Improvement of Esterifying Power of Isolated Bacillus velezensis from Daqu by Atmospheric Pressure and Room Temperature Plasma Mutagenesis
Abstract
1. Introduction
2. Materials and Methods
2.1. Isolation of Strains from Daqu
2.2. Acid and Gas Production Assays
2.3. Colony Morphology Observation, Growth Curve Determination, and Evolutionary Analysis
2.4. ARTP Mutagenesis of Isolated Strains
2.5. Screening of Mutagenized Strains
2.6. Fermentation Condition Optimization for Mutagenized Strains
2.7. Enzyme Activity and Stability Assays
2.8. Evaluation of Mutagenized Strain Performance in Artificial Esterification Systems
2.9. Statistical Analysis
3. Results and Analysis
3.1. Isolation of Strains and Screening for Potential Hexanoic Acid-Producing Strains
3.2. Identification and Growth Curve Determination of Strain WY4
3.3. ARTP Mutagenesis and Screening of High Acid- and Ester-Producing Strains
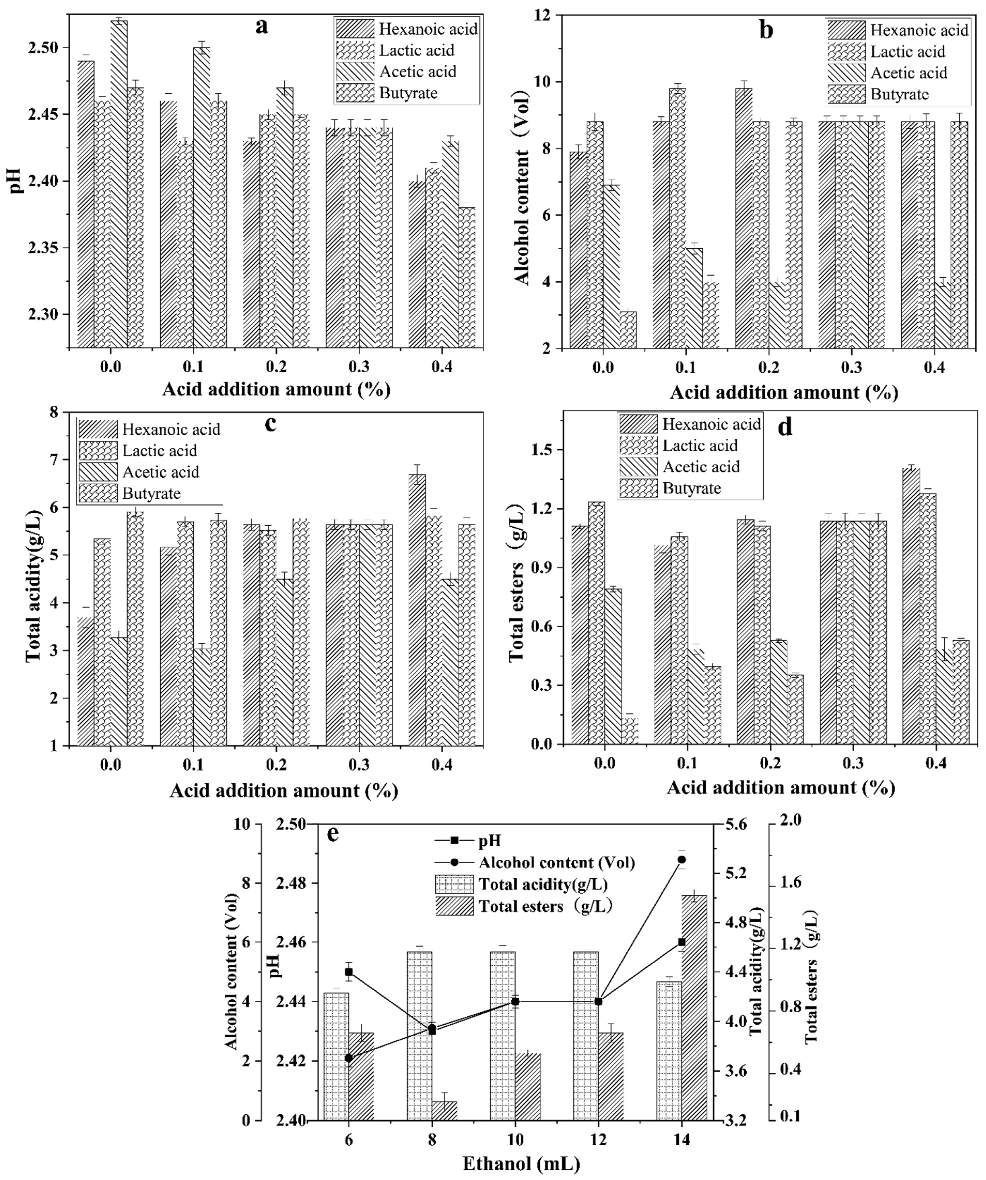
3.4. Optimization of Fermentation Conditions for the Mutagenized Strain
3.5. Changes in Enzyme Activity and Esterification Capacity of Mutagenized Strains
3.6. Evaluation of Mutagenized Strain Performance in an Artificial Esterification System
4. Discussion
5. Conclusions
Author Contributions
Funding
Institutional Review Board Statement
Informed Consent Statement
Data Availability Statement
Conflicts of Interest
References
- Tu, W.; Cao, X.; Cheng, J.; Li, L.; Zhang, T.; Wu, Q.; Xiang, P.; Shen, C.; Li, Q. Chinese Baijiu: The Perfect Works of Microorganisms. Front. Microbiol. 2022, 13, 919044. [Google Scholar] [CrossRef] [PubMed]
- Kang, J.; Huang, X.; Li, R.; Zhang, Y.; Chen, X.-X.; Han, B.-Z. Deciphering the core microbes and their interactions in spontaneous Baijiu fermentation: A comprehensive review. Food Res. Int. 2024, 188, 114497. [Google Scholar] [CrossRef]
- Zhang, P.; Liu, Y.; Li, H.; Hui, M.; Pan, C. Strategies and Challenges of Microbiota Regulation in Baijiu Brewing. Foods 2024, 13, 1954. [Google Scholar] [CrossRef] [PubMed]
- Fan, J.; Qu, G.; Wang, D.; Chen, J.; Du, G.; Fang, F. Synergistic Fermentation with Functional Microorganisms Improves Safety and Quality of Traditional Chinese Fermented Foods. Foods 2023, 12, 2892. [Google Scholar] [CrossRef] [PubMed]
- Jin, X.; Wang, H.; Tian, H.; Hu, Y.; Peng, N.; Zhao, S. Caproiciproducens converts lactic acid into caproic acid during Chinese strong-flavor Baijiu brewing. Int. J. Food Microbiol. 2025, 426, 110931. [Google Scholar] [CrossRef]
- Wan, Y.; Huang, J.; Tang, Q.; Zhang, S.; Qin, H.; Dong, Y.; Wang, X.; Qiu, C.; Huang, M.; Zhang, Z.; et al. Characterizing the Contribution of Functional Microbiota Cultures in Pit Mud to the Metabolite Profiles of Fermented Grains. Foods 2024, 13, 1597. [Google Scholar] [CrossRef] [PubMed]
- Nwaiwu, O. Advances in Research on Beverages, Food, Yeast and Brewing. Fermentation 2024, 10, 636. [Google Scholar] [CrossRef]
- Mu, Y.; Huang, J.; Zhou, R.; Zhang, S.; Qin, H.; Tang, H.; Pan, Q.; Tang, H. Response and assembly of abundant and rare taxa in Zaopei under different combination patterns of Daqu and pit mud: From microbial ecology to Baijiu brewing microecosystem. Food Sci. Hum. Wellness 2024, 13, 1439–1452. [Google Scholar] [CrossRef]
- Liu, M.-K.; Tian, X.-H.; Liu, C.-Y.; Liu, Y.; Tang, Y.-M. Microbiologic surveys for Baijiu fermentation are affected by experimental design. Int. J. Food Microbiol. 2024, 413, 110588. [Google Scholar] [CrossRef]
- He, G.; Gao, L.; Deng, Y.; Jiao, W.; Wang, J.; Wei, Y.; Zhou, J. Microbial succession in different years of pit mud from a distillery in Sichuan for Nong-xiang Baijiu fermentation. Food Sci. Biotechnol. 2024, 33, 3083–3092. [Google Scholar] [CrossRef]
- Sun, W.; Shahrajabian, M.H.; Lin, M. Research Progress of Fermented Functional Foods and Protein Factory-Microbial Fermentation Technology. Fermentation 2022, 8, 688. [Google Scholar] [CrossRef]
- Chen, X.; Song, C.; Zhao, J.; Xiong, Z.; Peng, L.; Zou, L.; Shen, C.; Li, Q. Application of Strain Selection Technology in Alcoholic Beverages: A Review. Foods 2024, 13, 1396. [Google Scholar] [CrossRef] [PubMed]
- Wu, X.; Zhao, X.; Wang, L.; Chen, B.; Li, F.; Tang, Z.; Wu, F. Unraveling the regional environmental ecology dominated baijiu fermentation microbial community succession and associated unique flavor. Front. Microbiol. 2024, 15, 1487359. [Google Scholar] [CrossRef] [PubMed]
- Xiong, Z.; Chen, X.; Wu, Q.; Zou, Z.; Xiao, W.; Song, C.; Shen, C.; Liu, B.; Li, Q. Fermentation of buckwheat rice wine based on a new mixed Jiuqu and its quality evaluation. LWT 2025, 215, 117255. [Google Scholar] [CrossRef]
- Chen, X.; Song, C.; Zhao, J.; Xiong, Z.; Peng, L.; Zou, L.; Liu, B.; Li, Q. Effect of a New Fermentation Strain Combination on the Fermentation Process and Quality of Highland Barley Yellow Wine. Foods 2024, 13, 2193. [Google Scholar] [CrossRef] [PubMed]
- Cai, W.; Wan, Y.; Chen, Y.; Fan, H.; Li, M.; Wu, S.; Lin, P.; Zeng, T.; Luo, H.; Huang, D.; et al. Transcriptomics to evaluate the influence mechanisms of ethanol on the ester production of Wickerhamomyces anomalus with the induction of lactic acid. Food Microbiol. 2024, 122, 104556. [Google Scholar] [CrossRef] [PubMed]
- Zhao, J.; Wang, Q.; Ren, Z.; Yang, C.; Guan, S.; Wang, X.; Huang, Y.; Yao, R.; Yin, H. Legendary fermented herbs: An ethnobotanical study of the traditional fermentation starter of the Chuanqing people in Northwestern Guizhou, China. J. Ethnobiol. Ethnomed. 2024, 20, 84. [Google Scholar] [CrossRef] [PubMed]
- Xiong, Z.; Chen, X.; Zou, Z.; Peng, L.; Zou, L.; Liu, B.; Li, Q. Improving efficiency of bacterial degradation of polyethylene microplastics using atmospheric and room temperature plasma mutagenesis. Bioresour. Technol. 2025, 418, 131930. [Google Scholar] [CrossRef]
- Li, Q.; Yuan, W.; Deng, X.; Chen, Y.; Li, L.; Chen, L.; Che, R.; Huang, W.; Wu, Y.; Wang, C.; et al. High lead-tolerant mutant Bacillus tropicus AT31-1 from rhizosphere soil of Pu-erh and its remediation mechanism. Bioresour. Technol. 2025, 416, 131751. [Google Scholar] [CrossRef] [PubMed]
- Bao, Z.; Wang, X.; Wang, Q.; Zou, L.; Peng, L.; Li, L.; Tu, W.; Li, Q. A novel method of domestication combined with ARTP to improve the reduction ability of Bacillus velezensis to Cr(VI). J. Environ. Chem. Eng. 2023, 11, 109091. [Google Scholar] [CrossRef]
- Suo, B.; Castro, M.P.; Sreenivasa, M.Y. Editorial: Microbiota biodiversity of traditional fermented products. Front. Microbiol. 2024, 15, 1380205. [Google Scholar] [CrossRef]
- Tantray, J.A.; Mansoor, S.; Wani, R.F.C.; Nissa, N.U. Chapter 41—Streak plate method. In Basic Life Science Methods; Tantray, J.A., Mansoor, S., Wani, R.F.C., Nissa, N.U., Eds.; Academic Press: Cambridge, MA, USA, 2023; pp. 171–173. [Google Scholar] [CrossRef]
- Wang, C.; Han, L.; Zhang, G.W.; Du, H.S.; Wu, Z.Z.; Liu, Q.; Guo, G.; Huo, W.J.; Zhang, J.; Zhang, Y.L.; et al. Effects of copper sulphate and coated copper sulphate addition on lactation performance, nutrient digestibility, ruminal fermentation and blood metabolites in dairy cows. Br. J. Nutr. 2021, 125, 251–259. [Google Scholar] [CrossRef] [PubMed]
- Azhar, S.; Aihetasham, A.; Chaudhary, A.; Hussain, Z.; Abdul Rehman, R.; Abbas, G.; Alharbi, S.A.; Ansari, M.J.; Qamer, S. Cellulolytic and Ethanologenic Evaluation of Heterotermes indicola’s Gut-Associated Bacterial Isolates. ACS Omega 2024, 9, 12084–12100. [Google Scholar] [CrossRef] [PubMed]
- Srinivasan, R.; Karaoz, U.; Volegova, M.; MacKichan, J.; Kato-Maeda, M.; Miller, S.; Nadarajan, R.; Brodie, E.L.; Lynch, S.V. Use of 16S rRNA gene for identification of a broad range of clinically relevant bacterial pathogens. PLoS ONE 2015, 10, e0117617. [Google Scholar] [CrossRef] [PubMed]
- GB/T 10781.1-2021; Quality Requirements for Baijiu—Part 1: Nongxiangxing Caijiu. National Standards of People’s Republic of China: Beijing, China, 2021.
- Yoo, Y.J.; Hong, J.; Hatch, R.T. Comparison of alpha-amylase activities from different assay methods. Biotechnol. Bioeng. 1987, 30, 147–151. [Google Scholar] [CrossRef]
- Li, Z.; Bai, Z.; Wang, D.; Zhang, W.; Zhang, M.; Lin, F.; Gao, L.; Hui, B.; Zhang, H. Cultivable bacterial diversity and amylase production in three typical Daqus of Chinese spirits. Int. J. Food Sci. Technol. 2014, 49, 776–786. [Google Scholar] [CrossRef]
- Sun, Q.; Zhang, B.; Yan, Q.J.; Jiang, Z.Q. Comparative analysis on the distribution of protease activities among fruits and vegetable resources. Food Chem. 2016, 213, 708–713. [Google Scholar] [CrossRef] [PubMed]
- Chen, C.; Zheng, Z.; Wang, Y.; Ji, X.; Li, D.; Li, P.; Liu, Y. Function-driven high-throughput screening and isolation of ester-producing strains for glutinous rice wine fermentation. Food Res. Int. 2025, 199, 115393. [Google Scholar] [CrossRef] [PubMed]
- Wan, B.; Tian, T.; Xiong, Y.; Wang, S.; Luo, X.; Liao, W.; Liu, P.; Miao, L.; Gao, R. Isolation and Evaluation of Rhizopus arrhizus Strains from Traditional Rice Wine Starters (Jiuqu): Enzyme Activities, Antioxidant Capacity, and Flavour Compounds. Foods 2025, 14, 312. [Google Scholar] [CrossRef] [PubMed]
- Liu, P.; Miao, L. Multiple Batches of Fermentation Promote the Formation of Functional Microbiota in Chinese Miscellaneous-Flavor Baijiu Fermentation. Front. Microbiol. 2020, 11, 75. [Google Scholar] [CrossRef]
- Yang, W.; Lv, Z.; Liu, H.; Zhang, Q.; Qiao, C.; Nawaz, M.; Jiao, Z.; Liu, J. Effect of Organic Acid Addition Before Fermentation on the Physicochemical and Sensory Properties of Cherry Wine. Foods 2024, 13, 3902. [Google Scholar] [CrossRef] [PubMed]
- Lan, W.; Zhang, M.; Xie, X.; Li, R.; Cheng, W.; Ma, T.; Zhou, Y. Effects of Cultivar Factors on Fermentation Characteristics and Volatile Organic Components of Strawberry Wine. Foods 2024, 13, 2874. [Google Scholar] [CrossRef]
- Nie, X.; Jia, X.; Zhu, K.; Ling, Z.; Chen, H.; Xie, J.; Ao, Z.; Song, C.; Shen, C.; Zhu, C.; et al. Dynamic Changes and Potential Correlations between Microbial Diversity and Volatile Flavor Compounds in Chinese Medium-Temperature Daqu during Manufacturing. Molecules 2024, 29, 4851. [Google Scholar] [CrossRef] [PubMed]
- Zhao, J.; Gao, Z. Dynamic changes in microbial communities and flavor during different fermentation stages of proso millet Baijiu, a new product from Shanxi light-flavored Baijiu. Front. Microbiol. 2024, 15, 1333466. [Google Scholar] [CrossRef] [PubMed]
- Liu, S.; Zhao, L.; Li, M.; Zhu, Y.; Liang, D.; Ma, Y.; Sun, L.; Zhao, G.; Tu, Q. Probiotic Bacillus as fermentation agents: Status, potential insights, and future perspectives. Food Chem. X 2024, 22, 101465. [Google Scholar] [CrossRef] [PubMed]
- Xu, B.; Xu, S.; Cai, J.; Sun, W.; Mu, D.; Wu, X.; Li, X. Analysis of the microbial community and the metabolic profile in medium-temperature Daqu after inoculation with Bacillus licheniformis and Bacillus velezensis. LWT 2022, 160, 113214. [Google Scholar] [CrossRef]
- Li, H.; Liu, S.; Liu, Y.; Hui, M.; Pan, C. Functional microorganisms in Baijiu Daqu: Research progress and fortification strategy for application. Front. Microbiol. 2023, 14, 1119675. [Google Scholar] [CrossRef] [PubMed]
- Qiang, W.; Ling-ran, F.; Luo, W.; Han-guang, L.; Lin, W.; Ya, Z.; Xiao-bin, Y. Mutation Breeding of Lycopene-Producing Strain Blakeslea Trispora by a Novel Atmospheric and Room Temperature Plasma (ARTP). Appl. Biochem. Biotechnol. 2014, 174, 452–460. [Google Scholar] [CrossRef] [PubMed]
- Kong, X.; He, A.; Zhao, J.; Wu, H.; Ma, J.; Wei, C.; Jin, W.; Jiang, M. Efficient acetone–butanol–ethanol (ABE) production by a butanol-tolerant mutant of Clostridium beijerinckii in a fermentation–pervaporation coupled process. Biochem. Eng. J. 2016, 105, 90–96. [Google Scholar] [CrossRef]
- He, G.; Huang, J.; Zhou, R.; Wu, C.; Jin, Y. Effect of Fortified Daqu on the Microbial Community and Flavor in Chinese Strong-Flavor Liquor Brewing Process. Front. Microbiol. 2019, 10, 56. [Google Scholar] [CrossRef]
- Zhao, G.; Zhou, Z.; Li, Z.; Liu, S.; Shan, Z.; Cheng, F.; Zhou, W.; Mao, J. The differences in main components, enzyme activity, and microbial composition between substandard and normal jiuyao. J. Sci. Food Agric. 2023, 103, 4293–4302. [Google Scholar] [CrossRef] [PubMed]







| Acid and Alcohol (mL) | Treatment | ||||
|---|---|---|---|---|---|
| 1 | 2 | 3 | 4 | 5 | |
| Caproic acid | 0 | 0.1 | 0.2 | 0.3 | 0.4 |
| Lactic acid | 0 | 0.1 | 0.2 | 0.3 | 0.4 |
| Acetic acid | 0 | 0.1 | 0.2 | 0.3 | 0.4 |
| Butyric acid | 0 | 0.1 | 0.2 | 0.3 | 0.4 |
| Ethanol | 6 | 8 | 10 | 12 | 14 |
| Testing Index | Mutagenized Strain WY4-3 | Wild Strain WY4 |
|---|---|---|
| Amylase activity (U/mL) | 41.743 ± 0.140 | 38.251 ± 0.291 |
| Glucoamylase activity (mg/mL) | 1.170 ± 0.065 | 0.580 ± 0.070 |
| Protease activity (μg/mL) | 15.499 ± 0.016 | 39.335 ± 0.031 |
| Esterifying power (mg/g) | 205.660 ± 5.480 | 30.528 ± 2.060 |
Disclaimer/Publisher’s Note: The statements, opinions and data contained in all publications are solely those of the individual author(s) and contributor(s) and not of MDPI and/or the editor(s). MDPI and/or the editor(s) disclaim responsibility for any injury to people or property resulting from any ideas, methods, instructions or products referred to in the content. |
© 2025 by the authors. Licensee MDPI, Basel, Switzerland. This article is an open access article distributed under the terms and conditions of the Creative Commons Attribution (CC BY) license (https://creativecommons.org/licenses/by/4.0/).
Share and Cite
Song, C.; Guan, T.; Xiong, Z.; Chen, X.; Tu, W.; Xu, Y.; Yan, X.; Li, Q. Improvement of Esterifying Power of Isolated Bacillus velezensis from Daqu by Atmospheric Pressure and Room Temperature Plasma Mutagenesis. Foods 2025, 14, 800. https://doi.org/10.3390/foods14050800
Song C, Guan T, Xiong Z, Chen X, Tu W, Xu Y, Yan X, Li Q. Improvement of Esterifying Power of Isolated Bacillus velezensis from Daqu by Atmospheric Pressure and Room Temperature Plasma Mutagenesis. Foods. 2025; 14(5):800. https://doi.org/10.3390/foods14050800
Chicago/Turabian StyleSong, Chuan, Tongwei Guan, Zhuang Xiong, Xiaodie Chen, Wenying Tu, Yanping Xu, Xiyue Yan, and Qiang Li. 2025. "Improvement of Esterifying Power of Isolated Bacillus velezensis from Daqu by Atmospheric Pressure and Room Temperature Plasma Mutagenesis" Foods 14, no. 5: 800. https://doi.org/10.3390/foods14050800
APA StyleSong, C., Guan, T., Xiong, Z., Chen, X., Tu, W., Xu, Y., Yan, X., & Li, Q. (2025). Improvement of Esterifying Power of Isolated Bacillus velezensis from Daqu by Atmospheric Pressure and Room Temperature Plasma Mutagenesis. Foods, 14(5), 800. https://doi.org/10.3390/foods14050800

