Low Glycemic Index Biscuits Enriched with Beetroot Powder as a Source of Betaine and Mineral Nutrients
Abstract
1. Introduction
2. Materials and Methods
2.1. Materials
2.2. Differential Scanning Calorimetry (DSC)
2.3. Thermogravimetric Analysis (TGA)
2.4. Water Activity (aw) and Moisture Content
2.5. Hardness
2.6. Determination of Betaine
2.7. Determination of Macro- and Micro Elements
2.8. Determination of Acrylamide
2.9. Sensory Analysis
2.10. Determination of Glycemic Index
2.11. Statistical Analysis
3. Results and Discussion
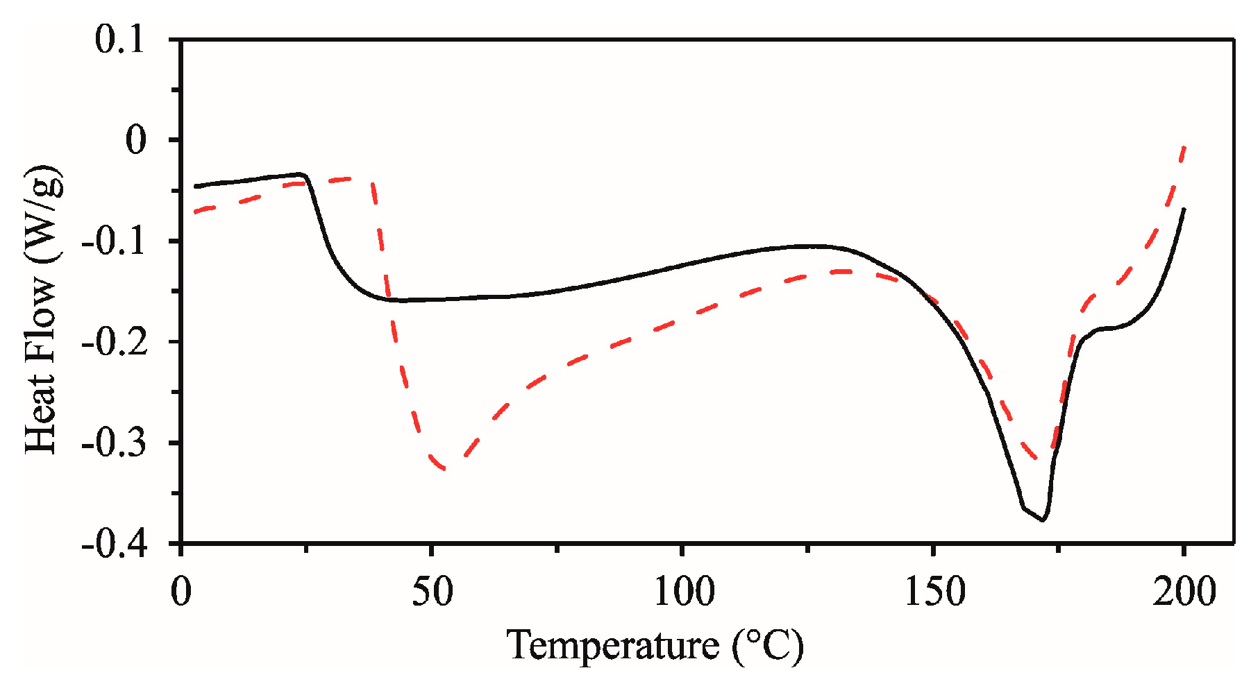
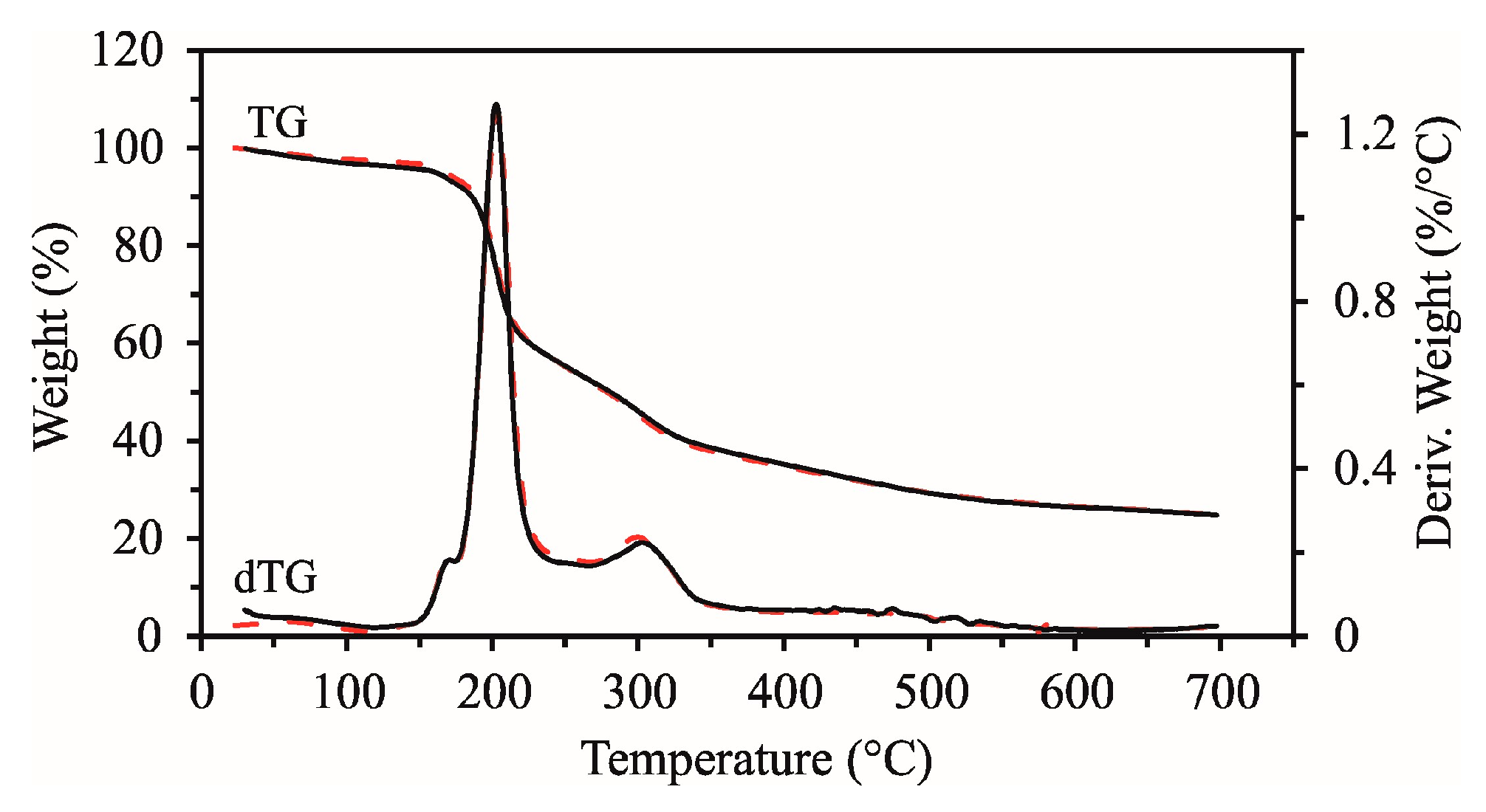
3.1. Thermal Behavior of Beetroot Powder—DSC and TGA Results
3.2. Hardness of the Biscuits
3.3. Betaine Content
3.4. Macro- and Microelement Contents
3.5. Acrylamide Content
3.6. Sensory Evaluation
3.7. Glycemic Index
4. Conclusions
Author Contributions
Funding
Institutional Review Board Statement
Informed Consent Statement
Data Availability Statement
Conflicts of Interest
References
- Chen, L.; Zhu, Y.; Hu, Z.; Wu, S.; Jin, C. Beetroot as a Functional Food with Huge Health Benefits: Antioxidant, Antitumor, Physical Function, and Chronic Metabolomics Activity. Food Sci. Nutr. 2021, 9, 6406–6420. [Google Scholar] [CrossRef]
- Mirmiran, P.; Houshialsadat, Z.; Gaeini, Z.; Bahadoran, Z.; Azizi, F. Functional Properties of Beetroot (Beta vulgaris) in Management of Cardio-Metabolic Diseases. Nutr. Metab. 2020, 17, 3. [Google Scholar] [CrossRef]
- Punia Bangar, S.; Singh, A.; Chaudhary, V.; Sharma, N.; Lorenzo, J.M. Beetroot as a Novel Ingredient for Its Versatile Food Applications. Crit. Rev. Food Sci. Nutr. 2023, 63, 8403–8427. [Google Scholar] [CrossRef] [PubMed]
- Jakubczyk, K.; Melkis, K.; Janda-Milczarek, K.; Skonieczna-Żydecka, K. Phenolic Compounds and Antioxidant Properties of Fermented Beetroot Juices Enriched with Different Additives. Foods 2023, 13, 102. [Google Scholar] [CrossRef] [PubMed]
- Ingle, M.; Thorat, S.S.; Kotecha, P.M.; Nimbalkar, C.A. Nutritional Assessment of Beetroot (Beta vulgaris L.) Powder Cookies. Asian J. Dairy Food Res. 2017, 36, 222–228. [Google Scholar] [CrossRef]
- Sahni, P.; Shere, D.M. Physico-Chemical and Sensory Characteristics of Beet Root Pomace Powder Incorporated Fibre Rich Cookies. Int. J. Food Ferment. Technol. 2016, 6, 309. [Google Scholar] [CrossRef]
- Betoret, E.; Betoret, N.; Vidal, D.; Fito, P. Functional Foods Development: Trends and Technologies. Trends Food Sci. Technol. 2011, 22, 498–508. [Google Scholar] [CrossRef]
- Tan, M.L.; Hamid, S.B.S. Beetroot as a Potential Functional Food for Cancer Chemoprevention, a Narrative Review. J. Cancer Prev. 2021, 26, 1–17. [Google Scholar] [CrossRef]
- Jazić, M.; Kukrić, Z.; Vulić, J.; Četojević-Simin, D. Polyphenolic Composition, Antioxidant and Antiproliferative Effects of Wild and Cultivated Blackberries (Rubus fruticosus L.) Pomace. Int. J. Food Sci. Technol. 2019, 54, 194–201. [Google Scholar] [CrossRef]
- Zlatanović, S.; Kalušević, A.; Micić, D.; Laličić-Petronijević, J.; Tomić, N.; Ostojić, S.; Gorjanović, S. Functionality and Storability of Cookies Fortified at the Industrial Scale with up to 75% of Apple Pomace Flour Produced by Dehydration. Foods 2019, 8, 561. [Google Scholar] [CrossRef] [PubMed]
- Gorjanović, S.; Micić, D.; Pastor, F.; Tosti, T.; Kalušević, A.; Ristić, S.; Zlatanović, S. Evaluation of Apple Pomace Flour Obtained Industrially by Dehydration as a Source of Biomolecules with Antioxidant, Antidiabetic and Antiobesity Effects. Antioxidants 2020, 9, 413. [Google Scholar] [CrossRef]
- Koolaji, N.; Shammugasamy, B.; Schindeler, A.; Dong, Q.; Dehghani, F.; Valtchev, P. Citrus Peel Flavonoids as Potential Cancer Prevention Agents. Curr. Dev. Nutr. 2020, 4, nzaa025. [Google Scholar] [CrossRef] [PubMed]
- Jahurul, M.H.A.; Zaidul, I.S.M.; Ghafoor, K.; Al-Juhaimi, F.Y.; Nyam, K.-L.; Norulaini, N.A.N.; Sahena, F.; Mohd Omar, A.K. Mango (Mangifera indica L.) by-Products and Their Valuable Components: A Review. Food Chem. 2015, 183, 173–180. [Google Scholar] [CrossRef] [PubMed]
- Parveen, H.; Bajpai, A.; Bhatia, S.; Singh, S. Analysis of Biscuits Enriched With Fibre by Incorporating Carrot and Beetroot Pomace Powder. Indian J. Nutr. Diet. 2017, 54, 403. [Google Scholar] [CrossRef]
- Jaiswal, S.; Dhillon, B.; Sodhi, N.S.; Sogi, D.S. Physico-Chemical, Antioxidant, Textural and Sensory Analyses of Jelly Bars Formulated with the Incorporation of Beetroot Extract and Guava Pectin. J. Food Meas. Charact. 2022, 16, 2801–2810. [Google Scholar] [CrossRef]
- Ingle, M.; Ingle, M.P.; Thorat, S.S.; Nimbalkar, C.A.; Nawkar, R.R. Nutritional Evaluation of Cookies Enriched with Beetroot (Beta vulgaris L.) Powder. Int. J. Curr. Microbiol. Appl. Sci. 2017, 6, 1888–1896. [Google Scholar] [CrossRef]
- Krejčová, A.; Černohorský, T.; Meixner, D. Elemental Analysis of Instant Soups and Seasoning Mixtures by ICP–OES. Food Chem. 2007, 105, 242–247. [Google Scholar] [CrossRef]
- Pinki, P.A.; Pratima, A. Sensory and Nutritional Evaluation of Value Added Cakes Formulated by Incorporating Beetroot Powder. Int. J. Food Nutr. Sci. 2014, 3, 145–148. [Google Scholar]
- Bach, V.; Mikkelsen, L.; Kidmose, U.; Edelenbos, M. Culinary Preparation of Beetroot (Beta vulgaris L.): The Impact on Sensory Quality and Appropriateness. J. Sci. Food Agric. 2015, 95, 1852–1859. [Google Scholar] [CrossRef]
- Kavalcová, P.; Bystrická, J.; Tomáš, J.; Karovičová, J.; Kovarovič, J.; Lenková, M. The Content of Total Polyphenols and Antioxidant Activity in Red Beetroot. Potravin. Slovak J. Food Sci. 2015, 9, 77–83. [Google Scholar] [CrossRef]
- Clifford, T.; Howatson, G.; West, D.; Stevenson, E. The Potential Benefits of Red Beetroot Supplementation in Health and Disease. Nutrients 2015, 7, 2801–2822. [Google Scholar] [CrossRef]
- Kohajdová, Z.; Karovičová, J.; Kuchtová, V.; Lauková, M. Utilisation of Beetroot Powder for Bakery Applications. Chem. Pap. 2018, 72, 1507–1515. [Google Scholar] [CrossRef]
- Mitrevski, J.; Pantelić, N.Đ.; Dodevska, M.S.; Kojić, J.S.; Vulić, J.J.; Zlatanović, S.; Gorjanović, S.; Laličić-Petronijević, J.; Marjanović, S.; Antić, V.V. Effect of Beetroot Powder Incorporation on Functional Properties and Shelf Life of Biscuits. Foods 2023, 12, 322. [Google Scholar] [CrossRef]
- Belović, M.; Torbica, A.; Škrobot, D.; Tomić, J.; Čabarkapa, I.; Živančev, D.; Štatkić, S.; Aćin, V.; Kukurová, K.; Ciesarová, Z. Potential Application of Triticale Cultivar “Odisej” for the Production of Cookies. Ratar. Povrt. 2020, 57, 8–13. [Google Scholar] [CrossRef]
- Kojić, J.; Krulj, J.; Ilić, N.; Lončar, E.; Pezo, L.; Mandić, A.; Bodroža Solarov, M. Analysis of Betaine Levels in Cereals, Pseudocereals and Their Products. J. Funct. Foods 2017, 37, 157–163. [Google Scholar] [CrossRef]
- ISO 8586 2023; General Guideline for the Selection, Training and Monitoring of Selected Assessors and Expert Sensory Assessors. ISO: Geneva, Switzerland, 2023. Available online: https://www.iso.org/standard/76667.html (accessed on 30 September 2023).
- ISO 26642:2010; Food Products—Determination of the Glycaemic Index (GI) and Recommendation for Food Classification. ISO: Geneva, Switzerland, 2010. Available online: https://www.iso.org/standard/43633.html (accessed on 15 June 2023).
- Janiszewska-Turak, E.; Tracz, K.; Bielińska, P.; Rybak, K.; Pobiega, K.; Gniewosz, M.; Woźniak, Ł.; Gramza-Michałowska, A. The Impact of the Fermentation Method on the Pigment Content in Pickled Beetroot and Red Bell Pepper Juices and Freeze-Dried Powders. Appl. Sci. 2022, 12, 5766. [Google Scholar] [CrossRef]
- Zlatanović, S.; Ostojić, S.; Micić, D.; Rankov, S.; Dodevska, M.; Vukosavljević, P.; Gorjanović, S. Thermal Behaviour and Degradation Kinetics of Apple Pomace Flours. Thermochim. Acta 2019, 673, 17–25. [Google Scholar] [CrossRef]
- Hurtta, M.; Pitkänen, I.; Knuutinen, J. Melting Behaviour of d-Sucrose, d-Glucose and d-Fructose. Carbohydr. Res. 2004, 339, 2267–2273. [Google Scholar] [CrossRef]
- Roos, Y.H. Thermal Analysis, State Transitions and Food Quality. J. Therm. Anal. Calorim. 2003, 71, 197–203. [Google Scholar] [CrossRef]
- Wang, Y.; Truong, T. Glass Transition and Crystallization in Foods. In Non-Equilibrium States and Glass Transitions in Foods; Elsevier: Amsterdam, The Netherlands, 2017; pp. 153–172. [Google Scholar]
- Baldinelli, A.; Dou, X.; Buchholz, D.; Marinaro, M.; Passerini, S.; Barelli, L. Addressing the Energy Sustainability of Biowaste-Derived Hard Carbon Materials for Battery Electrodes. Green Chem. 2018, 20, 1527–1537. [Google Scholar] [CrossRef]
- Leal, G.F.; Ramos, L.A.; Barrett, D.H.; Curvelo, A.A.S.; Rodella, C.B. A Thermogravimetric Analysis (TGA) Method to Determine the Catalytic Conversion of Cellulose from Carbon-Supported Hydrogenolysis Process. Thermochim. Acta 2015, 616, 9–13. [Google Scholar] [CrossRef]
- Yang, H.; Yan, R.; Chen, H.; Lee, D.H.; Zheng, C. Characteristics of Hemicellulose, Cellulose and Lignin Pyrolysis. Fuel 2007, 86, 1781–1788. [Google Scholar] [CrossRef]
- Yeng, L.C.; Wahit, M.U.; Othman, N. Thermal and Flexural Properties of Regenerated Cellulose(RC)/Poly(3-Hydroxybutyrate)(PHB)Biocomposites. J. Teknol. 2015, 75, 107–112. [Google Scholar] [CrossRef]
- Filipčev, B.; Šimurina, O.; Dapčević Hadnađev, T.; Jevtić-Mučibabić, R.; Filipović, V.; Lončar, B. Effect of Liquid (Native) and Dry Molasses Originating from Sugar Beet on Physical and Textural Properties of Gluten-Free Biscuit and Biscuit Dough. J. Texture Stud. 2015, 46, 353–364. [Google Scholar] [CrossRef]
- Singh, J.P.; Kaur, A.; Shevkani, K.; Singh, N.; Singh, B. Physicochemical Characterisation of Corn Extrudates Prepared with Varying Levels of Beetroot (Beta vulgaris) at Different Extrusion Temperatures. Int. J. Food Sci. Technol. 2016, 51, 911–919. [Google Scholar] [CrossRef]
- Uysal, H.; Bilgiçli, N.; Elgün, A.; İbanoğlu, Ş.; Herken, E.N.; Kürşat Demir, M. Effect of Dietary Fibre and Xylanase Enzyme Addition on the Selected Properties of Wire-Cut Cookies. J. Food Eng. 2007, 78, 1074–1078. [Google Scholar] [CrossRef]
- Singh, J.; Singh, N.; Sharma, T.R.; Saxena, S.K. Physicochemical, Rheological and Cookie Making Properties of Corn and Potato Flours. Food Chem. 2003, 83, 387–393. [Google Scholar] [CrossRef]
- Filipčev, B.; Šimurina, O.; Bodroža-Solarov, M.; Brkljača, J. Dough Rheological Properties in Relation to Cracker-making Performance of Organically Grown Spelt Cultivars. Int. J. Food Sci. Technol. 2013, 48, 2356–2362. [Google Scholar] [CrossRef]
- Dobrijević, D.; Pastor, K.; Nastić, N.; Özogul, F.; Krulj, J.; Kokić, B.; Bartkiene, E.; Rocha, J.M.; Kojić, J. Betaine as a Functional Ingredient: Metabolism, Health-Promoting Attributes, Food Sources, Applications and Analysis Methods. Molecules 2023, 28, 4824. [Google Scholar] [CrossRef]
- Craig, S.A. Betaine in Human Nutrition. Am. J. Clin. Nutr. 2004, 80, 539–549. [Google Scholar] [CrossRef] [PubMed]
- Olthof, M.R.; Verhoef, P.; van Vliet, T.; Boelsma, E. Low Dose Betaine Supplementation Leads to Immediate and Long Term Lowering of Plasma Homocysteine in Healthy Men and Women. J. Nutr. 2003, 133, 4135–4138. [Google Scholar] [CrossRef]
- Wang, C.; Ma, C.; Gong, L.; Dai, S.; Li, Y. Preventive and Therapeutic Role of Betaine in Liver Disease: A Review on Molecular Mechanisms. Eur. J. Pharmacol. 2021, 912, 174604. [Google Scholar] [CrossRef]
- Zhou, R.; Chen, X.-L.; Zhou, Z.; Zhang, Y.; Lan, Q.; Liao, G.; Chen, Y.; Zhu, H. Higher Dietary Intakes of Choline and Betaine Are Associated with a Lower Risk of Primary Liver Cancer: A Case-Control Study. Sci. Rep. 2017, 7, 679. [Google Scholar] [CrossRef]
- Ross, A.B.; Zangger, A.; Guiraud, S.P. Cereal Foods Are the Major Source of Betaine in the Western Diet—Analysis of Betaine and Free Choline in Cereal Foods and Updated Assessments of Betaine Intake. Food Chem. 2014, 145, 859–865. [Google Scholar] [CrossRef]
- Filipović, V.; Nićetin, M.; Filipović, J.; Stupar, A.; Kojić, J.; Lončarević, I.; Šobot, K.; Laličić-Petronijević, J. Evaluation of Cookies Enriched with Osmodehydrated Wild Garlic from Nutritional and Sensory Aspects. Foods 2024, 13, 1941. [Google Scholar] [CrossRef]
- Fan, X.; Zhou, X.; Chen, H.; Tang, M.; Xie, X. Cross-Talks Between Macro- and Micronutrient Uptake and Signaling in Plants. Front. Plant Sci. 2021, 12, 663477. [Google Scholar] [CrossRef]
- Johnson, V.J.; Mirza, A. Role of Macro and Micronutrients in the Growth and Development of Plants. Int. J. Curr. Microbiol. Appl. Sci. 2020, 9, 576–587. [Google Scholar] [CrossRef]
- Kumar, S.; Kumar, S.; Mohapatra, T. Interaction Between Macro- and Micro-Nutrients in Plants. Front. Plant Sci. 2021, 12, 665583. [Google Scholar] [CrossRef]
- Stanhewicz, A.E.; Larry Kenney, W. Determinants of Water and Sodium Intake and Output. Nutr. Rev. 2015, 73, 73–82. [Google Scholar] [CrossRef]
- Hager, A.-S.; Wolter, A.; Jacob, F.; Zannini, E.; Arendt, E.K. Nutritional Properties and Ultra-Structure of Commercial Gluten Free Flours from Different Botanical Sources Compared to Wheat Flours. J. Cereal Sci. 2012, 56, 239–247. [Google Scholar] [CrossRef]
- Zhang, F.; Ye, J.; Zhu, X.; Wang, L.; Gao, P.; Shu, G.; Jiang, Q.; Wang, S. Anti-Obesity Effects of Dietary Calcium: The Evidence and Possible Mechanisms. Int. J. Mol. Sci. 2019, 20, 3072. [Google Scholar] [CrossRef] [PubMed]
- Miękus, N.; Marszałek, K.; Podlacha, M.; Iqbal, A.; Puchalski, C.; Świergiel, A.H. Health Benefits of Plant-Derived Sulfur Compounds, Glucosinolates, and Organosulfur Compounds. Molecules 2020, 25, 3804. [Google Scholar] [CrossRef] [PubMed]
- Govindaraju, I.; Sana, M.; Chakraborty, I.; Rahman, M.H.; Biswas, R.; Mazumder, N. Dietary Acrylamide: A Detailed Review on Formation, Detection, Mitigation, and Its Health Impacts. Foods 2024, 13, 556. [Google Scholar] [CrossRef]
- Andačić, I.M.; Tot, A.; Ivešić, M.; Krivohlavek, A.; Thirumdas, R.; Barba, F.J.; Sabolović, M.B.; Kljusurić, J.G.; Brnčić, S.R. Exposure of the Croatian Adult Population to Acrylamide through Bread and Bakery Products. Food Chem. 2020, 322, 126771. [Google Scholar] [CrossRef]
- Žilić, S.; Aktağ, I.G.; Dodig, D.; Filipović, M.; Gökmen, V. Acrylamide Formation in Biscuits Made of Different Wholegrain Flours Depending on Their Free Asparagine Content and Baking Conditions. Food Res. Int. 2020, 132, 109109. [Google Scholar] [CrossRef] [PubMed]
- Marques, C.; D’auria, L.; Cani, P.D.; Baccelli, C.; Rozenberg, R.; Ruibal-Mendieta, N.L.; Petitjean, G.; Delacroix, D.L.; Quetin-Leclercq, J.; Habib-Jiwan, J.-L.; et al. Comparison of Glycemic Index of Spelt and Wheat Bread in Human Volunteers. Food Chem. 2007, 100, 1265–1271. [Google Scholar] [CrossRef]
- Agrawal, P.; Singh, B.R.; Gajbe, U.; Kalambe, M.A.; Bankar, M. Managing Diabetes Mellitus With Millets: A New Solution. Cureus 2023, 15, e44908. [Google Scholar] [CrossRef] [PubMed]



| Sample Designation | Replaced Spelt Flour [%] | Mass Fraction of BP in the Dough [%] | |
|---|---|---|---|
| 150 °C | 170 °C | ||
| A1 | A2 | 0 | 0 |
| B1 | B2 | 30 | 15 |
| C1 | C2 | 40 | 20 |
| D1 | D2 | 50 | 25 |
| Measurement | Start of Storage | 6 Months | |
|---|---|---|---|
| DSC | Tg, (°C) | 41.00 ± 1.20 | 37.40 ± 2.00 |
| ∆Cp (J/(g·°C)) | 3.01 ± 0.70 | 2.53 ± 0.80 | |
| Tm (°C) | 171.80 ± 1.60 | 171.70 ± 1.20 | |
| ∆ H (J/g) | 38.78 | 43.70 | |
| Water activity (aw) | 0.38 ± 0.001 | 0.36 ± 0.001 | |
| Moisture content (%) | 6.80 ± 0.18 | 6.20 ± 0.20 | |
| TGA | Start of Storage | 6 Months |
|---|---|---|
| Ts 1 (°C) | 29.0 ± 1.0 | 29.0 ± 2.0 |
| Tend 1 (°C) | 127.0 ± 1.0 | 127.0 ± 2.0 |
| Mass loss 1 (%) | 3.7 ± 0.5 | 3.0 ± 0.7 |
| Ts 2 (°C) | 127.0 ± 1.0 | 127.0 ± 2.0 |
| Tend 2 (°C) | 177.0 ± 2.0 | 174.0 ± 1.0 |
| Mass loss 2 (%) | 3.9 ± 0.3 | 3.5 ± 0.3 |
| Ts 3 (°C) | 177.0 ± 2.0 | 174.0 ± 1.0 |
| Tend 3 (°C) | 262.0 ± 1.0 | 269.0 ± 1.0 |
| Mass loss 3 (%) | 39.0 ± 3.0 | 42.0 ± 3.0 |
| Ts 4 (°C) | 262.0 ± 1.0 | 269.0 ± 1.0 |
| Tend 4 (°C) | 697.0 ± 1.0 | 698.0 ± 1.0 |
| Mass loss 4 (%) | 28.0 ± 1.0 | 27.0 ± 1.0 |
| Total mass loss (%) | 75.0 ± 1.0 | 75.0 ± 1.0 |
| Tres (°C) | 697.0 ± 1.0 | 698.0 ± 1.0 |
| Residue (%) | 25.0 ± 1.0 | 25.0 ± 1.0 |
| Sample | Start of Storage | 3 Months | 6 Months |
|---|---|---|---|
| A1 | 4.32 ± 0.80 1b | 4.15 ± 0.76 12a | 13.20 ± 1.24 4c |
| B1 | 5.75 ± 2.04 1b | 3.94 ± 0.42 1a | 7.95 ± 1.45 2c |
| C1 | 27.94 ± 0.74 3c | 7.15 ± 0.20 3a | 12.00 ± 0.03 3b |
| D1 | 11.39 ± 1.01 2c | 4.48 ± 0.01 2a | 6.33 ± 0.88 1b |
| A2 | 5.55 ± 0.46 1a | 6.88 ± 0.28 1b | 7.61 ± 1.39 1c |
| B2 | 21.30 ± 4.28 2c | 15.33 ± 6.05 3b | 14.74 ± 6.33 2a |
| C2 | 26.36 ± 3.38 3b | 9.02 ± 2.71 2a | 13.38 ± 4.87 2a |
| D2 | 21.87 ± 6.11 3b | 11.45 ± 1.04 3a | 11.49 ± 1.97 2a |
| Sample | Start of Storage | 3 Months | 6 Months |
|---|---|---|---|
| SF | 131.32 ± 5.30 a | 141.49 ± 7.42 b | 128.25 ± 4.91 a |
| BP | 909.29 ± 14.46 b | 898.95 ± 34.77 a | 1197.32 ± 42.16 c |
| A1 | 74.60 ± 2.20 1a | 72.20 ± 2.80 1a | 76.50 ± 2.11 1a |
| B1 | 258.82 ± 11.19 2b | 217.08 ± 15.01 2a | 329.68 ± 18.16 2c |
| C1 | 283.13 ± 18.17 2a | 279.58 ± 38.97 3a | 375.22 ± 7.15 3b |
| D1 | 307.34 ± 5.25 3b | 292.29 ± 5.70 3a | 403.16 ± 9.16 4c |
| A2 | 74.90 ± 3.55 1a | 77.90 ± 2.80 1a | 82.30 ± 3.14 1a |
| B2 | 179.85 ± 6.90 2b | 135.91 ± 7.99 2a | 196.15 ± 8.12 2c |
| C2 | 276.12 ± 0.28 3a | 266.68 ± 33.37 3a | 365.69 ± 38.16 3b |
| D2 | 289.69 ± 9.20 4b | 274.64 ± 4.35 3a | 387.28 ± 7.12 3c |
| Sample | Na | K | Mg | Ca | P | S |
|---|---|---|---|---|---|---|
| SF | 10.45 ± 0.06 | 1410 ± 28.00 | 500 ± 13.19 | 127 ± 1.18 | 3763 ± 57.85 | 1271 ± 13.42 |
| BP | 2733 ± 10.45 | 7180 ± 144.13 | 580 ± 3.72 | 647 ± 18.83 | 2602 ± 10.23 | 908 ± 3.02 |
| A1 | 564 ± 5.16 A | 1059 ± 9.63 A | 409 ± 5.63 A | 121 ± 4.46 A | 3255 ± 14.09 C | 780 ± 1.17 D |
| B1 | 1077 ± 6.54 B | 2303 ± 24.28 B | 438 ± 6.30 C | 222 ± 4.59 B | 2750 ± 15.64 A | 667 ± 3.97 C |
| C1 | 1225 ± 29.72 D | 2608 ± 14.97 C | 484 ± 5.14 D | 237 ± 6.24 C | 2760 ± 0.70 B | 646 ± 2.11 B |
| D1 | 1196 ± 0.23 C | 2637 ± 68.42 C | 430 ± 7.99 B | 260 ± 5.76 D | 2750 ± 14.11 A | 622 ± 0.00 A |
| A2 | 569 ± 5.19 A | 1074 ± 10.01 A | 424 ± 6.12 A | 125 ± 5.32 A | 3279 ± 15.03 D | 786 ± 1.21 C |
| B2 | 1069 ± 9.41 B | 2283 ± 26.82 B | 436 ± 11.05 B | 275 ± 9.91 D | 2787 ± 10.58 B | 659 ± 1.88 B |
| C2 | 1250 ± 1.86 D | 2660 ± 13.74 C | 478 ± 9.79 D | 238 ± 2.07 B | 2750 ± 6.75 A | 639 ± 2.56 A |
| D2 | 1220 ± 15.51 C | 2743 ± 13.63 D | 470 ± 0.70 C | 270 ± 1.62 C | 2961 ± 0.94 C | 642 ± 2.35 A |
| Sample | Zn | Mn | Cu | Fe | Cr | Se | B | Al | Li | Ni | Sr | Ba | Cd |
|---|---|---|---|---|---|---|---|---|---|---|---|---|---|
| SF | 23.78 ± 0.47 | 14.05 ± 0.32 | 3.53 ± 0.06 | 23.32 ± 0.63 | <0.005 | 0.41 ± 0.06 | 0.21 ± 0.03 | 2.00 ± 0.09 | 0.07 ± 0.00 | 0.36 ± 0.00 | 0.31 ± 0.00 | 0.31 ± 0.00 | 0.02 ± 0.00 |
| BP | 19.66 ± 0.05 | 19.38 ± 3.72 | 4.73 ± 0.16 | 13.66 ± 0.94 | <0.005 | 0.28 ± 0.02 | 12.94 ± 0.01 | 0.62 ± 0.15 | 0.92 ± 0.00 | 0.42 ± 0.00 | 8.61 ± 0.05 | 12.72 ± 0.04 | 0.20 ± 0.00 |
| A1 | 16.45 ± 0.04 C | 7.84 ± 0.05 D | 2.28 ± 0.00 B | 15.46 ± 0.43 D | 0.06 ± 0.00 A | 0.60 ± 0.05 A | <0.005 | 0.79 ± 0.10 D | 0.06 ± 0.00 A | 0.26 ± 0.00 B | 0.21 ± 0.00 A | 0.27 ± 0.03 A | 0.01 ± 0.00 A |
| B1 | 13.25 ± 0.09 A | 6.85 ± 0.15 C | 2.15 ± 0.03 A | 12.78 ± 0.41 C | 0.40 ± 0.05 C | 0.68 ± 0.03 C | 1.96 ± 0.02 A | 0.50 ± 0.04 B | 0.14 ± 0.00 B | 0.33 ± 0.00 C | 1.45 ± 0.01 B | 2.15 ± 0.00 B | 0.02 ± 0.00 B |
| C1 | 13.40 ± 0.03 B | 5.43 ± 0.07 A | 2.61 ± 0.02 C | 12.02 ± 0.01 B | 0.32 ± 0.04 B | 0.63 ± 0.00 B | 2.77 ± 0.01 B | 0.74 ± 0.18 C | 0.20 ± 0.00 D | 0.19 ± 0.00 A | 1.96 ± 0.02 D | 3.09 ± 0.07 C | 0.05 ± 0.00 C |
| D1 | 13.32 ± 0.06 A | 6.61 ± 0.27 B | 2.24 ± 0.02 B | 11.83 ± 0.48 A | <0.005 | 0.68 ± 0.00 C | 2.71 ± 0.01 B | 0.44 ± 0.09 A | 0.18 ± 0.00 C | 0.42 ± 0.00 D | 1.90 ± 0.06 C | 3.12 ± 0.07 C | 0.02 ± 0.00 B |
| A2 | 16.56 ± 0.02 D | 8.16 ± 0.05 C | 2.33 ± 0.00 B | 15.98 ± 0.42 D | 0.26 ± 0.00 C | 0.68 ± 0.04 C | <0.005 | 0.81 ± 0.11 C | 0.06 ± 0.00 A | 0.25 ± 0.00 B | 0.22 ± 0.00 A | 0.26 ± 0.02 A | 0.01 ± 0.00 A |
| B2 | 14.77 ± 0.11 C | 6.54 ± 0.04 B | 2.20 ± 0.00 A | 14.67 ± 0.48 C | <0.005 | 0.57 ± 0.00 A | 1.94 ± 0.01 A | 0.79 ± 0.02 B | 0.17 ± 0.00 B | 0.36 ± 0.00 C | 1.43 ± 0.00 B | 2.11 ± 0.03 B | 0.02 ± 0.00 B |
| C2 | 13.51 ± 0.03 A | 5.27 ± 0.05 C | 2.64 ± 0.01 C | 11.69 ± 0.44 A | 0.25 ± 0.08 B | 0.69 ± 0.00 C | 2.71 ± 0.00 C | 0.90 ± 0.08 D | 0.20 ± 0.00 D | 0.20 ± 0.00 A | 1.88 ± 0.00 C | 2.99 ± 0.01 C | 0.05 ± 0.00 C |
| D2 | 13.85 ± 0.03 B | 7.81 ± 0.10 C | 2.32 ± 0.00 B | 13.33 ± 0.21 B | 0.15 ± 0.02 A | 0.66 ± 0.05 B | 2.65 ± 0.02 B | 0.77 ± 0.06 A | 0.18 ± 0.00 C | 0.42 ± 0.00 D | 1.95 ± 0.01 D | 3.12 ± 0.03 D | 0.02 ± 0.00 B |
| Sample | A1 | B1 | C1 | D1 | A2 | B2 | C2 | D2 |
|---|---|---|---|---|---|---|---|---|
| AA | 48.0 ± 7.1 C | 30.0 ± 5.6 B | 27.8 ± 7.2 AB | 15.4 ± 6.9 A | 76.3 ± 8.5 C | 50.0 ± 6.3 B | 38.1 ± 4.4 A | 35.6 ± 9.0 A |
| Sample | Storage Period | Calculated Indicators | Color, Surface Size and Shape (Mean ± SD) | Structure, Bakedness, and Breakage (Mean ± SD) | Chewiness (Mean ± SD) | Smell (Mean ± SD) | Taste (Mean ± SD) | Overall Mean Score | % of Maximum Possible Quality |
|---|---|---|---|---|---|---|---|---|---|
| A1 | fresh | avr | 4.40 ± 0.38 | 4.09 ± 0.13 | 4.25 ± 0.30 | 4.50 ± 0.42 | 4.16 ± 0.32 | 4.27 | 85.36 |
| after 6 months | avr | 3.87 ± 0.57 | 3.87 ± 0.53 | 3.81 ± 0.22 | 3.91 ± 0.42 | 3.12 ± 0.13 | 3.68 | 73.57 | |
| B1 | fresh | avr | 4.7 ± 0.19 | 4.16 ± 0.26 | 4.16 ± 0.26 | 4.62 ± 0.23 | 4.59 ± 0.35 | 4.47 | 89.32 |
| after 6 months | avr | 4.22 ± 0.21 | 3.78 ± 0.36 | 3.84 ± 0.38 | 3.81 ± 0.61 | 3.37 ± 0.46 | 3.76 | 75.23 | |
| C1 | fresh | avr | 4.84 ± 0.19 | 4.34 ± 0.19 | 4.22 ± 0.21 | 4.53 ± 0.09 | 4.53 ± 0.36 | 4.33 | 86.53 |
| after 6 months | avr | 4,22 ± 0.34 | 3.84 ± 0.26 | 3.91 ± 0.23 | 4.00 ± 0.30 | 3.72 ± 0.28 | 3.91 | 78.26 | |
| D1 | fresh | avr | 4.37 ± 0.35 | 4.25 ± 0.27 | 4.06 ± 0.22 | 4.47 ± 0.16 | 4.28 ± 0.28 | 4.28 | 85.64 |
| after 6 months | avr | 3.69 ± 0.46 | 3.62 ± 0.30 | 3.69 ± 0.22 | 3.81 ± 0.42 | 3.62 ± 0.35 | 3.68 | 73.65 | |
| A2 | fresh | avr | 4.44 ± 0.37 | 3.90 ± 0.19 | 3.97 ± 0.16 | 4.37 ± 0.23 | 4.09 ± 0.13 | 4.14 | 82.73 |
| after 6 months | avr | 4.16 ± 0.19 | 3.97 ± 0.36 | 3.91 ± 0.19 | 3.66 ± 0.32 | 3.28 ± 0.39 | 3.75 | 75.04 | |
| B2 | fresh | avr | 4.72 ± 0.25 | 4.37 ± 0.19 | 4.19 ± 0.18 | 4.69 ± 0.26 | 4.66 ± 0.23 | 4.52 | 90.46 |
| after 6 months | avr | 4.22 ± 0.25 | 3.94 ± 0.32 | 3.87 ± 0.27 | 3.91 ± 0.42 | 3.69 ± 0.39 | 3.90 | 77.99 | |
| C2 | fresh | avr | 4.75 ± 0.33 | 4.56 ± 0.18 | 4.56 ± 0.18 | 4.69 ± 0.26 | 4.87 ± 0.13 | 4.69 | 93.84 |
| after 6 months | avr | 4.28 ± 0.16 | 4.00 ± 0.19 | 4.00 ± 0.27 | 4.06 ± 0.29 | 3.91 ± 0.30 | 4.03 | 80.63 | |
| D2 | fresh | avr | 4.25 ± 0.40 | 4.00 ± 0.13 | 3.72 ± 0.16 | 4.41 ± 0.23 | 4.25 ± 0.00 | 4.13 | 82.52 |
| after 6 months | avr | 4.12 ± 0.40 | 3.94 ± 0.26 | 4.00 ± 0.27 | 4.10 ± 0.23 | 3.94 ± 0.42 | 4.01 | 80.22 |
Disclaimer/Publisher’s Note: The statements, opinions and data contained in all publications are solely those of the individual author(s) and contributor(s) and not of MDPI and/or the editor(s). MDPI and/or the editor(s) disclaim responsibility for any injury to people or property resulting from any ideas, methods, instructions or products referred to in the content. |
© 2025 by the authors. Licensee MDPI, Basel, Switzerland. This article is an open access article distributed under the terms and conditions of the Creative Commons Attribution (CC BY) license (https://creativecommons.org/licenses/by/4.0/).
Share and Cite
Mitrevski, J.; Pantelić, N.Đ.; Laličić-Petronijević, J.; Kojić, J.S.; Zlatanović, S.; Gorjanović, S.; Avramov, S.; Dodevska, M.S.; Antić, V.V. Low Glycemic Index Biscuits Enriched with Beetroot Powder as a Source of Betaine and Mineral Nutrients. Foods 2025, 14, 814. https://doi.org/10.3390/foods14050814
Mitrevski J, Pantelić NĐ, Laličić-Petronijević J, Kojić JS, Zlatanović S, Gorjanović S, Avramov S, Dodevska MS, Antić VV. Low Glycemic Index Biscuits Enriched with Beetroot Powder as a Source of Betaine and Mineral Nutrients. Foods. 2025; 14(5):814. https://doi.org/10.3390/foods14050814
Chicago/Turabian StyleMitrevski, Jasmina, Nebojša Đ. Pantelić, Jovanka Laličić-Petronijević, Jovana S. Kojić, Snežana Zlatanović, Stanislava Gorjanović, Stevan Avramov, Margarita S. Dodevska, and Vesna V. Antić. 2025. "Low Glycemic Index Biscuits Enriched with Beetroot Powder as a Source of Betaine and Mineral Nutrients" Foods 14, no. 5: 814. https://doi.org/10.3390/foods14050814
APA StyleMitrevski, J., Pantelić, N. Đ., Laličić-Petronijević, J., Kojić, J. S., Zlatanović, S., Gorjanović, S., Avramov, S., Dodevska, M. S., & Antić, V. V. (2025). Low Glycemic Index Biscuits Enriched with Beetroot Powder as a Source of Betaine and Mineral Nutrients. Foods, 14(5), 814. https://doi.org/10.3390/foods14050814

