Utilization of Indole Acetic Acid with Leucadendron rubrum and Rhododendron pulchrum for the Phytoremediation of Heavy Metals in the Artificial Soil Made of Municipal Sewage Sludge
Abstract
1. Introduction
2. Materials and Methods
2.1. Experimental Site and Characterization of Soils
2.2. Experimental Design
2.3. Sample Analysis
2.4. Evaluation of the Transportation Ability of Heavy Metals
2.5. Statistical Analysis
3. Results and Discussion
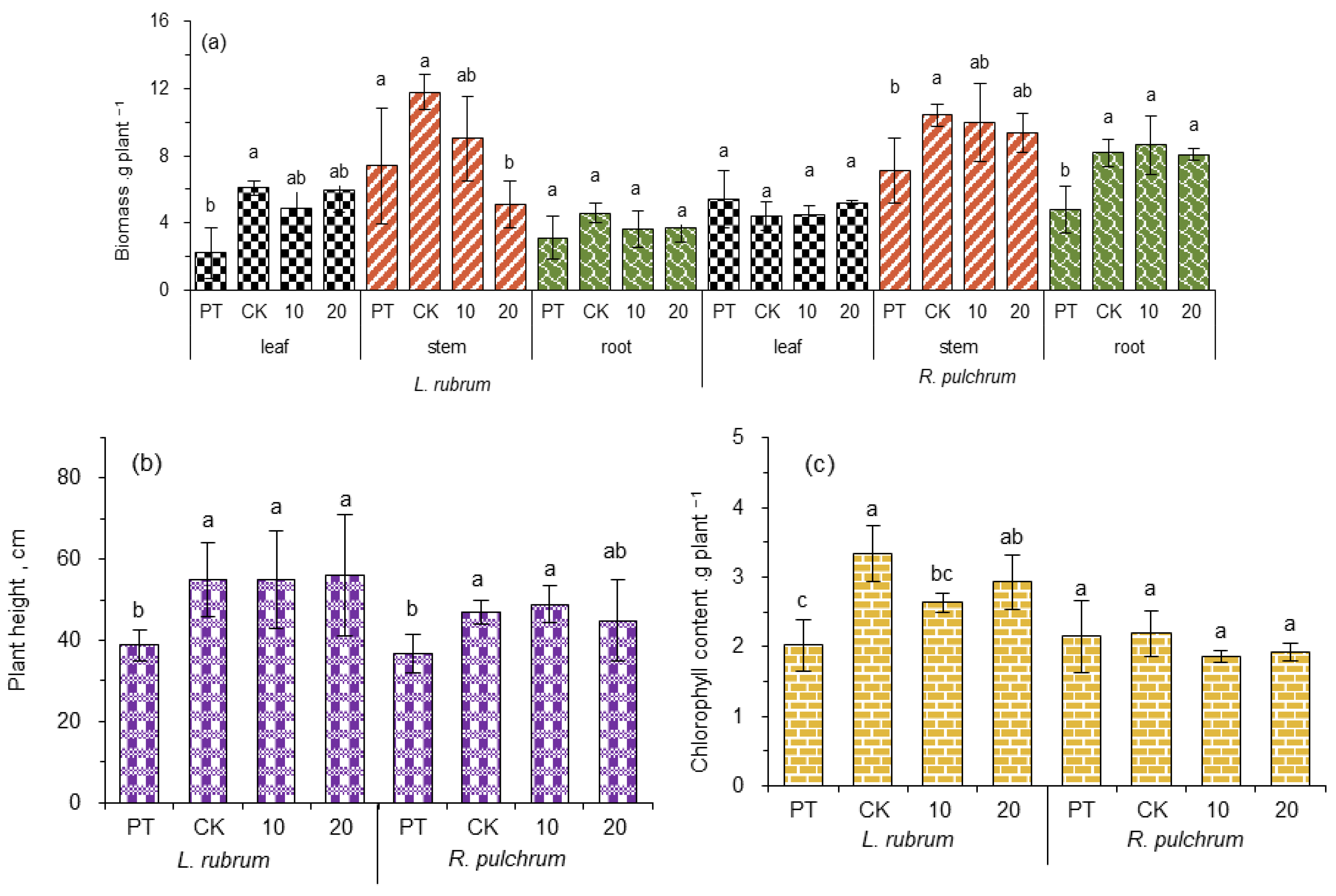
3.1. Garden Plants Growth Situation
3.2. Changes in Physicochemical Properties of Soil
3.3. Heavy Metal Concentrations in Soil
3.4. Heavy Metal Concentrations in the Ornamental Plants
3.5. Bioconcentration and Transport Factors of Heavy Metals by Ornamental Plants
3.6. Phytoremediation of Heavy Metals by Ornamental Plants
3.7. Correlation Analysis
4. Conclusions
Supplementary Materials
Author Contributions
Funding
Institutional Review Board Statement
Informed Consent Statement
Data Availability Statement
Conflicts of Interest
References
- Raheem, A.; Sikarwar, V.S.; He, J.; Dastyar, W.; Dionysiou, D.D.; Wang, W.; Zhao, M. Opportunities and challenges in sustainable treatment and resource reuse of sewage sludge: A review. Chem. Eng. J. 2018, 337, 616–641. [Google Scholar] [CrossRef]
- Yang, G.; Zhang, G.; Wang, H. Current state of sludge production, management, treatment and disposal in China. Water Res. 2015, 78, 60–73. [Google Scholar] [CrossRef] [PubMed]
- Liu, J.; Lin, L.; Wang, K.Y.; Ding, R.; Xie, Z.Q.; Zhang, P.F. Concentrations and species of mercury in municipal sludge of selected Chinese cities and potential mercury emissions from sludge treatment and disposal. Front. Environ. Sci. 2022, 10, 636. [Google Scholar] [CrossRef]
- Yang, J.; Liu, X.; Wang, D.; Xu, Q.; Yang, Q.; Zeng, G.; Li, X.; Liu, Y.; Gong, J.; Ye, J.; et al. Mechanisms of peroxymonosulfate pretreatment enhancing production of short-chain fatty acids from waste activated sludge. Water Res. 2019, 148, 239–249. [Google Scholar] [CrossRef] [PubMed]
- Zhang, Q.; Hu, J.; Lee, D.J.; Chang, Y.; Lee, Y.J. Sludge treatment: Current research trends. Bioresour Technol. 2017, 243, 1159–1172. [Google Scholar] [CrossRef] [PubMed]
- Zhou, Q.; Dai, L.; Bell, R.W. An integrated plan for town-enterprise wastewater reuse and wetland strategy: A case study. Desalination 1996, 106, 439–442. [Google Scholar] [CrossRef]
- Cheng, X.; Wei, C.; Ke, X.; Pan, J.; Wei, G.; Chen, Y.; Wei, C.; Li, F.; Preis, S. Nationwide review of heavy metals in municipal sludge wastewater treatment plants in China: Sources, composition, accumulation and risk assessment. J. Hazard. Mater. 2022, 437, 129267. [Google Scholar] [CrossRef]
- Ziarati, P.; Sawicka, B.; Krochmal-Marczak, B.; Vambol, V.; Vambol, S.; Hosseini, J. Removal of toxic heavy metals by biosorbents from municipal, industrial and pharmaceutical wastewater. In Proceedings of the III International Scientific and Practical Conference “Ecology. Environment. Energy Saving 2022”, Poltava, Ukraine, 1–2 December 2022; pp. 83–86. [Google Scholar]
- Kacprzak, M.; Neczaj, E.; Fijalkowski, K.; Grobelak, A.; Grosser, A.; Worwag, M.; Rorat, A.; Brattebo, H.; Almas, A.; Singh, B.R. Sewage sludge disposal strategies for sustainable development. Environ. Res. 2017, 156, 39–46. [Google Scholar] [CrossRef]
- Aaltonen, H.; Palviainen, M.; Zhou, X.; Koster, E.; Berninger, F.; Pumpanen, J.; Koster, K. Temperature sensitivity of soil organic matter decomposition after forest fire in Canadian permafrost region. J. Environ. Manag. 2019, 241, 637–644. [Google Scholar] [CrossRef]
- Gondek, K.; Mierzwa-Hersztek, M.; Kopeć, M.; Spałek, I. Compost produced with addition of sewage sludge as a source of Fe and Mn for plants. Ecol. Chem. Eng. 2021, 28, 259–275. [Google Scholar] [CrossRef]
- Seleiman, M.F.; Santanen, A.; Jaakkola, S.; Ekholm, P.; Hartikainen, H.; Stoddard, F.L.; Mäkelä, P.S.A. Biomass yield and quality of bioenergy crops grown with synthetic and organic fertilizers. Biomass Bioenergy 2013, 59, 477–485. [Google Scholar] [CrossRef]
- Rodrigues, S.M.; Cruz, N.; Coelho, C.; Henriques, B.; Carvalho, L.; Duarte, A.C.; Pereira, E.; Römkens, P.F. Risk assessment for Cd, Cu, Pb and Zn in urban soils: Chemical availability as the central concept. Environ. Pollut. 2013, 183, 234–242. [Google Scholar] [CrossRef]
- Zhou, J.; Liang, J.N.; Hu, Y.M.; Zhang, W.T.; Liu, H.L.; You, L.Y.; Zhang, W.H.; Gao, M.; Zhou, J. Exposure risk of local residents to copper near the largest flash copper smelter in China. Sci. Total Environ. 2018, 630, 453–461. [Google Scholar] [CrossRef]
- Fang, G.-C.; Huang, Y.-L.; Huang, J.-H. Study of atmospheric metallic elements pollution in Asia during 2000–2007. J. Hazard. Mater. 2010, 180, 115–121. [Google Scholar] [CrossRef]
- Adlane, B.; Xu, Z.; Xu, X.; Liang, L.; Han, J.; Qiu, G. Evaluation of the potential risks of heavy metal contamination in rice paddy soils around an abandoned Hg mine area in Southwest China. Acta Geochim. 2020, 39, 85–95. [Google Scholar] [CrossRef]
- Hoang, S.A.; Bolan, N.; Madhubashani, A.M.P.; Vithanage, M.; Perera, V.; Wijesekara, H.; Wang, H.; Srivastava, P.; Kirkham, M.B.; Mickan, B.S.; et al. Treatment processes to eliminate potential environmental hazards and restore agronomic value of sewage sludge: A review. Environ. Pollut. 2022, 293, 118564. [Google Scholar] [CrossRef]
- Manoj, S.R.; Karthik, C.; Kadirvelu, K.; Arulselvi, P.I.; Shanmugasundaram, T.; Bruno, B.; Rajkumar, M. Understanding the molecular mechanisms for the enhanced phytoremediation of heavy metals through plant growth promoting rhizobacteria: A review. J. Environ. Manag. 2020, 254, 109779. [Google Scholar] [CrossRef]
- Zhou, Q.; Cheng, Y.; Zhang, Q.; Liang, J. Quantitative analyses of relationships between ecotoxicological effects and combined pollution. Sci. China C-Life Sci. 2004, 47, 332–339. [Google Scholar] [CrossRef]
- Sarwar, N.; Imran, M.; Shaheen, M.R.; Ishaque, W.; Kamran, M.A.; Matloob, A.; Rehim, A.; Hussain, S. Phytoremediation strategies for soils contaminated with heavy metals: Modifications and future perspectives. Chemosphere 2017, 171, 710–721. [Google Scholar] [CrossRef]
- Bala, S.; Garg, D.; Thirumalesh, B.V.; Sharma, M.; Sridhar, K.; Inbaraj, B.S.; Tripathi, M. Recent strategies for bioremediation of emerging pollutants: A review for a green and sustainable environment. Toxics 2022, 10, 484. [Google Scholar] [CrossRef]
- Mushtaq, M.U.; Iqbal, A.; Nawaz, I.; Mirza, C.R.; Yousaf, S.; Farooq, G.; Ali, M.A.; Khan, A.H.A.; Iqbal, M. Enhanced uptake of Cd, Cr, and Cu in Catharanthus roseus (L.) G.Don by Bacillus cereus: Application of moss and compost to reduce metal availability. Environ. Sci. Pollut. Res. 2020, 27, 39807–39818. [Google Scholar] [CrossRef] [PubMed]
- Wiszniewska, A.; Hanus-Fajerska, E.; MuszyŃSka, E.; Ciarkowska, K. Natural organic amendments for improved phytoremediation of polluted soils: A review of recent progress. Pedosphere 2016, 26, 1–12. [Google Scholar] [CrossRef]
- Ran, J.K.; Zheng, W.; Wang, H.B.; Wang, H.J.; Li, Q.C. Indole-3-acetic acid promotes cadmium (Cd) accumulation in a Cd hyperaccumulator and a non-hyperaccumulator by different physiological responsesy. Ecotoxicol. Environ. Saf. 2020, 191, 110213. [Google Scholar] [CrossRef] [PubMed]
- Chen, L.; Long, C.; Wang, D.; Yang, J.Y. Phytoremediation of cadmium (Cd) and uranium (U) contaminated soils by Brassica juncea L. enhanced with exogenous application of plant growth regulators. Chemosphere 2020, 242, 125112. [Google Scholar] [CrossRef] [PubMed]
- Chu, S.; Jacobs, D.F.; Liao, D.; Liang, L.L.; Wu, D.; Chen, P.; Lai, C.; Zhong, F.; Zeng, S. Effects of landscape plant species and concentration of sewage sludge compost on plant growth, nutrient uptake, and heavy metal removal. Environ. Sci. Pollut. Res. 2018, 25, 35184–35199. [Google Scholar] [CrossRef]
- Shah, V.; Daverey, A. Phytoremediation: A multidisciplinary approach to clean up heavy metal contaminated soil. Environ. Technol. Innov. 2020, 18, 100774. [Google Scholar] [CrossRef]
- Xiang, M.; Li, Y.; Yang, J.; Lei, K.; Li, Y.; Li, F.; Zheng, D.; Fang, X.; Cao, Y. Heavy metal contamination risk assessment and correlation analysis of heavy metal contents in soil and crops. Environ. Pollut. 2021, 278, 116911. [Google Scholar] [CrossRef]
- Sun, S.; Zhou, X.F.; Cui, X.Y.; Liu, C.P.; Fan, Y.X.; McBride, M.B.; Li, Y.W.; Li, Z.; Zhuang, P. Exogenous plant growth regulators improved phytoextraction efficiency by Amaranths hypochondriacus L. in cadmium contaminated soil. Plant Growth Regul. 2020, 90, 29–40. [Google Scholar] [CrossRef]
- Rasheed, A.; Hassan, M.U.; Fahad, S.; Aamer, M.; Batool, M.; Ilyas, M.; Shang, F.; Wu, Z.; Li, H. Heavy Metals Stress and Plants Defense Responses. In Sustainable Soil and Land Management and Climate Change, 1st ed.; Fahad, S., Sonmez, O., Saud, S., Wang, D., Wu, C., Adnan, M., Turan, V., Eds.; CRC Press: Boca Raton, FL, USA, 2021; p. 26. [Google Scholar] [CrossRef]
- He, S.Y.; Wu, Q.L.; He, Z.L. Synergetic effects of DA-6/GA(3) with EDTA on plant growth, extraction and detoxification of Cd by Lolium perenne. Chemosphere 2014, 117, 132–138. [Google Scholar] [CrossRef]
- Li, F.L.; Qiu, Y.; Xu, X.; Yang, F.; Wang, Z.; Feng, J.; Wang, J. EDTA-enhanced phytoremediation of heavy metals from sludge soil by Italian ryegrass (Lolium perenne L.). Ecotoxicol. Environ. Saf. 2020, 191, 110185. [Google Scholar] [CrossRef]
- Wang, H.H.; Shan, X.Q.; Wen, B.; Owens, G.; Fang, J.; Zhang, S.Z. Effect of indole-3-acetic acid on lead accumulation in maize (Zea mays L.) seedlings and the relevant antioxidant response. Environ. Exp. Bot. 2007, 61, 246–253. [Google Scholar] [CrossRef]
- Ji, P.H.; Jiang, Y.J.; Tang, X.W.; Nguyen, T.H.; Tong, Y.A.; Gao, P.C.; Han, W.S. Enhancing of phytoremediation efficiency using indole-3-acetic acid (IAA). Soil Sediment Contam. 2015, 24, 909–916. [Google Scholar] [CrossRef]
- Zhang, X.; Wang, X.Q.; Wang, D.F. Immobilization of heavy metals in sewage sludge during land application process in China: A Review. Sustainability 2017, 9, 2020. [Google Scholar] [CrossRef]
- Wang, Q.; Nian, F.; Zhao, L.; Li, F.; Yang, H.; Yang, Y. Exogenous indole-3-acetic acid could reduce the accumulation of aluminum in root apex of wheat (Triticum aestivum L.) under Al stress. J. Soil Sci. Plant Nutr. 2013, 13, 534–543. [Google Scholar] [CrossRef]
- Jan, A.U.; Hadi, F.; Shah, A.; Ditta, A.; Nawaz, M.A.; Tariq, M. Plant growth regulators and EDTA improve phytoremediation potential and antioxidant response of Dysphania ambrosioides (L.) Mosyakin & Clemants in a Cd-spiked soil. Environ. Sci. Pollut. Res. 2021, 28, 43417–43430. [Google Scholar] [CrossRef]
- Bian, F.; Zhong, Z.; Li, C.; Zhang, X.; Gu, L.; Huang, Z.; Gai, X.; Huang, Z. Intercropping improves heavy metal phytoremediation efficiency through changing properties of rhizosphere soil in bamboo plantation. J. Hazard. Mater. 2021, 416, 125898. [Google Scholar] [CrossRef]
- Chen, L.; Zhou, S.; Shi, Y.; Wang, C.; Li, B.; Li, Y.; Wu, S. Heavy metals in food crops, soil, and water in the Lihe River Watershed of the Taihu Region and their potential health risks when ingested. Sci. Total Environ. 2018, 615, 141–149. [Google Scholar] [CrossRef]
- Liang, Y.; Xiao, X.; Guo, Z.; Peng, C.; Zeng, P.; Wang, X. Co-application of indole-3-acetic acid/gibberellin and oxalic acid for phytoextraction of cadmium and lead with Sedum alfredii Hance from contaminated soil. Chemosphere 2021, 285, 131420. [Google Scholar] [CrossRef]
- Więckowski, S. The influence of temperature and light intensity on the leaf growth and chlorophyll synthesis. Acta Soc. Bot. Pol. 2015, 32, 719–730. [Google Scholar] [CrossRef]
- Wang, J.L.; Farooq, T.H.; Aslam, A.; Shakoor, A.; Chen, X.Y.; Yan, W.D. Non-targeted metabolomics reveal the impact of phenanthrene stress on root exudates of ten urban greening tree species. Environ. Res. 2021, 196, 110370. [Google Scholar] [CrossRef]
- Proctor, C.; He, Y.H. Quantifying root extracts and exudates of sedge and shrub in relation to root morphology. Soil Biol. Biochem. 2017, 114, 168–180. [Google Scholar] [CrossRef]
- Mitton, F.M.; Gonzalez, M.; Monserrat, J.M.; Miglioranza, K.S.B. Potential use of edible crops in the phytoremediation of endosulfan residues in soil. Chemosphere 2016, 148, 300–306. [Google Scholar] [CrossRef] [PubMed]
- Zhang, X.; Li, M.; Yang, H.; Li, X.; Cui, Z. Physiological responses of Suaeda glauca and Arabidopsis thaliana in phytoremediation of heavy metals. J. Environ. Manag. 2018, 223, 132–139. [Google Scholar] [CrossRef] [PubMed]
- Beldin, S.I.; Caldwell, B.A.; Sollins, P.; Sulzman, E.W.; Lajtha, K.; Crow, S.E. Cation exchange capacity of density fractions from paired conifer/grassland soils. Biol. Fertil. Soils 2007, 43, 837–841. [Google Scholar] [CrossRef]
- Moore, J.A.M.; Sulman, B.N.; Mayes, M.A.; Patterson, C.M.; Classen, A.T. Plant roots stimulate the decomposition of complex, but not simple, soil carbon. Funct. Ecol. 2020, 34, 899–910. [Google Scholar] [CrossRef]
- Zu, Y.Q.; Yuang, L.; Schvartz, C.; Langlade, L.; Fan, L. Accumulation of Pb, Cd, Cu and Zn in plants and hyperaccumulator choice in Lanping lead-zinc mine area, China. Environ. Int. 2004, 30, 567–576. [Google Scholar] [CrossRef]
- Zeng, P.; Guo, Z.; Cao, X.; Xiao, X.; Liu, Y.; Shi, L. Phytostabilization potential of ornamental plants grown in soil contaminated with cadmium. Int. J. Phytoremediation 2018, 20, 311–320. [Google Scholar] [CrossRef]
- Yanai, J.; Zhao, F.J.; McGrath, S.P.; Kosaki, T. Effect of soil characteristics on Cd uptake by the hyperaccumulator Thlaspi caerulescens. Environ. Pollut. 2006, 139, 167–175. [Google Scholar] [CrossRef]
- Zhou, Q.; Liu, Y.; Li, T.; Zhao, H.; Alessi, D.S.; Liu, W.; Konhauser, K.O. Cadmium adsorption to clay-microbe aggregates: Implications for marine heavy metals cycling. Geochim. Et Cosmochim. Acta 2020, 290, 124–136. [Google Scholar] [CrossRef]
- Chen, B.; Luo, S.; Wu, Y.J.; Ye, J.Y.; Wang, Q.; Xu, X.M.; Pan, F.S.; Khan, K.Y.; Feng, Y.; Yang, X.E. The Effects of the endophytic bacterium Pseudomonas fluorescens Sasm05 and IAA on the plant growth and cadmium uptake of Sedum alfredii Hance. Front. Microbiol. 2017, 8, 2538. [Google Scholar] [CrossRef]
- Chen, L.; Hu, W.F.; Long, C.; Wang, D. Exogenous plant growth regulator alleviate the adverse effects of U and Cd stress in sunflower (Helianthus annuus L.) and improve the efficacy of U and Cd remediation. Chemosphere 2021, 262, 127809. [Google Scholar] [CrossRef]
- Yoon, J.; Cao, X.; Zhou, Q.; Ma, L.Q. Accumulation of Pb, Cu, and Zn in native plants growing on a contaminated Florida site. Sci. Total Environ. 2006, 368, 456–464. [Google Scholar] [CrossRef]
- Steliga, T.; Kluk, D. Assessment of the suitability of melilotus officinalis for phytoremediation of soil contaminated with petroleum hydrocarbons (TPH and PAH), Zn, Pb and Cd based on toxicological tests. Toxics 2021, 9, 148. [Google Scholar] [CrossRef]
- Wydro, U.; Jabłońska-Trypuć, A.; Hawrylik, E.; Butarewicz, A.; Rodziewicz, J.; Janczukowicz, W.; Wołejko, E. Heavy Metals Behavior in Soil/Plant System after Sewage Sludge Application. Energies 2021, 14, 1584. [Google Scholar] [CrossRef]
- Chen, Z.; Liu, Q.; Chen, S.; Zhang, S.; Wang, M.; Mujtaba Munir, M.A.; Feng, Y.; He, Z.; Yang, X. Roles of exogenous plant growth regulators on phytoextraction of Cd/Pb/Zn by Sedum alfredii Hance in contaminated soils. Environ. Pollut. 2022, 293, 118510. [Google Scholar] [CrossRef]
- Pandey, V.C. Phytoremediation of heavy metals from fly ash pond by Azolla caroliniana. Ecotoxicol. Environ. Saf. 2012, 82, 8–12. [Google Scholar] [CrossRef]
- Zhou, J.H.; Cheng, K.; Huang, G.M.; Chen, G.C.; Zhou, S.B.; Huang, Y.J.; Zhang, J.; Duan, H.L.; Fan, H.B. Effects of exogenous 3-indoleacetic acid and cadmium stress on the physiological and biochemical characteristics of Cinnamomum camphora. Ecotoxicol. Environ. Saf. 2020, 191, 109998. [Google Scholar] [CrossRef]
- Hadi, F.; Bano, A.; Fuller, M.P. The improved phytoextraction of lead (Pb) and the growth of maize (Zeamays L): The role of plant growth regulators (GA3 and IAA) and EDTA alone and in combinations. Chemosphere 2010, 80, 457–462. [Google Scholar] [CrossRef]
- Liu, J.; Xin, X.; Zhou, Q. Phytoremediation of contaminated soils using ornamental plants. Environ. Rev. 2018, 26, 43–54. [Google Scholar] [CrossRef]
- Kumar, P.N.; Dushenkov, V.; Motto, H.; Raskin, I. Phytoextraction: The use of plants to remove heavy metals from soil. Environ. Sci. Technol. 1995, 29, 1232–1238. [Google Scholar] [CrossRef]
- Qi, Y.; Wei, W.; Chen, C.; Chen, L. Plant root-shoot biomass allocation over diverse biomes: A global synthesis. Glob. Ecol. Conserv. 2019, 18, e00606. [Google Scholar] [CrossRef]
- Ghori, N.H.; Ghori, T.; Hayat, M.Q.; Imadi, S.R.; Gul, A.; Altay, V.; Ozturk, M. Heavy metal stress and responses in plants. Int. J. Environ. Sci. Technol. 2019, 16, 1807–1828. [Google Scholar] [CrossRef]







| Physicochemical Property | Soil Planted with L. rubrum | Soil Planted with R. pulchrum |
|---|---|---|
| pH (soil:water = 1:2.5, n = 9) | 7.92 ± 0.09 | 8.05 ± 0.18 |
| Total nutrients (%, N + P2O5 + K2O) | 3.0 ± 1.8 | 3.1 ± 1.5 |
| Soil organic matter concentration (g kg−1, n = 9) | 65.0 ± 7.0 | 65.8 ± 8.9 |
| Cation exchange capacity (cmol kg−1, n = 9) | 110.7 ± 2.3 | 110 ± 1.3 |
| Cu concentration (mg kg−1, n = 9) | 71.0 ± 2.1 | 68.6 ± 1.5 |
| Zn concentration (mg kg−1, n = 9) | 1470 ± 79 | 1350 ± 70 |
| Pb concentration (mg kg−1, n = 9) | 137 ± 11 | 114.7 ± 9.7 |
| Cd concentration (mg kg−1, n = 9) | 6.6 ± 3.0 | 6.9 ± 2.2 |
| Ni concentration (mg kg−1, n = 9) | 115.8 ± 9.0 | 105.3 ± 5.9 |
Disclaimer/Publisher’s Note: The statements, opinions and data contained in all publications are solely those of the individual author(s) and contributor(s) and not of MDPI and/or the editor(s). MDPI and/or the editor(s) disclaim responsibility for any injury to people or property resulting from any ideas, methods, instructions or products referred to in the content. |
© 2022 by the authors. Licensee MDPI, Basel, Switzerland. This article is an open access article distributed under the terms and conditions of the Creative Commons Attribution (CC BY) license (https://creativecommons.org/licenses/by/4.0/).
Share and Cite
Chen, X.; Feng, J.; Mou, H.; Liang, Z.; Ding, T.; Chen, S.; Li, F. Utilization of Indole Acetic Acid with Leucadendron rubrum and Rhododendron pulchrum for the Phytoremediation of Heavy Metals in the Artificial Soil Made of Municipal Sewage Sludge. Toxics 2023, 11, 43. https://doi.org/10.3390/toxics11010043
Chen X, Feng J, Mou H, Liang Z, Ding T, Chen S, Li F. Utilization of Indole Acetic Acid with Leucadendron rubrum and Rhododendron pulchrum for the Phytoremediation of Heavy Metals in the Artificial Soil Made of Municipal Sewage Sludge. Toxics. 2023; 11(1):43. https://doi.org/10.3390/toxics11010043
Chicago/Turabian StyleChen, Xiaoling, Jianru Feng, Huaqian Mou, Zheng Liang, Tianzheng Ding, Shiyu Chen, and Feili Li. 2023. "Utilization of Indole Acetic Acid with Leucadendron rubrum and Rhododendron pulchrum for the Phytoremediation of Heavy Metals in the Artificial Soil Made of Municipal Sewage Sludge" Toxics 11, no. 1: 43. https://doi.org/10.3390/toxics11010043
APA StyleChen, X., Feng, J., Mou, H., Liang, Z., Ding, T., Chen, S., & Li, F. (2023). Utilization of Indole Acetic Acid with Leucadendron rubrum and Rhododendron pulchrum for the Phytoremediation of Heavy Metals in the Artificial Soil Made of Municipal Sewage Sludge. Toxics, 11(1), 43. https://doi.org/10.3390/toxics11010043

