Potentially Toxic Elements in Water, Sediments and Fish from the Karstic River (Raša River, Croatia) Located in the Former Coal-Mining Area
Abstract
1. Introduction
2. Materials and Methods
2.1. Site Description and Sampling Strategy
2.2. Digestion Procedure and Element Analysis
2.3. Statistical Analysis
2.4. Pollution Evaluation and Risk Estimation
3. Results and Discussion
3.1. Element Levels in Water
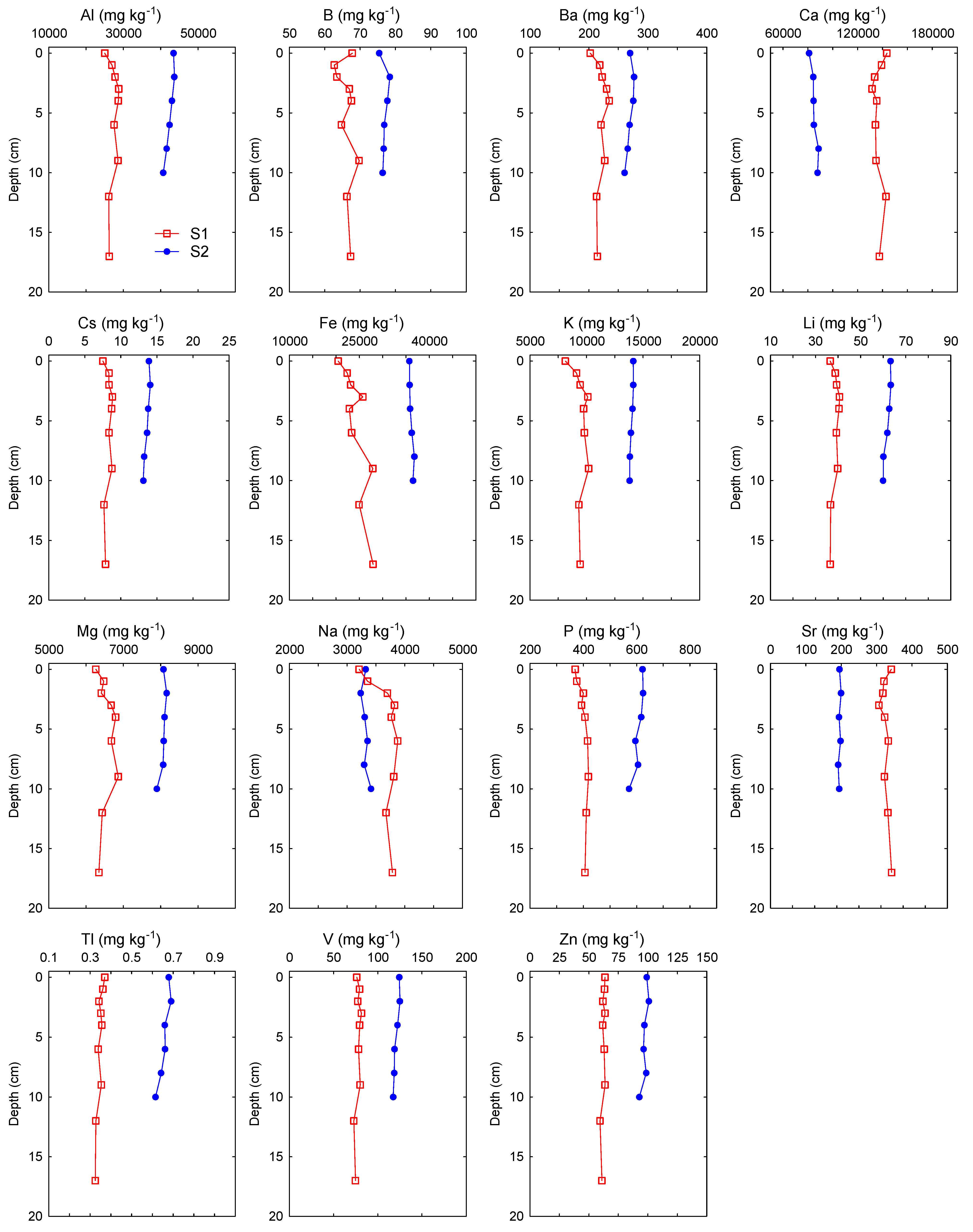
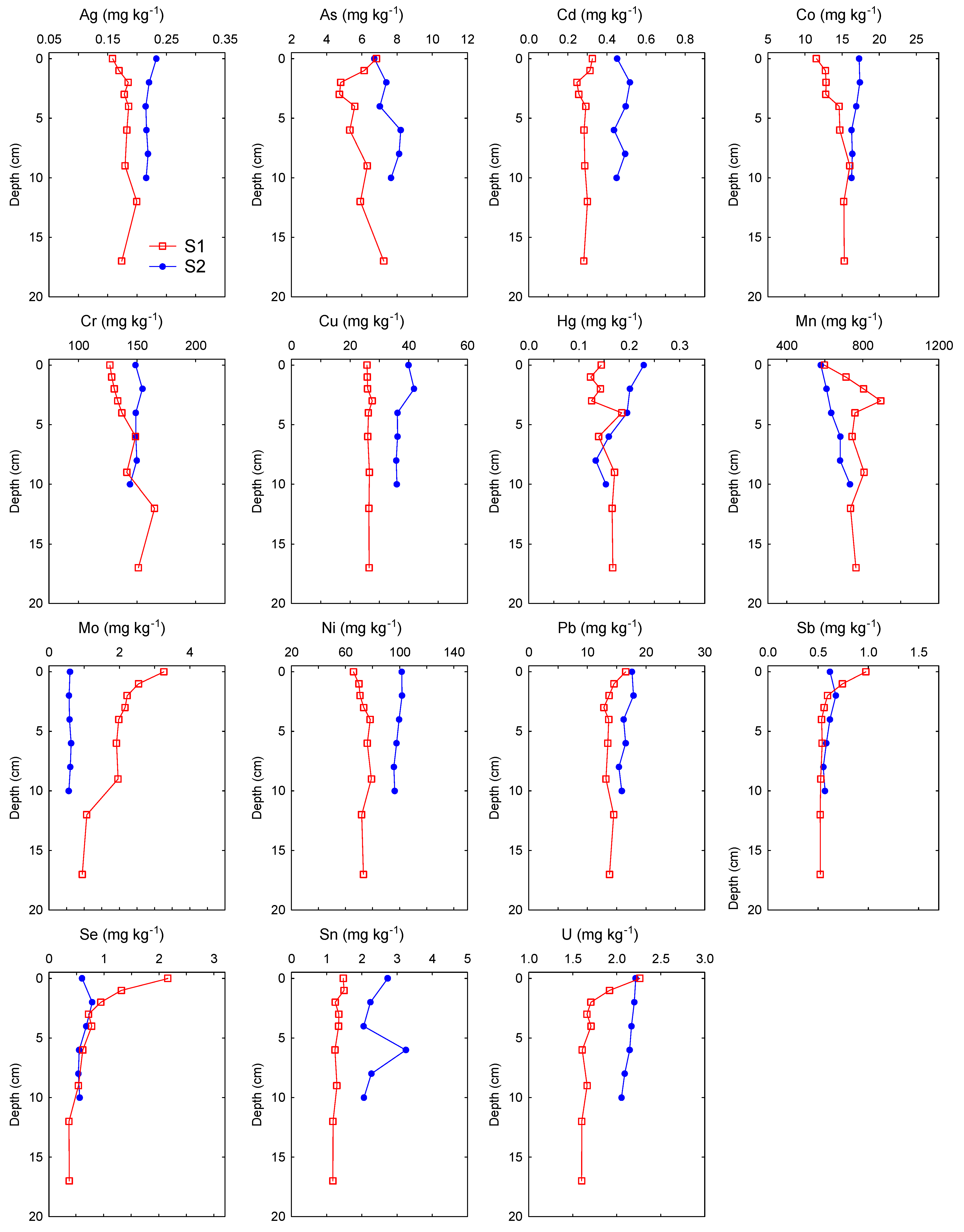
3.2. Element Levels in Sediments
3.3. Element Levels in Fish
4. Conclusions
Supplementary Materials
Author Contributions
Funding
Institutional Review Board Statement
Informed Consent Statement
Data Availability Statement
Acknowledgments
Conflicts of Interest
References
- Istria Tourist Board. Official Tourist Website. Available online: https://www.istra.hr/en (accessed on 25 November 2022).
- Šugar, I. Flora. Available online: https://istra.lzmk.hr/clanak.aspx?id=883 (accessed on 25 November 2022).
- Janjanin, L.; Jaklin, A.; Lipej, B.; Gluhak, T.; Kryštufek, B. Fauna. Available online: https://istra.lzmk.hr/clanak.aspx?id=843 (accessed on 25 November 2022).
- Istria Tourist Board Tourist Arrivals and Nights, by Country of Residence, January-December 2021. Available online: https://www.istra.hr/en/business-information/istria-in-media/statistics/archive-2021 (accessed on 25 November 2022).
- Medunić, G.; Ahel, M.; Mihalić, I.B.; Srček, V.G.; Kopjar, N.; Fiket, Ž.; Bituh, T.; Mikac, I. Toxic Airborne S, PAH, and Trace Element Legacy of the Superhigh-Organic-Sulphur Raša Coal Combustion: Cytotoxicity and Genotoxicity Assessment of Soil and Ash. Sci. Total Environ. 2016, 566–567, 306–319. [Google Scholar] [CrossRef] [PubMed]
- Jakovljević, I.; Mešić, I.; Pehnec, G. Soil Pollution of the Labin City Area with Polycyclic Aromatic Hydrocarbons Derived from Raša Coal Mining and Associated Industries. Rud. Zb. 2022, 37, 139–150. [Google Scholar] [CrossRef]
- Medunić, G.; Bucković, D.; Crnić, A.P.; Bituh, T.; Gaurina Srček, V.; Radošević, K.; Bajramović, M.; Zgorelec, Ž. Sulfur, Metal(Loid)s, Radioactivity, and Cytotoxicity in Abandoned Karstic Raša Coal-Mine Discharges (the North Adriatic Sea). Rud. Zb. 2020, 35, 1–16. [Google Scholar] [CrossRef]
- Medunić, G.; Kuharić, Ž.; Krivohlavek, A.; Đuroković, M.; Dropučić, K.; Rađenović, A.; Oberiter, B.L.; Krizmanić, A.; Bajramović, M. Selenium, Sulphur, Trace Metal, and BTEX Levels in Soil, Water, and Lettuce from the Croatian Raša Bay Contaminated by Superhigh-Organic-Sulphur Coal. Geosciences 2018, 8, 408. [Google Scholar] [CrossRef]
- Ivošević, T.; Momčilović, M.; Bilandžić, N.; Sedak, M.; Petrović, J. Levels of Hazardous Trace Elements in Estuarine Sediments, Fish, Mussels and Wild Boar Collected from the Raša Bay Area (Croatia). Rud. Zb. 2022, 37, 119–135. [Google Scholar] [CrossRef]
- Medunić, G.; Rađenović, A.; Bajramović, M.; Švec, M.; Tomac, M. Once Grand, Now Forgotten: What Do We Know about the Superhigh-Organic-Sulphur Raša Coal? Rud. Zb. 2016, 31, 27–45. [Google Scholar] [CrossRef]
- Medunić, G.; Kuharić, Ž.; Krivohlavek, A.; Fiket, Ž.; Rađenović, A.; Gödel, K.; Kampić, Š.; Kniewald, G. Geochemistry of Croatian Superhigh-Organic-Sulphur Raša Coal, Imported Low-S Coal and Bottom Ash: Their Se and Trace Metal Fingerprints in Seawater, Clover, Foliage and Mushroom Specimens. Int. J. Oil Gas Coal Technol. 2018, 18, 3. [Google Scholar] [CrossRef]
- Sondi, I.; Juračić, M.; Pravdić, V. Sedimentation in a Disequilibrium River-dominated Estuary: The Raša River Estuary (Adriatic Sea, Croatia). Sedimentology 1995, 42, 769–782. [Google Scholar] [CrossRef]
- Medunić, G.; Kuharić, Ž.; Fiket, Ž.; Bajramović, M.; Singh, A.L.; Krivohlavek, A.; Kniewald, G.; Dujmović, L. Selenium and Other Potentially Toxic Elements in Vegetables and Tissues of Three Non-Migratory Birds Exposed to Soil, Water, and Aquatic Sediment Contaminated with Seleniferous Raša Coal. Rud. Geol. Naft. Zb. 2018, 33, 53–62. [Google Scholar] [CrossRef]
- Fiket, Ž.; Petrović, M.; Medunić, G.; Ivošević, T.; Fiket, T.; Xu, L.Z.; Wang, Y.; Ding, S. Evaluation of the Potential Release Tendency of Metals and Metalloids from the Estuarine Sediments: Case Study of Raša Bay. Molecules 2021, 26(21), 6656. [Google Scholar] [CrossRef]
- Frančišković-Bilinski, S.; Scholger, R.; Bilinski, H.; Tibljaš, D. Magnetic, Geochemical and Mineralogical Properties of Sediments from Karstic and Flysch Rivers of Croatia and Slovenia. Environ. Earth Sci. 2014, 72, 3939–3953. [Google Scholar] [CrossRef]
- United Nations Environment Programme. Regulation on the Manner of Fishing in a Special Habitat in the River Basin Raša in 2019 and 2020. Nar. Novine 2019, 98, 1987. [Google Scholar]
- Sondi, I.; Juračić, M.; Prohíć, E.; Pravdić, V. Particulates and the Environmental Capacity for Trace Metals: A Small River as a Model for a Land-Sea Transfer System: The Raša River Estuary. Sci. Total Environ. 1994, 155, 173–185. [Google Scholar] [CrossRef]
- Kottelat, M.; Freyhof, J. Handbook of European Freshwater Fishes; Publications Kottelat: Cornol, Switzerland, 2007; ISBN 978-2-8399-0298-4. [Google Scholar]
- Kljaković-Gašpić, Z.; Herceg Romanić, S.; Bituh, T.; Kašuba, V.; Brčić Karačonji, I.; Brajenović, N.; Franulović, I.; Jurasović, J.; Klinčić, D.; Kopjar, N.; et al. Assessment of Multiple Anthropogenic Contaminants and Their Potential Genotoxicity in the Aquatic Environment of Plitvice Lakes National Park, Croatia. Environ. Monit. Assess. 2018, 190. [Google Scholar] [CrossRef] [PubMed]
- Peh, Z.; Miko, S.; Hasan, O. Geochemical Background in Soils: A Linear Process Domain? An Example from Istria (Croatia). Environ. Earth Sci. 2010, 59, 1367–1383. [Google Scholar] [CrossRef]
- Peh, Z.; Miko, S.; Bukovec, D. The Geochemical Background in Istrian Soils. Nat. Croat. 2003, 12, 195–232. [Google Scholar]
- Turekian, K.K.; Wedepohl, K.H. Distribution of the Elements in Some Major Units of the Earth’s Crust. Geol. Soc. Am. Bull. 1961, 72, 175–192. [Google Scholar] [CrossRef]
- Tomlinson, D.L.; Wilson, J.G.; Harris, C.R.; Jeffrey, D.W. Problems in the Assessment of Heavy-Metal Levels in Estuaries and the Formation of a Pollution Index. Helgoländer Meeresunters. 1980, 33, 566–575. [Google Scholar] [CrossRef]
- Håkanson, L. An Ecological Risk Index for Aquatic Pollution Control.a Sedimentological Approach. Water Res. 1980, 14, 975–1001. [Google Scholar] [CrossRef]
- Yang, Z.; Wang, Y.; Shen, Z.; Niu, J.; Tang, Z. Distribution and Speciation of Heavy Metals in Sediments from the Mainstream, Tributaries, and Lakes of the Yangtze River Catchment of Wuhan, China. J. Hazard. Mater. 2009, 166, 1186–1194. [Google Scholar] [CrossRef]
- Long, E.R. Calculation and Uses of Mean Sediment Quality Guideline Quotients: A Critical Review. Environ. Sci. Technol. 2006, 40, 1726–1736. [Google Scholar] [CrossRef] [PubMed]
- Maes, G.; Raeymaekers, J.; Pampoulie, C.; Seynaeve, A.; Goemans, G.; Belpaire, C.; Volckaert, F.A.M. The Catadromous European Eel Anguilla Anguilla (L.) as a Model for Freshwater Evolutionary Ecotoxicology: Relationship between Heavy Metal Bioaccumulation, Condition and Genetic Variability. Aquat. Toxicol. 2005, 73, 99–114. [Google Scholar] [CrossRef]
- Geochemical Atlas of Europe. Part 1. Bacground Information, Methodology and Maps; Salminen, R., Ed.; The Association of the Geological Surveys of The European Union (EuroGeoSurveys): Brussels, Belgium; The Geological Survey of Finland: Espoo, Finland, 2005; ISBN 951-690-913-2. [Google Scholar]
- EUR-Lex. Directive 2013/39/EU of the European Parliament and the Council of 12 August 2013 Amending Directives 2000/60/EC and 2008/105/EC as Regards Priority Substances in the Field of Water Policy. Off. J. Eur. Union 2013, L226, 1–17. [Google Scholar]
- Canadian Council of Ministers of the Environment (CCME) Canadian Water Quality Guidelines for the Protection of Aquatic Life. Available online: http://st-ts.ccme.ca/en/index.html?chems=all&chapters=1 (accessed on 2 May 2022).
- Halamić, J.; Miko, S. (Eds.) Geochemical Atlas of the Republic of Croatia; Croatian Geological Survey: Zagreb, Croatia, 2009; ISBN 978-953-6907-18-2. [Google Scholar]
- Reimann, C.; de Caritat, P. Chemical Elements in the Environment. Factsheets for the Geochemist and Environmental Scientist; Springer: Berlin/Heidelberg, Germany, 1998; ISBN 978-3-642-72018-5. [Google Scholar]
- Canadian Council of Ministers of the Environment (CCME) Canadian Sediment Quality Guidelines for the Protection of Aquatic Life. Available online: http://www.ccme.ca/en/resources/canadian_environmental_quality_guidelines/ (accessed on 1 January 2016).
- US Environmental Protection Agency (USEPA) Region III BTAG Freshwater Screening Benchmarks. Available online: http://www.epa.gov/sites/production/files/2015-09/documents/r3_btag_fw_benchmarks_07-06.pdf (accessed on 1 January 2016).
- MacDonald, D.D.; Ingersoll, C.G.; Berger, T.A. Development and Evaluation of Consensus-Based Sediment Quality Guidelines for Freshwater Ecosystems. Arch. Environ. Contam. Toxicol. 2000, 39, 20–31. [Google Scholar] [CrossRef] [PubMed]
- MacDonald, D.D.; Carr, R.S.; Eckenrod, D.; Greening, H.; Grabe, S.; Ingersoll, C.G.; Janicki, S.; Janicki, T.; Lindskoog, R.A.; Long, E.R.; et al. Development, Evaluation, and Application of Sediment Quality Targets for Assessing and Managing Contaminated Sediments in Tampa Bay, Florida. Arch. Environ. Contam. Toxicol. 2004, 46, 147–161. [Google Scholar] [CrossRef]
- Vdović, N.; Lučić, M.; Mikac, N.; Bačić, N. Partitioning of Metal Contaminants between Bulk and Fine-Grained Fraction in Freshwater Sediments: A Critical Appraisal. Minerals 2021, 11, 603. [Google Scholar] [CrossRef]
- Azad, A.M.; Frantzen, S.; Bank, M.S.; Nilsen, B.M.; Duinker, A.; Madsen, L.; Maage, A. Effects of Geography and Species Variation on Selenium and Mercury Molar Ratios in Northeast Atlantic Marine Fish Communities. Sci. Total Environ. 2019, 652, 1482–1496. [Google Scholar] [CrossRef]
- Burger, J.; Gaines, K.F.; Boring, C.S.; Stephens, W.L.; Snodgrass, J.; Dixon, C.; McMahon, M.; Shukla, S.; Shukla, T.; Gochfeld, M. Metal Levels in Fish from the Savannah River: Potential Hazards to Fish and Other Receptors. Environ. Res. 2002, 89, 85–97. [Google Scholar] [CrossRef]
- Wei, Y.; Zhang, J.; Zhang, D.; Tu, T.; Luo, L. Metal Concentrations in Various Fish Organs of Different Fish Species from Poyang Lake, China. Ecotoxicol. Environ. Saf. 2014, 104, 182–188. [Google Scholar] [CrossRef]
- Xia, W.; Chen, L.; Deng, X.; Liang, G.; Giesy, J.P.; Rao, Q.; Wen, Z.; Wu, Y.; Chen, J.; Xie, P. Spatial and Interspecies Differences in Concentrations of Eight Trace Elements in Wild Freshwater Fishes at Different Trophic Levels from Middle and Eastern China. Sci. Total Environ. 2019, 672, 883–892. [Google Scholar] [CrossRef]
- Burger, J.; Campbell, K.R. Species Differences in Contaminants in Fish on and Adjacent to the Oak Ridge Reservation, Tennessee. Environ. Res. 2004, 96, 145–155. [Google Scholar] [CrossRef]
- Dušek, L.; Svobodová, Z.; Janoušková, D.; Vykusová, B.; Jarkovský, J.; Šmíd, R.; Pavliš, P. Bioaccumulation of Mercury in Muscle Tissue of Fish in the Elbe River (Czech Republic): Multispecies Monitoring Study 1991–1996. Ecotoxicol. Environ. Saf. 2005, 61, 256–267. [Google Scholar] [CrossRef] [PubMed]
- Jia, Y.; Wang, L.; Qu, Z.; Wang, C.; Yang, Z. Effects on Heavy Metal Accumulation in Freshwater Fishes: Species, Tissues, and Sizes. Environ. Sci. Pollut. Res. 2017, 24, 9379–9386. [Google Scholar] [CrossRef] [PubMed]
- Jiang, Z.; Xu, N.; Liu, B.; Zhou, L.; Wang, J.; Wang, C.; Dai, B.; Xiong, W. Metal Concentrations and Risk Assessment in Water, Sediment and Economic Fish Species with Various Habitat Preferences and Trophic Guilds from Lake Caizi, Southeast China. Ecotoxicol. Environ. Saf. 2018, 157, 1–8. [Google Scholar] [CrossRef] [PubMed]
- Noël, L.; Chekri, R.; Millour, S.; Merlo, M.; Leblanc, J.-C.; Guérin, T. Distribution and Relationships of As, Cd, Pb and Hg in Freshwater Fish from Five French Fishing Areas. Chemosphere 2013, 90, 1900–1910. [Google Scholar] [CrossRef] [PubMed]
- Rakočević, J.; Suković, D.; Marić, D. Distribution and Relationships of Eleven Trace Elements in Muscle of Six Fish Species from Skadar Lake (Montenegro). Turkish J. Fish. Aquat. Sci. 2018, 18, 647–657. [Google Scholar] [CrossRef]
- Subotić, S.; Višnjić Jeftić, Ž.; Spasić, S.; Hegediš, A.; Krpo-Ćetković, J.; Lenhardt, M. Distribution and Accumulation of Elements (As, Cu, Fe, Hg, Mn, and Zn) in Tissues of Fish Species from Different Trophic Levels in the Danube River at the Confluence with the Sava River (Serbia). Environ. Sci. Pollut. Res. Int. 2013, 20, 5309–5317. [Google Scholar] [CrossRef]
- Sulimanec Grgec, A.; Kljaković-Gašpić, Z.; Orct, T.; Tičina, V.; Sekovanić, A.; Jurasović, J.; Piasek, M. Mercury and Selenium in Fish from the Eastern Part of the Adriatic Sea: A Risk-Benefit Assessment in Vulnerable Population Groups. Chemosphere 2020, 261, 127742. [Google Scholar] [CrossRef]
- Milošković, A.; Dojčinović, B.; Kovačević, S.; Radojković, N.; Radenković, M.; Milošević, D.; Simić, V. Spatial Monitoring of Heavy Metals in the Inland Waters of Serbia: A Multispecies Approach Based on Commercial Fish. Environ. Sci. Pollut. Res. 2016, 23, 9918–9933. [Google Scholar] [CrossRef]
- Bordajandi, L.R.; Gómez, G.; Fernández, M.A.; Abad, E.; Rivera, J.; González, M.J. Study on PCBs, PCDD/Fs, Organochlorine Pesticides, Heavy Metals and Arsenic Content in Freshwater Fish Species from the River Turia (Spain). Chemosphere 2003, 53, 163–171. [Google Scholar] [CrossRef]
- Durrieu, G.; Maury-Brachet, R.; Girardin, M.; Rochard, E.; Boudou, A. Contamination by Heavy Metals (Cd, Zn, Cu, and Hg) of Eight Fish Species in the Gironde Estuary (France). Estuaries 2005, 28, 581–591. [Google Scholar] [CrossRef]
- Has-Schön, E.; Bogut, I.; Rajković, V.; Bogut, S.; Čačić, M.; Horvatić, J. Heavy Metal Distribution in Tissues of Six Fish Species Included in Human Diet, Inhabiting Freshwaters of the Nature Park “Hutovo Blato” (Bosnia and Herzegovina). Arch. Environ. Contam. Toxicol. 2008, 54, 75–83. [Google Scholar] [CrossRef] [PubMed]
- Pérez Cid, B.; Boia, C.; Pombo, L.; Rebelo, E. Determination of Trace Metals in Fish Species of the Ria de Aveiro (Portugal) by Electrothermal Atomic Absorption Spectrometry. Food Chem. 2001, 75, 93–100. [Google Scholar] [CrossRef]
- Usero, J.; Izquierdo, C.; Morillo, J.; Gracia, I. Heavy Metals in Fish (Solea Vulgaris, Anguilla Anguilla and Liza Aurata) from Salt Marshes on the Southern Atlantic Coast of Spain. Environ. Int. 2003, 29, 949–956. [Google Scholar] [CrossRef]
- Has-Schön, E.; Bogut, I.; Strelec, I. Heavy Metal Profile in Five Fish Species Included in Human Diet, Domiciled in the End Flow of River Neretva (Croatia). Arch. Environ. Contam. Toxicol. 2006, 50, 545–551. [Google Scholar] [CrossRef]
- Bukvić, V.; Dušak, V.; Kučinić, M.; Delić, A.; Dulčić, J.; Senta, I.; Glamuzina, B. Arsenic in the Water, Sediment and Fish in the Neretva River Delta, Croatia. J. Appl. Ichthyol. 2011, 27, 908–911. [Google Scholar] [CrossRef]
- Gaim, K.; Gebru, G.; Abba, S. The Effect of Arsenic on Liver Tissue of Experimental Animals (Fishes and Mice) - a Review Article. Int. J. Sci. Res. Pub. 2018, 5, 1–9. [Google Scholar]
- Genç, T.O.; Yilmaz, F. Metal Accumulations in Water, Sediment, Crab (Callinectes Sapidus) and Two Fish Species (Mugil Cephalus and Anguilla Anguilla) from the Köyceğiz Lagoon System–Turkey: An Index Analysis Approach. Bull. Environ. Contam. Toxicol. 2017, 99, 173–181. [Google Scholar] [CrossRef]
- Mehdi, Y.; Hornick, J.-L.; Istasse, L.; Dufrasne, I. Selenium in the Environment, Metabolism and Involvement in Body Functions. Molecules 2013, 18, 3292–3311. [Google Scholar] [CrossRef]
- Schrauzer, G. Selenium. In Elements and Their Compounds in the Environment. Occurence, Analysis and Biological Relevance; Merian, E., Anke, M., Ihnat, M., Stoeppler, M., Eds.; WILEY-VCH Verlag GmbH & Co. KGaA: Weinheim, Germany, 2004; pp. 1365–1406. [Google Scholar]
- Ralston, N.V.C.; Ralston, C.R.; Blackwell, J.L.; Raymond, L.J. Dietary and Tissue Selenium in Relation to Methylmercury Toxicity. Neurotoxicology 2008, 29, 802–811. [Google Scholar] [CrossRef]
- Ralston, N.V.C.; Kaneko, J.J.; Raymond, L.J. Selenium Health Benefit Values Provide a Reliable Index of Seafood Benefits vs. Risks. J. Trace Elem. Med. Biol. 2019, 55, 50–57. [Google Scholar] [CrossRef] [PubMed]
- Raymond, L.J.; Ralston, N.V.C. Selenium’s Importance in Regulatory Issues Regarding Mercury. Fuel Process. Technol. 2009, 90, 1333–1338. [Google Scholar] [CrossRef]
- Burger, J.; Gochfeld, M.; Jeitner, C.; Donio, M.; Pittfield, T. Interspecific and Intraspecific Variation in Selenium:Mercury Molar Ratios in Saltwater Fish from the Aleutians: Potential Protection on Mercury Toxicity by Selenium. Sci. Total Environ. 2012, 431, 46–56. [Google Scholar] [CrossRef] [PubMed]
- Peterson, S.A.; Ralston, N.V.C.; Peck, D.V.; Van Sickle, J.; Robertson, J.D.; Spate, V.L.; Morris, J.S. How Might Selenium Moderate the Toxic Effects of Mercury in Stream Fish of the Western U.S.? Environ. Sci. Technol. 2009, 43, 3919–3925. [Google Scholar] [CrossRef] [PubMed]
- Peterson, S.A.; Ralston, N.V.C.; Whanger, P.D.; Oldfield, J.E.; Mosher, W.D. Selenium and Mercury Interactions with Emphasis on Fish Tissue. Environ. Bioindic. 2009, 4, 318–334. [Google Scholar] [CrossRef]
- Cappon, C.J.; Smith, J.C. Mercury and Selenium Content and Chemical Form in Fish Muscle. Arch. Environ. Contam. Toxicol. 1981. [Google Scholar] [CrossRef] [PubMed]
- Ferraz, A.H.; Costa, L.P.; Mirlean, N.; Seus-Arrache, E.R.; Adebayo, S. Selenium Content in Freshwater and Marine Fish from Southern Brazil Coastal Plain: A Comparative Analysis on Environmental and Dietary Aspects. Biol. Trace Elem. Res. 2022. [Google Scholar] [CrossRef]
- Mirlean, N.; Seus-Arrache, E.R.; Vlasova, O. Selenium Deficiency in Subtropical Littoral Pampas: Environmental and Dietary Aspects. Environ. Geochem. Health 2018, 40, 543–556. [Google Scholar] [CrossRef]
- Zhang, H.; Guo, C.; Feng, H.; Shen, Y.; Wang, Y.; Zeng, T.; Song, S. Total Mercury, Methylmercury, and Selenium in Aquatic Products from Coastal Cities of China: Distribution Characteristics and Risk Assessment. Sci. Total Environ. 2020, 739, 140034. [Google Scholar] [CrossRef]
- Phillips, D.J.H.; Rainbow, P.S. Biomonitoring of Trace Aquatic Contaminants; Elsevier Science Publishers LTD: Oxford, UK, 1993. [Google Scholar]
- Djikanović, V.; Skorić, S.; Jarić, I.; Lenhardt, M. Age-Specific Metal and Accumulation Patterns in Different Tissues of Nase (Chodrostoma Nasus) from the Medjuvršje Reservoir. Sci. Total Environ. 2016, 566–567, 185–190. [Google Scholar] [CrossRef]
- Jordanova, M.; Hristovski, S.; Musai, M.; Boškovska, V.; Rebok, K.; Dinevska-Ќovkarovska, S.; Melovski, L. Accumulation of Heavy Metals in Some Organs in Barbel and Chub from Crn Drim River in the Republic of Macedonia. Bull. Environ. Contam. Toxicol. 2018, 101, 392–397. [Google Scholar] [CrossRef] [PubMed]
- Pannetier, P.; Caron, A.; Campbell, P.G.C.; Pierron, F.; Baudrimont, M.; Couture, P. A Comparison of Metal Concentrations in the Tissues of Yellow American Eel (Anguilla Rostrata) and European Eel (Anguilla Anguilla). Sci. Total Environ. 2016, 569–570, 1435–1445. [Google Scholar] [CrossRef] [PubMed]
- Sunjog, K.; Kolarević, S.; Kračun-Kolarević, M.; Višnjić-Jeftić, Ž.; Gačić, Z.; Lenhardt, M.; Vuković-Gačić, B. Seasonal Variation in Metal Concentration in Various Tissues of the European Chub (Squalius Cephalus L.). Environ. Sci. Pollut. Res. 2019, 26, 9232–9243. [Google Scholar] [CrossRef] [PubMed]
- Kljaković-Gašpić, Z.; Zvonarić, T.; Vrgoč, N.; Odžak, N.; Barić, A. Cadmium and Lead in Selected Tissues of Two Commercially Important Fish Species from the Adriatic Sea. Water Res. 2002, 36, 5023–5028. [Google Scholar] [CrossRef] [PubMed]
- Kojadinovic, J.; Potier, M.; Le Corre, M.; Cosson, R.P.; Bustamante, P. Bioaccumulation of Trace Elements in Pelagic Fish from the Western Indian Ocean. Environ. Pollut. 2007, 146, 548–566. [Google Scholar] [CrossRef] [PubMed]
- Vukosav, P.; Mlakar, M.; Cukrov, N.; Kwokal, Ž.; Pižeta, I.; Pavlus, N.; Špoljarić, I.; Vurnek, M.; Brozinčević, A.; Omanović, D. Heavy Metal Contents in Water, Sediment and Fish in a Karst Aquatic Ecosystem of the Plitvice Lakes National Park (Croatia). Environ. Sience Pollut. Res. 2014, 21, 3826–3839. [Google Scholar] [CrossRef]
- Collings, S.E.; Johnson, M.S.; Leah, R.T. Metal Contamination of Angler-Caught Fish from the Mersey Estuary. Mar. Environ. Res. 1996, 41, 281–297. [Google Scholar] [CrossRef]
- Mason, C.F.; Barak, N.A.-E. A Catchment Survey for Heavy Metals Using the Eel (Anguilla Anguilla). Chemosphere 1990, 21, 695–699. [Google Scholar] [CrossRef]
- Edwards, S.C.; MacLeod, C.L.; Lester, J.N. Mercury Contamination of the Eel (Anguilla Anguilla) and Roach (Rutilus Rutilus) in East Anglia, UK. Environ. Monit. Assess. 1999, 55, 371–387. [Google Scholar] [CrossRef]
- Belpaire, C.; Goemans, G. Eels: Contaminant Cocktails Pinpointing Environmental Contamination. ICES J. Mar. Sci. 2007, 64, 1423–1436. [Google Scholar] [CrossRef][Green Version]
- Maes, J.; Belpaire, C.; Goemans, G. Spatial Variations and Temporal Trends between 1994 and 2005 in Polychlorinated Biphenyls, Organochlorine Pesticides and Heavy Metals in European Eel (Anguilla Anguilla L.) in Flanders, Belgium. Environ. Pollut. 2008, 153, 223–237. [Google Scholar] [CrossRef] [PubMed]
- Van Ael, E.; Belpaire, C.; Breine, J.; Geeraerts, C.; Van Thuyne, G.; Eulaers, I.; Blust, R.; Bervoets, L. Are Persistent Organic Pollutants and Metals in Eel Muscle Predictive for the Ecological Water Quality? Environ. Pollut. 2014, 186, 165–171. [Google Scholar] [CrossRef] [PubMed]
- Bonnineau, C.; Scaion, D.; Lemaire, B.; Belpaire, C.; Thomé, J.-P.; Thonon, M.; Leermaker, M.; Gao, Y.; Debier, C.; Silvestre, F.; et al. Accumulation of Neurotoxic Organochlorines and Trace Elements in Brain of Female European Eel (Anguilla Anguilla). Environ. Toxicol. Pharmacol. 2016, 45, 346–355. [Google Scholar] [CrossRef] [PubMed]
- Guhl, B.; Stürenberg, F.-J.; Santora, G. Contaminant Levels in the European Eel (Anguilla Anguilla) in North Rhine-Westphalian Rivers. Environ. Sci. Eur. 2014, 26, 26. [Google Scholar] [CrossRef]
- Polak-Juszczak, L.; Robak, S. Macro- and Microelements in Eel (Anguilla Anguilla) from the Northern Regions of Poland. J. Elem. 2015, 20, 385–394. [Google Scholar] [CrossRef]
- Rudovica, V.; Bartkevics, V. Chemical Elements in the Muscle Tissues of European Eel (Anguilla Anguilla) from Selected Lakes in Latvia. Environ. Monit. Assess. 2015, 187, 608. [Google Scholar] [CrossRef] [PubMed]
- Linde, A.R.; Sanchez-Galan, S.; Garcia-Vasquez, E. Heavy Metal Contamination of European Eel (Anguilla Anguilla) and Brown Trout (Salmo Trutta) Caught in Wild Ecosystems in Spain. J. Food Prot. 2004, 67, 2332–2336. [Google Scholar] [CrossRef] [PubMed]
- Ureña, R.; Peri, S.; del Ramo, J.; Torreblanca, A. Metal and Metallothionein Content in Tissues from Wild and Farmed Anguilla Anguilla at Commercial Size. Environ. Int. 2007, 33, 532–539. [Google Scholar] [CrossRef]
- Romero, D.; Barcala, E.; María-Dolores, E.; Muñoz, P. European Eels and Heavy Metals from the Mar Menor Lagoon (SE Spain). Mar. Pollut. Bull. 2020, 158. [Google Scholar] [CrossRef]
- Eira, C.; Torres, J.; Miquel, J.; Vaqueiro, J.; Soares, A.M.V.M.; Vingada, J. Trace Element Concentrations in Proteocephalus Macrocephalus (Cestoda) and Anguillicola Crassus (Nematoda) in Comparison to Their Fish Host, Anguilla Anguilla in Ria de Aveiro, Portugal. Sci. Total Environ. 2009, 407, 991–998. [Google Scholar] [CrossRef]
- Oliveira Ribeiro, C.A.; Vollaire, Y.; Sanchez-Chardi, A.; Roche, H. Bioaccumulation and the Effects of Organochlorine Pesticides, PAH and Heavy Metals in the Eel (Anguilla Anguilla) at the Camargue Nature Reserve, France. Aquat. Toxicol. 2005, 74, 53–69. [Google Scholar] [CrossRef] [PubMed]
- Renzi, M.; Specchiulli, A.; Baroni, D.; Scirocco, T.; Cilenti, L.; Focardi, S.; Breber, P.; Focardi, S. Trace Elements in Sediments and Bioaccumulation in European Silver Eels (Anguilla Anguilla L.) from a Mediterranean Lagoon (SE Italy). Int. J. Environ. Anal. Chem. 2012, 92, 676–697. [Google Scholar] [CrossRef]
- Chiesa, L.M.; Zanardi, E.; Nobile, M.; Panseri, S.; Ferretti, E.; Ghidini, S.; Foschini, S.; Ianieri, A.; Arioli, F. Food Risk Characterization from Exposure to Persistent Organic Pollutants and Metals Contaminating Eels from an Italian Lake. Food Addit. Contam. - Part A Chem. Anal. Control. Expo. Risk Assess. 2019, 36, 779–788. [Google Scholar] [CrossRef] [PubMed]
- Capoccioni, F.; Leone, C.; Belpaire, C.; Malarvannan, G.; Poma, G.; De Matteis, G.; Tancioni, L.; Contò, M.; Failla, S.; Covaci, A.; et al. Quality Assessment of Escaping Silver Eel (Anguilla Anguilla L.) to Support Management and Conservation Strategies in Mediterranean Coastal Lagoons. Environ. Monit. Assess. 2020, 192, 570. [Google Scholar] [CrossRef]
- Genc, E.; Sangun, M.K.; Dural, M.; Can, M.F.; Altunhan, C. Element Concentrations in the Swimbladder Parasite Anguillicola Crassus (Nematoda) and Its Host the European Eel, Anguilla Anguilla from Asi River (Hatay-Turkey). Environ. Monit. Assess. 2008, 141, 59–65. [Google Scholar] [CrossRef]
- Farkas, A.; Salánki, J.; Varanka, I. Heavy Metal Concentrations in Fish of Lake Balaton. Lakes Reserv. Sci. Policy Manag. Sustain. Use 2000, 5, 271–279. [Google Scholar] [CrossRef]
- Mazej, Z.; Al Sayegh-Petkovšek, S.; Pokorny, B. Heavy Metal Concentrations in Food Chain of Lake Velenjsko Jezero, Slovenia: An Artificial Lake from Mining. Arch. Environ. Contam. Toxicol. 2010, 58, 998–1007. [Google Scholar] [CrossRef]
- Al Sayegh-Petkovšek, S.; Grudnik, Z.M.; Pokorny, B. Heavy Metals and Arsenic Concentrations in Ten Fish Species from the Šalek Lakes (Slovenia): Assessment of Potential Human Health Risk Due to Fish Consumption. Environ. Monit. Assess. 2012, 184, 2647–2662. [Google Scholar] [CrossRef]
- Pastorino, P.; Pizzul, E.; Barceló, D.; Abete, M.C.; Magara, G.; Brizio, P.; Avolio, R.; Bertoli, M.; Dondo, A.; Prearo, M.; et al. Ecology of Oxidative Stress in the Danube Barbel (Barbus Balcanicus) from a Winegrowing District: Effects of Water Parameters, Trace and Rare Earth Elements on Biochemical Biomarkers. Sci. Total Environ. 2021, 772, 145034. [Google Scholar] [CrossRef]
- Morina, A.; Morina, F.; Djikanović, V.; Spasić, S.; Krpo-Ćetković, J.; Kostić, B.; Lenhardt, M. Common Barbel (Barbus Barbus) as a Bioindicator of Surface River Sediment Pollution with Cu and Zn in Three Rivers of the Danube River Basin in Serbia. Environ. Sci. Pollut. Res. 2016, 23, 6723–6734. [Google Scholar] [CrossRef]
- Chevreuil, M.; Carru, A.; Chestérikoff, A.; Boët, P.; Tales, É.; Allardi, J. Contamination of Fish from Different Areas of the River Seine (France) by Organic (PCB and Pesticides) and Metallic (Cd, Cr, Cu, Fe, Mn, Pb and Zn) Micropollutants. Sci. Total Environ. 1995, 162 1, 31–42. [Google Scholar] [CrossRef]
- Carru, A.M.; Teil, M.J.; Blanchard, M.; Chevreuil, M.; Chesterikoff, A. Evaluation of the Roach (Rutilus Rutilus) and the Perch (Perca Fluviatilis) for the Biomonitoring of Metal Pollution. J. Environ. Sci. Heal.. Part A Environ. Sci. Eng. Toxicol. 1996, 31, 1149–1158. [Google Scholar] [CrossRef]
- Łuczyńska, J.; Paszczyk, B.; Łuczyński, M.J. Fish as a Bioindicator of Heavy Metals Pollution in Aquatic Ecosystem of Pluszne Lake, Poland, and Risk Assessment for Consumer’s Health. Ecotoxicol. Environ. Saf. 2018, 153, 60–67. [Google Scholar] [CrossRef] [PubMed]
- Łuczyńska, J.; Paszczyk, B. Health Risk Assessment of Heavy Metals and Lipid Quality Indexes in Freshwater Fish from Lakes of Warmia and Mazury Region, Poland. Int. J. Environ. Res. Public Health 2019, 16, 3780. [Google Scholar] [CrossRef]
- Storelli, M.M.; Barone, G.; Storelli, A.; Marcotrigiano, G.O. Trace Metals in Tissues of Mugilids (Mugil Auratus, Mugil Capito, and Mugil Labrosus) from the Mediterranean Sea. Bull. Environ. Contam. Toxicol. 2006, 77, 43–50. [Google Scholar] [CrossRef] [PubMed]
- Leone, C.; Capoccioni, F.; Belpaire, C.; Malarvannan, G.; Poma, G.; Covaci, A.; Tancioni, L.; Contò, M.; Ciccotti, E. Evaluation of Environmental Quality of Mediterranean Coastal Lagoons Using Persistent Organic Pollutants and Metals in Thick-Lipped Grey Mullet. Water 2020, 12, 3450. [Google Scholar] [CrossRef]
- Licata, P.; Bella, G.D.; Dugo, G.; Naccari, F. Organochlorine Pesticides, PCBs and Heavy Metals in Tissues of the Mullet Liza Aurata in Lake Ganzirri and Straits of Messina (Sicily, Italy). Chemosphere 2003, 52, 231–238. [Google Scholar] [CrossRef]
- Ouali, N.; Belabed, B.E.; Zeghdoudi, F.; Rachedi, M. Assessment of Metallic Contamination in Sediment and Mullet Fish (Mugil Cephalus Linnaeus, 1758) Tissues from the East Algerian Coast. J. Water L. Dev. 2018, 38, 115–126. [Google Scholar] [CrossRef]
- Stancheva, M.; Georgieva, S.; Makedonski, L. Persistent Organic Pollutants - PCBs and DDTs in Fish from Danube River and from Black Sea, Bulgaria. In Proceedings of the CBU International Conference on Integration and Innovation in Science and Education, Prague, Czech Republic, 7–14 April 2013; 2013; Volume 1, pp. 354–361. [Google Scholar]
- Dural, M.; Lugal Göksu, M.Z.; Özak, A.A.; Derici, B. Bioaccumulation of Some Heavy Metals in Different Tissues of Dicentrarchus Labrax L, 1758, Sparus Aurata L, 1758 and Mugil Cephalus L, 1758 from the ÇamlIk Lagoon of the Eastern Cost of Mediterranean (Turkey). Environ. Monit. Assess. 2006, 118, 65–74. [Google Scholar] [CrossRef]
- Yilmaz, A.B. Levels of Heavy Metals (Fe, Cu, Ni, Cr, Pb, and Zn) in Tissue of Mugil Cephalus and Trachurus Mediterraneus from Iskenderun Bay, Turkey. Environ. Res. 2003, 92, 277–281. [Google Scholar] [CrossRef]
- Annabi, A.; El Mouadeb, R.; Herrel, A. Distinctive Accumulation Patterns of Heavy Metals in Sardinella Aurita (Clupeidae) and Mugil Cephalus (Mugilidae) Tissues. Environ. Sci. Pollut. Res. 2018, 25, 2623–2629. [Google Scholar] [CrossRef] [PubMed]
- Nyeste, K.; Dobrocsi, P.; Czeglédi, I.; Czédli, H.; Harangi, S.; Baranyai, E.; Simon, E.; Nagy, S.A.; Antal, L. Age and Diet-Specific Trace Element Accumulation Patterns in Different Tissues of Chub (Squalius Cephalus): Juveniles Are Useful Bioindicators of Recent Pollution. Ecol. Indic. 2019, 101, 1–10. [Google Scholar] [CrossRef]
- Yilmaz, A.B. Comparison of Heavy Metal Levels of Grey Mullet (Mugil Cephalus L.) and Sea Bream (Sparus Aurata L.) Caught in İskenderun Bay (Turkey). Turkish J. Vet. Anim. Sci. 2005, 29, 257–262. [Google Scholar]
- Dayal, S.; Jannathulla, R.; Ambasankar, K.; Vasagam, K.; Vijayan, K. Proximate, Amino Acid, Fatty Acid and Mineral Composition of Grey Mullet, Mugil Cephalus L: A Comparative Study between the Culture and Wild Resources in Different Size Groups and Potential Contribution to Nutritional Security. Res. Sq. 2021, 12p. [Google Scholar] [CrossRef]
- Floris, R.; Sanna, G.; Satta, C.T.; Piga, C.; Sanna, F.; Lugliè, A.; Fois, N. Intestinal Microbial Ecology and Fillet Metal Chemistry of Wild Grey Mullets Reflect the Variability of the Aquatic Environment in a Western Mediterranean Coastal Lagoon (Santa Giusta, Sardinia, Italy). Water 2021, 13, 879. [Google Scholar] [CrossRef]
- Bilandžić, N.; Sedak, M.; Čalopek, B.; Đokić, M.; Varenina, I.; Kolanović, B.S.; Luburić, Đ.B.; Varga, I.; Benić, M.; Roncarati, A. Element Contents in Commercial Fish Species from the Croatian Market. J. Food Compos. Anal. 2018, 71, 77–86. [Google Scholar] [CrossRef]
- Varol, M.; Sünbül, M.R. Macroelements and Toxic Trace Elements in Muscle and Liver of Fish Species from the Largest Three Reservoirs in Turkey and Human Risk Assessment Based on the Worst-Case Scenarios. Environ. Res. 2020, 184, 109298. [Google Scholar] [CrossRef]
- Hadzhinikolova, L.; Mihailova, G.; Ivanova, A. Content of Macrominerals and Trace Elements in the Meat of Carp Grown in Different Production Systems. Bulg. J. Agric. Sci. 2015, 21, 175–179. [Google Scholar]
- Kiczorowska, B.; Samolińska, W.; Grela, E.R.; Bik-Małodzińska, M. Nutrient and Mineral Profile of Chosen Fresh and Smoked Fish. Nutrients 2019, 11, 1448. [Google Scholar] [CrossRef]
- European Union. COMMISSION REGULATION (EU) No 488/2014 of 12 May 2014 Amending Regulation (EC) No 1881/2006 as Regards Maximum Levels of Cadmium in Foodstuffs. Off. J. Eur. Union 2014, L138, 75–79. [Google Scholar]
- European Union. COMMISSION REGULATION (EU) 2022/617 of 12 April 2022 Amending Regulation (EC) No 1881/2006 as Regards Maximum Levels of Mercury in Fish and Salt. Off. J. Eur. Union 2022, L115, 60–63. [Google Scholar]
- European Union. COMMISSION REGULATION (EC) No 1881/2006 of 19 December 2006 Setting Maximum Levels for Certain Contaminants in Foodstuffs. Off. J. Eur. Union 2006, L364, 5–24. [Google Scholar]
- Polak-Juszczak, L.; Robak, S. Mercury Toxicity and the Protective Role of Selenium in Eel, Anguilla anguilla. Environ. Sci. Pollut. Res. 2015, 22, 679–688. [Google Scholar] [CrossRef] [PubMed]
), together with locations of former mines in Raša, Labin and Tupljak (
) and Thermal Power Plant in Plomin (
) (Map modified from Google Earth).
), together with locations of former mines in Raša, Labin and Tupljak (
) and Thermal Power Plant in Plomin (
) (Map modified from Google Earth).


| Name | Feeding Habit | Trophic Level 3 | Sampling Location | Number of Individuals /Composite Samples | Fork Length (cm) | Body Weight (g) | Water Content (%) |
|---|---|---|---|---|---|---|---|
| European eel 1; Anguilla anguilla (Linnaeus, 1758) | mainly carnivore (fish, mollusks, polychaetes, insects, crustaceans, detritus) | 3.55 ± 0.30 | S1, S2 | 6/6 | 39.1 (34.1–43.1) | 122.9 (64.3–161.9) | 55.2 (49.6–72.8) |
| Prussian carp 2; Carassius gibelio (Bloch, 1782) | plankton, benthic invertebrates, plant material, detritus | 2.47 ± 0.04 | S1 | 2/- | 26.6 (26.2–26.9) | 446.7 (418.5–475.0) | 75.7 (74.6–76.9) |
| Flathead grey mullet 1; Mugil cephalus (Linnaeus, 1758) | zooplankton, dead plant matter, detritus, epiphytes and epifauna from algae, sediment | 2.48 ± 0.17 | S2 | 6/- | 29.2 (25.6–33.0) | 235.2 (177.5–325.4) | 78.4 (73.5–81.2) |
| Italian barbel 2; Barbus plebejus Bonaparte, 1839 | benthic invertebrates, small fish and algae | 3.38 ± 0.51 | S1 | 4/2 | 17.5 (11.4–23.5) | 62.5 (16.0–206.4) | 79.1 (75.1–80.0) |
| Adriatic roach 2; Rutilus aula (Bonaparte, 1841) | detritus, algae, planktonic organisms, smaller aquatic invertebrates | 2.80 ± 0.30 | S1 | -/4 | 9.6 (9.1–11.8) | 12.9 (8.6–18.5) | 77.5 (77.3–79.52) |
| Italian chub 2; Squalius squalus (Bonaparte, 1837) | various aquatic and terrestrial animal and plant material | 3.40 ± 0.50 | S1, S2 | 3/5 | 19.0 (8.4–27.9) | 105.4 (8.1–317.0) | 77.4 (74.9–89.7) |
| Present Study | Published Data | |||||||
|---|---|---|---|---|---|---|---|---|
| S1 | S2 | Raša River Estuary 1 | Raša River Estuary 2 | Natural Freshw. Spring 2 | Stream Water; Average for Croatia 3 | MAC 4 | CWQG 5 | |
| Ca (mg/L) | 95.5 (95.3–95.8) | 101 (100–102) | - | - | - | 94.6 (21.2–120) | - | - |
| K (mg/L) | 1.48 (1.44–1.51) | 1.54 (1.52–1.55) | - | - | - | 2.00 (0.85–4.68) | - | - |
| Mg (mg/L) | 9.57 (9.55–9.59) | 6.18 (6.15–6.21) | - | - | - | 28.6 (7.3–75.2) | - | - |
| Na (mg/L) | 10.7 (10.7–10.8) | 8.38 (8.28–8.47) | - | - | - | 11.9 (4.4–37.1) | - | - |
| Ag | 0.003 (0.001–0.004) | 0.003 (0.0031–0.0032) | - | - | - | 0.001 (0.001–0.001) | - | 0.25 |
| As | 0.503 (0.497–0.508) | 0.303 (0.297–0.309) | 0.51–0.61 | - | 0.40–1.40 | 2.30 (0.95–22.1) | - | 5.0 |
| Ba | 43.8 (43.5–44.2) | 35.6 (35.2–36.0) | 16.5–40.2 | 31.3 | 14.6 | 36.7 (14.4–63.3) | - | - |
| Cd | 0.021 (0.019–0.023) | 0.011 (0.011–0.012) | <LOD | 0.21 | 0.03–0.2 | 0.0035 (0.001–0.029) | 0.9 | 0.09 |
| Co | 0.143 (0.141–0.144) | 0.095 (0.095–0.096) | 0.03–0.05 | 0.06 | 0.04 | 0.20 (0.15–1.11) | - | - |
| Cr | 0.669 (0.668–0.670) | 0.615 (0.611–0.618) | 0.26–0.40 | 0.60 | 0.5–5 | 0.79 (0.29–4.81) | - | - |
| Cs | 0.015 (0.013–0.018) | 0.007 (0.007–0.008) | 0.06–0.10 | 0.04 | 0.004 | 0.001 (0.001–0.012) | - | - |
| Cu | 1.16 (1.11–1.20) | 0.732 (0.707–0.756) | 0.33–1.81 | 0.60 | 0.43–10 | 0.935 (0.720–2.13) | - | 2.0 |
| Fe | 231 (227–234) | 64.1 (60.4–67.8) | 12.6–33.0 | 2.1 | 1–390 | 27.8 (4.80–911) | - | 300 |
| Hg | 0.012 (0.011–0.012) | 0.013 (0.011–0.015) | - | - | - | - | 0.07 | 0.026 |
| Mn | 50.0 (49.6–50.4) | 7.08 (7.04–7.12) | 8.68–9.49 | 2.2 | 0.5–25 | 66.1 (0.500–668) | - | - |
| Mo | 1.57 (1.53–1.62) | 1.69 (1.68–1.70) | 3.91–6.06 | 33.1 | 2.04 | 0.400 (0.100–1.10) | - | 73 |
| Ni | 1.12 (1.08–1.15) | 0.723 (0.710–0.736) | <LOD | 1.3 | 0.35–20 | 2.45 (1.99–4.94) | 34 | 25 |
| Pb | 0.317 (0.312–0.321) | 0.096 (0.091–0.101) | 0.39–2.12 | 0.2 | 0.09–1 | 0.062 (0.044–0.240) | 14 | 1.0 |
| Rb | 1.11 (1.08–1.14) | 0.865 (0.865–0.865) | 28–7-51.0 | 19.5 | 1.04 | 0.620 (0.220–2.18) | - | - |
| Sb | 0.045 (0.043–0.047) | 0.035 (0.034–0.037) | 0.07–0.09 | 0.37 | 0.07 | 0.120 (0.040–0.160) | - | - |
| Se | 0.207 (0.194–0.219) | 0.228 (0.217–0.239) | 0.34–0.48 | 3.50 | 1.09 | 0.205 (0.099–0.77) | - | 1.0 |
| Sn | 0.049 (0.047–0.051) | 0.029 (0.028–0.030) | 0.12–0.34 | 0.35 | 0.35 | - | - | - |
| Sr | 336 (331–340) | 621 (613–630) | 2316–3691 | 1797 | 191 | 227 (69–493) | - | - |
| Tl | 0.004 (0.004–0.005) | 0.007 (0.007–0.008) | 0.012–0.014 | 0.04 | 0.01 | 0.002 (0.001–0.006) | - | 0.8 |
| U | 0.528 (0.525–0.530) | 0.621 (0.621–0.622) | 1.27–1.77 | 10.8 | 0.75 | 1.30 (0.044–4.13) | - | 15 |
| V | 0.770 (0.746–0.793) | 0.787 (0.774–0.799) | 0.77–1.05 | 1.70 | 1.37 | 1.15 (0.290–1.74) | - | - |
| Zn | 6.55 (6.49–6.60) | 2.82 (2.60–3.42) | 2.17–5.04 | 4.20 | 2.5–267 | 1.02 (0.100–1.58) | - | 7.0 |
| Present Study | Published Data | |||||||||
|---|---|---|---|---|---|---|---|---|---|---|
| S1 (N = 9) | S2 (N = 6) | Raša River 1 | Istrian Rivers 2 | Raša Riv. Estuary 3 | Istrian Flysch Soils 4 | World av., Stream Sedim. 5 | ISQG 6 | PEL 7 | TEC 8 | |
| Al (%) | 2.73 ± 0.13 a (2.50–2.87) | 4.25 ± 0.11 b (4.07–4.37) | 0.99–1.11 | 1.32 ± 0.44 | 3.43–4.38 | 5.27 ± 1.05 | 5.22 (0.78–8.51) | - | - | - |
| Ca (%) | 13.70 ± 0.41 a (13.2–14.4) | 8.53 ± 0.27 b (8.10–8.86) | 10.5–10.8 | 10.8 ± 7.3 | - | 9.35 ± 6.15 | 0.486 (<0.048–9.98) | - | - | - |
| Fe (%) | 2.43 ± 0.25 a (2.05–2.80) | 3.62 ± 0.04 b (3.58–3.68) | 1.77–1.90 | 2.66 ± 0.90 | 1.90–2.47 | 2.68 ± 0.34 | 2.5 (0.678–13.7) | - | - | 2 |
| K (%) | 0.948 ± 0.062 a (0.813–1.02) | 1.40 ± 0.01 b (1.38–1.42) | 0.10–0.14 | 0.15 ± 0.06 | - | 1.54 ± 0.13 | 1.63 (0.266–3.49) | - | - | - |
| Mg (%) | 0.655 ± 0.021 a (0.626–0.687) | 0.806 ± 0.009 b (0.790–0.816) | 0.43–0.51 | 0.57 ± 0.17 | - | 0.69 ± 0.08 | 0.458 (0.066–3.27) | - | - | - |
| Na (%) | 0.367 ± 0.023 a (0.321–0.388) | 0.332 ± 0.006 b (0.324–0.342) | - | 0.03 ± 0.05 | - | 0.552 ± 0.124 | 0.683 (0.045–1.34) | - | - | - |
| Ag | 0.179 ± 0.012 a (0.159–0.200) | 0.220 ± 0.007 b (0.215–0.233) | - | - | - | <DL | 0.09 (0.022–0.31) | - | - | 1.0 |
| As | 5.88 ± 0.86 a (4.74–7.25) | 7.52 ± 0.60 b (6.72–8.21) | 3.3–4.8 | 6.54 ± 2.47 | 6.12–6.52 | 7.77 ± 2.12 | 2.9 (0.53–23.8) | 5.9 | 17 | 9.8 |
| B | 66.3 ± 2.3 a (62.7–69.8) | 76.9 ± 1.0 b (75.4–78.4) | - | 7.69 ± 6.78 | - | - | 23 (<1.0–110) | - | - | - |
| Ba | 220 ± 10 a (202–235) | 270 ± 6 b (261–277) | 55–120 | 116 ± 52 | 148–168 | 218 ± 38 | 376 (127–5686) | - | - | - |
| Cd | 0.288 ± 0.025 a (0.247–0.326) | 0.474 ± 0.032 b (0.437–0.518) | 0.2–0.3 | 0.26 ± 0.13 | 0.29–0.44 | <DL | 1.8 (0.09–61) | 0.6 | 3.5 | 0.99 |
| Co | 14.0 ± 1.5 a (11.6–16.0) | 16.8 ± 0.5 b (16.3–17.4) | 10.2–11.1 | 17.9 ± 8.43 | 11.1–13.8 | 13.7 ± 2.8 | 17 (<7–220) | - | - | 50 |
| Cr | 140 ± 13 (127–165) | 149 ± 3 (144–155) | 30.6–31.3 | 44.9 ± 16.4 | 106–125 | 95.3 ± 13.4 | 69 (20–448) | 37.3 | 90 | 43.4 |
| Cs | 8.27 ± 0.49 a (7.51–8.85) | 13.6 ± 0.38 b (13.1–14.1) | - | 0.98 ± 0.50 | 3.89–5.74 | - | 8.2 (3.3–52) | - | - | - |
| Cu | 26.3 ± 0.5 a (25.8–27.6) | 37.4 ± 2.6 b (35.8–41.8) | 21.7–24.6 | 28.9 ± 9.61 | 22.0–32.0 | 30.8 ± 4.36 | 23 (<10–2440) | 35.7 | 197 | 31.6 |
| Hg | 0.152 ± 0.022 (0.123–0.185) | 0.179 ± 0.036 (0.133–0.229) | 0.115–0.358 | 2.49 ± 10.3 | - | 0.038 ± 0.012 | 0.09 (<0.01–3.3) | 0.170 | 0.486 | 0.180 |
| Li | 38.7 ± 1.7 a (36.5–40.6) | 61.9 ± 1.5 b (60.0–63.4) | - | 23.0 ± 8.58 | 34.7–46.2 | - | 31 (2–90) | - | - | - |
| Mn | 758 ± 80 a (599–895) | 653 ± 56 b (580–733) | 563–732 | 969 ± 426 | 504–511 | 720 ± 137 | 1394 (77–51,743) | - | - | 460 |
| Mo | 2.01 ± 0.70 a (0.948–3.26) | 0.593 ± 0.024 b (0.566–0.630) | - | - | 0.79–2.53 | - | 1.5 (0.19–8.5) | - | - | - |
| Ni | 73.2 ± 4.20 a (65.9–79.1) | 98.8 ± 2.6 b (95.8–102) | 51.0–61.9 | 85.6 ± 32.4 | 53.6–72.3 | 73.1 ± 11.2 | 28 (<7–508) | - | - | 22.7 |
| P | 400 ± 18 a (369–419) | 606 ± 20 b (572–624) | - | 380 ± 200 | - | 410 ± 110 | 655 (175–3753) | - | - | - |
| Pb | 14.0 ± 1.1 a (12.8–16.5) | 16.6 ± 1.0 b (15.4–17.9) | 12.2–14.5 | 21.2 ± 12.9 | 17.7–18.5 | 18.1 ± 4.04 | 195 (24–9870) | 35 | 91.3 | 35.8 |
| Sb | 0.613 ± 0.153 (0.521–0.977) | 0.603 ± 0.045 (0.553–0.677) | - | 0.27 ± 0.15 | 0.47–0.91 | <DL | 2.7 (0.8–10) | - | - | 2 |
| Se | 0.875 ± 0.567 (0.372–2.17) | 0.627 ± 0.097 (0.545–0.795) | - | 0.63 ± 0.45 | 0.34–0.48 | - | 2.3 (0.1–8.6) | - | - | 2 |
| Sn | 1.31 ± 0.12 a (1.18–1.50) | 2.44 ± 0.47 b (2.06–3.25) | - | 1.11 ± 1.25 | 0.12–0.34 | <DL | 6 (<3–57) | - | - | - |
| Sr | 361 ± 9 a (345–374) | 256 ± 2 b (253–260) | - | 225 ± 124 | 312–317 | 199 ± 100 | 125 (4–498) | - | - | - |
| Tl | 0.347 ± 0.015 a (0.324–0.370) | 0.658 ± 0.027 b (0.615–0.691) | - | 0.15 ± 0.06 | 0.33–0.46 | - | 0.79 (0.2–2.5) | - | - | - |
| U | 1.75 ± 0.22 a (1.60–2.26) | 2.15 ± 0.06 b (2.05–2.22) | - | 0.49 ± 0.20 | 1.97–2.91 | - | 6.5 (2–71) | - | - | - |
| V | 77.9 ± 2.7 a (73.0–81.6) | 121 ± 3.2 b (117–125) | - | 32.8 ± 9.39 | 74.2–101 | 94.6 ± 13.0 | 58 (17–151) | - | - | - |
| Zn | 62.4 ± 1.5 a (59.5–63.8) | 97.5 ± 2.8 b (92.9–101) | 50.3–58.6 | 70.4 ± 26.5 | 66.2–95.8 | 67.6 ± 1.9 | 45.9 (14.2–165) | 123 | 315 | 121 |
| European Eel (N = 12) | Prussian Carp (N = 2) | Italian Barbel (N = 6) | Adriatic Roach (N = 4) | Italian Chub (N = 8) | Flathead Grey Mullet (N = 6) | |
|---|---|---|---|---|---|---|
| Ca (mg kg−1) | 223 (153–286) a,c | 348 (223–472) a,b,c | 447 (397–683) c | 3944 (531–4837) c | 485 (171–3855) c | 137 (92–316) b |
| K (mg kg−1) | 2228 (1846–2887) a | 2744 (2562–2925) a,b | 2690 (2562–3338) a,b | 2639 (2481–2837) a,b | 3234 (1236–3539) b | 3524 (3248–3727) b |
| Na (mg kg−1) | 504 (435–669) a | 306 (276–337) b | 425 (309–483) a,b | 425 (411–491) a,b | 377 (183–403) b | 351 (268–367) b |
| Mg (mg kg−1) | 186 (140–237) a | 258 (236–280) a,b | 265 (246–280) b | 306 (250–325) b | 250 (148–337) b | 244 (203–256) a,b |
| Ag (µg kg−1) | 0.524 (0.084–1.42) | 0.230 (0.202–0.258) | 0.160 (0.082–1.95) | 0.357 (0.123–1.26) | 0.204 (0.098–0.916) | 0.172 (0.097–0.370) |
| As (mg kg−1) | 0.047 (0.023–0.078) a | 0.045 (0.042–0.049) a,b | 0.061 (0.020–0.119) a,b | 0.066 (0.058–0.077) a,b | 0.031 (0.020–0.057) b | 0.422 (0.364–0.709) c |
| Cd (µg kg−1) | 2.17 (1.19–3.25) a | 0.146 (0.145–0.148) b | 0.379 (0.195–0.581) b | 1.00 (0.68–1.23) a,b | 0.857 (0.374–1.33) a,b | 0.312 (0.252–0.367) b |
| Co (mg kg−1) | 0.045 (0.017–0.121) a | 4.51 (0.060–8.96) b | 0.036 (0.006–0.108) a | 0.072 (0.022–0.153) a | 0.035 (0.003–0.713) a | 0.013 (0.009–0.026) a |
| Cr (mg kg−1) | 0.016 (0.004–0.031) a | 0.012 (0.002–0.021) a,b | 0.001 (0.0002–0.009) b | 0.004 (0.002–0.008) a,b | 0.003 (0.001–0.017) b | 0.004 (0.003–0.009) a,b |
| Cu (mg kg−1) | 0.214 (0.157–0.319) a | 0.307 (0.219–0.396) a,b | 0.307 (0.187–0.444) a,b | 0.253 (0.208–0.392) a,b | 0.341 (0.171–0.417) a,b | 0.373 (0.264–0.670) b |
| Fe (mg kg−1) | 3.01 (2.01–4.60) a,c | 5.58 (4.49–6.67) a,b,c | 2.62 (2.22–3.96) c | 3.79 (2.83–5.18) a,b,c | 3.36 (1.96–4.84) c | 8.16 (5.17–10.2) b |
| Hg (mg kg−1) | 0.205 (0.158–0.329) a,c | 0.420 (0.201–0.639) c | 0.141 (0.097–0.238) a,b,c | 0.108 (0.081–0.135) a,b,c | 0.079 (0.043–0.194) b | 0.036 (0.020–0.060) b |
| Mn (mg kg−1) | 0.239 (0.159–0.302) a,c | 0.272 (0.179–0.365) a,b | 0.489 (0.416–0.625) b,c | 2.41 (0.49–4.06) b | 0.514 (0.214–2.17) b,c | 0.166 (0.122–0.372) a |
| Mo (µg kg−1) | 1.76 (0.72–3.18) a | 2.40 (2.12–2.68) a,b | 2.75 (1.47–4.09) a,b | 9.57 (6.44–10.6) b | 4.77 (2.90–7.45) b | 29.8 (2.91–89.4) b |
| Ni (µg kg−1) | 16.2 (9.3–37.6) a | 29.8 (5.60–54.1) a,b | 7.12 (3.12–9.62) b | 21.9 (10.7–30.1) a | 9.08 (1.94–23.6) a,b | 8.22 (5.31–9.48) a,b |
| Pb (µg kg−1) | 2.88 (1.04–18.0) | 4.65 (3.61–5.70) | 1.80 (0.45–2.11) | 11.3 (1.21–14.8) | 1.22 (0.63–3.59) | 3.54 (0.85–5.06) |
| Se (mg kg−1) | 1.33 (0.857–1.54) a | 0.909 (0.880–0.937) a,b | 0.702 (0.417–1.22) a,b | 0.739 (0.690–0.795) a,b | 0.601 (0.365–0.803) b | 0.265 (0.226–0.587) b |
| Sr (mg kg−1) | 0.309 (0.193–0.562) a | 0.450 (0.297–0.603) a,b | 0.657 (0.591–1.16) a,b | 7.59 (0.97–8.97) b | 0.810 (0.341–4.80) b | 0.501 (0.216–1.76) a |
| Tl (µg kg−1) | 2.16 (0.81–3.52) a | 0.390 (0.242–0.538) a,b | 1.10 (0.44–2.03) a,b | 1.03 (0.51–1.46) a,b | 0.800 (0.381–1.47) b | 4.22 (0.43–8.93) a,b |
| U (µg kg−1) | 0.104 (0.067–0.165) a,b | 0.035 (0.028–0.042) a | 0.047 (0.030–0.060) a | 0.362 (0.085–0.536) b | 0.082 (0.026–0.263) a,b | 0.097 (0.054–0.177) a,b |
| V (µg kg−1) | 2.04 (1.37–5.01) | 1.60 (1.31–1.88) | 3.21 (2.07–5.56) | 8.87 (2.12–12.3) | 3.20 (1.13–7.59) | 4.50 (2.87–9.46) |
| Zn (mg kg−1) | 18.2 (14.0–27.7) a | 7.88 (6.68–9.09) b | 5.68 (4.40–6.85) b | 21.9 (11.9–25.7) a | 11.0 (6.78–20.0) a,b | 7.78 (7.10–10.0) b |
| Se:Hg molar ratio | 16.2 (11.0–22.9) a | 7.42 (3.73–11.1) b | 14.4 (4.45–24.3) a | 18.1 (14.1–21.6) a | 21.0 (10.5–24.6) a | 25.1 (10.8–36.9) a |
| IMBI | 0.424 (0.295–0.572) a | 0.376 (0.237–0.516) a,b | 0.182 (0.138–0.256) b | 0.411 (0.212–0.504) a,b | 0.229 (0.130–0.401) a,b | 0.216 (0.176–0.286) b |
| S1 (N = 6) | S2 (N = 6) | p-Value | |
|---|---|---|---|
| TL (cm) | 40.3 (34.3–42.9) | 38.8 (34.1–43.1) | n.s. |
| TBW (g) | 111 (64–148) | 136 (77–162) | n.s. |
| Water content (%) | 55.1 (50.7–62.1) | 55.2 (49.6–72.8) | n.s. |
| Ca (mg kg−1) | 214 (184–229) | 227 (153–286) | n.s. |
| K (mg kg−1) | 2228 (1863–2528) | 2263 (1846–2887) | n.s. |
| Mg (mg kg−1) | 180 (140–196) | 187 (148–237) | n.s. |
| Na (mg kg−1) | 504 (435–587) | 505 (435–669) | n.s. |
| Ag (µg kg−1) | 0.457 (0.084–0.651) | 0.737 (0.384–1.416) | n.s. |
| As (mg kg−1) | 0.044 (0.029–0.078) | 0.049 (0.023–0.069) | n.s. |
| Cd (µg kg−1) | 1.39 (1.19–3.25) | 2.28 (1.29–3.24) | n.s. |
| Co (mg kg−1) | 0.046 (0.017–0.105) | 0.045 (0.030–0.121) | n.s. |
| Cr (mg kg−1) | 0.011 (0.005–0.016) | 0.018 (0.004–0.031) | n.s. |
| Cu (mg kg−1) | 0.178 (0.157–0.245) | 0.232 (0.209–0.319) | 0.300 |
| Fe (mg kg−1) | 2.44 (2.01–3.44) | 3.30 (2.68–4.60) | 0.045 |
| Hg (mg kg−1) | 0.235 (0.186–0.329) | 0.170 (0.158–0.224) | 0.031 |
| Mn (mg kg−1) | 0.238 (0.159–0.295) | 0.252 (0.194–0.302) | n.s. |
| Mo (µg kg−1) | 1.47 (0.72–2.80) | 2.13 (1.14–3.18) | n.s. |
| Ni (µg kg−1) | 14.2 (12.0–18.9) | 20.4 (9.3–37.6) | n.s. |
| Pb (µg kg−1) | 4.0 (1.8–18.0) | 2.32 (1.04–5.12) | n.s. |
| Se (mg kg−1) | 1.36 (1.11–1.43) | 1.25 (0.86–1.54) | n.s. |
| Sr (mg kg−1) | 0.305 (0.234–0.562) | 0.312 (0.193–0.446) | n.s. |
| Tl (µg kg−1) | 1.73 (0.81–3.20) | 2.52 (2.05–3.52) | 0.044 |
| U (µg kg−1) | 0.108 (0.092–0.165) | 0.100 (0.067–0.157) | n.s. |
| V (µg kg−1) | 1.94 (1.37–2.13) | 3.47 (1.81–5.01) | 0.031 |
| Zn (mg kg−1) | 17.7 (14.0–22.5) | 18.5 (14.8–27.7) | n.s. |
| Se:Hg molar ratio | 13.4 (11.0–18.9) | 17.1 (12.8–22.9) | n.s. |
| IMBI* | 0.412 (0.302–0.521) | 0.431 (0.378–0.591) | n.s. |
Disclaimer/Publisher’s Note: The statements, opinions and data contained in all publications are solely those of the individual author(s) and contributor(s) and not of MDPI and/or the editor(s). MDPI and/or the editor(s) disclaim responsibility for any injury to people or property resulting from any ideas, methods, instructions or products referred to in the content. |
© 2022 by the authors. Licensee MDPI, Basel, Switzerland. This article is an open access article distributed under the terms and conditions of the Creative Commons Attribution (CC BY) license (https://creativecommons.org/licenses/by/4.0/).
Share and Cite
Kljaković-Gašpić, Z.; Sekovanić, A.; Orct, T.; Šebešćen, D.; Klasiček, E.; Zanella, D. Potentially Toxic Elements in Water, Sediments and Fish from the Karstic River (Raša River, Croatia) Located in the Former Coal-Mining Area. Toxics 2023, 11, 42. https://doi.org/10.3390/toxics11010042
Kljaković-Gašpić Z, Sekovanić A, Orct T, Šebešćen D, Klasiček E, Zanella D. Potentially Toxic Elements in Water, Sediments and Fish from the Karstic River (Raša River, Croatia) Located in the Former Coal-Mining Area. Toxics. 2023; 11(1):42. https://doi.org/10.3390/toxics11010042
Chicago/Turabian StyleKljaković-Gašpić, Zorana, Ankica Sekovanić, Tatjana Orct, Dora Šebešćen, Elena Klasiček, and Davor Zanella. 2023. "Potentially Toxic Elements in Water, Sediments and Fish from the Karstic River (Raša River, Croatia) Located in the Former Coal-Mining Area" Toxics 11, no. 1: 42. https://doi.org/10.3390/toxics11010042
APA StyleKljaković-Gašpić, Z., Sekovanić, A., Orct, T., Šebešćen, D., Klasiček, E., & Zanella, D. (2023). Potentially Toxic Elements in Water, Sediments and Fish from the Karstic River (Raša River, Croatia) Located in the Former Coal-Mining Area. Toxics, 11(1), 42. https://doi.org/10.3390/toxics11010042

