch. Environ. Contam. Toxicol. 2014, 66, 113–119. [Google Scholar] [CrossRef]
- Ma, W.L.; Zhao, X.; Lin, Z.Y.; Mohammed, M.O.; Zhang, Z.F.; Liu, L.Y.; Song, W.W.; Li, Y.F. A survey of parabens in commercial pharmaceuticals from China and its implications for human exposure. Environ. Int. 2016, 95, 30–35. [Google Scholar] [CrossRef]
- Moreta, C.; Tena, M.T.; Kannan, K. Analytical method for the determination and a survey of parabens and their derivatives in pharmaceuticals. Environ. Res. 2015, 142, 452–460. [Google Scholar] [CrossRef]
- Alfhili, M.A.; Lee, M.H. Triclosan: An Update on Biochemical and Molecular Mechanisms. Oxid. Med. Cell. Longev. 2019, 2019, 1607304. [Google Scholar] [CrossRef]
- Weatherly, L.M.; Gosse, J.A. Triclosan exposure, transformation, and human health effects. J. Toxicol. Environ. Health B Crit. Rev. 2017, 20, 447–469. [Google Scholar] [CrossRef]
- Koch, H.M.; Preuss, R.; Angerer, J. Di(2-ethylhexyl)phthalate (DEHP): Human metabolism and internal exposure-- an update and latest results. Int. J. Androl. 2006, 29, 155–165; discussion 181–155. [Google Scholar] [CrossRef]
- Koch, H.M.; Christensen, K.L.; Harth, V.; Lorber, M.; Bruning, T. Di-n-butyl phthalate (DnBP) and diisobutyl phthalate (DiBP) metabolism in a human volunteer after single oral doses. Arch. Toxicol. 2012, 86, 1829–1839. [Google Scholar] [CrossRef]
- Kao, M.L.; Ruoff, B.; Bower, N.; Aoki, T.; Smart, C.; Mannens, G. Pharmacokinetics, metabolism and excretion of 14C-monoethyl phthalate (MEP) and 14C-diethyl phthalate (DEP) after single oral and IV administration in the juvenile dog. Xenobiotica Fate Foreign Compd. Biol. Syst. 2012, 42, 389–397. [Google Scholar] [CrossRef]
- Calafat, A.M.; Longnecker, M.P.; Koch, H.M.; Swan, S.H.; Hauser, R.; Goldman, L.R.; Lanphear, B.P.; Rudel, R.A.; Engel, S.M.; Teitelbaum, S.L.; et al. Optimal Exposure Biomarkers for Nonpersistent Chemicals in Environmental Epidemiology. Environ. Health Perspect. 2015, 123, A166–A168. [Google Scholar] [CrossRef]
- CDC (Centers for Disease Control and Prevention). Fourth Report on Human Exposure to Environmental Chemicals, Updated Tables, (January 2019); U.S. Department of Health and Human Services, Centers for Disease Control and Prevention: Atlanta, GA, USA, 2019. Available online: https://www.cdc.gov/exposurereport/ (accessed on 1 April 2020).
- Vo, T.T.; Yoo, Y.M.; Choi, K.C.; Jeung, E.B. Potential estrogenic effect(s) of parabens at the prepubertal stage of a postnatal female rat model. Reprod. Toxicol. 2010, 29, 306–316. [Google Scholar] [CrossRef]
- Skórkowska, A.; Maciejska, A.; Pomierny, B.; Krzyżanowska, W.; Starek-Świechowicz, B.; Bystrowska, B.; Broniowska, Ż.; Kazek, G.; Budziszewska, B. Effect of Combined Prenatal and Adult Benzophenone-3 Dermal Exposure on Factors Regulating Neurodegenerative Processes, Blood Hormone Levels, and Hematological Parameters in Female Rats. Neurotox. Res. 2020, 37, 683–701. [Google Scholar] [CrossRef]
- Paul, K.B.; Hedge, J.M.; DeVito, M.J.; Crofton, K.M. Short-term exposure to triclosan decreases thyroxine in vivo via upregulation of hepatic catabolism in Young Long-Evans rats. Toxicol. Sci. 2010, 113, 367–379. [Google Scholar] [CrossRef]
- Berger, K.; Gunier, R.B.; Chevrier, J.; Calafat, A.M.; Ye, X.; Eskenazi, B.; Harley, K.G. Associations of maternal exposure to triclosan, parabens, and other phenols with prenatal maternal and neonatal thyroid hormone levels. Environ. Res. 2018, 165, 379–386. [Google Scholar] [CrossRef]
- Aker, A.M.; Johns, L.; McElrath, T.F.; Cantonwine, D.E.; Mukherjee, B.; Meeker, J.D. Associations between maternal phenol and paraben urinary biomarkers and maternal hormones during pregnancy: A repeated measures study. Environ. Int. 2018, 113, 341–349. [Google Scholar] [CrossRef]
- Aker, A.M.; Ferguson, K.K.; Rosario, Z.Y.; Mukherjee, B.; Alshawabkeh, A.N.; Calafat, A.M.; Cordero, J.F.; Meeker, J.D. A repeated measures study of phenol, paraben and Triclocarban urinary biomarkers and circulating maternal hormones during gestation in the Puerto Rico PROTECT cohort. Environ. Health 2019, 18, 28. [Google Scholar] [CrossRef]
- Ha, N.Y.; Kim, D.H.; Ryu, J.Y. Relationship between triclosan exposure and thyroid hormones: The Second Korean National Environmental Health Survey (2012–2014). Ann. Occup. Environ. Med. 2019, 31, e22. [Google Scholar] [CrossRef]
- Derakhshan, A.; Shu, H.; Peeters, R.P.; Kortenkamp, A.; Lindh, C.H.; Demeneix, B.; Bornehag, C.G.; Korevaar, T.I.M. Association of urinary bisphenols and triclosan with thyroid function during early pregnancy. Environ. Int. 2019, 133, 105123. [Google Scholar] [CrossRef] [PubMed]
- Skarha, J.; Mínguez-Alarcón, L.; Williams, P.L.; Korevaar, T.I.M.; de Poortere, R.A.; Broeren, M.A.C.; Ford, J.B.; Eliot, M.; Hauser, R.; Braun, J.M. Cross-sectional associations between urinary triclosan and serum thyroid function biomarker concentrations in women. Environ. Int. 2019, 122, 256–262. [Google Scholar] [CrossRef] [PubMed]
- Birnbaum, L.S. NIEHS’s new strategic plan. Environ. Health Perspect. 2012, 120, a298. [Google Scholar] [CrossRef] [PubMed]
- Bobb, J.F.; Valeri, L.; Claus Henn, B.; Christiani, D.C.; Wright, R.O.; Mazumdar, M.; Godleski, J.J.; Coull, B.A. Bayesian kernel machine regression for estimating the health effects of multi-pollutant mixtures. Biostatistics 2015, 16, 493–508. [Google Scholar] [CrossRef] [PubMed]
- Minguez-Alarcon, L.; Gaskins, A.J.; Chiu, Y.H.; Souter, I.; Williams, P.L.; Calafat, A.M.; Hauser, R.; Chavarro, J.E. Dietary folate intake and modification of the association of urinary bisphenol A concentrations with in vitro fertilization outcomes among women from a fertility clinic. Reprod. Toxicol. 2016, 65, 104–112. [Google Scholar] [CrossRef] [PubMed]
- Korevaar, T.; Minguez-Alarcon, L.; Messerlian, C.; de Poortere, R.; Williams, P.; Broeren, M.; Hauser, R.; Souter, I. The association of thyroid function and autoimmunity with ovarian reserve in women seeking infertility care. Thyroid 2018, 28, 1349–1358. [Google Scholar] [CrossRef]
- SART. Preliminary SART Clinic Summary Report: SART (Societry for Assisted Reproductive Technologies); SART: Vestavia Hills, AL, USA, 2015; Volume 2017. [Google Scholar]
- Barr, D.B.; Wilder, L.C.; Caudill, S.P.; Gonzalez, A.J.; Needham, L.L.; Pirkle, J.L. Urinary creatinine concentrations in the U.S. population: Implications for urinary biologic monitoring measurements. Environ. Health Perspect. 2005, 113, 192–200. [Google Scholar] [CrossRef]
- Schisterman, E.F.; Whitcomb, B.W.; Louis, G.M.; Louis, T.A. Lipid adjustment in the analysis of environmental contaminants and human health risks. Environ. Health Perspect. 2005, 113, 853–857. [Google Scholar] [CrossRef]
- Zhou, X.; Kramer, J.P.; Calafat, A.M.; Ye, X. Automated on-line column-switching high performance liquid chromatography isotope dilution tandem mass spectrometry method for the quantification of bisphenol A, bisphenol F, bisphenol S, and 11 other phenols in urine. J. Chromatogr. B Anal. Technol. Biomed. Life Sci. 2014, 944, 152–156. [Google Scholar] [CrossRef]
- Lapidus, N.; Chevret, S.; Resche-Rigon, M. Assessing assay agreement estimation for multiple left-censored data: A multiple imputation approach. Stat. Med. 2014, 33, 5298–5309. [Google Scholar] [CrossRef]
- CDC (Centers for Disease Control and Prevention). National Health and Nutrition Examination Survey. Questionnaires, Datasets, and Related Documentation. NHANES 2015–2016. 2015–2016 Lab Methods. Personal Care and Consumer Product Chemicals and Metabolites Laboratory Procedure Manual. 2019. Available online: https://wwwn.cdc.gov/nchs/data/nhanes/2015-2016/labmethods/EPHPP_I_MET.pdf (accessed on 1 April 2020).
- Caudill, S.P.; Schleicher, R.L.; Pirkle, J.L. Multi-rule quality control for the age-related eye disease study. Stat. Med. 2008, 27, 4094–4106. [Google Scholar] [CrossRef]
- CDC (Centers for Disease Control and Prevention). National Health and Nutrition Examination Survey. Questionnaires, Datasets, and Related Documentation. Nhanes 2017–2018. 2017–2018 Lab Methods. Metabolites of Phthalates and Phthalate Alternatives Laboratory Procedure Manual. 2021. Available online: https://wwwn.Cdc.Gov/nchs/data/nhanes/2017-2018/labmethods/phthte-j-met-508.Pdf (accessed on 1 April 2022).
- CDC (Centers for Disease Control and Prevention). National Report on Human Exposure to Environmental Chemicals; U.S. Department of Health and Human Services, Centers for Disease Control and Prevention: Atlanta, GA, USA, 2022. Available online: https://www.Cdc.Gov/exposurereport/ (accessed on 1 April 2022).
- Valeri, L.; Mazumdar, M.M.; Bobb, J.F.; Claus Henn, B.; Rodrigues, E.; Sharif, O.I.A.; Kile, M.L.; Quamruzzaman, Q.; Afroz, S.; Golam, M.; et al. The Joint Effect of Prenatal Exposure to Metal Mixtures on Neurodevelopmental Outcomes at 20–40 Months of Age: Evidence from Rural Bangladesh. Environ. Health Perspect. 2017, 125, 067015. [Google Scholar] [CrossRef]
- McGee, G.; Wilson, A.; Webster, T.F.; Coull, B.A. Bayesian multiple index models for environmental mixtures. Biometrics 2021. [Google Scholar] [CrossRef]
- Wood, S.; Wood, M. Package “mgcv.”, R Package Version 1.29; RStudio: Boston, MA, USA, 2015. [Google Scholar]
- van Buuren, S.; Groothuis-Oudshoorn, K.; Robitzsch, A.; Vink, G.; Doove, L.; Jolani, S. Package ‘mice’; CRAN: Vienna, Austria, 2015. [Google Scholar]
- Minguez-Alarcon, L.; Chiu, Y.H.; Nassan, F.L.; Williams, P.L.; Petrozza, J.; Ford, J.B.; Calafat, A.M.; Hauser, R.; Chavarro, J.E. Urinary concentrations of benzophenone-3 and reproductive outcomes among women undergoing infertility treatment with assisted reproductive technologies. Sci. Total. Environ. 2019, 678, 390–398. [Google Scholar] [CrossRef]
- Romano, M.E.; Webster, G.M.; Vuong, A.M.; Thomas Zoeller, R.; Chen, A.; Hoofnagle, A.N.; Calafat, A.M.; Karagas, M.R.; Yolton, K.; Lanphear, B.P.; et al. Gestational urinary bisphenol A and maternal and newborn thyroid hormone concentrations: The HOME Study. Environ. Res. 2015, 138, 453–460. [Google Scholar] [CrossRef]
- Sheehan, M.T. Biochemical Testing of the Thyroid: TSH is the Best and, Oftentimes, Only Test Needed—A Review for Primary Care. Clin. Med. Res. 2016, 14, 83–92. [Google Scholar] [CrossRef]
- Ganie, M.A.; Marwaha, R.K.; Aggarwal, R.; Singh, S. High prevalence of polycystic ovary syndrome characteristics in girls with euthyroid chronic lymphocytic thyroiditis: A case-control study. Eur. J. Endocrinol. 2010, 162, 1117–1122. [Google Scholar] [CrossRef]
- Janssen, O.E.; Mehlmauer, N.; Hahn, S.; Offner, A.H.; Gärtner, R. High prevalence of autoimmune thyroiditis in patients with polycystic ovary syndrome. Eur. J. Endocrinol. 2004, 150, 363–369. [Google Scholar] [CrossRef]
- Vernet, C.; Philippat, C.; Agier, L.; Calafat, A.M.; Ye, X.; Lyon-Caen, S.; Hainaut, P.; Siroux, V.; Schisterman, E.F.; Slama, R. An Empirical Validation of the Within-subject Biospecimens Pooling Approach to Minimize Exposure Misclassification in Biomarker-based Studies. Epidemiology 2019, 30, 756–767. [Google Scholar] [CrossRef]
- Perrier, F.; Giorgis-Allemand, L.; Slama, R.; Philippat, C. Within-subject Pooling of Biological Samples to Reduce Exposure Misclassification in Biomarker-based Studies. Epidemiology 2016, 27, 378–388. [Google Scholar] [CrossRef] [PubMed]
- Smith, K.W.; Braun, J.M.; Williams, P.L.; Ehrlich, S.; Correia, K.F.; Calafat, A.M.; Ye, X.; Ford, J.; Keller, M.; Meeker, J.D.; et al. Predictors and variability of urinary paraben concentrations in men and women, including before and during pregnancy. Environ. Health Perspect. 2012, 120, 1538–1543. [Google Scholar] [CrossRef] [PubMed]
- Braun, J.M.; Smith, K.W.; Williams, P.L.; Calafat, A.M.; Berry, K.; Ehrlich, S.; Hauser, R. Variability of urinary phthalate metabolite and bisphenol A concentrations before and during pregnancy. Environ. Health Perspect. 2012, 120, 739–745. [Google Scholar] [CrossRef] [PubMed]



| Demographics | |
|---|---|
| Age, years | 34.0 (32.0, 38.0) |
| White (race), N (%) | 281 (83) |
| Body Mass Index, kg/m2 | 23.2 (21.2, 26.2) |
| Ever smoked, N (%) | 90 (26) |
| Education, N (%) | |
| High school/some college | 67 (20) |
| College graduate | 99 (29) |
| Graduate degree | 173 (51) |
| Reproductive history | |
| Initial infertility diagnosis, N (%) | |
| Male factor | 80 (24) |
| Female factor | 151 (44) |
| Unexplained | 107 (32) |
| Thyroid biomarkers | |
| TSH (mU/L) | 1.85 (1.40, 2.60) |
| Free T4 (pmol/L) | 15.5 (14.1, 16.7) |
| Total T4 (nmol/L) | 96.8 (86.5, 110) |
| Free T3 (pmol/L) | 4.80 (4.47, 5.21) |
| Total T3 (nmol/L) | 1.79 (1.58, 2.06) |
| TgAb positivity (>115 IU/mL), N (%) | 37 (11) |
| TPOAb positivity (>35 IU/mL), N (%) | 35 (10) |
| Linear | Additive | |||
|---|---|---|---|---|
| Est | 95% CI | Est | 95% CI | |
| TSH | 0.11 | (−0.20, 0.42) | 0.13 | (−0.70, 0.97) |
| fT4 | −0.09 | (−0.68, 0.49) | −0.13 | (−1.36, 1.11) |
| TT4 | −3.57 | (−9.25, 2.12) | −3.14 | (−6.72, 0.44) |
| fT3 | −0.19 | (−0.35, −0.03) | −0.26 | (−0.94, 0.41) |
| TT3 | −0.09 | (−0.21, 0.02) | −0.09 | (−0.58, 0.39) |
| TgAb | 0.97 | (0.37, 2.54) | 0.90 | (0.20, 4.07) |
| TPOAb | 0.84 | (0.33, 2.17) | 1.29 | (0.27, 6.25) |
Disclaimer/Publisher’s Note: The statements, opinions and data contained in all publications are solely those of the individual author(s) and contributor(s) and not of MDPI and/or the editor(s). MDPI and/or the editor(s) disclaim responsibility for any injury to people or property resulting from any ideas, methods, instructions or products referred to in the content. |
© 2023 by the authors. Licensee MDPI, Basel, Switzerland. This article is an open access article distributed under the terms and conditions of the Creative Commons Attribution (CC BY) license (https://creativecommons.org/licenses/by/4.0/).
Share and Cite
McGee, G.; Génard-Walton, M.; Williams, P.L.; Korevaar, T.I.M.; Chavarro, J.E.; Meeker, J.D.; Braun, J.M.; Broeren, M.A.; Ford, J.B.; Calafat, A.M.; et al. Associations of Maternal Urinary Concentrations of Phenols, Individually and as a Mixture, with Serum Biomarkers of Thyroid Function and Autoimmunity: Results from the EARTH Study. Toxics 2023, 11, 521. https://doi.org/10.3390/toxics11060521
McGee G, Génard-Walton M, Williams PL, Korevaar TIM, Chavarro JE, Meeker JD, Braun JM, Broeren MA, Ford JB, Calafat AM, et al. Associations of Maternal Urinary Concentrations of Phenols, Individually and as a Mixture, with Serum Biomarkers of Thyroid Function and Autoimmunity: Results from the EARTH Study. Toxics. 2023; 11(6):521. https://doi.org/10.3390/toxics11060521
Chicago/Turabian StyleMcGee, Glen, Maximilien Génard-Walton, Paige L. Williams, T. I. M. Korevaar, Jorge E. Chavarro, John D. Meeker, Joseph M. Braun, Maarten A. Broeren, Jennifer B. Ford, Antonia M. Calafat, and et al. 2023. "Associations of Maternal Urinary Concentrations of Phenols, Individually and as a Mixture, with Serum Biomarkers of Thyroid Function and Autoimmunity: Results from the EARTH Study" Toxics 11, no. 6: 521. https://doi.org/10.3390/toxics11060521
APA StyleMcGee, G., Génard-Walton, M., Williams, P. L., Korevaar, T. I. M., Chavarro, J. E., Meeker, J. D., Braun, J. M., Broeren, M. A., Ford, J. B., Calafat, A. M., Souter, I., Hauser, R., & Mínguez-Alarcón, L. (2023). Associations of Maternal Urinary Concentrations of Phenols, Individually and as a Mixture, with Serum Biomarkers of Thyroid Function and Autoimmunity: Results from the EARTH Study. Toxics, 11(6), 521. https://doi.org/10.3390/toxics11060521

