Pollution Characteristics, Source Apportionment, and Health Risk Assessment of Potentially Toxic Elements (PTEs) in Road Dust Samples in Jiayuguan, Hexi Corridor, China
Abstract
:1. Introduction
2. Materials and Methods
2.1. Collection of Road Dust Samples and Chemical Analysis of PTEs
2.2. Methods of Data Analysis
2.2.1. Enrichment Factor (EF)
2.2.2. Index of Geoaccumulation (Igeo)
2.2.3. Principal Component Analysis (PCA)
2.2.4. Health Risk Assessment
3. Results and Discussion
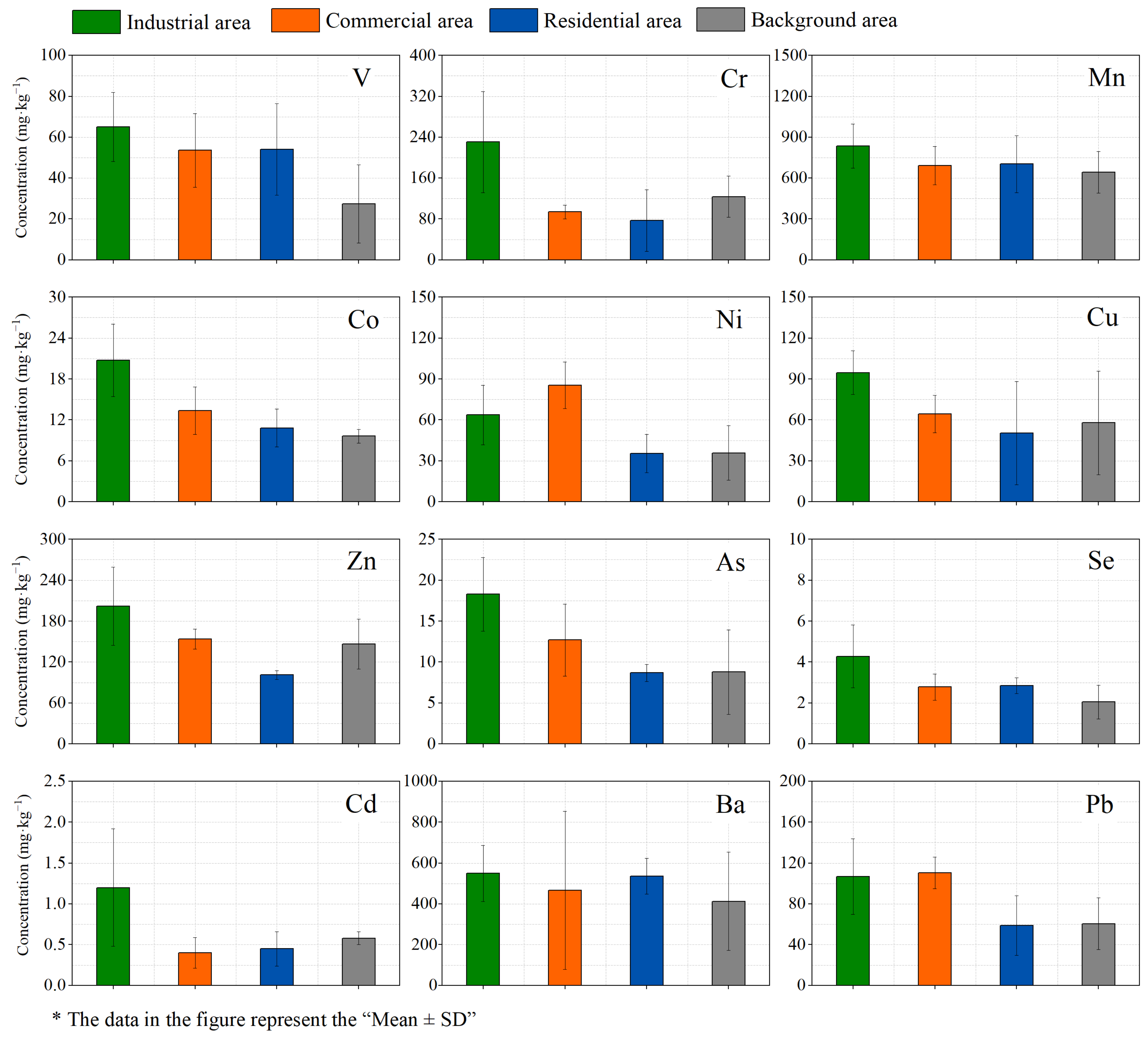
3.1. Concentration Characteristics of PTEs in Road Dust
3.2. Enrichment Characteristics of PTEs in Road Dust
3.3. The Pollution Level of Each Area
3.4. Source Apportionment of PTEs
3.5. Health Risk Assessment of PTEs in Road Dust
3.5.1. Non-Carcinogenic Risk Assessment
3.5.2. Carcinogenic Risk Assessment
4. Conclusions
Supplementary Materials
Author Contributions
Funding
Institutional Review Board Statement
Informed Consent Statement
Data Availability Statement
Conflicts of Interest
References
- Pant, P.; Harrison, R.M. Critical Review of Receptor Modelling for Particulate Matter: A Case Study of India. Atmos. Environ. 2012, 49, 1–12. [Google Scholar] [CrossRef]
- Zhang, Y.; Ma, Y.; Feng, F.; Cheng, B.; Wang, H.; Shen, J.; Jiao, H. Association between PM10 and Specific Circulatory System Diseases in China. Sci. Rep. 2021, 11, 12129. [Google Scholar] [CrossRef] [PubMed]
- Xiang, K.; Xu, Z.; Hu, Y.Q.; He, Y.S.; Dan, Y.L.; Wu, Q.; Fang, X.H.; Pan, H.F. Association between Ambient Air Pollution and Tuberculosis Risk: A Systematic Review and Meta-Analysis. Chemosphere 2021, 277, 130342. [Google Scholar] [CrossRef] [PubMed]
- Jayarathne, A.; Egodawatta, P.; Ayoko, G.A.; Goonetilleke, A. Assessment of Ecological and Human Health Risks of Metals in Urban Road Dust Based on Geochemical Fractionation and Potential Bioavailability. Sci. Total Environ. 2018, 635, 1609–1619. [Google Scholar] [CrossRef]
- Wei, B.; Yang, L. A Review of Heavy Metal Contaminations in Urban Soils, Urban Road Dusts and Agricultural Soils from China. Microchem. J. 2010, 94, 99–107. [Google Scholar] [CrossRef]
- Sutherland, R.A.; Tolosa, C.A. Multi-Element Analysis of Road-Deposited Sediment in an Urban Drainage Basin, Honolulu, Hawaii. Environ. Pollut. 2000, 110, 483–495. [Google Scholar] [CrossRef]
- Jose, J.; Srimuruganandam, B. Source Apportionment of Urban Road Dust Using Four Multivariate Receptor Models. Environ. Earth Sci. 2021, 80. [Google Scholar] [CrossRef]
- Shi, D.; Lu, X. Accumulation Degree and Source Apportionment of Trace Metals in Smaller than 63 Μm Road Dust from the Areas with Different Land Uses: A Case Study of Xi’an, China. Sci. Total Environ. 2018, 636, 1211–1218. [Google Scholar] [CrossRef]
- Alshetty, D.; Shiva Nagendra, S.M. Urban Characteristics and Its Influence on Resuspension of Road Dust, Air Quality and Exposure. Air Qual. Atmos. Health 2022, 15, 273–287. [Google Scholar] [CrossRef]
- Beauchemin, S.; Levesque, C.; Wiseman, C.L.S.; Rasmussen, P.E. Quantification and Characterization of Metals in Ultrafine Road Dust Particles. Atmosphere 2021, 12, 1564. [Google Scholar] [CrossRef]
- Adrees, M.; Ali, S.; Rizwan, M.; Ibrahim, M.; Abbas, F.; Farid, M.; Zia-ur-Rehman, M.; Irshad, M.K.; Bharwana, S.A. The Effect of Excess Copper on Growth and Physiology of Important Food Crops: A Review. Environ. Sci. Pollut. Res. 2015, 22, 8148–8162. [Google Scholar] [CrossRef] [PubMed]
- Liu, P.; Zhang, Y.; Feng, N.; Zhu, M.; Tian, J. Potentially Toxic Element (PTE) Levels in Maize, Soil, and Irrigation Water and Health Risks through Maize Consumption in Northern Ningxia, China. BMC Public Health 2020, 20, 1729. [Google Scholar] [CrossRef] [PubMed]
- Wang, X.; Liu, E.; Lin, Q.; Liu, L.; Yuan, H.; Li, Z. Occurrence, Sources and Health Risks of Toxic Metal(Loid)s in Road Dust from a Mega City (Nanjing) in China. Environ. Pollut. 2020, 263, 114518. [Google Scholar] [CrossRef] [PubMed]
- Kim, J.A.; Park, J.H.; Hwang, W.J. Heavy Metal Distribution in Street Dust from Traditional Markets and the Human Health Implications. Int. J. Environ. Res. Public Health 2016, 13, 820. [Google Scholar] [CrossRef] [PubMed]
- Veremchuk, L.V.; Tsarouhas, K.; Vitkina, T.I.; Mineeva, E.E.; Gvozdenko, T.A.; Antonyuk, M.V.; Rakitskii, V.N.; Sidletskaya, K.A.; Tsatsakis, A.M.; Golokhvast, K.S. Impact Evaluation of Environmental Factors on Respiratory Function of Asthma Patients Living in Urban Territory. Environ. Pollut. 2018, 235, 489–496. [Google Scholar] [CrossRef] [PubMed]
- Alves, C.A.; Evtyugina, M.; Vicente, A.M.P.; Vicente, E.D.; Nunes, T.V.; Silva, P.M.A.; Duarte, M.A.C.; Pio, C.A.; Amato, F.; Querol, X. Chemical Profiling of PM10 from Urban Road Dust. Sci. Total Environ. 2018, 634, 41–51. [Google Scholar] [CrossRef]
- Krupnova, T.G.; Rakova, O.V.; Gavrilkina, S.V.; Antoshkina, E.G.; Baranov, E.O.; Yakimova, O.N. Road Dust Trace Elements Contamination, Sources, Dispersed Composition, and Human Health Risk in Chelyabinsk, Russia. Chemosphere 2020, 261, 127799. [Google Scholar] [CrossRef]
- Liu, Y.; Liu, G.; Yousaf, B.; Zhou, C.; Shen, X. Identification of the Featured-Element in Fine Road Dust of Cities with Coal Contamination by Geochemical Investigation and Isotopic Monitoring. Environ. Int. 2021, 152, 106499. [Google Scholar] [CrossRef]
- Chen, S.; Zhang, X.; Lin, J.; Huang, J.; Zhao, D.; Yuan, T.; Huang, K.; Luo, Y.; Jia, Z.; Zang, Z.; et al. Fugitive Road Dust PM2.5 Emissions and Their Potential Health Impacts. Environ. Sci. Technol. 2019, 53, 8455–8465. [Google Scholar] [CrossRef]
- Wang, S.; Wang, L.; Huan, Y.; Wang, R.; Liang, T. Concentrations, Spatial Distribution, Sources and Environmental Health Risks of Potentially Toxic Elements in Urban Road Dust across China. Sci. Total Environ. 2022, 805, 150266. [Google Scholar] [CrossRef]
- Xin-chuan, L.; Jian-guo, Y.; Chang-liang, Y.; Fang, Z.; Sheng-yin, Z.; Yu, Z. Distribution and Assessment of Soil Heavy Metals in Northern Jiayuguan City, China. J. Lanzhou Univ. Sci. 2019, 55. [Google Scholar] [CrossRef]
- Hou, K.; Wen, J. Quantitative Analysis of the Relationship between Land Use and Urbanization Development in Typical Arid Areas. Environ. Sci. Pollut. Res. 2020, 27, 38758–38768. [Google Scholar] [CrossRef] [PubMed]
- Shahab, A.; Zhang, H.; Ullah, H.; Rashid, A.; Rad, S.; Li, J.; Xiao, H. Pollution Characteristics and Toxicity of Potentially Toxic Elements in Road Dust of a Tourist City, Guilin, China: Ecological and Health Risk Assessment. Environ. Pollut. 2020, 266, 115419. [Google Scholar] [CrossRef] [PubMed]
- Buck, C.S.; Aguilar-Islas, A.; Marsay, C.; Kadko, D.; Landing, W.M. Trace Element Concentrations, Elemental Ratios, and Enrichment Factors Observed in Aerosol Samples Collected during the US GEOTRACES Eastern Pacific Ocean Transect (GP16). Chem. Geol. 2019, 511, 212–224. [Google Scholar] [CrossRef]
- Ahamad, A.; Janardhana Raju, N.; Madhav, S.; Gossel, W.; Ram, P.; Wycisk, P. Potentially Toxic Elements in Soil and Road Dust around Sonbhadra Industrial Region, Uttar Pradesh, India: Source Apportionment and Health Risk Assessment. Environ. Res. 2021, 202, 111685. [Google Scholar] [CrossRef]
- González-Macías, C.; Schifter, I.; Lluch-Cota, D.B.; Méndez-Rodríguez, L.; Hernández-Vázquez, S. Distribution, Enrichment and Accumulation of Heavy Metals in Coastal Sediments of Salina Cruz Bay, México. Environ. Monit. Assess. 2006, 118, 211–230. [Google Scholar] [CrossRef]
- China National Environmental Monitoring Centre. Background Values of Soil Elements in China; China Environmental Press: Beijing, China, 1990; ISBN 978780007726. [Google Scholar]
- Loska, K.; Wiechulła, D.; Korus, I. Metal Contamination of Farming Soils Affected by Industry. Environ. Int. 2004, 30, 159–165. [Google Scholar] [CrossRef]
- Sutherland, R.A. Bed Sediment-Associated Trace Metals in an Urban Stream, Oahu, Hawaii. Environ. Geol. 2000, 39, 611–627. [Google Scholar] [CrossRef]
- Müller, G. Index of Geoaccumulation in Sediments of the Rhine River. Geol. J. 1969, 2, 108–118. [Google Scholar]
- Chen, H.; Teng, Y.; Lu, S.; Wang, Y.; Wang, J. Contamination Features and Health Risk of Soil Heavy Metals in China. Sci. Total Environ. 2015, 512–513, 143–153. [Google Scholar] [CrossRef]
- Ackah, M. Soil Elemental Concentrations, Geoaccumulation Index, Non-Carcinogenic and Carcinogenic Risks in Functional Areas of an Informal e-Waste Recycling Area in Accra, Ghana. Chemosphere 2019, 235, 908–917. [Google Scholar] [CrossRef] [PubMed]
- Looi, L.J.; Aris, A.Z.; Yusoff, F.M.; Isa, N.M.; Haris, H. Application of Enrichment Factor, Geoaccumulation Index, and Ecological Risk Index in Assessing the Elemental Pollution Status of Surface Sediments. Environ. Geochem. Health 2019, 41, 27–42. [Google Scholar] [CrossRef]
- Jeong, H.; Choi, J.Y.; Lim, J.; Ra, K. Pollution Caused by Potentially Toxic Elements Present in Road Dust from Industrial Areas in Korea. Atmosphere 2020, 11, 1366. [Google Scholar] [CrossRef]
- Anaman, R.; Peng, C.; Jiang, Z.; Liu, X.; Zhou, Z.; Guo, Z.; Xiao, X. Identifying Sources and Transport Routes of Heavy Metals in Soil with Different Land Uses around a Smelting Site by GIS Based PCA and PMF. Sci. Total Environ. 2022, 823, 153759. [Google Scholar] [CrossRef]
- Mean, B. US EPA Risk Assessment Guidance for Superfund Volume I: Human Health Evaluation Manual (Part F, Supplemental Guidance for Inhalation Risk Assessment). Off. Superfund Remediat. Technol. Innov. Environ. Prot. Agency 2009, I, 1–68. [Google Scholar]
- Nilkarnjanakul, W.; Watchalayann, P.; Chotpantarat, S. Spatial Distribution and Health Risk Assessment of As and Pb Contamination in the Groundwater of Rayong Province, Thailand. Environ. Res. 2022, 204, 111838. [Google Scholar] [CrossRef]
- Men, C.; Liu, R.; Wang, Q.; Miao, Y.; Wang, Y.; Jiao, L.; Li, L.; Cao, L.; Shen, Z.; Li, Y.; et al. Spatial-Temporal Characteristics, Source-Specific Variation and Uncertainty Analysis of Health Risks Associated with Heavy Metals in Road Dust in Beijing, China. Environ. Pollut. 2021, 278, 116866. [Google Scholar] [CrossRef]
- U.S. EPA. Office of Emergency and Remedial Response. Risk Assessment Guidance for Superfund. Volume 1 Human Health Evaluation Manual (Part A). Interim Final; U.S. EPA: Washington, DC, USA, 1989. [Google Scholar]
- U.S. EPA. Risk Assessment Guidance for Superfund Volume I: Human Health Evaluation Manual (Part E, Supplemental Guidance for Dermal Risk Assessment), Chapter 3: Exposure Assessment. Off. Superfund Remediat. Technol. Innov. 2004, Ⅱ, 1–89. [Google Scholar]
- U.S. EPA. Supplemental Guidance for Developing Soil Screening Levels for Superfund Sites. United States Environ. Prot. Agency 2002, 12, 1–187. [Google Scholar]
- Zheng, N.; Liu, J.; Wang, Q.; Liang, Z. Health Risk Assessment of Heavy Metal Exposure to Street Dust in the Zinc Smelting District, Northeast of China. Sci. Total Environ. 2010, 408, 726–733. [Google Scholar] [CrossRef]
- Rinklebe, J.; Antoniadis, V.; Shaheen, S.M.; Rosche, O.; Altermann, M. Health Risk Assessment of Potentially Toxic Elements in Soils along the Central Elbe River, Germany. Environ. Int. 2019, 126, 76–88. [Google Scholar] [CrossRef]
- Safiur Rahman, M.; Khan, M.D.H.; Jolly, Y.N.; Kabir, J.; Akter, S.; Salam, A. Assessing Risk to Human Health for Heavy Metal Contamination through Street Dust in the Southeast Asian Megacity: Dhaka, Bangladesh. Sci. Total Environ. 2019, 660, 1610–1622. [Google Scholar] [CrossRef]
- Bhutiani, R.; Kulkarni, D.B.; Khanna, D.R.; Gautam, A. Water Quality, Pollution Source Apportionment and Health Risk Assessment of Heavy Metals in Groundwater of an Industrial Area in North India. Expo. Health 2016, 8, 3–18. [Google Scholar] [CrossRef]
- Hao, H.; Zhang, M.; Wang, J.; Fu, Z.; Balaji, P.; Jiang, S. Barium in Coal and Coal Combustion Products: Distribution, Enrichment and Migration. Energy Explor. Exploit. 2022, 40, 889–907. [Google Scholar] [CrossRef]
- Han, J.; Lee, S.; Mammadov, Z.; Kim, M.; Mammadov, G.; Ro, H.M. Source Apportionment and Human Health Risk Assessment of Trace Metals and Metalloids in Surface Soils of the Mugan Plain, the Republic of Azerbaijan. Environ. Pollut. 2021, 290, 118058. [Google Scholar] [CrossRef] [PubMed]
- Fan, M.Y.; Zhang, Y.L.; Lin, Y.C.; Cao, F.; Sun, Y.; Qiu, Y.; Xing, G.; Dao, X.; Fu, P. Specific Sources of Health Risks Induced by Metallic Elements in PM2.5 during the Wintertime in Beijing, China. Atmos. Environ. 2021, 246, 118112. [Google Scholar] [CrossRef]
- Zhang, R.; Jing, J.; Tao, J.; Hsu, S.C.; Wang, G.; Cao, J.; Lee, C.S.L.; Zhu, L.; Chen, Z.; Zhao, Y.; et al. Chemical Characterization and Source Apportionment of PM2.5 in Beijing: Seasonal Perspective. Atmos. Chem. Phys. 2013, 13, 7053–7074. [Google Scholar] [CrossRef]
- Zhang, N.; Cao, J.; Xu, H.; Zhu, C. Elemental Compositions of PM2.5 and TSP in Lijiang, Southeastern Edge of Tibetan Plateau during Pre-Monsoon Period. Particuology 2013, 11, 63–69. [Google Scholar] [CrossRef]
- Hsu, C.Y.; Chiang, H.C.; Chen, M.J.; Chuang, C.Y.; Tsen, C.M.; Fang, G.C.; Tsai, Y.I.; Chen, N.T.; Lin, T.Y.; Lin, S.L. Ambient PM2.5 in the Residential Area near Industrial Complexes: Spatiotemporal Variation, Source Apportionment, and Health Impact. Sci. Total Environ. 2017, 590, 204–214. [Google Scholar] [CrossRef]
- Pey, J.; Querol, X.; Alastuey, A. Discriminating the Regional and Urban Contributions in the North-Western Mediterranean: PM Levels and Composition. Atmos. Environ. 2010, 44, 1587–1596. [Google Scholar] [CrossRef]
- Men, C.; Liu, R.; Xu, F.; Wang, Q.; Guo, L.; Shen, Z. Pollution Characteristics, Risk Assessment, and Source Apportionment of Heavy Metals in Road Dust in Beijing, China. Sci. Total Environ. 2018, 612, 138–147. [Google Scholar] [CrossRef] [PubMed]
- WANG, X.; LI, X.; GAO, L.; GAO, Y.; LANG, C. Speciation and Ecological Risk of Selenium in Street Dust in Downtown Chengdu. Environ. Chem. 2022, 41, 2014–2021. [Google Scholar] [CrossRef]
- Zhou, S.; Yuan, Q.; Li, W.; Lu, Y.; Zhang, Y.; Wang, W. Trace Metals in Atmospheric Fine Particles in One Industrial Urban City: Spatial Variations, Sources, and Health Implications. J. Environ. Sci. 2014, 26, 205–213. [Google Scholar] [CrossRef]
- Zhang, Y.; Cao, S.; Xu, X.; Qiu, J.; Chen, M.; Wang, D.; Guan, D.; Wang, C.; Wang, X.; Dong, B.; et al. Metals Compositions of Indoor PM2.5, Health Risk Assessment, and Birth Outcomes in Lanzhou, China. Environ. Monit. Assess. 2016, 188, 325. [Google Scholar] [CrossRef] [PubMed]
- Hu, J.; Sun, Q.; He, H. Thermal Effects from the Release of Selenium from a Coal Combustion during High-Temperature Processing: A Review. Environ. Sci. Pollut. Res. 2018, 25, 13470–13478. [Google Scholar] [CrossRef] [PubMed]
- Wang, J.; Li, S.; Cui, X.; Li, H.; Qian, X.; Wang, C.; Sun, Y. Bioaccessibility, Sources and Health Risk Assessment of Trace Metals in Urban Park Dust in Nanjing, Southeast China. Ecotoxicol. Environ. Saf. 2016, 128, 161–170. [Google Scholar] [CrossRef] [PubMed]
- Jin, Y.; O’Connor, D.; Ok, Y.S.; Tsang, D.C.W.; Liu, A.; Hou, D. Assessment of Sources of Heavy Metals in Soil and Dust at Children’s Playgrounds in Beijing Using GIS and Multivariate Statistical Analysis. Environ. Int. 2019, 124, 320–328. [Google Scholar] [CrossRef]
- Zhang, Y.; Wang, X.; Chen, H.; Yang, X.; Chen, J.; Allen, J.O. Source Apportionment of Lead-Containing Aerosol Particles in Shanghai Using Single Particle Mass Spectrometry. Chemosphere 2009, 74, 501–507. [Google Scholar] [CrossRef]
- Hsu, C.Y.; Chiang, H.C.; Lin, S.L.; Chen, M.J.; Lin, T.Y.; Chen, Y.C. Elemental Characterization and Source Apportionment of PM10 and PM2.5 in the Western Coastal Area of Central Taiwan. Sci. Total Environ. 2016, 541, 1139. [Google Scholar] [CrossRef]
- Luilo, G.B.; Othman, O.C.; Mrutu, A. Arsenic: A Toxic Trace Element of Public Health Concern in Urban Roadside Soils in Dar Es Salaam City. J. Mater. Environ. Sci. 2014, 5, 1742–1749. [Google Scholar]
- Shafer, M.M.; Toner, B.M.; Overdier, J.T.; Schauer, J.J.; Fakra, S.C.; Hu, S.; Herner, J.D.; Ayala, A. Chemical Speciation of Vanadium in Particulate Matter Emitted from Diesel Vehicles and Urban Atmospheric Aerosols. Environ. Sci. Technol. 2012, 46, 189–195. [Google Scholar] [CrossRef] [PubMed]
- Jandacka, D.; Durcanska, D.; Bujdos, M. The Contribution of Road Traffic to Particulate Matter and Metals in Air Pollution in the Vicinity of an Urban Road. Transp. Res. Part D Transp. Environ. 2017, 50, 397–408. [Google Scholar] [CrossRef]
- Wang, Y.L.; Tsou, M.C.M.; Pan, K.H.; Özkaynak, H.; Dang, W.; Hsi, H.C.; Chien, L.C. Estimation of Soil and Dust Ingestion Rates from the Stochastic Human Exposure and Dose Simulation Soil and Dust Model for Children in Taiwan. Environ. Sci. Technol. 2021, 55, 11805–11813. [Google Scholar] [CrossRef]
- Tarafdar, A.; Sinha, A. Health Risk Assessment and Source Study of PAHs from Roadside Soil Dust of a Heavy Mining Area in India. Arch. Environ. Occup. Health 2019, 74, 252–262. [Google Scholar] [CrossRef] [PubMed]
- Shi, G.; Chen, Z.; Bi, C.; Wang, L.; Teng, J.; Li, Y.; Xu, S. A Comparative Study of Health Risk of Potentially Toxic Metals in Urban and Suburban Road Dust in the Most Populated City of China. Atmos. Environ. 2011, 45, 764–771. [Google Scholar] [CrossRef]





| Value of EF | Pollution Category |
|---|---|
| (0, 2) | Deficiency to minimal enrichment |
| [2, 5) | Moderate enrichment |
| [5, 20) | Significant enrichment |
| [20, 40) | Very high enrichment |
| [40, +∞) | Extremely high enrichment |
| Value of Igeo | Level | Pollution Category |
|---|---|---|
| [−∞, 0) | 0 | Unpolluted |
| [0, 1) | 1 | Unpolluted to moderately polluted |
| [1, 2) | 2 | Moderately polluted |
| [2, 3) | 3 | Moderately to strongly polluted |
| [3, 4) | 4 | Strongly polluted |
| [4, 5) | 5 | Strongly to extremely polluted |
| [5, +∞) | 6 | Extremely polluted |
| Parameter | Meaning | Unit | Children | Adult | Source |
|---|---|---|---|---|---|
| IngR | Ingestion rate | mg·d−1 | 200 | 100 | [25,40,41,42,43,44] |
| InhR | Inhalation rate | mg·d−1 | 5 | 20 | |
| EF | Exposure frequency | d·a−1 | 180 | 180 | |
| ED | Exposure duration | a | 6 | 24 | |
| BW | Body weight | kg | 15 | 70 | |
| PEF | Particle emission factor | m3·kg−1 | 1.32 × 109 | 1.32 × 109 | |
| AT (carcinogen) | Average time | d | 365·70 | 365·70 | |
| AT (non-carcinogen) | Average time | d | 365·ED | 365·ED | |
| SA | Skin surface area | cm2 | 2800 | 5700 | |
| AF | Skin adherence factor | mg·(cm2·d)−1 | 0.2 | 0.7 | |
| ABF | Absorption factor | / | 0.001 | 0.001 | |
| CF | Conversion factor | kg/mg | 1 × 10−6 | 1 × 10−6 |
| PTEs | RfDing | RfDinh | RfDdermal | SFing | SFinh | SFdermal |
|---|---|---|---|---|---|---|
| V | 7.00 × 10−3 | 1.40 × 10−5 | 7.00 × 10−5 | - | - | - |
| Mn | 4.66 × 10−2 | 1.43 × 10−5 | 1.84 × 10−3 | - | - | - |
| Pb | 3.50 × 10−3 | 3.50 × 10−3 | 5.25 × 10−4 | - | - | - |
| Cu | 3.70 × 10−2 | 4.00 × 10−2 | 1.20 × 10−2 | - | - | - |
| Zn | 3.00 × 10−1 | 3.00 × 10−1 | 6.00 × 10−2 | - | - | - |
| Se | 5.00 × 10−3 | 5.70 × 10−5 | 2.20 × 10−3 | - | - | - |
| Ba | 2.00 × 10−1 | 1.40 × 10−2 | 1.43 × 10−4 | |||
| Cd | 1.00 × 10−3 | 1.00 × 10−3 | 1.00 × 10−5 | 0.38 | 6.30 | 3.00 |
| Co | 3.00 × 10−3 | 6.00 × 10−5 | 2.80 × 10−5 | - | 9.80 | - |
| As | 3.00 × 10−4 | 1.23 × 10−4 | 1.23 × 10−4 | 1.50 | 15.10 | 3.66 |
| Cr | 3.00 × 10−3 | 2.85 × 10−5 | 6.00 × 10−5 | 0.50 | 42.00 | 20.00 |
| Ni | 2.00 × 10−2 | 2.06 × 10−2 | 5.40 × 10−3 | 0.84 | 1.70 | 42.50 |
| Source | [25,44,45] | |||||
| Elements | Principal Components | |||
|---|---|---|---|---|
| PC1 | PC2 | PC3 | PC4 | |
| V | 0.433 | 0.415 | 0.004 | 0.532 |
| Cr | 0.893 | −0.076 | 0.197 | 0.154 |
| Mn | 0.300 | 0.714 | −0.271 | 0.293 |
| Co | 0.765 | 0.344 | 0.185 | −0.294 |
| Ni | −0.147 | 0.850 | 0.182 | −0.048 |
| Cu | 0.450 | 0.012 | 0.279 | −0.764 |
| Zn | 0.057 | −0.048 | 0.929 | 0.012 |
| As | 0.242 | 0.463 | 0.613 | 0.084 |
| Se | 0.694 | 0.558 | −0.026 | −0.170 |
| Cd | 0.903 | 0.124 | −0.056 | −0.142 |
| Ba | −0.058 | −0.041 | 0.302 | 0.512 |
| Pb | 0.469 | 0.657 | 0.098 | −0.081 |
| Eigenvalue | 3.47 | 2.50 | 1.60 | 1.39 |
| Variance contribution (%) | 28.88 | 20.86 | 13.35 | 11.59 |
| Cumulative variance contribution (%) | 28.88 | 49.74 | 63.09 | 74.67 |
| Elements | Children | Adult | ||||
|---|---|---|---|---|---|---|
| HQing | HQinh | HQdermal | HQing | HQinh | HQdermal | |
| V | 4.70 × 10−2 | 4.45 × 10−4 | 1.31 × 10−2 | 5.03 × 10−3 | 3.81 × 10−4 | 2.01 × 10−2 |
| Cr | 2.88 × 10−1 | 5.73 × 10−4 | 4.03 × 10−2 | 3.08 × 10−2 | 4.92 × 10−4 | 6.15 × 10−2 |
| Mn | 1.01 × 10−1 | 6.25 × 10−3 | 7.19 × 10−3 | 1.09 × 10−2 | 5.36 × 10−3 | 1.10 × 10−2 |
| Co | 2.99 × 10−2 | 2.83 × 10−5 | 8.97 × 10−3 | 3.20 × 10−3 | 2.43 × 10−5 | 1.37 × 10−2 |
| Ni | 1.81 × 10−2 | 3.33 × 10−7 | 1.88 × 10−4 | 1.94 × 10−3 | 2.86 × 10−7 | 2.87 × 10−4 |
| Cu | 1.19 × 10−2 | 2.08 × 10−7 | 1.03 × 10−4 | 1.27 × 10−3 | 1.78 × 10−7 | 1.57 × 10−4 |
| Zn | 3.31 × 10−3 | 6.26 × 10−8 | 4.63 × 10−5 | 3.54 × 10−4 | 5.37 × 10−8 | 7.07 × 10−5 |
| As | 2.65 × 10−1 | 1.23 × 10−5 | 1.81 × 10−3 | 2.84 × 10−2 | 1.05 × 10−5 | 2.77 × 10−3 |
| Se | 3.93 × 10−3 | 6.53 × 10−6 | 2.50 × 10−5 | 4.21 × 10−4 | 5.59 × 10−6 | 3.82 × 10−5 |
| Cd | 4.32 × 10−3 | 8.17 × 10−8 | 1.21 × 10−3 | 4.62 × 10−4 | 7.00 × 10−8 | 1.84 × 10−3 |
| Ba | 1.62 × 10−2 | 4.37 × 10−6 | 6.33 × 10−2 | 1.73 × 10−3 | 3.75 × 10−6 | 9.66 × 10−2 |
| Pb | 1.58 × 10−1 | 2.99 × 10−6 | 2.95 × 10−3 | 1.69 × 10−2 | 2.57 × 10−6 | 4.50 × 10−3 |
| Elements | Children | Adult | ||||
|---|---|---|---|---|---|---|
| CRing | CRinh | CRdermal | CRing | CRinh | CRdermal | |
| Cr | 3.70 × 10−5 | 5.88 × 10−8 | 4.14 × 10−6 | 1.59 × 10−5 | 2.02 × 10−7 | 2.53 × 10−5 |
| Co | - | 1.43 × 10−9 | - | - | 4.89 × 10−9 | - |
| Ni | 2.61 × 10−5 | 1.00 × 10−9 | 3.70 × 10−6 | 1.12 × 10−5 | 3.43 × 10−9 | 2.26 × 10−5 |
| As | 1.02 × 10−5 | 1.95 × 10−9 | 7.00 × 10−8 | 4.39 × 10−6 | 6.69 × 10−9 | 4.27 × 10−7 |
| Cd | 1.41 × 10−7 | 4.41 × 10−11 | 3.11 × 10−9 | 6.02 × 10−8 | 1.51 × 10−10 | 1.90 × 10−8 |
| Area | Children | Adult | |||||||||
|---|---|---|---|---|---|---|---|---|---|---|---|
| Cr | Co | Ni | As | Cd | Cr | Co | Ni | As | Cd | ||
| Industrial area | Max | 1.09 × 10−4 | 3.07 × 10−9 | 5.09 × 10−5 | 2.17 × 10−5 | 5.26 × 10−7 | 1.10 × 10−4 | 1.05 × 10−8 | 5.77 × 10−5 | 1.02 × 10−5 | 2.90 × 10−7 |
| Min | 2.76 × 10−5 | 1.58 × 10−9 | 1.90 × 10−5 | 1.20 × 10−5 | 1.09 × 10−7 | 2.77 × 10−5 | 5.42 × 10−9 | 2.16 × 10−5 | 5.61 × 10−6 | 6.05 × 10−8 | |
| Mean | 7.23 × 10−5 | 2.17 × 10−9 | 3.44 × 10−5 | 1.56 × 10−5 | 2.63 × 10−7 | 7.26 × 10−5 | 7.44 × 10−9 | 3.90 × 10−5 | 7.28 × 10−6 | 1.45 × 10−7 | |
| Commercial area | Max | 3.62 × 10−5 | 1.88 × 10−9 | 5.54 × 10−5 | 1.53 × 10−5 | 1.31 × 10−7 | 3.64 × 10−5 | 6.46 × 10−9 | 6.28 × 10−5 | 7.17 × 10−6 | 7.26 × 10−8 |
| Min | 2.53 × 10−5 | 8.79 × 10−10 | 3.51 × 10−5 | 5.45 × 10−6 | 2.19 × 10−8 | 2.54 × 10−5 | 3.01 × 10−9 | 3.98 × 10−5 | 2.55 × 10−6 | 1.21 × 10−8 | |
| Mean | 2.94 × 10−5 | 1.40 × 10−9 | 4.62 × 10−5 | 1.08 × 10−5 | 8.76 × 10−8 | 2.96 × 10−5 | 4.79 × 10−9 | 5.24 × 10−5 | 5.06 × 10−6 | 4.84 × 10−8 | |
| Residential area | Max | 4.97 × 10−5 | 1.61 × 10−9 | 2.93 × 10−5 | 8.26 × 10−6 | 1.31 × 10−7 | 4.99 × 10−5 | 5.52 × 10−9 | 3.32 × 10−5 | 3.86 × 10−6 | 7.26 × 10−8 |
| Min | 4.71 × 10−7 | 8.26 × 10−10 | 8.43 × 10−6 | 6.04 × 10−6 | 2.19 × 10−8 | 4.73 × 10−7 | 2.83 × 10−9 | 9.56 × 10−6 | 2.83 × 10−6 | 1.21 × 10−8 | |
| Mean | 2.41 × 10−5 | 1.13 × 10−9 | 1.91 × 10−5 | 7.39 × 10−6 | 9.85 × 10−8 | 2.42 × 10−5 | 3.88 × 10−9 | 2.17 × 10−5 | 3.45 × 10−6 | 5.44 × 10−8 | |
| Background area | Max | 4.86 × 10−5 | 1.17 × 10−9 | 2.78 × 10−5 | 1.24 × 10−5 | 1.53 × 10−7 | 4.88 × 10−5 | 4.02 × 10−9 | 3.15 × 10−5 | 5.81 × 10−6 | 8.47 × 10−8 |
| Min | 1.72 × 10−5 | 8.89 × 10−10 | 8.11 × 10−7 | 1.28 × 10−6 | 1.09 × 10−7 | 1.73 × 10−5 | 3.05 × 10−9 | 9.19 × 10−7 | 5.97 × 10−7 | 6.05 × 10−8 | |
| Mean | 3.88 × 10−5 | 1.01 × 10−9 | 1.94 × 10−5 | 7.49 × 10−6 | 1.26 × 10−7 | 3.90 × 10−5 | 3.45 × 10−9 | 2.20 × 10−5 | 3.50 × 10−6 | 6.95 × 10−8 | |
Publisher’s Note: MDPI stays neutral with regard to jurisdictional claims in published maps and institutional affiliations. |
© 2022 by the authors. Licensee MDPI, Basel, Switzerland. This article is an open access article distributed under the terms and conditions of the Creative Commons Attribution (CC BY) license (https://creativecommons.org/licenses/by/4.0/).
Share and Cite
Xiao, K.; Yao, X.; Zhang, X.; Fu, N.; Shi, Q.; Meng, X.; Ren, X. Pollution Characteristics, Source Apportionment, and Health Risk Assessment of Potentially Toxic Elements (PTEs) in Road Dust Samples in Jiayuguan, Hexi Corridor, China. Toxics 2022, 10, 580. https://doi.org/10.3390/toxics10100580
Xiao K, Yao X, Zhang X, Fu N, Shi Q, Meng X, Ren X. Pollution Characteristics, Source Apportionment, and Health Risk Assessment of Potentially Toxic Elements (PTEs) in Road Dust Samples in Jiayuguan, Hexi Corridor, China. Toxics. 2022; 10(10):580. https://doi.org/10.3390/toxics10100580
Chicago/Turabian StyleXiao, Kai, Xiaoqing Yao, Xi Zhang, Ning Fu, Qiuhong Shi, Xiaorui Meng, and Xuechang Ren. 2022. "Pollution Characteristics, Source Apportionment, and Health Risk Assessment of Potentially Toxic Elements (PTEs) in Road Dust Samples in Jiayuguan, Hexi Corridor, China" Toxics 10, no. 10: 580. https://doi.org/10.3390/toxics10100580
APA StyleXiao, K., Yao, X., Zhang, X., Fu, N., Shi, Q., Meng, X., & Ren, X. (2022). Pollution Characteristics, Source Apportionment, and Health Risk Assessment of Potentially Toxic Elements (PTEs) in Road Dust Samples in Jiayuguan, Hexi Corridor, China. Toxics, 10(10), 580. https://doi.org/10.3390/toxics10100580
