Curdlan Incorporation Enhances the Cooking, Rheological, and Textural Attributes of Thermally Sterilized Rice Noodles
Abstract
1. Introduction
2. Materials and Methods
2.1. Materials
2.2. Preparation of Samples
2.3. Rheological Test
2.4. Kinetic Analysis
2.5. Scanning Electron Microscopy (SEM)
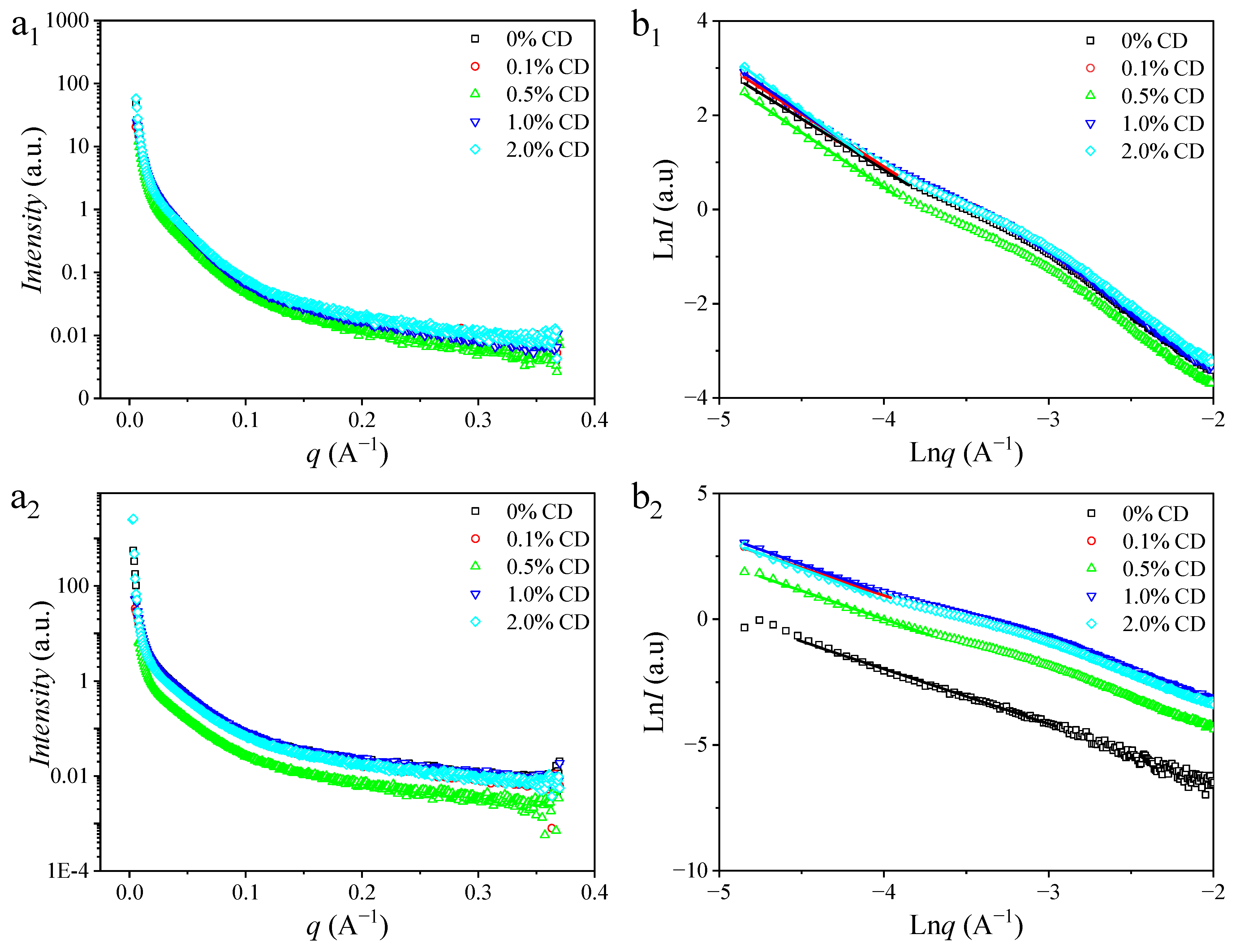
2.6. Small-Angle X-Ray Scattering (SAXS)
2.7. Fourier-Transform Infrared (FTIR)
2.8. Textural Analysis
2.9. Cooking Characteristics
2.10. Sensory Evaluation
2.11. Statistical Analysis
3. Results and Discussion
3.1. Rheological Study of Rice Flour Gels Containing Curdlan
3.2. Kinetic Analysis of Gel Generation
3.3. Structures and Application-Related Attributes of Rice Noodles
3.3.1. Supramolecular Structure
3.3.2. Textural Properties
3.3.3. FTIR
3.3.4. SEM
3.3.5. Cooking Characteristics
3.3.6. Sensory Quality
4. Conclusions
Supplementary Materials
Author Contributions
Funding
Institutional Review Board Statement
Informed Consent Statement
Data Availability Statement
Acknowledgments
Conflicts of Interest
References
- Gao, L.; Xu, Z.; Zhang, R.; Qin, Y.; Ji, N.; Wang, Y.; Xiong, L.; Sun, Q. Effects of erythritol on rheological properties of rice flour and structural characteristics of extruded dried rice noodles with rapid rehydration behaviors. Food Hydrocoll. 2023, 144, 109007. [Google Scholar] [CrossRef]
- Ye, Y.; Liao, L.; Yang, R.; Zhang, S.; Zhang, J.; Zhang, J.; Wu, W.; Zhang, Y. Inhibitory effect of different degree of polymerization inulin on the retrogradation of rice starch gels and fresh rice noodles. LWT—Food Sci. Technol. 2024, 213, 117001. [Google Scholar] [CrossRef]
- Auksornsri, T.; Bornhorst, E.R.; Tang, J.; Tang, Z.; Songsermpong, S. Developing model food systems with rice based products for microwave assisted thermal sterilization. LWT—Food Sci. Technol. 2018, 96, 551–559. [Google Scholar] [CrossRef]
- Huang, J.; Lai, P.; Xiang, L.; Lin, B.; Li, W.; Yu, W.; Wang, Q. Influences of Weizmannia coagulans PR06 Fermentation on Texture, Cooking Quality and Starch Digestibility of Oolong Tea-Fortified Rice Noodles. Foods 2024, 13, 2673. [Google Scholar] [CrossRef]
- Kraithong, S.; Theppawong, A.; Lee, S.; Huang, R. Understanding of hydrocolloid functions for enhancing the physicochemical features of rice flour and noodles. Food Hydrocoll. 2023, 142, 108821. [Google Scholar] [CrossRef]
- Hou, X.; Liu, X.; Zhao, G.; Zhang, B.; Jiang, F.; Qiao, D. Self-assembly of curdlan molecules for the formation of thermally induced gels. Food Hydrocoll. 2024, 156, 110335. [Google Scholar] [CrossRef]
- Chen, T.-T.; Liu, D.; Li, L.-Q.; Jin, M.-Y.; Yu, Y.-H.; Yan, J.-K. Enhancement of gel characteristics of curdlan thermo-irreversible gels by β-cyclodextrin and its possible mechanisms. Food Chem. 2025, 467, 142320. [Google Scholar] [CrossRef] [PubMed]
- Zhong, G.; Wang, Z.; Chen, Q.; He, Z.; Zeng, M.; Qin, F.; Chen, J. Effects of Different Non-Ionic Polysaccharides on the Heat-Induced Gelling Properties of Curdlan. Polymers 2024, 16, 3345. [Google Scholar] [CrossRef]
- Zhang, L.; Yue, L.-N.; Qian, J.-Y.; Ding, X.-L. Effect of curdlan on the rheological properties of hydroxypropyl methylcellulose. Foods 2020, 10, 34. [Google Scholar] [CrossRef] [PubMed]
- Kuang, J.; Yang, Q.; Huang, J.; Cao, Y.; Pu, H.; Ma, W.; Min, C.; Xiong, Y.L. Curdlan-induced rheological, thermal and structural property changes of wheat dough components during heat treatment. J. Cereal Sci. 2022, 107, 103528. [Google Scholar] [CrossRef]
- Xin, Y.; Lee, J.Y.; Kim, J.; Kim, Y. Effect of curdlan on textural and cooking qualities of noodles made with tofu. J. Food Process. Preserv. 2018, 42, e13661. [Google Scholar] [CrossRef]
- Li, C.; Chen, D.; Lu, R.; Gu, Z.; Ban, X.; Hong, Y.; Cheng, L.; Li, Z. Effect of curdlan on processing and eating quality of rice noodles. Shipin Kexue/Food Sci. 2021, 42, 23–28. [Google Scholar] [CrossRef]
- Gao, L.; Guan, M.; Qin, Y.; Ji, N.; Wang, Y.; Li, Y.; Li, M.; Xiong, L.; Sun, Q. Utilization of heat-induced curdlan gel to improve the cooking qualities of thermally sterilized fresh rice noodles. Int. J. Biol. Macromol. 2024, 262, 129693. [Google Scholar] [CrossRef]
- Kim, Y.; Kee, J.I.; Lee, S.; Yoo, S.-H. Quality improvement of rice noodle restructured with rice protein isolate and transglutaminase. Food. Chem. 2014, 145, 409–416. [Google Scholar] [CrossRef] [PubMed]
- Zainab, S.; Zhou, X.; Zhang, Y.; Tanweer, S.; Mehmood, T. Suitability of early indica rice for the preparation of rice noodles by its starch properties analysis. Food Chem. X 2024, 24, 101921. [Google Scholar] [CrossRef] [PubMed]
- Gunaratne, A.; Ranaweera, S.; Corke, H. Thermal, pasting, and gelling properties of wheat and potato starches in the presence of sucrose, glucose, glycerol, and hydroxypropyl β-cyclodextrin. Carbohydr. Polym. 2007, 70, 112–122. [Google Scholar] [CrossRef]
- Abidnejad, R.; Baniasadi, H.; Fazeli, M.; Lipponen, S.; Kontturi, E.; Rojas, O.J.; Mattos, B.D. High-fiber content composites produced from mixed textile waste: Balancing cotton and polyester fibers for improved composite performance. Int. J. Biol. Macromol. 2024, 292, 139227. [Google Scholar] [CrossRef]
- Alkabaa, A.S.; Akcicek, A.; Taylan, O.; Balubaid, M.; Alamoudi, M.; Gulzar, W.A.; Alidrisi, H.; Dertli, E.; Karasu, S. Production of Novel Bigels from Cold Pressed Chia Seed Oil By-Product: Application in Low-Fat Mayonnaise. Foods 2024, 13, 574. [Google Scholar] [CrossRef] [PubMed]
- Zhang, B.; Bai, Y.; Li, X.; Wang, Y.; Dong, J.; Jin, Z. Effects of molecular entanglements in amylopectin on the anti-thixotropy, gel properties and viscosity properties. Food Hydrocoll. 2024, 154, 110115. [Google Scholar] [CrossRef]
- Ortega-Ojeda, F.E.; Larsson, H.; Eliasson, A.-C. Gel formation in mixtures of amylose and high amylopectin potato starch. Carbohydr. Polym. 2004, 57, 55–66. [Google Scholar] [CrossRef]
- Kastner, H.; Einhorn-Stoll, U.; Senge, B. Structure formation in sugar containing pectin gels—Influence of Ca2+ on the gelation of low-methoxylated pectin at acidic pH. Food Hydrocoll. 2012, 27, 42–49. [Google Scholar] [CrossRef]
- Liu, Z.; Ruan, M.; Ha, S.; Chitrakar, B.; Li, H.; Hu, L.; Mo, H. Effect of curcumin/cyclodextrin composite on the gelation and 3D printability of ĸ-carrageenan in the sucrose co-solute field. J. Food Eng. 2025, 391, 112441. [Google Scholar] [CrossRef]
- Tomšič, M.; Prossnigg, F.; Glatter, O. A thermoreversible double gel: Characterization of a methylcellulose and κ-carrageenan mixed system in water by SAXS, DSC and rheology. J. Colloid Interface Sci. 2008, 322, 41–50. [Google Scholar] [CrossRef]
- Qiao, D.; Tu, W.; Wang, Z.; Yu, L.; Zhang, B.; Bao, X.; Jiang, F.; Lin, Q. Influence of crosslinker amount on the microstructure and properties of starch-based superabsorbent polymers by one-step preparation at high starch concentration. Int. J. Biol. Macromol. 2019, 129, 679–685. [Google Scholar] [CrossRef]
- Liu, X.; Xu, Z.; Liu, X.; Zhang, C.; Ma, M.; Sui, Z.; Corke, H. Lamellar structure changes in rice starch during α-amylase hydrolysis: Effect of starch granule surface and channel proteins. Food Biosci. 2024, 61, 104502. [Google Scholar] [CrossRef]
- Klimek, K.; Przekora, A.; Benko, A.; Niemiec, W.; Blazewicz, M.; Ginalska, G. The use of calcium ions instead of heat treatment for β-1,3-glucan gelation improves biocompatibility of the β-1,3-glucan/HA bone scaffold. Carbohydr. Polym. 2017, 164, 170–178. [Google Scholar] [CrossRef] [PubMed]
- Zhou, L.; Fu, J.; Bian, L.; Chang, T.; Zhang, C. Preparation of a novel curdlan/bacterial cellulose/cinnamon essential oil blending film for food packaging application. Int. J. Biol. Macromol. 2022, 212, 211–219. [Google Scholar] [CrossRef]
- Tao, H.; Guo, L.; Qin, Z.; Yu, B.; Wang, Y.; Li, J.; Wang, Z.; Shao, X.; Dou, G.; Cui, B. Textural characteristics of mixed gels improved by structural recombination and the formation of hydrogen bonds between curdlan and carrageenan. Food Hydrocoll. 2022, 129, 107678. [Google Scholar] [CrossRef]
- Luo, S.; Chen, J.; He, J.; Li, H.; Jia, Q.; Hossen, A.; Dai, J.; Qin, W.; Liu, Y. Preparation of corn starch/rock bean protein edible film loaded with d-limonene particles and their application in glutinous rice cake preservation. Int. J. Biol. Macromol. 2022, 206, 313–324. [Google Scholar] [CrossRef] [PubMed]
- Elizondo, N.J.; Sobral, P.J.; Menegalli, F.C. Development of films based on blends of Amaranthus cruentus flour and poly(vinyl alcohol). Carbohydr. Polym. 2009, 75, 592–598. [Google Scholar] [CrossRef]
- Cui, C.; Li, M.; Ji, N.; Qin, Y.; Shi, R.; Qiao, Y.; Xiong, L.; Dai, L.; Sun, Q. Calcium alginate/curdlan/corn starch@calcium alginate macrocapsules for slowly digestible and resistant starch. Carbohydr. Polym. 2022, 285, 119259. [Google Scholar] [CrossRef] [PubMed]










| CD Content | n′ | G0′ (Pa) | R2 | n″ | G0″ (Pa) | R2 |
|---|---|---|---|---|---|---|
| 0% | 0.055 ± 0.000 a | 65,991 ± 1670 a | 0.9956 | 0.148 ± 0.003 a | 5603 ± 140 a | 0.9127 |
| 0.1% | 0.056 ± 0.000 a | 65,761 ± 1065 a | 0.9950 | 0.152 ± 0.004 a,b | 5639 ± 74 a | 0.9173 |
| 0.5% | 0.055 ± 0.001 a | 66,163 ± 269 b | 0.9953 | 0.147 ± 0.003 b,c | 5576 ± 102 b,c | 0.9105 |
| 1.0% | 0.055 ± 0.002 a | 66,895 ± 1995 b,c | 0.9957 | 0.142 ± 0.009 c,d | 5702 ± 334 a,b | 0.9086 |
| 2.0% | 0.058 ± 0.001 a,b | 68,500 ± 417 d | 0.9969 | 0.135 ± 0.002 d | 6400 ± 444 c | 0.9106 |
| CD Content | Sterilization | D | q (Å–1) | d (nm) |
|---|---|---|---|---|
| 0% | without | 2.19 ± 0.01 a | 0.0563 ± 0.0004 a | 11.16 ± 0.08 a |
| with | 2.17 ± 0.01 A | 0.0595 ± 0.0005 A | 10.55 ± 0.09 A | |
| 0.1% | without | 2.23 ± 0.00 b | 0.0579 ± 0.0002 b | 10.85 ± 0.04 b |
| with | 2.22 ± 0.01 B | 0.0609 ± 0.0007 B | 10.32 ± 0.12 B | |
| 0.5% | without | 2.33 ± 0.00 c | 0.0588 ± 0.0006 c | 10.67 ± 0.11 c |
| with | 2.26 ± 0.00 C | 0.0630 ± 0.0003 C | 9.97 ± 0.05 C | |
| 1.0% | without | 2.37 ± 0.01 d | 0.0596 ± 0.0003 c | 10.53 ± 0.04 c |
| with | 2.33 ± 0.01 D | 0.0641 ± 0.0003 D | 9.80 ± 0.05 D | |
| 2.0% | without | 2.58 ± 0.01 e | 0.0609 ± 0.0006 d | 10.32 ± 0.10 d |
| with | 2.42 ± 0.01 E | 0.0647 ± 0.0005 D | 9.70 ± 0.07 D |
| CD Content | Sterilization | WAR (%) | CLR (%) | CBR (%) | Turbidity (Au) |
|---|---|---|---|---|---|
| 0% | without | 30.87 ± 1.53 a | 0.35 ± 0.05 a | 35.71 ± 4.62 a | 0.356 ± 0.038 a |
| with | 35.53 ± 4.24 A | 0.66 ± 0.05 A | 60.97 ± 1.68 A | 0.624 ± 0.067 A | |
| 0.1% | without | 31.04 ± 4.52 a | 0.35 ± 0.05 a | 31.07 ± 2.95 a | 0.373 ± 0.021 a |
| with | 36.01 ± 2.31 A | 0.54 ± 0.06 B | 55.60 ± 5.34 A | 0.532 ± 0.058 B | |
| 0.5% | without | 31.10 ± 2.21 a | 0.34 ± 0.05 a | 30.30 ± 4.20 a,b | 0.363 ± 0.127 a |
| with | 37.34 ± 2.72 A | 0.29 ± 0.03 C | 37.60 ± 7.23 B | 0.487 ± 0.018 B | |
| 1.0% | without | 31.13 ± 1.92 a | 0.28 ± 0.04 a,b | 29.32 ± 2.90 a,b | 0.223 ± 0.017 b |
| with | 39.33 ± 1.63 A | 0.27 ± 0.02 C | 34.30 ± 2.96 B | 0.389 ± 0.037 C | |
| 2.0% | without | 36.44 ± 0.98 b | 0.23 ± 0.00 b | 23.50 ± 3.36 b | 0.218 ± 0.015 b |
| with | 40.31 ± 2.84 A | 0.21 ± 0.01 C | 15.42 ± 4.54 C | 0.217 ± 0.008 C |
Disclaimer/Publisher’s Note: The statements, opinions and data contained in all publications are solely those of the individual author(s) and contributor(s) and not of MDPI and/or the editor(s). MDPI and/or the editor(s) disclaim responsibility for any injury to people or property resulting from any ideas, methods, instructions or products referred to in the content. |
© 2025 by the authors. Licensee MDPI, Basel, Switzerland. This article is an open access article distributed under the terms and conditions of the Creative Commons Attribution (CC BY) license (https://creativecommons.org/licenses/by/4.0/).
Share and Cite
Wang, J.; Liu, Y.; Sun, Q.; Li, M.; Wang, Y.; Xie, F. Curdlan Incorporation Enhances the Cooking, Rheological, and Textural Attributes of Thermally Sterilized Rice Noodles. Foods 2025, 14, 674. https://doi.org/10.3390/foods14040674
Wang J, Liu Y, Sun Q, Li M, Wang Y, Xie F. Curdlan Incorporation Enhances the Cooking, Rheological, and Textural Attributes of Thermally Sterilized Rice Noodles. Foods. 2025; 14(4):674. https://doi.org/10.3390/foods14040674
Chicago/Turabian StyleWang, Jing, Yongxin Liu, Qingjie Sun, Man Li, Yanfei Wang, and Fengwei Xie. 2025. "Curdlan Incorporation Enhances the Cooking, Rheological, and Textural Attributes of Thermally Sterilized Rice Noodles" Foods 14, no. 4: 674. https://doi.org/10.3390/foods14040674
APA StyleWang, J., Liu, Y., Sun, Q., Li, M., Wang, Y., & Xie, F. (2025). Curdlan Incorporation Enhances the Cooking, Rheological, and Textural Attributes of Thermally Sterilized Rice Noodles. Foods, 14(4), 674. https://doi.org/10.3390/foods14040674

