The Aroma of Non-Fermented and Fermented Dry-Cured Meat Products: Savory and Toasted Odors
Abstract
1. Introduction
| Product | Geographical Area | Pig Breed | Physico-Chemical Properties | Microbial Counts (log cfu/g) | |||||||
|---|---|---|---|---|---|---|---|---|---|---|---|
| Drying Time (d) | Moisture Content (%) | Water Activity (aw) | pH | TMB a | LAB | CN-Stp | YM | EB | |||
| Ham [12] | Spain | White pig | 211 | 22.8 | nr | 5.9 | nr b | 3.3 | 5.1 | 4.7(Y), 1.7(M) | <1 |
| Ham [13] | Spain | Domestic | 360 | 61.6 | nr | 6.2 | nr | nr | nr | nr | nr |
| Loin [14] | Spain | Large White females Landrace and Pietrain Males × Duroc | 49 | 58.5 | nr | nr | nr | nr | nr | nr | nr |
| Loin [15] | Spain | Iberian × Duroc | 120 | 33.9–38.6 | nr | nr | nr | nr | nr | nr | nr |
| Loin [16] | Spain | Torbiscal Iberian | 100 | nr | <0.9 | nr | nr | nr | nr | nr | nr |
| Loin [17] | Spain | Landrace × Large | 156 | 46.1–49.6 | nr | nr | nr | nr | nr | nr | nr |
| Loin [18] | Spain | Landrace × Large | 18 | 47 | nr | nr | nr | nr | nr | nr | nr |
| Loin [19] | Spain | Torbiscal Iberian | 100 | nr | <0.9 | nr | nr | nr | nr | nr | nr |
| Loin [20] | Spain | Commercial | 40 | 47 | 0.932 | nr | 2.8–3.3 | 2.2–2.8 | nr | nr | nr |
| Loin [21] | Spain | Chato Murciano | 60 | 41.9, 51.8 | nr | nr | nr | nr | nr | nr | nr |
| Loin [22] | Spain | Celta breed (Barcina line) | 90 | 34.04 | 0.841 | 5.8 | nr | nr | nr | nr | nr |
| Loin [23] | Spain | Chato Murciano | 60 | 46.01 | nr | nr | nr | nr | nr | nr | nr |
| Loin [24] | Spain | Iberian | 77 | nr | 0.875–0.883 | 5.5–5.7 | nr | nr | nr | nr | nr |
| Loin [25] | Spain | 50% Iberian × Duroc pigs | 87 | 42.29 | nr | nr | nr | nr | nr | nr | nr |
| Loin [26] | Spain | Iberian | 80 | 45.7 | 0.92 | 5.6 | 5.2 | nr | nr | 4.4 | nr |
| Loin [5] | Spain | Commercial | 51 | 51.2–57.3 | nr | 5.5–5.6 | 5.3 | 4.1 | 5.4 | 5.0 | nr |
| Loin [27] | Spain | Berkshire; Landrace × Yorkshire × Duroc | 30 | 59.6–53.2 | nr | 6.2–5.9 | nr | nr | nr | nr | nr |
| Loin [28] | Poland | Polish Large White | 28 | 53.0 | 0.929 | 6.0 | nr | nr | nr | nr | nr |
| Loin [29] | Poland | Puławska × Polish Landrace | 118 | nr | 0.938–0.941 | 5.8–6.2 | 7.1–8.3 | 6.7–7.9 | nr | nr | nr |
| Loin [30] | Poland | Polish Large White × Polish Landrace | nr | 52.5 | nr | 5.9 | nr | nr | nr | nr | nr |
| Loin [31] | China | Commercial Chinese | 18 | 47.9 | 0.849 | nr | nr | nr | nr | nr | nr |
| Jinhua Ham [32] | China | Large White × Landrace | 263 | 31.9 | nr | 6.1 | nr | nr | nr | nr | nr |
| Ham [33] | Korea | Korean native | 413 | 39.1 | 0.84 | 6.5 | nr | nr | nr | nr | nr |
| Products | Geographical Area | Physico-Chemical Properties | Microbial Counts (log cfu/g) | |||||||||
|---|---|---|---|---|---|---|---|---|---|---|---|---|
| Drying Time (d) | Moisture Content (%) | Water Activity (aw) | pH | TMB a | LAB | CN-Stp | CP-Stp | EC | EB | YM | ||
| Fuet [39] | Spain | 53 | nr b | 0.619 | 5.60 | 8.59 | 8.30 | 4.62 | nr | nr | nd c | nr |
| Salchichón [40] | Spain | 90 | 30.62 | 0.785 | 5.27 | nr | 7.61 | 4.52 | nr | nr | nr | nr |
| Salchichón [41] | Spain | 48 | 31.38 | 0.89 | 5.88 | 8.38 | 8.26 | 6.78 | 4.89 | nr | 3.12 | nr |
| Chorizo [42] | Spain | 48 | 20.66 | 0.821 | 5.58 | 8.59 | 8.17 | nr | nr | nr | nr | 6.23 |
| Galician chorizo [43] | Spain | 30 | nr | 0.830 | 6.13 | 8.55 | 8.51 | 6.38 | nr | nr | 5.61 | nr |
| Dry-fermented sausages [44] | Spain | 62 | 40.6 | 0.883 | 5.05 | 7.1 | 6.2 | 1.4 | 3.2 | nr | nr | nr |
| Smoked fermented sausages [45] | Portugal | nr | nr | 0.876 | 5.12 | 7.26 | 7.32 | 4.19 | nr | nr | 0.86 | 0.88 (Y), nd (M) |
| Fermented sausages [46] | Portugal | 30–40 | nr | 0.85 | 5.32 | nr | 6.47 | 5.59 | nr | 2.73 | nd | nr |
| Sicilian salami [47] | Italy | 90 | 26.8 | 0.81 | 6.37 | nr | 7.11 | 6.11 | nr | nr | 0.15 | 5.16 (Y) |
| Dry-fermented sausages [48] | Italy | 30 | nr | 0.794 | 5.77 | 4.5 | 8.0 | 5.6 | nr | nr | 5.0 | 3.4 (Y) |
| Vallo di Diano [49] | Italy | 38 | 22.42 | 0.801 | 6.18 | nr | 8.53 | 7.61 | nr | 6.55 | 1.95 | 4.93 |
| Salame nostrano [50] | Italy | 21 | 23.96 | 0.807 | 5.66 | 8.01 | 7.00 | 6.16 | nr | 6.02 | 4.18 | nr |
| Low-acid sausages [51] | Italy | 100 | nr | 0.874 | 5.57 | nr | 8.30 | 4.97 | nr | nr | nr | nr |
| Felino-type sausages [52] | Italy | 42 | nr | 0.958 | 5.4 | nr | 7.50 | nr | 5.87 | 5.04 | <1 | 3.13 (Y) |
| Dry-fermented sausages [53] | Italy | 28 | nr | 0.875 | 4.92 | nr | 7.49 | nr | 5.62 | 4.06 | nr | nr |
| Dry-fermented sausages [54] | Italy | 60 | nr | 0.906 | 5.77 | nr | 8.55 | nr | 6.59 | 2.34 | 3.16 | nr |
| Dry-fermented sausages [55] | France | 60 | nr | 0.799 | 5.32 | nr | 6.69 | 5.32 | nr | nr | nr | nr |
| Belgian-type salami [56] | Belgian | 21 | nr | 0.925 | 4.81 | 8.71 | 8.71 | 5.91 | nr | 2.22 | nd | 1.58 (Y) |
| Boulogne sausages [56] | Belgian | 28 | nr | 0.918 | 4.74 | 8.17 | 8.36 | 5.29 | nr | 1.70 | nd | 3.02 (Y) |
| Salami [57] | Norway | 28 | nr | 0.829 | 5.28 | nr | 7.58 | nr | nr | nr | nr | nr |
| Suçuk [34] | Turkey | 16 | nr | 0.813 | 5.08 | 8.57 | 8.82 | 6.49 | nr | nr | 2.03 | nr |
| Dry-fermented sausages [58] | China | 18 | nr | 0.874 | 5.43 | 7.90 | 6.76 | 6.48 | nr | nr | nr | nr |
| Harbin dry sausages [59] | China | 12 | 25.54 | 0.784 | 5.33 | nr | 6.82 | 5.84 | nr | nr | nr | nr |
| Dong fermented pork (Nanx Wudl) [60] | China | 22 | nr | 0.877 | 5.22 | nr | 8.21 | 6.43 | nr | nr | 3.21 | nr |
| Dry-fermented sausages [61] | China | 23 | nr | nr | 5.24 | 7.97 | 7.97 | 6.85 | nr | nr | 5.25 | 4.82 (Y) |
| Dry-fermented sausages [62] | China | 12 | nr | nr | 5.51 | nr | 7.53 | 6.72 | nr | nr | 5.52 | nr |
2. Volatile Chemical Composition of Dry-Cured Meat Products
3. Comparative Aroma and Flavor Profiles: Fermented vs. Non-Fermented Products
4. Screening of Savory and Toasted Odors by Olfactometric Detection


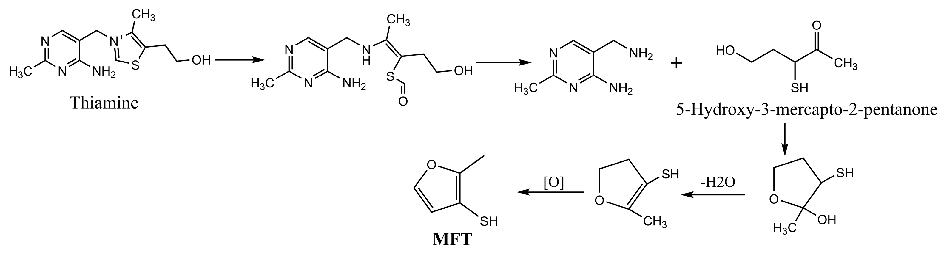
5. Mechanisms of Savory and Toasted Aroma Compound Formation
6. Discussion and Implications
7. Conclusions and Future Directions
Supplementary Materials
Author Contributions
Funding
Institutional Review Board Statement
Informed Consent Statement
Data Availability Statement
Conflicts of Interest
References
- Flores, M. Understanding the Implications of Current Health Trends on the Aroma of Wet and Dry Cured Meat Products. Meat Sci. 2018, 144, 53–61. [Google Scholar] [CrossRef] [PubMed]
- ISO 23854:2021; Fermented Meat Product Specification. ISO: Geneva, Switerzland, 2021.
- Vitale, M.; Kallas, Z.; Rivera-Toapanta, E.; Karolyi, D.; Cerjak, M.; Lebret, B.; Lenoir, H.; Pugliese, C.; Aquilani, C.; Čandek-Potokar, M.; et al. Consumers’ Expectations and Liking of Traditional and Innovative Pork Products from European Autochthonous Pig Breeds. Meat Sci. 2020, 168, 108179. [Google Scholar] [CrossRef]
- Karolyi, D.; Škrlep, M.; Marušić Radovčić, N.; Luković, Z.; Škorput, D.; Salajpal, K.; Kljak, K.; Čandek-Potokar, M. Effects of Animal Diet and Processing Methods on the Quality Traits of Dry-Cured Ham Produced from Turopolje Pigs. Animals 2024, 14, 286. [Google Scholar] [CrossRef] [PubMed]
- Belloch, C.; Neef, A.; Salafia, C.; López-Diez, J.J.; Flores, M. Microbiota and Volatilome of Dry-Cured Pork Loins Manufactured with Paprika and Reduced Concentration of Nitrite and Nitrate. Food Res. Int. 2021, 149, 110691. [Google Scholar] [CrossRef] [PubMed]
- Vilar, I.; Garcia Fontan, M.C.; Prieto, B.; Tornadijo, M.E.; Carballo, J. A Survey on the Microbiological Changes during the Manufacture of Dry-Cured Lacon, a Spanish Traditional Meat Product. J. Appl. Microbiol. 2000, 89, 1018–1026. [Google Scholar] [CrossRef]
- Hao, M.; Wang, W.; Zhang, J.; Chen, L. Flavour Characteristics of Fermented Meat Products in China: A Review. Fermentation 2023, 9, 830. [Google Scholar] [CrossRef]
- Li, P.; Bao, Z.; Wang, Y.; Su, X.; Zhou, H.; Xu, B. Role of Microbiota and Its Ecological Succession on Flavor Formation in Traditional Dry-Cured Ham: A Review. Crit. Rev. Food Sci. Nutr. 2023, 65, 992–1008. [Google Scholar] [CrossRef]
- Jia, D.; Zhang, J.; Jin, S.; Luo, S.; Ma, Y.; Quek, S.-Y.; Yan, D.; Dong, X. Changes of Physicochemical and Volatile Flavor Compounds of Dry-Cured Diqing Tibetan Pig Hams during Fermentation. Food Res. Int. 2024, 197, 115136. [Google Scholar] [CrossRef]
- Chen, Y.P.; Li, W.; Yu, Y.; Wang, M.; Blank, I.; Zhang, Y.; Liu, Y. Elucidation of the Impact of Steaming on the Key Odorants of Jinhua Dry-Cured Ham Using the Sensomics Approach. J. Agric. Food Chem. 2023, 71, 4932–4942. [Google Scholar] [CrossRef]
- Lebret, B.; Čandek-Potokar, M. Review: Pork Quality Attributes from Farm to Fork. Part II. Processed Pork Products. Animal 2022, 16, 100383. [Google Scholar] [CrossRef]
- Toledano, A.M.; Jordano, R.; Medina, L.M.; López-Mendoza, M.C. Behavior and Effect of Combined Starter Cultures on Microbiological and Physicochemical Characteristics of Dry-Cured Ham. J. Food Sci. Technol. 2019, 56, 122–131. [Google Scholar] [CrossRef] [PubMed]
- Pérez-Juan, M.; Flores, M.; Toldrá, F. Generation of Volatile Flavour Compounds as Affected by the Chemical Composition of Different Dry-Cured Ham Sections. Eur. Food Res. Technol. 2006, 222, 658–666. [Google Scholar] [CrossRef]
- Hernández, P.; Navarro, J.L.; Toldrá, F. Lipolytic and Oxidative Changes in Two Spanish Pork Loin Products: Dry-Cured Loin and Pickled-Cured Loin. Meat Sci. 1999, 51, 123–128. [Google Scholar] [CrossRef] [PubMed]
- Ramírez, M.R.; Cava, R. Effect of Iberian × Duroc Genotype on Dry-Cured Loin Quality. Meat Sci. 2007, 76, 333–341. [Google Scholar] [CrossRef] [PubMed]
- Soto, E.; Hoz, L.; Ordóñez, J.A.; Hierro, E.; Herranz, B.; López-Bote, C.; Cambero, M.I. Impact of Feeding and Rearing Systems of Iberian Pigs on Volatile Profile and Sensory Characteristics of Dry-Cured Loin. Meat Sci. 2008, 79, 666–676. [Google Scholar] [CrossRef]
- Martin, D.; Antequera, T.; Muriel, E.; Perez-Palacios, T.; Ruiz, J. Effect of Dietary Conjugated Linoleic Acid in Combination with Monounsaturated Fatty Acids on the Meat Composition and Quality Traits of Dry-Cured Loin. Meat Sci. 2008, 80, 1309–1319. [Google Scholar] [CrossRef]
- Armenteros, M.; Aristoy, M.C.; Barat, J.M.; Toldrá, F. Biochemical Changes in Dry-Cured Loins Salted with Partial Replacements of NaCl by KCl. Food Chem. 2009, 117, 627–633. [Google Scholar] [CrossRef]
- Soto, E.; De La Hoz, L.; Ordóñez, J.A.; Herranz, B.; Hierro, E.; López-Bote, C.J.; Cambero, M.I. The Feeding and Rearing Systems of Iberian Pigs Affect the Lipid Composition and Texture Profile of Dry-Cured Loin. J. Anim. Feed Sci. 2009, 18, 78–89. [Google Scholar] [CrossRef]
- Aliño, M.; Grau, R.; Toldrá, F.; Blesa, E.; Pagán, M.J.; Barat, J.M. Physicochemical Properties and Microbiology of Dry-Cured Loins Obtained by Partial Sodium Replacement with Potassium, Calcium and Magnesium. Meat Sci. 2010, 85, 580–588. [Google Scholar] [CrossRef]
- Salazar, E.; Cayuela, J.M.; Abellán, A.; Poto, A.; Peinado, B.; Tejada, L. A Comparison of the Quality of Dry-Cured Loins Obtained from the Native Pig Breed (Chato Murciano) and from a Modern Crossbreed Pig. Anim. Prod. Sci. 2013, 53, 352–359. [Google Scholar] [CrossRef]
- Pateiro, M.; Franco, D.; Carril, J.A.; Lorenzo, J.M. Changes on Physico-Chemical Properties, Lipid Oxidation and Volatile Compounds during the Manufacture of Celta Dry-Cured Loin. J. Food Sci. Technol. 2015, 52, 4808–4818. [Google Scholar] [CrossRef] [PubMed]
- Salazar, E.; Abellán, A.; Cayuela, J.M.; Poto, Á.; Tejada, L. Dry-Cured Loin from the Native Pig Breed Chato Murciano with High Unsaturated Fatty Acid Content Undergoes Intense Lipolysis of Neutral and Polar Lipids during Processing. Eur. J. Lipid Sci. Technol. 2016, 118, 744–752. [Google Scholar] [CrossRef]
- Cardoso-Toset, F.; Luque, I.; Morales-Partera, A.; Galán-Relaño, A.; Barrero-Domínguez, B.; Hernández, M.; Gómez-Laguna, J. Survival of Streptococcus Suis, Streptococcus Dysgalactiae and Trueperella Pyogenes in Dry-Cured Iberian Pork Shoulders and Loins. Food Microbiol. 2017, 61, 66–71. [Google Scholar] [CrossRef]
- Lorido, L.; Estévez, M.; Ventanas, S. Fast and Dynamic Descriptive Techniques (Flash Profile, Time-Intensity and Temporal Dominance of Sensations) for Sensory Characterization of Dry-Cured Loins. Meat Sci. 2018, 145, 154–162. [Google Scholar] [CrossRef] [PubMed]
- Higuero, N.; Moreno, I.; Lavado, G.; Vidal-Aragón, M.C.; Cava, R. Reduction of Nitrate and Nitrite in Iberian Dry Cured Loins and Its Effects during Drying Process. Meat Sci. 2020, 163, 108062. [Google Scholar] [CrossRef]
- Seo, J.-K.; Ko, J.; Park, J.; Eom, J.-U.; Yang, H.-S. Effect of Pig Breed and Processing Stage on the Physicochemical Properties of Dry-Cured Loin. Food Sci. Anim. Resour. 2021, 41, 402–415. [Google Scholar] [CrossRef] [PubMed]
- Stadnik, J.; Dolatowski, Z.J. Changes in Selected Parameters Related to Proteolysis during Ageing of Dry-Cured Pork Loins Inoculated with Probiotics. Food Chem. 2013, 139, 67–71. [Google Scholar] [CrossRef] [PubMed]
- Stadnik, J.; Stasiak, D.M. Effect of Acid Whey on Physicochemical Characteristics of Dry-Cured Organic Pork Loins without Nitrite. Int. J. Food Sci. Technol. 2016, 51, 970–977. [Google Scholar] [CrossRef]
- Smagowska, E.; Derewiaka, D.; Jaworska, D.; Nowicka, K.; Przybylski, W.; Wołosiak, R. Quality of Traditional Dry-Cured Loin from Rustic and Commercial Pig Breeds. Zesz. Probl. Postępów Nauk Rol. 2019, 596, 55–66. [Google Scholar] [CrossRef]
- Zhang, Y.W.; Zhang, L.; Hui, T.; Guo, X.Y.; Peng, Z.Q. Influence of Partial Replacement of NaCl by KCl, l-Histidine and l-Lysine on the Lipase Activity and Lipid Oxidation in Dry-Cured Loin Process. LWT Food Sci. Technol. 2015, 64, 966–973. [Google Scholar] [CrossRef]
- Zhang, J.; Zhao, K.; Li, H.; Li, S.; Xu, W.; Chen, L.; Xie, J.; Tang, H. Physicochemical Property, Volatile Flavor Quality, and Microbial Community Composition of Jinhua Fatty Ham and Lean Ham: A Comparative Study. Front. Microbiol. 2023, 14, 1124770. [Google Scholar] [CrossRef] [PubMed]
- Seong, P.N.; Park, K.M.; Kang, S.M.; Kang, G.H.; Cho, S.H.; Park, B.Y.; Ba, H.V. Effect of Particular Breed on the Chemical Composition, Texture, Color, and Sensorial Characteristics of Dry-Cured Ham. Asian-Australas. J. Anim. Sci. 2014, 27, 1164–1173. [Google Scholar] [CrossRef] [PubMed]
- Kargozari, M.; Moini, S.; Akhondzadeh Basti, A.; Emam-Djomeh, Z.; Gandomi, H.; Revilla Martin, I.; Ghasemlou, M.; Carbonell-Barrachina, Á.A. Effect of Autochthonous Starter Cultures Isolated from Siahmazgi Cheese on Physicochemical, Microbiological and Volatile Compound Profiles and Sensorial Attributes of Sucuk, a Turkish Dry-Fermented Sausage. Meat Sci. 2014, 97, 104–114. [Google Scholar] [CrossRef]
- González-Fernández, C.; Santos, E.M.; Rovira, J.; Jaime, I. The Effect of Sugar Concentration and Starter Culture on Instrumental and Sensory Textural Properties of Chorizo-Spanish Dry-Cured Sausage. Meat Sci. 2006, 74, 467–475. [Google Scholar] [CrossRef]
- Van Reckem, E.; Geeraerts, W.; Charmpi, C.; Van der Veken, D.; De Vuyst, L.; Leroy, F. Exploring the Link Between the Geographical Origin of European Fermented Foods and the Diversity of Their Bacterial Communities: The Case of Fermented Meats. Front. Microbiol. 2019, 10, 1–11. [Google Scholar] [CrossRef]
- Encinas, J.P.; López-Díaz, T.M.; García-López, M.L.; Otero, A.; Moreno, B. Yeast Populations on Spanish Fermented Sausages. Meat Sci. 2000, 54, 203–208. [Google Scholar] [CrossRef] [PubMed]
- Leroy, F.; Charmpi, C.; De Vuyst, L. Meat Fermentation at a Crossroads: Where the Age-Old Interplay of Human, Animal, and Microbial Diversity and Contemporary Markets Meet. Fems Microbiol. Rev. 2023, 47, fuad016. [Google Scholar] [CrossRef]
- Roig-Sagués, A.X.; Hernández-Herrero, M.M.; López-Sabater, E.I.; Rodríguez-Jerez, J.J.; Mora-Ventura, M.T. Microbiological Events during the Elaboration of “Fuet”, a Spanish Ripened sausageRelationships between the Development of Histidine- and Tyrosine-Decarboxylase-Containing Bacteria and pH and Water Activity. Eur. Food Res. Technol. 1999, 209, 108–112. [Google Scholar] [CrossRef]
- Casquete, R.; Benito, M.J.; Martín, A.; Ruiz-Moyano, S.; Hernández, A.; Córdoba, M.G. Effect of Autochthonous Starter Cultures in the Production of “Salchichón”, a Traditional Iberian Dry-Fermented Sausage, with Different Ripening Processes. LWT Food Sci. Technol. 2011, 44, 1562–1571. [Google Scholar] [CrossRef]
- Ruiz-Moyano, S.; Martín, A.; Benito, M.J.; Hernández, A.; Casquete, R.; de Guia Córdoba, M. Application of Lactobacillus Fermentum HL57 and Pediococcus Acidilactici SP979 as Potential Probiotics in the Manufacture of Traditional Iberian Dry-Fermented Sausages. Food Microbiol. 2011, 28, 839–847. [Google Scholar] [CrossRef]
- Lorenzo, J.M.; González-Rodríguez, R.M.; Sánchez, M.; Amado, I.R.; Franco, D. Effects of Natural (Grape Seed and Chestnut Extract) and Synthetic Antioxidants (Buthylatedhydroxytoluene, BHT) on the Physical, Chemical, Microbiological and Sensory Characteristics of Dry Cured Sausage “Chorizo”. Food Res. Int. 2013, 54, 611–620. [Google Scholar] [CrossRef]
- Fonseca, S.; Cachaldora, A.; Gómez, M.; Franco, I.; Carballo, J. Effect of Different Autochthonous Starter Cultures on the Volatile Compounds Profile and Sensory Properties of Galician Chorizo, a Traditional Spanish Dry Fermented Sausage. Food Control 2013, 33, 6–14. [Google Scholar] [CrossRef]
- Perea-Sanz, L.; Montero, R.; Belloch, C.; Flores, M. Microbial Changes and Aroma Profile of Nitrate Reduced Dry Sausages during Vacuum Storage. Meat Sci. 2019, 147, 100–107. [Google Scholar] [CrossRef]
- Dias, I.; Laranjo, M.; Potes, M.E.; Agulheiro-Santos, A.C.; Ricardo-Rodrigues, S.; Fialho, A.R.; Véstia, J.; Fraqueza, M.J.; Oliveira, M.; Elias, M. Autochthonous Starter Cultures Are Able to Reduce Biogenic Amines in a Traditional Portuguese Smoked Fermented Sausage. Microorganisms 2020, 8, 686. [Google Scholar] [CrossRef]
- Belleggia, L.; Ferrocino, I.; Reale, A.; Corvaglia, M.R.; Milanović, V.; Cesaro, C.; Boscaino, F.; Di Renzo, T.; Garofalo, C.; Cardinali, F.; et al. Unfolding Microbiota and Volatile Organic Compounds of Portuguese Painho de Porco Preto Fermented Sausages. Food Res. Int. 2022, 155, 111063. [Google Scholar] [CrossRef] [PubMed]
- Moretti, V.M.; Madonia, G.; Diaferia, C.; Mentasti, T.; Paleari, M.A.; Panseri, S.; Pirone, G.; Gandini, G. Chemical and Microbiological Parameters and Sensory Attributes of a Typical Sicilian Salami Ripened in Different Conditions. Meat Sci. 2004, 66, 845–854. [Google Scholar] [CrossRef]
- Patrignani, F.; Iucci, L.; Vallicelli, M.; Guerzoni, M.E.; Gardini, F.; Lanciotti, R. Role of Surface-Inoculated Debaryomyces Hansenii and Yarrowia Lipolytica Strains in Dried Fermented Sausage Manufacture. Part 1: Evaluation of Their Effects on Microbial Evolution, Lipolytic and Proteolytic Patterns. Meat Sci. 2007, 75, 676–686. [Google Scholar] [CrossRef] [PubMed]
- Casaburi, A.; Aristoy, M.C.; Cavella, S.; Di Monaco, R.; Ercolini, D.; Toldrá, F.; Villani, F. Biochemical and Sensory Characteristics of Traditional Fermented Sausages of Vallo Di Diano (Southern Italy) as Affected by the Use of Starter Cultures. Meat Sci. 2007, 76, 295–307. [Google Scholar] [CrossRef] [PubMed]
- Cenci-Goga, B.T.; Ranucci, D.; Miraglia, D.; Cioffi, A. Use of Starter Cultures of Dairy Origin in the Production of Salame Nostrano, an Italian Dry-Cured Sausage. Meat Sci. 2008, 78, 381–390. [Google Scholar] [CrossRef]
- Spaziani, M.; Torre, M.D.; Stecchini, M.L. Changes of Physicochemical, Microbiological, and Textural Properties during Ripening of Italian Low-Acid Sausages. Proteolysis, Sensory and Volatile Profiles. Meat Sci. 2009, 81, 77–85. [Google Scholar] [CrossRef]
- Tabanelli, G.; Coloretti, F.; Chiavari, C.; Grazia, L.; Lanciotti, R.; Gardini, F. Effects of Starter Cultures and Fermentation Climate on the Properties of Two Types of Typical Italian Dry Fermented Sausages Produced under Industrial Conditions. Food Control 2012, 26, 416–426. [Google Scholar] [CrossRef]
- Tabanelli, G.; Montanari, C.; Grazia, L.; Lanciotti, R.; Gardini, F. Effects of Aw at Packaging Time and Atmosphere Composition on Aroma Profile, Biogenic Amine Content and Microbiological Features of Dry Fermented Sausages. Meat Sci. 2013, 94, 177–186. [Google Scholar] [CrossRef] [PubMed]
- Coloretti, F.; Tabanelli, G.; Chiavari, C.; Lanciotti, R.; Grazia, L.; Gardini, F.; Montanari, C. Effect of Wine Addition on Microbiological Characteristics, Volatile Molecule Profiles and Biogenic Amine Contents in Fermented Sausages. Meat Sci. 2014, 96, 1395–1402. [Google Scholar] [CrossRef]
- Christieans, S.; Picgirard, L.; Parafita, E.; Lebert, A.; Gregori, T. Impact of Reducing Nitrate/Nitrite Levels on the Behavior of Salmonella Typhimurium and Listeria Monocytogenes in French Dry Fermented Sausages. Meat Sci. 2018, 137, 160–167. [Google Scholar] [CrossRef]
- Janssens, M.; Myter, N.; De Vuyst, L.; Leroy, F. Species Diversity and Metabolic Impact of the Microbiota Are Low in Spontaneously Acidified Belgian Sausages with an Added Starter Culture of Staphylococcus Carnosus. Food Microbiol. 2012, 29, 167–177. [Google Scholar] [CrossRef]
- Hagen, B.F.; Berdagué, J.L.; Holck, A.L.; Næs, H.; Blom, H. Bacterial Proteinase Reduces Maturation Time of Dry Fermented Sausages. J. Food Sci. 1996, 61, 1024–1029. [Google Scholar] [CrossRef]
- Xiao, Y.; Liu, Y.; Chen, C.; Xie, T.; Li, P. Effect of Lactobacillus Plantarum and Staphylococcus Xylosus on Flavour Development and Bacterial Communities in Chinese Dry Fermented Sausages. Food Res. Int. 2020, 135, 109247. [Google Scholar] [CrossRef] [PubMed]
- Hu, Y.; Wang, H.; Kong, B.; Wang, Y.; Chen, Q. The Succession and Correlation of the Bacterial Community and Flavour Characteristics of Harbin Dry Sausages during Fermentation. LWT 2021, 138, 110689. [Google Scholar] [CrossRef]
- Chen, X.; Mi, R.; Qi, B.; Xiong, S.; Li, J.; Qu, C.; Qiao, X.; Chen, W.; Wang, S. Effect of Proteolytic Starter Culture Isolated from Chinese Dong Fermented Pork (Nanx Wudl) on Microbiological, Biochemical and Organoleptic Attributes in Dry Fermented Sausages. Food Sci. Hum. Wellness 2021, 10, 13–22. [Google Scholar] [CrossRef]
- Liu, Y.; Wan, Z.; Yohannes, K.W.; Yu, Q.; Yang, Z.; Li, H.; Liu, J.; Wang, J. Functional Characteristics of Lactobacillus and Yeast Single Starter Cultures in the Ripening Process of Dry Fermented Sausage. Front. Microbiol. 2021, 11, 611260. [Google Scholar] [CrossRef]
- Wang, J.; Hou, J.; Zhang, X.; Hu, J.; Yu, Z.; Zhu, Y. Improving the Flavor of Fermented Sausage by Increasing Its Bacterial Quality via Inoculation with Lactobacillus Plantarum MSZ2 and Staphylococcus Xylosus YCC3. Foods 2022, 11, 736. [Google Scholar] [CrossRef] [PubMed]
- Bleicher, J.; Ebner, E.E.; Bak, K.H. Formation and Analysis of Volatile and Odor Compounds in Meat—A Review. Molecules 2022, 27, 6703. [Google Scholar] [CrossRef] [PubMed]
- Li, L.; Belloch, C.; Flores, M. Generation of Meaty Flavour Compounds from Maillard Origin under Mild Conditions Simulating the Dry Curing Process. In Proceedings of the 16th Weurman Flavour Research Symposium, Dijon, France, 4–6 May 2021. [Google Scholar]
- Flores, M.; Corral, S. Olfactometry Detection of Aroma Compounds. In Advances in Food Diagnostics; Toldrá, F., Nollet, L.M.L., Eds.; John Wiley & Sons, Ltd.: Hoboken, NJ, USA, 2017; pp. 379–400. [Google Scholar]
- Song, H.; Cadwallader, K.R.; Singh, T.K. Odour-Active Compounds of Jinhua Ham. Flavour Fragr. J. 2008, 23, 1–6. [Google Scholar] [CrossRef]
- Škrlep, M.; Čandek-Potokar, M.; Lukač, N.B.; Povše, M.P.; Pugliese, C.; Labussière, E.; Flores, M. Comparison of Entire Male and Immunocastrated Pigs for Dry-Cured Ham Production under Two Salting Regimes. Meat Sci. 2016, 111, 27–37. [Google Scholar] [CrossRef]
- Muriel, E.; Antequera, T.; Petrón, M.J.; Andrés, A.I.; Ruiz, J. Volatile Compounds in Iberian Dry-Cured Loin. Meat Sci. 2004, 68, 391–400. [Google Scholar] [CrossRef]
- Muriel, E.; Antequera, T.; Petrón, M.J.; Martin, D.; Ruiz, J. Volatile Compounds on the Surface and within Iberian Dry-Cured Loin. Eur. Food Res. Technol. 2004, 219, 445–451. [Google Scholar] [CrossRef]
- Corral, S.; Salvador, A.; Belloch, C.; Flores, M. Improvement the Aroma of Reduced Fat and Salt Fermented Sausages by Debaromyces Hansenii Inoculation. Food Control 2015, 47, 526–535. [Google Scholar] [CrossRef]
- Corral, S.; Salvador, A.; Flores, M. Effect of the Use of Entire Male Fat in the Production of Reduced Salt Fermented Sausages. Meat Sci. 2016, 116, 140–150. [Google Scholar] [CrossRef]
- González-Mohino, A.; Ventanas, S.; Estévez, M.; Olegario, L.S. Sensory Characterization of Iberian Dry-Cured Loins by Using Check-All-That-Apply (CATA) Analysis and Multiple-Intake Temporal Dominance of Sensations (TDS). Foods 2021, 10, 1983. [Google Scholar] [CrossRef]
- Górska, E.; Nowicka, K.; Jaworska, D.; Przybylski, W.; Tambor, K. Relationship between Sensory Attributes and Volatile Compounds of Polish Dry-Cured Loin. Asian-Australas. J. Anim. Sci. 2017, 30, 720–727. [Google Scholar] [CrossRef]
- Berdagué, J.L.; Monteil, P.; Montel, M.C.; Talon, R. Effects of Starter Cultures on the Formation of Flavour Compounds in Dry Sausage. Meat Sci. 1993, 35, 275–287. [Google Scholar] [CrossRef] [PubMed]
- Armero, E.; Flores, M.; Toldrá, F.; Barbosa, J.-A.; Olivet, J.; Pla, M.; Baselga, M. Effects of Pig Sire Type and Sex on Carcass Traits, Meat Quality and Sensory Quality of Dry-Cured Ham. J. Sci. Food Agric. 1999, 79, 1147–1154. [Google Scholar] [CrossRef]
- Buscailhon, S.; Touraille, C.; Girard, J.P.; Monin, G. Relationships between Muscle Tissue Characteristics and Sensory Qualities of Dry-Cured Ham. J. Muscle Foods 1995, 6, 9–22. [Google Scholar] [CrossRef]
- Buscailhon, S.; Berdagué, J.L.; Bousset, J.; Cornet, M.; Gandemer, G.; Touraille, C.; Monin, G. Relations between Compositional Traits and Sensory Qualities of French Dry-Cured Ham. Meat Sci. 1994, 37, 229–243. [Google Scholar] [CrossRef] [PubMed]
- Carrapiso, A.I.; Jurado, Á.; Timón, M.L.; García, C. Odor-Active Compounds of Iberian Hams with Different Aroma Characteristics. J. Agric. Food Chem. 2002, 50, 6453–6458. [Google Scholar] [CrossRef]
- Cilla, I.; Martínez, L.; Beltrán, J.A.; Roncalés, P. Factors Affecting Acceptability of Dry-Cured Ham throughout Extended Maturation under “Bodega” Conditions. Meat Sci. 2005, 69, 789–795. [Google Scholar] [CrossRef]
- Corino, C.; Magni, S.; Pastorelli, G.; Rossi, R.; Mourot, J. Effect of Conjugated Linoleic Acid on Meat Quality, Lipid Metabolism, and Sensory Characteristics of Dry-Cured Hams from Heavy Pigs1. J. Anim. Sci. 2003, 81, 2219–2229. [Google Scholar] [CrossRef]
- García-González, D.L.; Tena, N.; Aparicio-Ruiz, R.; Morales, M.T. Relationship between Sensory Attributes and Volatile Compounds Qualifying Dry-Cured Hams. Meat Sci. 2008, 80, 315–325. [Google Scholar] [CrossRef]
- Martín, A.; Córdoba, J.J.; Aranda, E.; Córdoba, M.G.; Asensio, M.A. Contribution of a Selected Fungal Population to the Volatile Compounds on Dry-Cured Ham. Int. J. Food Microbiol. 2006, 110, 8–18. [Google Scholar] [CrossRef]
- Pagliarini, E.; Laureati, M.; Dinnella, C.; Monteleone, E.; Proserpio, C.; Piasentier, E. Influence of Pig Genetic Type on Sensory Properties and Consumer Acceptance of Parma, San Daniele and Toscano Dry-Cured Hams. J. Sci. Food Agric. 2016, 96, 798–806. [Google Scholar] [CrossRef]
- Pham, A.J.; Schilling, M.W.; Mikel, W.B.; Williams, J.B.; Martin, J.M.; Coggins, P.C. Relationships between Sensory Descriptors, Consumer Acceptability and Volatile Flavor Compounds of American Dry-Cured Ham. Meat Sci. 2008, 80, 728–737. [Google Scholar] [CrossRef]
- Ruiz, J.; Ventanas, J.; Cava, R.; Timón, M.L.; García, C. Sensory Characteristics of Iberian Ham: Influence of Processing Time and Slice Location. Food Res. Int. 1998, 31, 53–58. [Google Scholar] [CrossRef]
- Sánchez-Molinero, F.; Arnau, J. Effect of the Inoculation of a Starter Culture and Vacuum Packaging during the Resting Stage on Sensory Traits of Dry-Cured Ham. Meat Sci. 2008, 80, 1074–1080. [Google Scholar] [CrossRef]
- Schivazappa, C.; Virgili, R. Impact of Salt Levels on the Sensory Profile and Consumer Acceptance of Italian Dry-Cured Ham. J. Sci. Food Agric. 2020, 100, 3370–3377. [Google Scholar] [CrossRef] [PubMed]
- Segura-Borrego, M.P.; Ríos-Reina, R.; Galán-Soldevilla, H.; Forero, F.J.; Venegas, M.; Ruiz Pérez-Cacho, P.; Morales, M.L.; Callejón, R.M. Influence of the Ripening Chamber’s Geographical Location on Dry-Cured Iberian Ham’s Key Odorants. Food Res. Int. 2022, 153, 110977. [Google Scholar] [CrossRef]
- Simoncini, N.; Pinna, A.; Toscani, T.; Virgili, R. Effect of Added Autochthonous Yeasts on the Volatile Compounds of Dry-Cured Hams. Int. J. Food Microbiol. 2015, 212, 25–33. [Google Scholar] [CrossRef]
- Gamero-Negrón, R.; García, C.; Reina, R.; Sánchez del Pulgar, J. Immune-Spaying as an Alternative to Surgical Spaying in Iberian x Duroc Females: Effect on the Sensory Traits and Volatile Organic Compound Profile of Dry-Cured Shoulders and Dry-Cured Loins. Meat Sci. 2018, 143, 237–241. [Google Scholar] [CrossRef] [PubMed]
- Jiménez, A.; González-Mohino, A.; Rufo, M.; Paniagua, J.; Antequera, T.; Pérez-Palacios, T. Dry-Cured Loin Characterization by Ultrasound Physicochemical and Sensory Parameters. Eur. Food Res. Technol. 2022, 248, 1–11. [Google Scholar] [CrossRef]
- Lorido, L.; Ventanas, S.; Akcan, T.; Estévez, M. Effect of Protein Oxidation on the Impaired Quality of Dry-Cured Loins Produced from Frozen Pork Meat. Food Chem. 2016, 196, 1310–1314. [Google Scholar] [CrossRef]
- Lušnic Polak, M.; Polak, T.; Dolhar, U.; Demšar, L. Effect of Iodized Salt on the Physicochemical Parameters and the Sensory Properties of Dry-Cured Pork Loin. MESO Prvi Hrvat. Časopis O Mesu 2018, 20, 300–306. [Google Scholar] [CrossRef]
- Muriel, E.; Ruiz, J.; Martin, D.; Petron, M.J.; Antequera, T. Physico-Chemical and Sensory Characteristics of Dry-Cured Loin from Different Iberian Pig Lines. Food Sci. Technol. Int. 2004, 10, 117–123. [Google Scholar] [CrossRef]
- Palavecino Prpich, N.Z.; Castro, M.P.; Cayré, M.E.; Garro, O.A.; Vignolo, G.M. Indigenous Starter Cultures to Improve Quality of Artisanal Dry Fermented Sausages from Chaco (Argentina). Int. J. Food Sci. 2015, 2015, e931970. [Google Scholar] [CrossRef]
- Pérez-Cacho, M.P.R.; Galán-Soldevilla, H.; Crespo, F.L.; Recio, G.M. Determination of the Sensory Attributes of a Spanish Dry-Cured Sausage. Meat Sci. 2005, 71, 620–633. [Google Scholar] [CrossRef] [PubMed]
- Rason, J.; Laguet, A.; Berge, P.; Dufour, E.; Lebecque, A. Investigation of the Physicochemical and Sensory Homogeneity of Traditional French Dry Sausages. Meat Sci. 2007, 75, 359–370. [Google Scholar] [CrossRef]
- Stahnke, L.H. Dried Sausages Fermented with Staphylococcus Xylosus at Different Temperatures and with Different Ingredient Levels—Part III. Sensory Evaluation. Meat Sci. 1995, 41, 211–223. [Google Scholar] [CrossRef] [PubMed]
- Stahnke, L.H.; Holck, A.; Jensen, A.; Nilsen, A.; Zanardi, E. Maturity Acceleration of Italian Dried Sausage by Staphylococcus Carnosus—Relationship Between Maturity and Flavor Compounds. J. Food Sci. 2002, 67, 1914–1921. [Google Scholar] [CrossRef]
- Zinina, O.; Merenkova, S.; Soloveva, A.; Savostina, T.; Sayfulmulyukov, E.; Lykasova, I.; Mizhevikina, A. The Effect of Starter Cultures on the Qualitative Indicators of Dry Fermented Sausages Made from Poultry Meat. Agron. Res. 2018, 16, 2265–2281. [Google Scholar] [CrossRef]
- Baldovini, N.; Chaintreau, A. Identification of Key Odorants in Complex Mixtures Occurring in Nature. Nat. Prod. Rep. 2020, 37, 1589–1626. [Google Scholar] [CrossRef]
- Marsili, R. Application of Sensory- Directed Flavor- Analysis Techniques. In Sensory-Directed Flavor Analysis; Marsili, R., Ed.; CRC Press: Boca Raton, FL, USA, 2006; pp. 55–80. ISBN 978-1-57444-568-8. [Google Scholar]
- Narváez-Rivas, M.; Gallardo, E.; León-Camacho, M. Analysis of Volatile Compounds from Iberian Hams: A Review. Grasas Y Aceites 2012, 63, 432–454. [Google Scholar] [CrossRef]
- Li, L.; Perea-Sanz, L.; Salvador, A.; Belloch, C.; Flores, M. Understanding the Impact of Nitrogen and Sulfur Precursors on the Aroma of Dry Fermented Sausages. Meat Sci. 2022, 192, 108896. [Google Scholar] [CrossRef]
- Yan, Y.; Chen, S.; Nie, Y.; Xu, Y. Quantitative Analysis of Pyrazines and Their Perceptual Interactions in Soy Sauce Aroma Type Baijiu. Foods 2021, 10, 441. [Google Scholar] [CrossRef] [PubMed]
- Chen, Y.P.; Wang, M.; Fang, X.; Liya, A.; Zhang, H.; Blank, I.; Zhu, H.; Liu, Y. Odorants Identified in Chinese Dry-Cured Ham Contribute to Salty Taste Enhancement. J. Agric. Food Chem. 2024, 72, 613–624. [Google Scholar] [CrossRef]
- Carrapiso, A.I.; Ventanas, J.; García, C. Characterization of the Most Odor-Active Compounds of Iberian Ham Headspace. J. Agric. Food Chem. 2002, 50, 1996–2000. [Google Scholar] [CrossRef] [PubMed]
- Carrapiso, A.I.; García, C. Iberian Ham Headspace: Odorants of Intermuscular Fat and Differences with Lean. J. Sci. Food Agric. 2004, 84, 2047–2051. [Google Scholar] [CrossRef]
- Carrapiso, A.I.; Martín, L.; Jurado, Á.; García, C. Characterisation of the Most Odour-Active Compounds of Bone Tainted Dry-Cured Iberian Ham. Meat Sci. 2010, 85, 54–58. [Google Scholar] [CrossRef] [PubMed]
- Del Pulgar, J.S.; García, C.; Reina, R.; Carrapiso, A.I. Study of the Volatile Compounds and Odor-Active Compounds of Dry-Cured Iberian Ham Extracted by SPME. Food Sci. Technol. Int. 2013, 19, 225–233. [Google Scholar] [CrossRef]
- Flores, M.; Grimm, C.C.; Toldrá, F.; Spanier, A.M. Correlations of Sensory and Volatile Compounds of Spanish “Serrano” Dry-Cured Ham as a Function of Two Processing Times. J. Agric. Food Chem. 1997, 45, 2178–2186. [Google Scholar] [CrossRef]
- Liu, X.S.; Liu, J.B.; Yang, Z.M.; Song, H.L.; Liu, Y.; Zou, T.T. Aroma-Active Compounds in Jinhua Ham Produced with Different Fermentation Periods. Molecules 2014, 19, 19097–19113. [Google Scholar] [CrossRef]
- Li, L.; Perea-Sanz, L.; López-Díez, J.J.; Salvador, A.; Belloch, C.; Flores, M. Aroma Enhancement in Dry Cured Loins by the Addition of Nitrogen and Sulfur Precursors. Meat Sci. 2022, 184, 108698. [Google Scholar] [CrossRef]
- Sekhon, R.K.; Schilling, M.W.; Phillips, T.W.; Aikins, R.M.J.; Hasan, M.M.; Nannapaneni, R.; Mikel, W.B. Effects of Carbon Dioxide and Ozone Treatments on the Volatile Composition and Sensory Quality of Dry-cured Ham. J. Food Sci. 2010, 75, C452–C458. [Google Scholar] [CrossRef]
- Song, H.; Cadwallader, K.R. Aroma Components of American Country Ham. J. Food Sci. 2008, 73, C29–C35. [Google Scholar] [CrossRef] [PubMed]
- Théron, L.; Tournayre, P.; Kondjoyan, N.; Abouelkaram, S.; Santé-Lhoutellier, V.; Berdagué, J.L. Analysis of the Volatile Profile and Identification of Odour-Active Compounds in Bayonne Ham. Meat Sci. 2010, 85, 453–460. [Google Scholar] [CrossRef]
- Aquilani, C.; Sirtori, F.; Flores, M.; Bozzi, R.; Lebret, B.; Pugliese, C. Effect of Natural Antioxidants from Grape Seed and Chestnut in Combination with Hydroxytyrosol, as Sodium Nitrite Substitutes in Cinta Senese Dry-Fermented Sausages. Meat Sci. 2018, 145, 389–398. [Google Scholar] [CrossRef] [PubMed]
- Corral, S.; Salvador, A.; Flores, M. Salt Reduction in Slow Fermented Sausages Affects the Generation of Aroma Active Compounds. Meat Sci. 2013, 93, 776–785. [Google Scholar] [CrossRef]
- Corral, S.; Salvador, A.; Flores, M. Elucidation of Key Aroma Compounds in Traditional Dry Fermented Sausages Using Different Extraction Techniques. J. Sci. Food Agric. 2014, 95, 1350–1361. [Google Scholar] [CrossRef]
- Corral, S.; Leitner, E.; Siegmund, B.; Flores, M. Determination of Sulfur and Nitrogen Compounds during the Processing of Dry Fermented Sausages and Their Relation to Amino Acid Generation. Food Chem. 2016, 190, 657–664. [Google Scholar] [CrossRef]
- Corral, S.; Belloch, C.; López-Díez, J.J.; Flores, M. Lipolysis and Aroma Generation as Mechanisms Involved in Masking Boar Taint in Sodium Reduced Fermented Sausages Inoculated with Debaryomyces Hansenii Yeast. J. Sci. Food Agric. 2018, 98, 2121–2130. [Google Scholar] [CrossRef] [PubMed]
- Gianelli, M.P.; Olivares, A.; Flores, M. Key Aroma Components of a Dry-Cured Sausage with High Fat Content (Sobrassada). Food Sci. Technol. Int. 2011, 17, 63–71. [Google Scholar] [CrossRef]
- Marco, A.; Navarro, J.L.; Flores, M. Quantitation of Selected Odor-Active Constituents in Dry Fermented Sausages Prepared with Different Curing Salts. J. Agric. Food Chem. 2007, 55, 3058–3065. [Google Scholar] [CrossRef]
- Meynier, A.; Novelli, E.; Chizzolini, R.; Zanardi, E.; Gandemer, G. Volatile Compounds of Commercial Milano Salami. Meat Sci. 1999, 51, 175–183. [Google Scholar] [CrossRef]
- Olivares, A.; Dryahina, K.; Navarro, J.L.; Flores, M.; Smith, D.; Španěl, P. Selected Ion Flow Tube-Mass Spectrometry for Absolute Quantification of Aroma Compounds in the Headspace of Dry Fermented Sausages. Anal. Chem. 2010, 82, 5819–5829. [Google Scholar] [CrossRef]
- Olivares, A.; Navarro, J.L.; Flores, M. Effect of Fat Content on Aroma Generation during Processing of Dry Fermented Sausages. Meat Sci. 2011, 87, 264–273. [Google Scholar] [CrossRef] [PubMed]
- Olivares, A.; Navarro, J.L.; Flores, M. Characterization of Volatile Compounds Responsible for the Aroma in Naturally Fermented Sausages by Gas Chromatography-Olfactometry. Food Sci. Technol. Int. 2015, 21, 110–123. [Google Scholar] [CrossRef]
- Perea-Sanz, L.; Montero, R.; Belloch, C.; Flores, M. Nitrate Reduction in the Fermentation Process of Salt Reduced Dry Sausages: Impact on Microbial and Physicochemical Parameters and Aroma Profile. Int. J. Food Microbiol. 2018, 282, 84–91. [Google Scholar] [CrossRef] [PubMed]
- Perea-Sanz, L.; López-Díez, J.J.; Belloch, C.; Flores, M. Counteracting the Effect of Reducing Nitrate/Nitrite Levels on Dry Fermented Sausage Aroma by Debaryomyces Hansenii Inoculation. Meat Sci. 2020, 164, 108103. [Google Scholar] [CrossRef] [PubMed]
- Stahnke, L.H. Character Impact Aroma Compounds in Fermented Sausage. In Proceedings of the 44th ICoMST, Barcelona, Spain, 30 August–4 September 1998; Volume 30, pp. 786–787. [Google Scholar]
- Schmidt, S.; Berger, R.G. Aroma Compounds in Fermented Sausages of Different Origins. LWT-Food Sci. Technol. 1998, 31, 559–567. [Google Scholar] [CrossRef]
- Söllner, K.; Schieberle, P. Decoding the Key Aroma Compounds of a Hungarian-Type Salami by Molecular Sensory Science Approaches. J. Agric. Food Chem. 2009, 57, 4319–4327. [Google Scholar] [CrossRef]
- Rowe, D. Aroma Chemicals for Savory Flavors. Perfum. Flavorist 1998, 23, 9–18. [Google Scholar]
- Mottram, D.S. Flavour Formation in Meat and Meat Products: A Review. Food Chem. 1998, 62, 415–424. [Google Scholar] [CrossRef]
- Parker, J.K. Meat. In Springer Handbook of Odor; Buettner, A., Ed.; Springer International Publishing: Berlin/Heidelberg, Germany, 2017; pp. 191–221. [Google Scholar]
- Li, L.; Belloch, C.; Flores, M. Short-Term Changes in Aroma-Related Volatiles in Meat Model: Effect of Fat and D. Hansenii Inoculation. Foods 2023, 12, 2429. [Google Scholar] [CrossRef]
- Resconi, V.C.; Escudero, A.; Campo, M.M. The Development of Aromas in Ruminant Meat. Molecules 2013, 18, 6748–6781. [Google Scholar] [CrossRef] [PubMed]
- Hofmann, T.; Schieberle, P. 2-Oxopropanal, Hydroxy-2-Propanone, and 1-PyrrolineImportant Intermediates in the Generation of the Roast-Smelling Food Flavor Compounds 2-Acetyl-1-Pyrroline and 2-Acetyltetrahydropyridine. J. Agric. Food Chem. 1998, 46, 2270–2277. [Google Scholar] [CrossRef]
- Daygon, V.D.; Calingacion, M.; Forster, L.C.; De Voss, J.J.; Schwartz, B.D.; Ovenden, B.; Alonso, D.E.; McCouch, S.R.; Garson, M.J.; Fitzgerald, M.A. Metabolomics and Genomics Combine to Unravel the Pathway for the Presence of Fragrance in Rice. Sci. Rep. 2017, 7, 8767. [Google Scholar] [CrossRef] [PubMed]
- Li, L.; Belloch, C.; Flores, M. The Maillard Reaction as Source of Meat Flavor Compounds in Dry Cured Meat Model Systems under Mild Temperature Conditions. Molecules 2021, 26, 223. [Google Scholar] [CrossRef]
- Li, L.; Belloch, C.; Flores, M. A Comparative Study of Savory and Toasted Aromas in Dry Cured Loins versus Dry Fermented Sausages. LWT 2023, 173, 114305. [Google Scholar] [CrossRef]
- Schieberle, P. The Role of Free Amino Acids Present in Yeast as Precursors of the Odorants 2-Acetyl-1-Pyrroline and 2-Acetyltetrahydropyridine in Wheat Bread Crust. Z Leb. Unters Forch 1990, 191, 206–209. [Google Scholar] [CrossRef]
- Carballo, J. The Role of Fermentation Reactions in the Generation of Flavor and Aroma of Foods. In Fermentation, Effects on Food Properties; Mehta, B.M., Kamal-Eldin, A., Iwanski, R.Z., Eds.; CRC Press: Boca Raton, FL, USA, 2012; pp. 51–83. [Google Scholar]
- Beck, H.C.; Hansen, A.M.; Lauritsen, F.R. Metabolite Production and Kinetics of Branched-Chain Aldehyde Oxidation in Staphylococcus Xylosus. Enzym. Microb. Technol. 2002, 31, 94–101. [Google Scholar] [CrossRef]
- Andrade, M.J.; Rodríguez, M.; Casado, E.M.; Bermúdez, E.; Córdoba, J.J. Differentiation of Yeasts Growing on Dry-Cured Iberian Ham by Mitochondrial DNA Restriction Analysis, RAPD-PCR and Their Volatile Compounds Production. Food Microbiol. 2009, 26, 578–586. [Google Scholar] [CrossRef]
- Andrade, M.J.; Córdoba, J.J.; Casado, E.M.; Córdoba, M.G.; Rodríguez, M. Effect of Selected Strains of Debaryomyces Hansenii on the Volatile Compound Production of Dry Fermented Sausage “salchichón”. Meat Sci. 2010, 85, 256–264. [Google Scholar] [CrossRef]
- Martín, A.; Córdoba, J.J.; Benito, M.J.; Aranda, E.; Asensio, M.A. Effect of Penicillium Chrysogenum and Debaryomyces Hansenii on the Volatile Compounds during Controlled Ripening of Pork Loins. Int. J. Food Microbiol. 2003, 84, 327–338. [Google Scholar] [CrossRef]
- Perea-Sanz, L.; Peris, D.; Belloch, C.; Flores, M. Debaryomyces Hansenii Metabolism of Sulfur Amino Acids As Precursors of Volatile Sulfur Compounds of Interest in Meat Products. J. Agric. Food Chem. 2019, 67, 9335–9343. [Google Scholar] [CrossRef]
- Belloch, C.; Perea-Sanz, L.; Gamero, A.; Flores, M. Selection of Debaryomyces Hansenii Isolates as Starters in Meat Products Based on Phenotypic Virulence Factors, Tolerance to Abiotic Stress Conditions and Aroma Generation. J. Appl. Microbiol. 2022, 133, 200–211. [Google Scholar] [CrossRef] [PubMed]
- Stahnke, L. 2-Acetyl-1-Pyrroline–Key Aroma Compound in Mediterranean Dried Sausages. In Frontiers in Flavour Science; Schieberle, P., Engel, K.H., Eds.; Deutsche Forschungsanstalt für Lebensmittelchemie: Freising, Germany, 2000; pp. 361–365. [Google Scholar]
- Flores, M.; Olivares, A. Flavor. In Handbook of Fermented Meat and Poultry; Toldrá, F., Hui, Y.H., Astiasarán, I., G. Sebranek, J., Talon, R., Eds.; Wiley Online Library: Hoboken, NJ, USA, 2014; pp. 217–225. [Google Scholar]
- Jeleń, H.; Majcher, M.; Gracka, A. Application of Solid Phase Microextraction in Food Analysis—Flavor and Off-Flavor Sampling. In Solid Phase Microextraction: Recent Developments and Applications; Ouyang, G., Jiang, R., Eds.; Springer: Berlin/Heidelberg, Germany, 2017; pp. 223–246. ISBN 978-3-662-53598-1. [Google Scholar]
- Varlet, V.; Fernandez, X. Review. Sulfur-Containing Volatile Compounds in Seafood: Occurrence, Odorant Properties and Mechanisms of Formation. Food Sci. Technol. Int. 2010, 16, 463–503. [Google Scholar] [CrossRef] [PubMed]
- Cano-García, L.; Rivera-Jiménez, S.; Belloch, C.; Flores, M. Generation of Aroma Compounds in a Fermented Sausage Meat Model System by Debaryomyces Hansenii Strains. Food Chem. 2014, 151, 364–373. [Google Scholar] [CrossRef]
- Flores, M.; Perea-Sanz, L.; López-Díez, J.J.; Belloch, C. Meaty Aroma Notes from Free Amino Acids and Thiamine in Nitrite-Reduced, Dry-Fermented, Yeast-Inoculated Sausages. Food Chem. 2021, 361, 129997. [Google Scholar] [CrossRef] [PubMed]
- Ramos-Moreno, L.; Ruiz-Castilla, F.J.; Bravo, C.; Martínez, E.; Menéndez, M.; Dios-Palomares, R.; Ramos, J. Inoculation with a Terroir Selected Debaryomyces Hansenii Strain Changes Physico-Chemical Characteristics of Iberian Cured Pork Loin. Meat Sci. 2019, 157, 107875. [Google Scholar] [CrossRef]
- Cano-García, L.; Belloch, C.; Flores, M. Impact of Debaryomyces Hansenii Strains Inoculation on the Quality of Slow Dry-Cured Fermented Sausages. Meat Sci. 2014, 96, 1469–1477. [Google Scholar] [CrossRef]







| Compounds | Loin [141] | Sausage [119] | Sausage [119] | Sausage [141] c | Sausage [154] | Sausage [155] c | Sausage [132] | Sausage [119] |
|---|---|---|---|---|---|---|---|---|
| SPME (CAR/PDMS) b | SPME (DVB/CAR/PDMS) | SPME (CAR/PDMS) | SPME (CAR/PDMS) | SPME (CAR/PDMS) | SPME (CAR/PDMS) | SAFE | SAFE | |
| Methional | 12,798.5 | 2.1 | 3.2 | 19.2 | 529.9 | 67.2 | ||
| Methionol | 20.6 | 5.5 | ||||||
| MT a | 0.4 | 0.14 | 147.9 | |||||
| DMS | 2.1 | 0.5 | ||||||
| DMDS | 0.002 | 0.32 | 1730.8 | 0.5 | ||||
| DMTS | 3.9 | 0.07 | 104.1 | 2.5 | ||||
| MFT | 0.005 | 0.11 | 0.3 | 0.8 | ||||
| MMTF | 0 | 0.2 | ||||||
| MMFDS | 0.27 | 0.1 | ||||||
| 2AP | 66.9 | 2.7 | 14 | |||||
| APle | 0.5 | 1.4 | ||||||
| 2AT | 0.2 | |||||||
| 2A2T | 0.7 | |||||||
| 2-E-3,5-DMP | 0.6 | |||||||
| 2,3,5-TMP | 2.4 | 2.8 | ||||||
| TMP | 0.3 | 0.2 |
Disclaimer/Publisher’s Note: The statements, opinions and data contained in all publications are solely those of the individual author(s) and contributor(s) and not of MDPI and/or the editor(s). MDPI and/or the editor(s) disclaim responsibility for any injury to people or property resulting from any ideas, methods, instructions or products referred to in the content. |
© 2025 by the authors. Licensee MDPI, Basel, Switzerland. This article is an open access article distributed under the terms and conditions of the Creative Commons Attribution (CC BY) license (https://creativecommons.org/licenses/by/4.0/).
Share and Cite
Li, L.; Belloch, C.; Flores, M. The Aroma of Non-Fermented and Fermented Dry-Cured Meat Products: Savory and Toasted Odors. Foods 2025, 14, 881. https://doi.org/10.3390/foods14050881
Li L, Belloch C, Flores M. The Aroma of Non-Fermented and Fermented Dry-Cured Meat Products: Savory and Toasted Odors. Foods. 2025; 14(5):881. https://doi.org/10.3390/foods14050881
Chicago/Turabian StyleLi, Lei, Carmela Belloch, and Mónica Flores. 2025. "The Aroma of Non-Fermented and Fermented Dry-Cured Meat Products: Savory and Toasted Odors" Foods 14, no. 5: 881. https://doi.org/10.3390/foods14050881
APA StyleLi, L., Belloch, C., & Flores, M. (2025). The Aroma of Non-Fermented and Fermented Dry-Cured Meat Products: Savory and Toasted Odors. Foods, 14(5), 881. https://doi.org/10.3390/foods14050881

