Isolation, Gastroprotective Effects and Untargeted Metabolomics Analysis of Lycium Minutifolium J. Remy (Solanaceae)
Abstract
1. Introduction
2. Materials and Methods
2.1. Chemicals
2.2. Plant Material
2.3. Extraction and Isolation
2.4. UHPLC-ESI-MS/MS Studies
2.5. Animals
2.6. HCl/EtOH-Induced Lesions in Mice
2.7. HCl/Ethanol-Induced Gastric Lesions in Indomethacin-, NEM- and L-NAME-Pretreated Mice
2.8. Statistical Analysis
3. Results
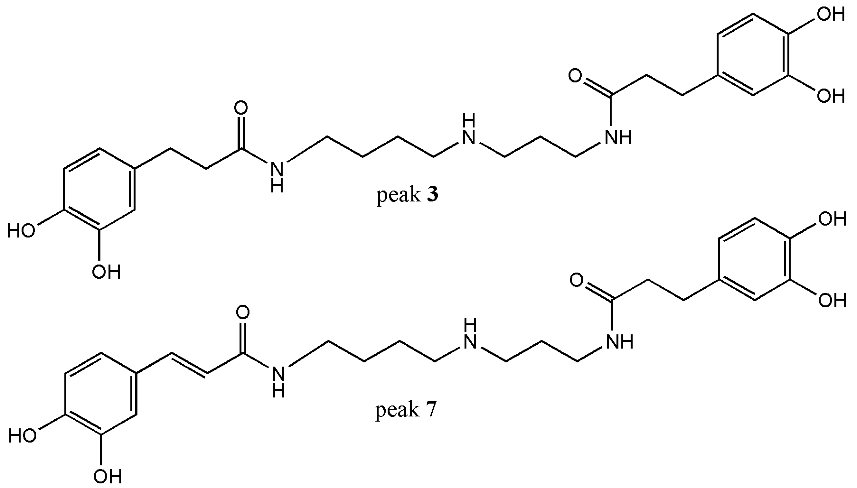
3.1. Isolation of Secondary Metabolites
3.2. Metabolomic Profiling of the Infusion by Using UHPLC-ESI-MS/MS
3.3. Gastroprotective Activity
4. Conclusions
Supplementary Materials
Author Contributions
Funding
Conflicts of Interest
References
- Mozsik, G.Y.; Abdel-Salam, O.M.E.; Szolcsanyi, J. Capsaicin-Sensitive Afferent Nerves in Gastric Mucosal Damage and Protection; Budapest Akadémiai Kiadó: Budapest, Hungary, 1997. [Google Scholar]
- Bellolio, E.; Riquelme, I.; Riffo-Campos, A.; Rueda, C.; Ferreccio, C.; Villaseca, M.; Brebi, P.; Muñoz, S.; Araya, J.C. Assessment of gastritis and gastric cancer risk in the Chilean population using the OLGA system. Pathol. Oncol. Res. 2019, 25, 1135–1142. [Google Scholar] [CrossRef] [PubMed]
- Yao, R.; Heinrich, M.; Weckerle, C.S. The genus Lycium as food and medicine: A botanical, ethnobotanical and historical review. J. Ethnopharm. 2018, 212, 50–66. [Google Scholar] [CrossRef] [PubMed]
- Potterat, O. Goji (Lycium barbarum and L. chinense): Phytochemistry, pharmacology and safety in the perspective of traditional uses and recent popularity. Planta Med. 2010, 76, 7–19. [Google Scholar] [CrossRef] [PubMed]
- Qian, D.; Zhao, Y.; Yang, G.; Huang, L. Systematic review of chemical constituents in the genus Lycium (Solanaceae). Molecules 2017, 22, 911. [Google Scholar] [CrossRef]
- Rodríguez, R.; Marticorena, C.; Alarcón, D.; Baeza, C.; Cavieres, L.; Finot, V.L.; Ruiz, E. Catálogo de las plantas vasculares de Chile. Gayana Bot. 2018, 75, 1–430. [Google Scholar] [CrossRef]
- Moraga-Reyes, J. Yerbas y Curanderos. Testimonios de Valle del Huasco; La Calabaza del Diablo: Santiago, Chile, 2007. [Google Scholar]
- Martins, C.P.B.; Bromirski, M.; Conaway, M.C.P.; Makarov, A.A. Orbitrap mass spectrometry: Evolution and Applicability. In Comprensive Analitycal Chemistry; Perez, S., Eichhorn, P., Barcelo, D., Eds.; Elsevier: Amsterdam, The Netherlands, 2016; Volume 71. [Google Scholar]
- Alimuddin, A.H.; Mardjan, M.I.D.; Matsjeh, S.; Anwar, C.; Sholikhah, E.N. Synthesis 7-hydroxy-3′,4′-dimethoxyisoflavon from eugenol. Indones. J. Chem. 2011, 11, 163–168. [Google Scholar] [CrossRef]
- Kaufman, T.S. The multiple faces of eugenol. A versatile starting material and building block for organic and bio-organic synthesis and a convenient precursor toward bio-based fine chemicals. J. Braz. Chem. Soc. 2015, 26, 1055–1085. [Google Scholar] [CrossRef]
- Villegas, M.; Vargas, D.; Msonthii, J.D.; Marston, A.; Hostettmann, K. Isolation of the antifungal compounds falcarindiol and sarisan from Heteromorpha trifoliate. Planta Med. 1988, 54, 36–37. [Google Scholar] [CrossRef]
- Areche, C.; Sepulveda, B.; Martin, A.S.; Garcia-Beltran, O.; Simirgiotis, M.; Cañete, A. An unusual mulinane diterpenoid from the Chilean plant Azorella trifurcata (Gaertn) Pers. Org. Biomol. Chem. 2014, 12, 6406–6413. [Google Scholar] [CrossRef]
- Matsuda, H.; Pongpiriyadacha, Y.; Morikawa, T.; Kashima, Y.; Nakano, K.; Yoshikawa, M. Protective effects of polygodial and related compounds on ethanol-induced gastric mucosal lesions in rats: Structural requirements and mode of action. Bioorg. Med. Chem. Lett. 2002, 12, 477–482. [Google Scholar] [CrossRef]
- Simirgiotis, M.J.; Benites, J.; Areche, C.; Sepúlveda, B. Antioxidant capacities and analysis of phenolic compounds in three endemic Nolana species by HPLC-PDA-ESI-MS. Molecules 2015, 20, 11490–11507. [Google Scholar] [CrossRef]
- Simirgiotis, M.J.; Quispe, C.; Bórquez, J.; Areche, C.; Sepúlveda, B. Fast detection of phenolic compounds in extracts of easter pears (Pyrus communis) from the Atacama desert by ultrahigh-performance liquid chromatography and mass spectrometry (UHPLC-Q/Orbitrap/MS/MS). Molecules 2016, 21, 92. [Google Scholar] [CrossRef] [PubMed]
- Brito, A.; Ramirez, J.E.; Areche, C.; Sepúlveda, B.; Simirgiotis, M.J. HPLC-UV-MS profiles of phenolic compounds and antioxidant activity of fruits from three citrus species consumed in Northern Chile. Molecules 2014, 19, 17400–17421. [Google Scholar] [CrossRef] [PubMed]
- Parr, A.J.; Mellon, F.A.; Colquhoun, I.J.; Davies, H.V. Dihydrocaffeoyl polyamines (kukoamines and allies) in Potato (Solanum tuberosum) tubers detected during metabolite profiling. J. Agric. Food Chem. 2005, 53, 5461–5466. [Google Scholar] [CrossRef] [PubMed]
- Sattar, E.A.; Glasl, H.; Nahrstedt, A.; Hilal, S.H.; Zaki, A.Y.; El-Zalabani, S.M.H. Hydroxycinnamic acid amides from Iochroma cyaneum. Phytochemistry 1990, 29, 3931–3933. [Google Scholar] [CrossRef]
- Long, Z.; Zhang, Y.; Guo, Z.; Wang, L.; Xue, X.; Zhang, X.; Wang, S.; Wang, Z.; Civelli, O.; Liang, X. Amide alkaloids from Scopolia tangutica. Planta Med. 2014, 80, 1124–1130. [Google Scholar] [CrossRef]
- Santana-Gálvez, J.; Cisneros-Zevallos, L.; Jacobo-Velázquez, D.A. Chlorogenic Acid: Recent Advances on Its Dual Role as a Food Additive and a Nutraceutical against Metabolic Syndrome. Molecules 2017, 22, 358. [Google Scholar] [CrossRef]
- Borrelli, F.; Izzo, A.A. The plant kingdom as a source of anti-ulcer remedies. Phytother. Res. 2000, 14, 581–591. [Google Scholar] [CrossRef]
- Wallace, J.L. Eicosanoids in the gastrointestinal tract. Br. J. Pharmacol. 2019, 176, 1000–1008. [Google Scholar] [CrossRef]
- Lewis, D.A.; Hanson, P.J. Anti-Ulcer Drugs of Plant Origin. In Progress in Medicinal Chemistry; Elsevier: Amsterdam, The Netherlands, 1991; Volume 28, pp. 201–231. [Google Scholar]
- Wallace, J.L. Nitric oxide in the gastrointestinal tract: Opportunities for drug development. Br. J. Pharmacol. 2019, 176, 147–154. [Google Scholar] [CrossRef]
- Tundis, R.; Loizzo, M.R.; Bonesi, M.; Menichini, F.; Conforti, F.; Statti, G.; Menichini, F. Natural products as gastroprotective and antiulcer agents: Recent development. Nat. Prod. Commun. 2008, 3, 2129. [Google Scholar] [CrossRef]
- Mota, K.S.; Dias, G.E.; Pinto, M.E.; Luis-Ferreira, A.; Souza-Brito, A.R.; Hiruma-Lima, C.A.; Barbosa-Filho, J.M.; Batista, L.M. Flavonoids with gastroprotective activity. Molecules 2009, 14, 979–1012. [Google Scholar] [CrossRef] [PubMed]
- Sumbul, S.; Ahmad, M.A.; Asif, M.; Akhtar, M. Role of phenolic compounds in peptic ulcer: An overview. J. Pharm. Bioallied Sci. 2011, 3, 361–367. [Google Scholar] [PubMed]
- Khan, M.S.A.; Khundmiri, S.U.K.; Khundmiri, S.R.; Al-Sanea, M.M.; Mok, P.L. Fruit-derived polysaccharides and terpenoids: Recent update on the gastroprotective effects and mechanisms. Front. Pharmacol. 2018, 9, 569. [Google Scholar] [CrossRef] [PubMed]
- Zhang, C.; Gao, F.; Gan, S.; He, Y.; Chen, Z.; Liu, X.; Fu, C.; Qu, Y.; Zhang, J. Chemical characterization and gastroprotective effect of an isolated polysaccharide fraction from Bletilla striata against ethanol-induced acute gastric ulcer. Food Chem. Toxicol. 2019, 131, 110539. [Google Scholar] [CrossRef]
- Arunachalam, K.; Damazo, A.S.; Pavan, E.; Oliveira, D.M.; Figueiredo, F.D.F.; Machado, M.T.M.; Balogun, S.O.; Soares, I.M.; Barbosa, R.D.S. Cochlospermum regium (Mart. Ex Schrank) Pilg: Evaluation of chemical profile, gastroprotective activity and mechanism of action of hydroethanolic extract of its xylopodium in acute and chronic experimental models. J. Ethnopharmacol. 2019, 233, 101–114. [Google Scholar] [CrossRef]
- Chen, H.; Olatunji, O.J.; Zhou, Y. Anti-oxidative, anti-secretory and anti-inflammatory activities of the extract from the root bark of Lycium chinense (Cortex Lycii) against gastric ulcer in mice. J. Nat. Med. 2016, 70, 610–619. [Google Scholar] [CrossRef]
- Olatunji, O.J.; Chen, H.; Zhou, Y. Antiulcerogenic properties of Lycium chinense Mill extracts against ethanol-induced acute gastric lesion in animal models and its active constituents. Molecules 2015, 20, 22553–22564. [Google Scholar] [CrossRef]
- Li, P.; Xiao, B.; Chen, H.; Guo, J. Lycium Barbarum and Tumors in the Gastrointestinal Tract. In Lycium Barbarum and Human Health; Chang, R.C., So, K.F., Eds.; Springer: Dordrecht, The Netherlands, 2015. [Google Scholar]
- Lau, J.Y.; Sung, J.; Hill, C.; Henderson, C.; Howden, C.W.; Metz, D.C. Systematic Review of the Epidemiology of Complicated Peptic Ulcer Disease: Incidence, Recurrence, Risk Factors and Mortality. Digestion 2011, 84, 102–113. [Google Scholar] [CrossRef]
- Bonifácio, V.V.; dos Santos Ramos, A.A.; da Silva, B.B.; Bauab, M.M. Antimicrobial activity of natural products against Helicobacter pylori: A review. Ann. Clin. Microbiol. Antimicrob. 2014, 13, 54. [Google Scholar]
- Alarcon de la Lastra, C.; Lopez, A.; Motilva, V. Gastroprotective and prostaglandin E2 generation in rats by flavonoids of Dittrichia viscosa. Planta Med. 1993, 59, 497–501. [Google Scholar] [CrossRef] [PubMed]
- Alanko, J.; Riutta, A.; Holm, P.; Mucha, I.; Vapata, H.; Metsa-Ketela, T. Modulation of arachidonic acid metabolism by phenols: Relation to their structure and antioxidant/pro-oxidant properties. Free Radic. Biol. Med. 1999, 26, 193–201. [Google Scholar] [CrossRef]




| Peak | TR (min.) | Tentative Identification | [M-H]− | Theoretical Mass (m/z) | Measured Mass (m/z) | Accuracy (ppm) | MSn Ions (ppm) |
|---|---|---|---|---|---|---|---|
| 1 | 1.35 | Quinic acid | C7H11O6− | 191.0561 | 191.0557 | −1.93 | 109.0286 |
| 2 | 1.87 | Citric acid | C6H7O7− | 191.0192 | 191.0199 | 3.36 | 111.0080 |
| 3 | 8.79 | N1,N3-bis dihydrocaffeoyl spermidine | C25H34N3O6− | 472.2455 | 472.2447 | −0.47 | 308.1976; 163.0393 |
| 4 | 9.13 | Chlorogenic acid (5-Caffeoylquinic acid) | C16H17O9− | 353.0876 | 353.0879 | 3.52 | 191.0557; 707.1813 (2M-H adduct) |
| 5 | 9.24 | Chlorogenic acid (4-Caffeoylquinic acid) | C16H17O9− | 353.0876 | 353.0879 | 3.52 | 191.0557; 707.1813 (2M-H adduct) |
| 6 | 9.65 | bis dihydrocaffeoyl spermidine derivative | C25H34N3O6− | 472.2455 | 472.2453 | −0.47 | 308.1975; 163.0392 |
| 7 | 9.82 | N1,caffeoyl-N3-dihydrocaffeoyl spermidine | C25H33N3O6− | 470.2299 | 470.2293 | 1.11 | 334.1769; 308.1977; 306.1820; 135.0443 |
| 8 | 9.94 | Chlorogenic acid (3-Caffeoylquinic acid) | C16H17O9− | 353.0878 | 353.0881 | 0.90 | 191.0555 |
| 9 | 10.09 | Atropine derivative | C17H18NO5− | 316.1188 | 316.1192 | −1.4 | 149.0601 |
| 10 | 10.25 | Quercetin-3-O-hexoside-7-O-hexoside-hexoside | C33H39O22− | 787.1938 | 787.1928 | 2.03 | 609.1457; 301.0341 |
| 11 | 10.78 | Rutin | C27H29O16− | 609.1455 | 609.1440 | −2.8 | 301.0342; 300.0269; 179.0432 |
| 12 | 11.23 | Kaempferol-3-O-hexoside-pentoside | C27H29O15− | 593.1511 | 593.1501 | 1.62 | 285.0405; 255.0279 |
| 13 | 11.49 | Isorhamnetin-hexoside-rhamnoside | C28H31O16− | 623.1616 | 623.1611 | 1.28 | 477.1014; 315.0499; 300.0264 |
| 14 | 11.32 | Kaempferol-3-O-hexoside | C21H19O11− | 447.0933 | 447.0919 | 1.28 | 285.0401 |
| 15 | 11.63 | esculin | C15H15O9− | 339.0722 | 339.0714 | 0.46 | 177.0190 |
| 16 | 13.50 | Eriodictyol | C15H11O6− | 287.0556 | 287.0550 | 2.15 | 135.0442 |
| 17 | 13.67 | Kaempferol or luteolin | C15H9O6− | 285.0401 | 285.0393 | 2.90 | 179.0432; 151.0029 |
| 18 | 13.84 | Quercetin | C18H15O7− | 301.0342 | 301.0351 | 3.01 | 151.0034 |
| 19 | 14.57 | Isorhamnetin | C16H11O7− | 315.0510 | 315.0506 | 2.41 | 300.0273 |
| 20 | 17.92 | Trihydroxyoleic acid | C18H33O5− | 329.2333 | 329.2322 | 2.41 | - |
| 21 | 17.92 | Trihydroxyoleic acid | C18H33O5− | 329.2333 | 329.2321 | 2.23 | - |
| 22 | 18.19 | Trihydroxyoleic acid | C18H33O5− | 329.2333 | 329.2322 | 2.46 | - |
| 23 | 18.33 | Methyl isorhamnetin | C17H13O7− | 329.0665 | 329.0655 | 2.97 | 271.0243 |
| Treatment | n | Lesion Index (mm) | % Lesion Reduction | Dose (mg/Kg) |
|---|---|---|---|---|
| EA-EXT | 7 | 31.3 ± 3.2 ** | 31 * | 100 |
| EI-EXT | 7 | 16.2 ± 3.7 | 64 * | 100 |
| Lansoprazole | 7 | 14.7 ± 4.8 | 69 * | 30 |
| Control | 7 | 45.4 ± 4.5 | - | - |
| Treatment | Dose (mg/kg) | Lesion Index (mm) |
|---|---|---|
| Control | - | 45.4 ± 4.5 |
| EI-EXT | 100 | 16.2 ± 3.7 * |
| IND + EI-EXT | 10 + 100 | 39.8 ± 5.2 |
| NEM + EI-EXT | 10 + 100 | 36.1 ± 5.5 |
| L-NAME + EI-EXT | 70 + 100 | 40.0 ± 5.8 * |
| RR + EI-EXT | 3.5 + 100 | 18.1 ± 3.5 |
| Carbenoxolone | 100 | 14.6 ± 4.2 * |
© 2020 by the authors. Licensee MDPI, Basel, Switzerland. This article is an open access article distributed under the terms and conditions of the Creative Commons Attribution (CC BY) license (http://creativecommons.org/licenses/by/4.0/).
Share and Cite
Rodriguez, S.; Pertino, M.W.; Arcos, C.; Reichert, L.; Echeverria, J.; Simirgiotis, M.; Borquez, J.; Cornejo, A.; Areche, C.; Sepulveda, B. Isolation, Gastroprotective Effects and Untargeted Metabolomics Analysis of Lycium Minutifolium J. Remy (Solanaceae). Foods 2020, 9, 565. https://doi.org/10.3390/foods9050565
Rodriguez S, Pertino MW, Arcos C, Reichert L, Echeverria J, Simirgiotis M, Borquez J, Cornejo A, Areche C, Sepulveda B. Isolation, Gastroprotective Effects and Untargeted Metabolomics Analysis of Lycium Minutifolium J. Remy (Solanaceae). Foods. 2020; 9(5):565. https://doi.org/10.3390/foods9050565
Chicago/Turabian StyleRodriguez, Stephanie, Mariano Walter Pertino, Chantal Arcos, Luana Reichert, Javier Echeverria, Mario Simirgiotis, Jorge Borquez, Alberto Cornejo, Carlos Areche, and Beatriz Sepulveda. 2020. "Isolation, Gastroprotective Effects and Untargeted Metabolomics Analysis of Lycium Minutifolium J. Remy (Solanaceae)" Foods 9, no. 5: 565. https://doi.org/10.3390/foods9050565
APA StyleRodriguez, S., Pertino, M. W., Arcos, C., Reichert, L., Echeverria, J., Simirgiotis, M., Borquez, J., Cornejo, A., Areche, C., & Sepulveda, B. (2020). Isolation, Gastroprotective Effects and Untargeted Metabolomics Analysis of Lycium Minutifolium J. Remy (Solanaceae). Foods, 9(5), 565. https://doi.org/10.3390/foods9050565

