Comparative Analysis of Aroma Emissions in ‘Gala’ Apples Stored in Ethanol- and Hexanal-Enriched Controlled Atmosphere
Abstract
1. Introduction
2. Materials and Methods
2.1. Plant Material and Storage Techniques
2.2. Ethylene Production and Respiratory Rate
2.3. Fruit Color
2.4. Sample Preparation and Volatile Compound Extraction
2.5. Volatile Compound Identification and Quantification
2.6. Calculation of the Odor Activity Values
2.7. Statistical Analysis
3. Results and Discussion
3.1. Ethylene Production and Respiratory Rate
3.2. Fruit Color
3.3. Volatile Compounds Analysis
3.3.1. Total Volatile Compounds
3.3.2. Total Esters
3.3.3. Individual Esters
3.3.4. Total Alcohols
3.3.5. Individual Alcohols
3.3.6. Other Compounds
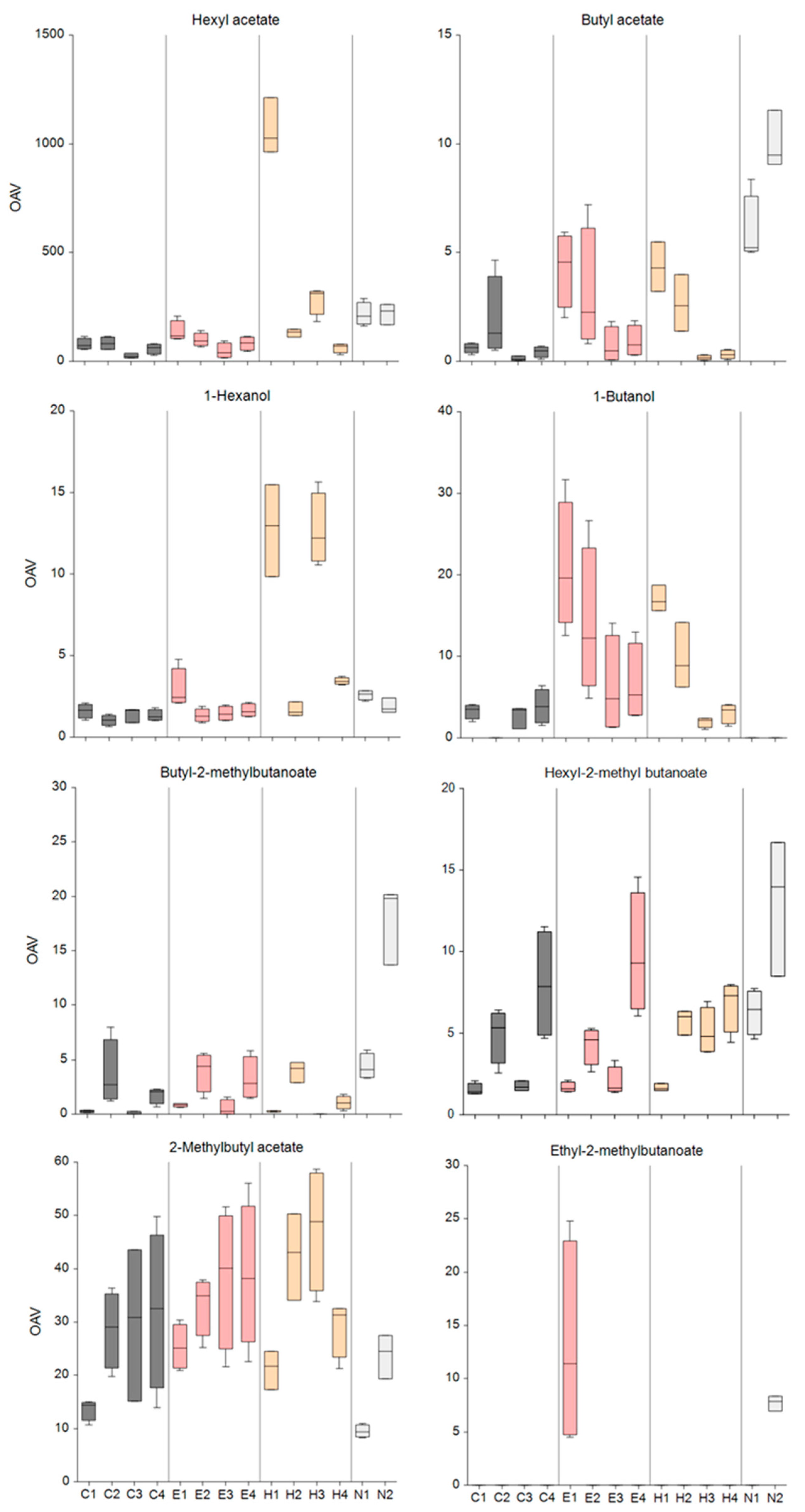
3.4. Odor Activity Values
3.5. Correlation Analysis for Hexyl Acetate
4. Conclusions
Supplementary Materials
Author Contributions
Funding
Institutional Review Board Statement
Informed Consent Statement
Data Availability Statement
Acknowledgments
Conflicts of Interest
Abbreviations
| VOC | Volatile compound |
| AAT | Alcohol acyltransferase |
| CA | Controlled atmosphere |
| ADH | Alcohol dehydrogenase |
| CA-et | CA-ethanol |
| CA-he | CA-hexanal |
| NA | Normal air atmosphere |
| CIE | Commission Internationale de l’Eclairage |
| OT | Odor threshold |
| AAC | 1-Aminocyclopropane-1-carboxylate |
| ACSL | Acetic acid-CoA ligase |
| ALDH | Acetaldehyde dehydrogenase |
| OAV | Odor activity value |
| LOX | Lipoxygenase |
| DCA | Dynamic controlled atmosphere |
| CF | Chlorophyll fluorescence |
| RQ | Respiratory quotient |
References
- Food and Agriculture Organization of the United Nations (FAOSTAT). Crop Production Data. 2022. Available online: https://www.fao.org/faostat/en/#data/QCL (accessed on 25 August 2024).
- El Hadi, M.A.M.; Zhang, F.J.; Wu, F.F.; Zhou, C.H.; Tao, J. Advances in Fruit Aroma Volatile Research. Molecules 2013, 18, 8200–8229. [Google Scholar] [CrossRef] [PubMed]
- Yang, S.; Hao, N.; Meng, Z.; Li, Y.; Zhao, Z. Identification, Comparison and Classification of Volatile Compounds in Peels of 40 Apple Cultivars by Hs–Spme with Gc–Ms. Foods 2021, 10, 51. [Google Scholar] [CrossRef] [PubMed]
- Espino-Díaz, M.; Sepúlveda, D.R.; González-Aguilar, G.; Olivas, G.I. Biochemistry of Apple Aroma: A Review. Food Technol. Biotechnol. 2016, 54, 375. [Google Scholar] [CrossRef]
- Yang, S.; Li, D.; Li, S.; Yang, H.; Zhao, Z. GC-MS Metabolite and Transcriptome Analyses Reveal the Differences of Volatile Synthesis and Gene Expression Profiling between Two Apple Varieties. Int. J. Mol. Sci. 2022, 23, 2939. [Google Scholar] [CrossRef]
- Souleyre, E.J.F.; Chagné, D.; Chen, X.; Tomes, S.; Turner, R.M.; Wang, M.Y.; Maddumage, R.; Hunt, M.B.; Winz, R.A.; Wiedow, C.; et al. The AAT1 Locus Is Critical for the Biosynthesis of Esters Contributing to “ripe Apple” Flavour in “Royal Gala” and “Granny Smith” Apples. Plant J. 2014, 78, 903–915. [Google Scholar] [CrossRef]
- Souleyre, E.J.F.; Greenwood, D.R.; Friel, E.N.; Karunairetnam, S.; Newcomb, R.D. An Alcohol Acyl Transferase from Apple (Cv. Royal Gala), MpAAT1, Produces Esters Involved in Apple Fruit Flavor. FEBS J. 2005, 272, 3132–3144. [Google Scholar] [CrossRef]
- Both, V.; Thewes, F.R.; Brackmann, A.; Ferreira, D.d.F.; Pavanello, E.P.; Wagner, R. Effect of Low Oxygen Conditioning and Ultralow Oxygen Storage on the Volatile Profile, Ethylene Production and Respiration Rate of ‘Royal Gala’ Apples. Sci. Hortic. 2016, 209, 156–164. [Google Scholar] [CrossRef]
- Sriskantharajah, K.; El Kayal, W.; Ayyanath, M.M.; Saxena, P.K.; Sullivan, A.J.; Paliyath, G.; Subramanian, J. Preharvest Spray Hexanal Formulation Enhances Postharvest Quality in ‘Honeycrisp’ Apples by Regulating Phospholipase d and Calcium Sensor Proteins Genes. Plants 2021, 10, 2332. [Google Scholar] [CrossRef]
- Thewes, F.R.; Balkees, B.M.; Büchele, F.; Wünsche, J.N.; Neuwald, D.A.; Brackmann, A. Ethanol Vapor Treatment Inhibits Apple Ripening at Room Temperature Even with the Presence of Ethylene. Postharvest Biol. Technol. 2021, 173, 111415. [Google Scholar] [CrossRef]
- Berger, R.G.; Drawert, F. Changes in the Composition of Volatiles by Post-harvest Application of Alcohols to Red Delicious Apples. J. Sci. Food Agric. 1984, 35, 1318–1325. [Google Scholar] [CrossRef]
- Thewes, F.R.; Brackmann, A.; Both, V.; Ludwig, V.; Wendt, L.M.; Thewes, F.R.; Soldateli, F.J. Dynamics of Ethanol and Its Metabolites in Fruit: The Impact of the Temperature and Fruit Species. Postharvest Biol. Technol. 2023, 197, 112209. [Google Scholar] [CrossRef]
- Yumbya, P.; Ambuko, J.; Hutchinson, M.; Owino, W.; Juma, J.; Machuka, E.; Mutuku, J.M. Transcriptome Analysis to Elucidate Hexanal’s Mode of Action in Preserving the Post-Harvest Shelf Life and Quality of Banana Fruits (Musa Acuminata). J. Agric. Food Res. 2021, 3, 100114. [Google Scholar] [CrossRef]
- Nagarajan, V.; Kizhaeral, S.S.; Subramanian, M.; Rajendran, S.; Ranjan, J. Encapsulation of a Volatile Biomolecule (Hexanal) in Cyclodextrin Metal-Organic Frameworks for Slow Release and Its Effect on Preservation of Mangoes. ACS Food Sci. Technol. 2021, 1, 1936–1944. [Google Scholar] [CrossRef]
- Ranjan, S.; Chandrasekaran, R.; Paliyath, G.; Lim, L.T.; Subramanian, J. Effect of Hexanal Loaded Electrospun Fiber in Fruit Packaging to Enhance the Post Harvest Quality of Peach. Food Packag. Shelf Life 2020, 23, 100447. [Google Scholar] [CrossRef]
- Rowan, D.D.; Allen, J.M.; Fielder, S.; Hunt, M.B. Biosynthesis of Straight-Chain Ester Volatiles in Red Delicious and Granny Smith Apples Using Deuterium-Labeled Precursors. J. Agric. Food Chem. 1999, 47, 2553–2562. [Google Scholar] [CrossRef]
- Fan, L.; Song, J.; Beaudry, R.M.; Hildebrand, P.D. Effect of Hexanal Vapor on Spore Viability of Penicillin Expansum, Lesion Development on Whole Apples and Fruit Volatile Biosynthesis. J. Food Sci. 2006, 71, M105–M109. [Google Scholar] [CrossRef]
- Harb, J.; Streif, J.; Bangerth, F. Response of Controlled Atmosphere (CA) Stored “Golden Delicious” Apples to the Treatments with Alcohols and Aldehydes as Aroma Precursors. Gartenbauwissenschaft 2000, 65, 154–161. [Google Scholar]
- Sander, R. Compilation of Henry’s law constants (version 4.0) for water as solvent. Atmos. Chem. Phys. 2015, 15, 4399–4981. [Google Scholar] [CrossRef]
- Both, V.; Brackmann, A.; Thewes, F.R.; Ferreira, D.D.F.; Wagner, R. Effect of Storage under Extremely Low Oxygen on the Volatile Composition of “Royal Gala” Apples. Food Chem. 2014, 156, 50–57. [Google Scholar] [CrossRef]
- Saquet, A.A.; Streif, J. Respiration Rate and Ethylene Metabolism of ‘Jonagold’ Apple and ‘Conference’ Pear under Regular Air and Controlled Atmosphere. Bragantia 2017, 76, 335–344. [Google Scholar] [CrossRef]
- Weber, A.; Neuwald, D.A.; Kittemann, D.; Thewes, F.R.; Both, V.; Brackmann, A. Influence of Respiratory Quotient Dynamic Controlled Atmosphere (DCA—RQ) and Ethanol Application on Softening of Braeburn Apples. Food Chem. 2020, 303, 125346. [Google Scholar] [CrossRef]
- Schmidt, S.F.P.; Schultz, E.E.; Ludwig, V.; Berghetti, M.R.P.; Thewes, F.R.; Anese, R.d.O.; Both, V.; Brackmann, A. Volatile Compounds and Overall Quality of ‘Braeburn’ Apples after Long-Term Storage: Interaction of Innovative Storage Technologies and 1-MCP Treatment. Sci. Hortic. 2020, 262, 109039. [Google Scholar] [CrossRef]
- Weber, A.; Brackmann, A.; Both, V.; Pavanello, E.P.; Anese, R.O.; Schorr, M.R.W. Ethanol Reduces Ripening of ‘Royal Gala’ Apples Stored in Controlled Atmosphere. An. Acad. Bras. Cienc. 2016, 88, 403–410. [Google Scholar] [CrossRef]
- Thewes, F.R.; Balkees, B.M.; Büchele, F.; Both, V.; Brackmann, A.; Neuwald, D.A. The Isolated and Combined Impacts of Ethanol and Ethylene Application on Sugars and Organic Acids Dynamics in ‘Elstar’ and ‘Nicoter’ Apples. Postharvest Biol. Technol. 2022, 194, 112068. [Google Scholar] [CrossRef]
- Tiwari, K.; Paliyath, G. Microarray Analysis of Ripening-Regulated Gene Expression and Its Modulation by 1-MCP and Hexanal. Plant Physiol. Biochem. 2011, 49, 329–340. [Google Scholar] [CrossRef]
- Yuan, H.Y.; Hu, X.L.; Li, X.; Li, Y.H.; Paliyath, G. Effect of Hexanal Treatment on Postharvest Quality of “Darselect” Strawberry (Fragaria ×ananassa Duch.) Fruit. Acta Hortic. 2009, 839, 315–321. [Google Scholar] [CrossRef]
- Sharma, P.; Dhami, P.; Pandey, P. Flavors of Apple Fruit—A Review. J. Nutr. Ecol. Food Res. 2016, 2, 288–291. [Google Scholar] [CrossRef]
- Silué, Y.; Nindjin, C.; Cissé, M.; Kouamé, K.A.; Amani, N.G.; Mbéguié-A-Mbéguié, D.; Lopez-Lauri, F.; Tano, K. Hexanal Application Reduces Postharvest Losses of Mango (Mangifera indica L. Variety “Kent”) over Cold Storage Whilst Maintaining Fruit Quality. Postharvest Biol. Technol. 2022, 189, 111930. [Google Scholar] [CrossRef]
- Cheema, A.; Padmanabhan, P.; Subramanian, J.; Blom, T.; Paliyath, G. Improving Quality of Greenhouse Tomato (Solanum lycopersicum L.) by Pre- and Postharvest Applications of Hexanal-Containing Formulations. Postharvest Biol. Technol. 2014, 95, 13–19. [Google Scholar] [CrossRef]
- Both, V.; Thewes, F.R.; Brackmann, A.; de Oliveira Anese, R.; de Freitas Ferreira, D.; Wagner, R. Effects of Dynamic Controlled Atmosphere by Respiratory Quotient on Some Quality Parameters and Volatile Profile of ‘Royal Gala’ Apple after Long-Term Storage. Food Chem. 2017, 215, 483–492. [Google Scholar] [CrossRef]
- Anese, R.d.O.; Brackmann, A.; Thewes, F.R.; Schultz, E.E.; Ludwig, V.; Wendt, L.M.; Wagner, R.; Klein, B. Impact of Dynamic Controlled Atmosphere Storage and 1-Methylcyclopropene Treatment on Quality and Volatile Organic Compounds Profile of ‘Galaxy’ Apple. Food Packag. Shelf Life 2020, 23, 100443. [Google Scholar] [CrossRef]
- Chen, J.; Zhang, D.; Mi, H.; Pristijono, P.; Ge, Y.; Lv, J.; Li, Y.; Liu, B. Tissue-Specific Recovery Capability of Aroma Biosynthesis in ‘Golden Delicious’ Apple Fruit after Low Oxygen Storage. Agronomy 2022, 12, 2794. [Google Scholar] [CrossRef]
- Schultz, E.E.; Thewes, F.R.; Wendt, L.M.; Brackmann, A.; Both, V.; Ludwig, V.; Thewes, F.R.; Soldateli, F.J.; Wagner, R. Extremely Low Oxygen with Different Hysteresis and Dynamic Controlled Atmosphere Storage: Impact on Overall Quality and Volatile Profile of ‘Maxi Gala’ Apple. Postharvest Biol. Technol. 2023, 205, 112527. [Google Scholar] [CrossRef]
- Wright, A.H.; Delong, J.M.; Arul, J.; Prange, R.K. The Trend toward Lower Oxygen Levels during Apple (Malus × Domestica Borkh) Storage—A Review. J. Hortic. Sci. Biotechnol. 2015, 90, 1–13. [Google Scholar] [CrossRef]
- Wu, X.; Bi, J.; Fauconnier, M.L. Characteristic Volatiles and Cultivar Classification in 35 Apple Varieties: A Case Study of Two Harvest Years. Foods 2022, 11, 690. [Google Scholar] [CrossRef]
- Sceentree. Amyl Acetate. 2024. Available online: https://www.scentree.co/en/Amyl_acetate.html (accessed on 17 October 2024).
- Echeverría, G.; Graell, J.; Lara, I.; López, M.L. Physicochemical Measurements in “Mondial Gala®” Apples Stored at Different Atmospheres: Influence on Consumer Acceptability. Postharvest Biol. Technol. 2008, 50, 135–144. [Google Scholar] [CrossRef]
- Matich, A.; Rowan, D. Pathway Analysis of Branched-Chain Ester Biosynthesis in Apple Using Deuterium Labeling and Enantioselective Gas Chromatography-Mass Spectrometry. J. Agric. Food Chem. 2007, 55, 2727–2735. [Google Scholar] [CrossRef]
- Holland, D.; Larkov, O.; Bar-Ya’akov, I.; Bar, E.; Zax, A.; Brandeis, E.; Ravid, U.; Lewinsohn, E. Developmental and Varietal Differences in Volatile Ester Formation and Acetyl-CoA: Alcohol Acetyl Transferase Activities in Apple (Malus Domestica Borkh.) Fruit. J. Agric. Food Chem. 2005, 53, 7198–7203. [Google Scholar] [CrossRef]
- Zhang, J.; Wang, Y.; Zhang, S.; Zhang, S.; Liu, W.; Wang, N.; Fang, H.; Zhang, Z.; Chen, X. ABIOTIC STRESS GENE 1 Mediates Aroma Volatiles Accumulation by Activating MdLOX1a in Apple. Hortic. Res. 2024, 11, uhae215. [Google Scholar] [CrossRef]
- Maria, A.M.L.; Vergara, M.; Bravo, C.; Pereira, M.; Moggia, C. Development of Aroma Compounds and Sensory Quality of “Royal Gala” Apples during Storage. J. Hortic. Sci. Biotechnol. 2007, 82, 403–413. [Google Scholar] [CrossRef]
- Ferenczi, A.; Sugimoto, N.; Beaudry, R.M. Emission Patterns of Esters and Their Precursors throughout Ripening and Senescence in ‘Redchief Delicious’ Apple Fruit and Implications Regarding Biosynthesis and Aroma Perception. J. Am. Soc. Hortic. Sci. 2021, 146, 297–328. [Google Scholar] [CrossRef]
- Plotto, A.; Mcdaniel, M.R.; Mattheis, J.P. Characterization of Changes in “Gala” Apple Aroma during Storage Using Osme Analysis, a Gas Chromatography-Olfactometry Technique. J. Am. Soc. Hortic. Sci. 2000, 125, 714–722. [Google Scholar] [CrossRef]
- Young, H.; Gilbert, J.M.; Murray, S.H.; Ball, R.D. Causal Effects of Aroma Compounds on Royal Gala Apple Flavours. J. Sci. Food Agric. 1996, 71, 329–336. [Google Scholar] [CrossRef]
- Brattinga, C.; de Kok, P.M.T.; Bult, J.H.F. Sugar reduction in flavoured beverages: The robustness of aroma-induced sweetness enhancement. In Flavour Science: Proceedings of the XV Weurman Flavour Research Symposium; Verlag der Technischen Universität Graz: Graz, Austria, 2018; pp. 199–206. [Google Scholar] [CrossRef]
- Lara, I.; Echeverría, G.; Graell, J.; López, M.L. Volatile Emission after Controlled Atmosphere Storage of Mondial Gala Apples (Malus Domestica): Relationship to Some Involved Enzyme Activities. J. Agric. Food Chem. 2007, 55, 6087–6095. [Google Scholar] [CrossRef]
- Kreissl, J.; Mall, V.; Steinhaus, P.; Steinhaus, M. Leibniz-LSB@TUM Odorant Database, Version 1.2; Leibniz Institute for Food Systems Biology at the Technical University of Munich: Freising, Germany, 2022; Available online: https://www.leibniz-lsb.de/en/databases/leibniz-lsbtum-odorant-database (accessed on 30 January 2025).
- Liu, E.; Wang, G.; Li, Y.; Shen, X.; Chen, X.; Song, F.; Wu, S.; Chen, Q.; Mao, Z. Replanting Affects the Tree Growth and Fruit Quality of Gala Apple. J. Integr. Agric. 2014, 13, 1699–1706. [Google Scholar] [CrossRef]



| 1 day of shelf life | |||||
| Months of storage | NA | CA | CA-et | CA-he | |
| avg ± sd | avg ± sd | avg ± sd | avg ± sd | ||
| Ethylene (µL kg−1 h−1) | ±2 | 218.03 ± 73.77b | 15.12 ± 26.76a | 49.55 ± 24.71a | 1.51 ± 0.38a |
| 6 | 6.74 ± 1.27a | 11.32 ± 6.12a | 5.09 ± 1.90a | ||
| CO2 (μg kg−1s−1) | 2 | 8.25 ± 0.25a | 6.35 ± 0.36b | 8.77 ± 1.11a | 8.34 ± 0.60a |
| 6 | 3.95 ± 0.77a | 3.96 ± 0.58a | 3.45 ± 0.50a | ||
| 7 days of shelf life | |||||
| NA | CA | CA-et | CA-he | ||
| avg ± sd | avg ± sd | avg ± sd | avg ± sd | ||
| Ethylene (µL kg−1 h−1) | 2 | 199.97 ± 59.45a | 133.80 ± 48.52a | 173.94 ± 71.52a | 108.96 ± 66.79a |
| 6 | 85.77 ± 14.44a | 95.29 ± 28.28a | 119.45 ± 45.40a | ||
| CO2 (μg kg−1s−1) | 2 | 10.90 ± 1.31a | 11.93 ± 1.99a | 10.01 ± 1.16a | 11.39 ± 2.23a |
| 6 | 7.79 ± 0.44a | 10.31 ± 1.50b | 8.01 ± 1.02a | ||
| CA | CA-et | CA-he | |
|---|---|---|---|
| avg ± sd | avg ± sd | avg ± sd | |
| ΔL*2 | 17.84 ± 24.98 | 54.90 ± 87.58 | 48.37 ± 73.66 |
| Δa*2 | 27.75 ± 33.53 | 39.18 ± 47.27 | 25.17 ± 39.11 |
| Δb*2 | 12.78 ± 6.96 | 10.95 ± 9.94 | 8.15 ± 7.17 |
| ΔE | 5.58 ± 4.26 | 8.60 ± 4.91 | 6.38 ± 6.12 |
| 1 Day of Shelf Life | 7 Days of Shelf Life | ||||||||
|---|---|---|---|---|---|---|---|---|---|
| NA | CA | CA-et | CA-he | NA | CA | CA-et | CA-he | ||
| VOC | Month of Storage | avg ± sd | avg ± sd | avg ± sd | avg ± sd | avg ± sd | avg ± sd | avg ± sd | avg ± sd |
| Linear esters | |||||||||
| Ethyl acetate | 2 | 0.33 ± 0.16a | 0.18 ± 0.04a | 79.40 ± 35.82b | 1.35 ± 0.62a | 2.09 ± 0.84a | 1.19 ± 1.31a | 3.01 ± 0.52a | 0.82 ± 0.31a |
| 6 | 1.26 ± 0.58a | 16.07 ± 13.01b | 2.37 ± 1.07a | 0.56 ± 0.25a | 0.98 ± 0.57b | 0.43 ± 0.17a | |||
| Butyl acetate | 2 | 65.55 ± 24.52a | 6.28 ± 1.98b | 43.82 ± 18.88a | 44.20 ± 12.19a | 112.12 ± 25.98b | 18.96 ± 16.45a | 32.41 ± 30.39a | 26.52 ± 12.58a |
| 6 | 1.25 ± 1.19a | 7.42 ± 8.41a | 1.64 ± 1.04a | 4.71 ± 2.72a | 9.42 ± 7.26a | 3.09 ± 2.11a | |||
| Butyl propionate | 2 | 6.23 ± 1.73b | 0.00 ± 0.00a | 0.00 ± 0.00a | 0.00 ± 0.00a | 9.31 ± 1.20b | 0.00 ± 0.00a | 0.00 ± 0.00a | 0.00 ± 0.00a |
| 6 | 0.00 ± 0.00a | 0.00 ± 0.00a | 0.00 ± 0.00a | 0.00 ± 0.00a | 0.00 ± 0.00a | 0.00 ± 0.00a | |||
| Pentyl acetate | 2 | 5.60 ± 2.15ab | 3.33 ± 0.40a | 7.07 ± 2.43ab | 9.16 ± 1.69b | 8.99 ± 0.81a | 4.72 ± 1.81b | 5.34 ± 1.56b | 5.28 ± 0.48b |
| 6 | 0.85 ± 0.46a | 2.06 ± 1.47a | 5.88 ± 1.36b | 2.68 ± 1.17a | 4.39 ± 2.22a | 1.78 ± 1.09a | |||
| Butyl butanoate | 2 | 19.27 ± 7.22b | 1.12 ± 0.50a | 4.24 ± 0.94a | 3.19 ± 1.14a | 18.80 ± 0.93b | 7.42 ± 4.31a | 7.62 ± 3.28a | 6.47 ± 0.99a |
| 6 | 0.46 ± 0.45a | 2.11 ± 2.28a | 0.00 ± 0.00a | 4.87 ± 2.03ab | 8.40 ± 3.47a | 3.18 ± 1.97b | |||
| Ethyl hexanoate | 2 | 0.00 ± 00a | 0.00 ± 0.00a | 0.78 ± 0.53b | 0.00 ± 0.00a | 0.00 ± 0.00a | 0.00 ± 0.00a | 0.00 ± 0.00a | 0.00 ± 0.00a |
| 6 | 0.20 ± 0.35a | 0.00 ± 0.00b | 0.00 ± 0.00a | 0.00 ± 0.00a | 0.18 ± 0.13a | 0.06 ± 0.12a | |||
| Hexyl acetate | 2 | 133.69 ± 46.37a | 46.61 ± 12.91c | 78.37 ± 30.68ac | 608.72 ± 61.38b | 135.24 ± 16.89b | 47.57 ± 14.22a | 56.44 ± 20.04a | 74.56 ± 7.16a |
| 6 | 14.22 ± 6.73a | 28.02 ± 20.17a | 159.55 ± 32.92b | 34.95 ± 13.55a | 48.30 ± 16.49a | 36.12 ± 14.47a | |||
| Propyl hexanoate | 2 | 0.24 ± 0.10b | 0.00 ± 0.00a | 0.16 ± 0.06a | 0.00 ± 0.00a | 1.27 ± 0.33a | 0.94 ± 0.40a | 0.81 ± 0.30a | 0.74 ± 0.12a |
| 6 | 0.00 ± 0.00a | 0.00 ± 0.00a | 0.00 ± 0.00a | 0.77 ± 0.37a | 1.30 ± 0.42a | 0.49 ± 0.56a | |||
| Hexyl propanoate | 2 | 4.26 ± 0.73b | 0.24 ± 0.13a | 0.46 ± 0.20a | 0.99 ± 0.33a | 4.26 ± 1.07b | 1.70 ± 0.70a | 1.83 ± 0.66a | 1.64 ± 0.02a |
| 6 | 0.17 ± 0.07a | 0.36 ± 0.40a | 0.64 ± 0.42a | 1.35 ± 0.51a | 1.55 ± 0.46a | 1.52 ± 0.73a | |||
| Butyl hexanoate | 2 | 26.95 ± 12.67b | 2.63 ± 0.97a | 6.58 ± 1.39a | 1.48 ± 0.78a | 30.39 ± 6.04a | 22.17 ± 5.32ab | 18.49 ± 3.80b | 21.71 ± 2.86ab |
| 6 | 3.83 ± 2.42a | 10.21 ± 8.36a | 1.04 ± 0.45a | 42.92 ± 6.68a | 76.26 ± 9.52b | 28.53 ± 11.56a | |||
| Hexyl butanoate | 2 | 16.17 ± 5.96a | 2.80 ± 0.63a | 4.25 ± 1.05a | 7.65 ± 2.12a | 13.81 ± 6.06a | 7.81 ± 1.70ab | 6.58 ± 1.58b | 7.35 ± 1.46ab |
| 6 | 2.95 ± 0.76a | 4.31 ± 2.30a | 5.99 ± 2.02a | 16.55 ± 4.44ab | 23.15 ± 3.44a | 15.26 ± 4.00b | |||
| Hexyl hexanoate | 2 | 12.92 ± 7.04b | 3.42 ± 1.32a | 3.73 ± 1.38a | 2.47 ± 1.54a | 12.57 ± 7.73a | 15.22 ± 5.46a | 10.07 ± 0.36a | 16.18 ± 2.95a |
| 6 | 25.19 ± 10.09a | 43.85 ± 11.70ab | 69.11 ± 15.23b | 176.36 ± 45.79a | 256.59 ± 41.36a | 201.76 ± 2.06a | |||
| Butyl octanoate | 2 | 3.29 ± 1.67b | 0.45 ± 0.16a | 0.99 ± 0.39a | 0.17 ± 0.12a | 4.63 ± 2.02a | 2.92 ± 0.88a | 2.68 ± 0.96a | 2.98 ± 0.21a |
| 6 | 0.27 ± 0.27a | 1.01± 0.76a | 0.15 ± 0.07a | 2.69 ± 0.55a | 5.00 ± 1.32b | 1.93 ± 0.86a | |||
| Branched esters | |||||||||
| 2-Methylpropyl acetate | 2 | 0.00 ± 0.00a | 0.00 ± 0.00a | 1.27 ± 0.47b | 0.00 ± 0.00a | 0.00 ± 0.00b | 3.04 ± 1.14a | 2.99 ± 0.55a | 3.76 ± 0.40a |
| 6 | 0.00 ± 0.00a | 0.00 ± 0.00a | 0.00 ± 0.00a | 0.00 ± 0.00a | 0.00 ± 0.00a | 0.00 ± 0.00a | |||
| Ethyl 2-methylbutanoate | 2 | 0.00 ± 0.00a | 0.00 ± 0.00a | 0.22 ± 0.17b | 0.00 ± 0.00a | 0.14 ± 0.02b | 0.00 ± 0.00a | 0.00 ± 0.00a | 0.00 ± 0.00a |
| 6 | 0.00 ± 0.00a | 0.00 ± 0.00a | 0.00 ± 0.00a | 0.00 ± 0.00a | 0.00 ± 0.00a | 0.00 ± 0.00a | |||
| 2-Methylbutyl acetate | 2 | 24.99 ± 5.57a | 34.80 ± 4.43ac | 62.19 ± 12.89b | 52.10 ± 10.44bc | 63.91 ± 14.58a | 71.94 ± 10.28a | 81.33 ± 14.56ab | 103.47 ± 13.68b |
| 6 | 79.35 ± 40.76a | 99.01 ± 34.09a | 117.53 ± 34.65a | 85.57 ± 42.23a | 101.42 ± 42.39a | 71.33 ± 14.97a | |||
| Butyl 2-methylbutanoate | 2 | 8.63 ± 3.11a | 0.47 ± 0.20a | 1.53 ± 0.34b | 0.49 ± 0.17b | 35.61 ± 4.92a | 6.58 ± 4.75a | 7.30 ± 3.58a | 7.21 ± 1.38a |
| 6 | 0.16 ± 0.28a | 0.97 ± 1.33a | 0.00 ± 0.00a | 3.45 ± 1.52a | 6.13 ± 3.52a | 1.96 ± 1.18a | |||
| 2-Methylbutyl butanoate | 2 | 0.00 ± 0.00a | 0.00 ± 0.00a | 0.00 ± 0.00a | 0.00 ± 0.00a | 0.00 ± 0.00a | 0.00 ± 0.00a | 0.00 ± 0.00a | 0.00 ± 0.00a |
| 6 | 0.47 ± 0.09a | 0.38 ± 0.26a | 0.00 ± 0.00b | 1.48 ± 0.10a | 1.98 ± 0.21b | 1.50 ± 0.16a | |||
| Amyl 2-methylbutanoate | 2 | 0.26 ± 0.05b | 0.00 ± 0.00a | 0.00 ± 0.00a | 0.00 ± 0.00a | 1.12 ± 0.33b | 0.41 ± 0.18a | 0.40 ± 0.13a | 0.37 ± 0.04a |
| 6 | 0.00 ± 0.00a | 0.00 ± 0.00a | 0.00 ± 0.00a | 0.34 ± 0.12a | 0.47± 0.19a | 0.16 ± 0.11a | |||
| 5-Hexenyl acetate | 2 | 0.69 ± 0.26a | 0.38 ± 0.05a | 0.69 ± 0.20a | 0.74 ± 0.09a | 0.85 ± 0.10a | 0.76 ± 0.13a | 0.79 ± 0.17a | 1.05 ± 0.13a |
| 6 | 0.22 ± 0.01a | 0.37 ± 0.18a | 0.87 ± 0.11b | 0.67 ± 0.26a | 1.05 ± 0.29a | 0.62 ± 0.29a | |||
| Hexyl 2-methylbutanoate | 2 | 16.10 ± 4.08b | 3.84 ± 0.89a | 3.99 ± 0.87a | 3.96 ± 0.46a | 33.52 ± 9.31b | 12.04 ± 3.36a | 10.23 ± 2.96a | 13.74 ± 2.07a |
| 6 | 4.48 ± 1.02a | 4.95 ± 1.89a | 12.18 ± 3.60a | 20.25 ± 8.73a | 24.03 ± 7.35a | 16.35 ± 4.82a | |||
| Alcohols | |||||||||
| Ethanol | 2 | 2.67 ± 1.21a | 3.52 ± 0.83a | 35.14 ± 16.47b | 4.93 ± 2.57a | 4.14 ± 3.50a | 1.68 ± 0.42a | 3.35 ± 1.84a | 2.52 ± 0.65a |
| 6 | 5.21 ± 1.48a | 5.42 ± 1.13a | 6.38 ± 0.77a | 6.61 ± 1.03a | 10.13 ± 1.33b | 5.99 ± 0.26a | |||
| 2-Pentanol | 2 | 0.00 ± 0.00a | 0.00 ± 0.00a | 0.00 ± 0.00a | 8.90 ± 7.88b | 0.00 ± 0.00a | 0.00 ± 0.00a | 12.10 ± 14.07a | 0.32 ± 0.04a |
| 6 | 0.00 ± 0.00a | 6.82 ± 12.42a | 13.80 ± 2.08a | 0.00 ± 0.00a | 0.00 ± 0.00a | 8.81 ± 1.33b | |||
| 1-Butanol | 2 | 0.00 ± 0.00a | 6.53 ± 1.44a | 40.71 ± 17.06b | 33.05 ± 5.24a | 0.00 ± 0.00a | 0.00 ± 0.00a | 27.2 ± 18.78b | 18.70 ± 7.31b |
| 6 | 5.49 ± 2.72a | 12.39 ± 11.44a | 3.68 ± 1.14a | 7.95 ± 4.36a | 13.05 ± 9.02a | 6.03 ± 2.52a | |||
| 2-Methyl-1-butanol | 2 | 0.91 ± 0.12a | 1.87 ± 0.28ab | 3.69 ± 1.42c | 3.32 ± 0.39bc | 2.89 ± 0.28a | 2.88 ± 0.88a | 3.81 ± 0.81a | 3.20 ± 0.34a |
| 6 | 6.84 ± 1.90a | 6.61 ± 1.78a | 12.57 ± 3.51b | 4.27 ± 1.71a | 5.86 ± 3.11a | 5.00 ± 1.24a | |||
| 1-Hexanol | 2 | 11.25 ± 2.08a | 6.75 ± 1.61a | 12.01 ± 5.51a | 52.01 ± 10.98b | 8.21 ± 1.30a | 4.28 ± 0.97b | 5.39 ± 1.81ab | 6.78 ± 1.67ab |
| 6 | 6.04 ± 1.75a | 6.11 ± 1.87a | 51.08 ± 4.80b | 5.69 ± 1.14a | 6.89 ± 1.65a | 14.02 ± 1.76a | |||
| Other VOCs | |||||||||
| 2-Pentanone | 2 | 0.00 ± 0.00a | 0.00 ± 0.00a | 0.14 ± 0.04b | 1.11 ± 0.40b | 0.00 ± 0.00a | 0.00 ± 0.00a | 0.00 ± 0.00a | 0.38 ± 0.05b |
| 6 | 0.00 ± 0.00a | 0.00 ± 0.00a | 12.11 ± 5.09b | 0.00 ± 0.00a | 0.00 ± 0.00a | 2.44 ± 1.14b | |||
| Hexanal | 2 | 0.00 ± 0.00a | 0.00 ± 0.00a | 0.00 ± 0.00a | 0.57 ± 0.09b | 0.00 ± 0.00a | 0.00 ± 0.00a | 0.00 ± 0.00a | 0.00 ± 0.00a |
| 6 | 1.99 ± 0.99a | 0.98 ± 0.39a | 3.13 ± 1.06b | 0.78 ± 0.29a | 0.78 ± 0.21a | 0.66 ± 0.14a | |||
| 6-Methyl-5-heptene-2-one | 2 | 0.15 ± 0.06a | 0.12 ± 0.02a | 0.16 ± 0.05a | 0.09 ± 0.08a | 0.17 ± 0.06a | 0.40 ± 0.19a | 0.35 ± 0.05a | 0.44 ± 0.10a |
| 6 | 1.90 ± 0.47a | 2.46 ± 0.69a | 1.81 ± 0.35a | 1.04 ± 0.45a | 1.74 ± 0.16b | 2.22 ± 0.31b | |||
| Benzaldehyde | 2 | 0.27 ± 0.10a | 0.26 ± 0.03a | 0.26 ± 0.08a | 0.21 ± 0.15a | 0.20 ± 0.06a | 0.21 ± 0.06a | 0.33 ± 0.28a | 0.32 ± 0.31a |
| 6 | 0.68 ± 0.07a | 0.70 ± 0.11a | 0.80 ± 0.09a | 0.46 ± 0.04a | 1.58 ± 2.06a | 0.53 ± 0.10a | |||
| Estragole | 2 | 2.61 ± 1.22a | 4.62 ± 1.52a | 5.23 ± 1.76a | 2.17 ± 0.42a | 7.38 ± 3.90a | 9.20 ± 2.90a | 8.72 ± 2.38a | 7.00 ± 0.92a |
| 6 | 11.77 ± 3.30a | 9.53 ± 1.89a | 10.50 ± 3.78a | 7.28 ± 3.97a | 7.52 ± 4.17a | 3.75 ± 1.40a | |||
| α-Farnesene | 2 | 9.29 ± 6.16ab | 13.93 ± 3.37a | 11.18 ± 2.39ab | 2.95 ± 2.85b | 23.28 ± 7.46a | 28.26 ± 7.87a | 20.53 ± 1.52a | 23.90 ± 5.07a |
| 6 | 35.89 ± 7.59a | 45.56 ± 5.45a | 40.12 ± 8.78a | 43.94 ± 16.46a | 42.61 ± 8.02a | 47.65 ± 3.57a | |||
Disclaimer/Publisher’s Note: The statements, opinions and data contained in all publications are solely those of the individual author(s) and contributor(s) and not of MDPI and/or the editor(s). MDPI and/or the editor(s) disclaim responsibility for any injury to people or property resulting from any ideas, methods, instructions or products referred to in the content. |
© 2025 by the authors. Licensee MDPI, Basel, Switzerland. This article is an open access article distributed under the terms and conditions of the Creative Commons Attribution (CC BY) license (https://creativecommons.org/licenses/by/4.0/).
Share and Cite
Jesenko, E.; Vidrih, R.; Zlatić, E. Comparative Analysis of Aroma Emissions in ‘Gala’ Apples Stored in Ethanol- and Hexanal-Enriched Controlled Atmosphere. Foods 2025, 14, 930. https://doi.org/10.3390/foods14060930
Jesenko E, Vidrih R, Zlatić E. Comparative Analysis of Aroma Emissions in ‘Gala’ Apples Stored in Ethanol- and Hexanal-Enriched Controlled Atmosphere. Foods. 2025; 14(6):930. https://doi.org/10.3390/foods14060930
Chicago/Turabian StyleJesenko, Erika, Rajko Vidrih, and Emil Zlatić. 2025. "Comparative Analysis of Aroma Emissions in ‘Gala’ Apples Stored in Ethanol- and Hexanal-Enriched Controlled Atmosphere" Foods 14, no. 6: 930. https://doi.org/10.3390/foods14060930
APA StyleJesenko, E., Vidrih, R., & Zlatić, E. (2025). Comparative Analysis of Aroma Emissions in ‘Gala’ Apples Stored in Ethanol- and Hexanal-Enriched Controlled Atmosphere. Foods, 14(6), 930. https://doi.org/10.3390/foods14060930

