Assessment of the Anti-Listeria Effect of Citrus limon Peel Extract In Silico, In Vitro, and in Fermented Cow Milk During Cold Storage
Abstract
1. Introduction
2. Materials and Methods
2.1. Preparation of Citrus limon Peel Extract (LPE)
2.2. Phytochemical Characterization of Citrus Limon Peel Extract and Antioxidant Activity
2.2.1. Determination of Total Phenol and Flavonoid Contents and Antioxidant Activity
2.2.2. Determination of Aromatic Compounds
2.2.3. Identification of Individual Phenolic Compounds
2.3. In Silico Simulation and Visualization of Anti-Listeria Effects
2.4. In Vitro Anti-Listeria Activity of Citrus limon Peel Extract
2.5. Anti-Listeria Potential of Lemon Peel Extract in Fermented Milk During Storage
2.5.1. Fermented Milk Preparation
2.5.2. Preparation and Inoculum of L. monocytogenes
2.5.3. Fitting of L. monocytogenes Growth Kinetics
2.5.4. Microbiological Analysis
2.5.5. Measurement of pH and Acidity
2.5.6. Antioxidant Activity and Organic Acids Profile of Fermented Milk Samples
2.6. Statistical Analysis
3. Results and Discussion
3.1. LPE Bioactivities
Total Phenol and Flavonoid Contents, Antioxidant Activity and Phytochemical Composition
3.2. Binding Affinity of Selected Phenolic and Volatiles Compounds Against L. monocytogenes Proteins as Determined in Silico
3.3. In Vitro Anti-Listeria Effect of LPE
3.4. Anti-Listeria Effect in Fermented Milk During Storage at 4 °C
3.4.1. Effect of LPE on L. monocytogenes Survival in Fermented Milk and Models Fitting
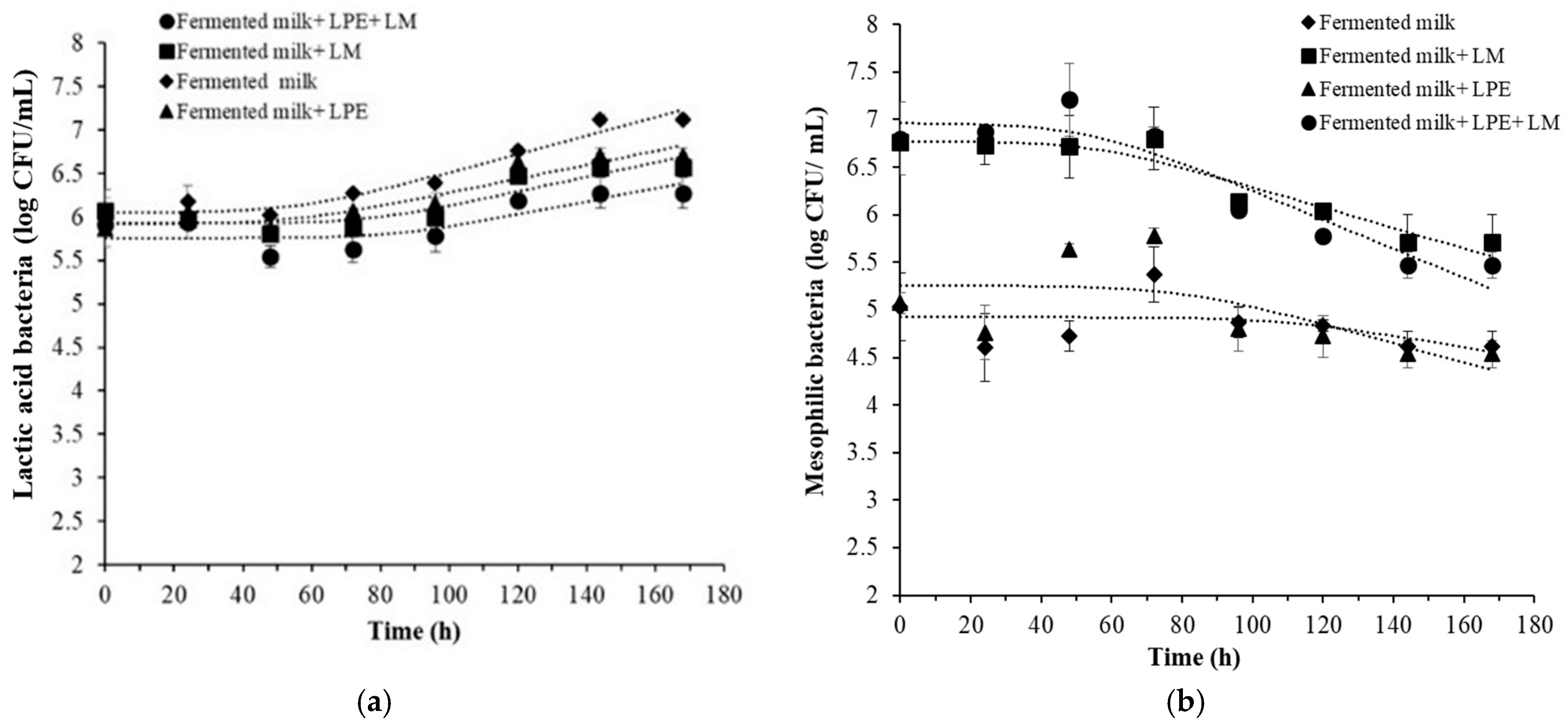
3.4.2. Lactic Acid Bacteria and Total Bacteria Counts
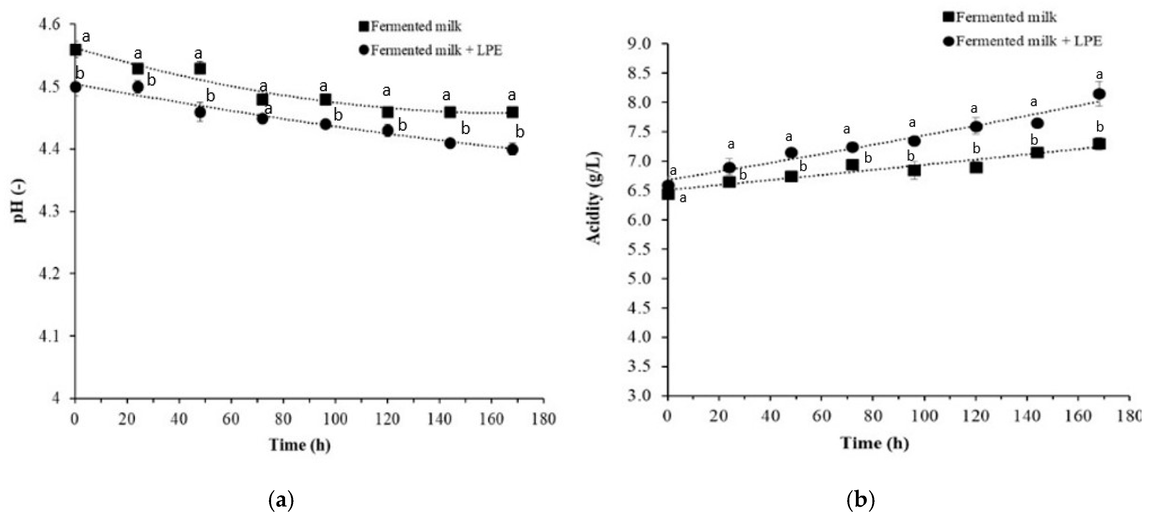
3.4.3. Effect of LPE on pH and Acidity
3.4.4. Organic Acids Profiles and Antioxidant Properties
4. Conclusions
Supplementary Materials
Author Contributions
Funding
Institutional Review Board Statement
Informed Consent Statement
Data Availability Statement
Acknowledgments
Conflicts of Interest
References
- European Food Safety Authority (EFSA); European Centre for Disease Prevention and Control (ECDC). The European Union One Health 2023 Zoonoses report. EFSA J. 2024, 22, e9106. [Google Scholar] [CrossRef]
- Burt, S. Essential oils: Their antibacterial properties and potential applications in foods--a review. Int. J. Food Microbiol. 2004, 94, 223–253. [Google Scholar] [CrossRef] [PubMed]
- Cleveland, J.; Montville, T.J.; Nes, I.F.; Chikindas, M.L. Bacteriocins: Safe, natural antimicrobials for food preservation. Int. J. Food Microbiol. 2001, 71, 1–20. [Google Scholar] [CrossRef] [PubMed]
- Hagens, S.; Loessner, M.J. Bacteriophage for biocontrol of foodborne pathogens: Calculations and considerations. Curr. Pharm. Biotechnol. 2010, 11, 58–68. [Google Scholar] [CrossRef] [PubMed]
- Munir, H.; Yaqoob, S.; Awan, K.A.; Imtiaz, A.; Naveed, H.; Ahmad, N.; Naeem, M.; Sultan, W.; Ma, Y. Unveiling the Chemistry of Citrus Peel: Insights into Nutraceutical Potential and Therapeutic Applications. Foods 2024, 13, 1681. [Google Scholar] [CrossRef] [PubMed]
- M’hiri, N.; Irina, I.; Cédric, P.; Ghoul, M.; Boudhrioua, N. Antioxidants of Maltease orange peel: Comparative investigation of the efficiency of four extraction methods. J. Appl. Pharm. Sci. 2017, 7, 126–135. [Google Scholar]
- Batiha, G.E.S.; Hussein, D.E.; Algammal, A.M.; George, T.T.; Jeandet, P.; Al-Snafi, A.E.; Tiwari, A.; Pagnossa, G.P.; Lima, C.M.; Thorat, N.D.; et al. Application of natural antimicrobials in food preservation: Recent views. Food Control 2021, 126, 108066. [Google Scholar] [CrossRef]
- Noshad, M.; Behbahani, B.A.; Nikfarjam, Z.; Zargari, F. Antimicrobial Activity between Coriandrum Sativum Seed and Cuminum Cyminum Essential Oils against Foodborne Pathogens: A Multi-Ligand Molecular Docking Simulation. LWT 2023, 185, 115217. [Google Scholar] [CrossRef]
- Fathy, H.M.; Abd El-Maksoud, A.A.; Cheng, W.; Elshaghabee, F.M.F. Value-Added Utilization of Citrus Peels in Improving Functional Properties and Probiotic Viability of Acidophilus-Bifidus-Thermophilus (ABT)-Type Synbiotic Yoghurt during Cold Storage. Foods 2022, 11, 2677. [Google Scholar] [CrossRef]
- Tomar, O.; Akarca, G. Effects of Ice Cream Produced with Lemon, Mandarin, and Orange Peel Essential Oils on Some Physicochemical, Microbiological and Sensorial Properties. Kocatepe Vet. J. 2019, 12, 62–70. [Google Scholar] [CrossRef]
- Kandyliari, A.; Potsaki, P.; Bousdouni, P.; Kaloteraki, C.; Christofilea, M.; Almpounioti, K.; Moutsou, A.; Fasoulis, C.K.; Polychronis, L.V.; Gkalpinos, V.K.; et al. Development of Dairy Products Fortified with Plant Extracts: Antioxidant and Phenolic Content Characterization. Antioxidants 2023, 12, 500. [Google Scholar] [CrossRef]
- Busetta, G.; Ponte, M.; Barbera, M.; Alfonzo, A.; Ioppolo, A.; Maniaci, G.; Guarcella, R.; Francesca, N.; Palazzolo, E.; Bonanno, A.; et al. Influence of Citrus Essential Oils on the Microbiological, Physicochemical and Antioxidant Properties of Primosale Cheese. Antioxidants 2022, 11, 2004. [Google Scholar] [CrossRef] [PubMed]
- Fancello, F.; Petretto, G.L.; Marceddu, S.; Venditti, T.; Pintore, G.; Zara, G.; Mannazzu, I.; Budroni, M.; Zara, S. Antimicrobial activity of gaseous Citrus limon var pompia leaf essential oil against Listeria monocytogenes on ricotta salata cheese. Food Microbiol. 2020, 87, 103386. [Google Scholar] [CrossRef] [PubMed]
- EFSA Panel on Biological Hazards (BIOHAZ); Koutsoumanis, K.; Allende, A.; Bolton, D.; Bover-Cid, S.; Chemaly, M.; De Cesare, A.; Herman, L.; Hilbert, F.; Lindqvist, R.; et al. Persistence of microbiological hazards in food and feed production and processing environments. EFSA J. 2024, 22, e8521. [Google Scholar] [CrossRef]
- Ribeiro, A.C.; Almeida, F.A.D.; Medeiros, M.M.; Miranda, B.R.; Pinto, U.M.; Alves, V.F. Listeria monocytogenes: An Inconvenient Hurdle for the Dairy Industry. Dairy 2023, 4, 316–344. [Google Scholar] [CrossRef]
- Polat Yemiş, G.; Sezer, E.; Sıçramaz, H. Inhibitory effect of sodium alginate nanoemulsion coating containing myrtle essential oil (Myrtus communis L.) on Listeria monocytogenes in Kasar cheese. Molecules 2022, 27, 7298. [Google Scholar] [CrossRef] [PubMed]
- M’hiri, N.; Ioannou, I.; Ghoul, M.; Boudhrioua, N.M. Extraction Methods of Citrus Peel Phenolic Compounds. Food Rev. Int. 2014, 30, 265–290. [Google Scholar] [CrossRef]
- Ben Abdallah, M.; Chadni, M.; M’hiri, N.; Brunissen, F.; Rokbeni, N.; Allaf, K.; Besombes, C.; Ioannou, I.; Boudhrioua, N. Intensifying Effect of Instant Controlled Pressure Drop (DIC) Pre-Treatment on Hesperidin Recovery from Orange Byproducts: In Vitro Antioxidant and Antidiabetic Activities of the Extracts. Molecules 2023, 28, 1858. [Google Scholar] [CrossRef] [PubMed]
- Jrad, Z.; Oussaief, O.; Zaidi, S.; Khorchani, T.; El-Hatmi, H. Co-fermentation process strongly affect the nutritional, texture, syneresis, fatty acids and aromatic compounds of dromedary UF-yogurt. J. Food Sci. Technol. 2020, 58, 1727. [Google Scholar] [CrossRef] [PubMed]
- El Hatmi, H.; Jrad, Z.; Mkadem, W.; Chahbani, A.; Oussaief, O.; Ben Zid, M.; Nouha, M.; Zaidi, S.; Khorchani, S.; Belguith, K.; et al. Fortification of soft cheese made from ultrafiltered dromedary milk with Allium roseum powder: Effects on textural, radical scavenging, phenolic profile and sensory characteristics. LWT 2020, 132, 109885. [Google Scholar] [CrossRef]
- Ben Hsouna, A.; Boye, A.; ben Ackacha, B.; Dhifi, W.; ben Saad, R.; Brini, F.; Mnif, W.; Kačániová, M. Thiamine Demonstrates Bio-Preservative and Anti-Microbial Effects in Minced Beef Meat Storage and Lipopolysaccharide (LPS)-Stimulated RAW 264.7 Macrophages. Animals 2022, 12, 1646. [Google Scholar] [CrossRef] [PubMed]
- Sharma, K.; Guleria, S.; Razdan, V. Green synthesis of silver nanoparticles using Ocimum gratissimum leaf extract: Characterization, antimicrobial activity and toxicity analysis. J. Plant Biochem. Biotechnol. 2019, 29, 213–224. [Google Scholar] [CrossRef]
- Mkadem, W.; Belguith, K.; Oussaief, O.; ElHatmi, H.; Indio, V.; Savini, F.; De Cesare, A.; Boudhrioua, N. Systematic approach to select lactic acid bacteria from spontaneously fermented milk able to fight Listeria monocytogens and Staphylococcus aureus. Food Biosci. 2022, 51, 102275. [Google Scholar] [CrossRef]
- Barreto, M.; Escudero, F.G.; Torres, A.; Spadoti, L.M.; Brandelli, A. Draft Genome Sequence and Comparative Genome Analysis Reveal Potential Functional Properties in Lacticaseibacillus paracasei ItalPN16. Curr. Microbiol. 2023, 80, 399. [Google Scholar] [CrossRef]
- Anses-EURL Lm. EURL Listeria Monocytogenes Technical Guidance Document on Challenge Tests and Durability Studies for Assessing Shelf-Life of Ready-to-Eat Foods Related to Listeria Monocytogenes; Version 4; Anses-EU Reference Laboratory for Listeria Monocytogenes: Maisons-Alfort, France, 2021. [Google Scholar]
- Posada-Izquierdo, G.D.; Mazón-Villegas, B.; Redondo-Solano, M.; Huete-Soto, A.; Víquez-Barrantes, D.; Valero, A.; Fallas-Jiménez, P.; García-Gimeno, R.M. Modelling the Effect of Salt Concentration on the Fate of Listeria monocytogenes Isolated from Costa Rican Fresh Cheeses. Foods 2021, 10, 1722. [Google Scholar] [CrossRef]
- ISO 11290-2:2017; Microbiology of the Food Chain—Horizontal Method for the Detection and Enumeration of Listeria monocytogenes and of Listeria spp.—Part 2: Enumeration Method. ISO: Geneva, Switzerland, 2017.
- ISO 15214:1998; Microbiology of Food and Animal Feeding Stuffs—Horizontal Method for the Enumeration of Mesophilic Lactic Acid Bacteria—Colony-Count Technique at 30 Degrees C. ISO: Geneva, Switzerland, 1998.
- ISO 4833-2:2013; Microbiology of the Food Chain—Horizontal Method for the Enumeration of Microorganisms—Part 2: Colony Count at 30 °C by the Surface Plating Technique. ISO: Geneva, Switzerland, 2013.
- Mkadem, W.; Indio, V.; Belguith, K.; Oussaief, O.; Savini, F.; Giacometti, F.; El Hatmi, H.; Serraino, A.; De Cesare, A.; Boudhrioua, N. Influence of Fermentation Container Type on Chemical and Microbiological Parameters of Spontaneously Fermented Cow and Goat Milk. Foods 2023, 12, 1836. [Google Scholar] [CrossRef]
- Dursun, A.; Güler, Z.; Şekerli, Y.E. Characterization of volatile compounds and organic acids in ultra-high-temperature milk packaged in tetra brik cartons. Int. J. Food Prop. 2016, 20, 1511–1521. [Google Scholar] [CrossRef]
- Saleem, M.; Durani, A.I.; Asari, A.; Ahmed, M.; Ahmad, M.; Yousaf, N.; Muddassar, M. Investigation of antioxidant and antibacterial effects of citrus fruits peels extracts using different extracting agents: Phytochemical analysis with in silico studies. Heliyon 2023, 9, e15433. [Google Scholar] [CrossRef]
- Tekgül, Y.; Baysal, T. Comparative evaluation of quality properties and volatile profiles of lemon peels subjected to different drying techniques. J. Food Process Eng. 2018, 41, e12902. [Google Scholar] [CrossRef]
- Jridi, M.; Boughriba, S.; Abdelhedi, O.; Nciri, H.; Nasri, R.; Kchaou, H.; Kaya, M.; Sebai, H.; Zouari, N.; Nasri, M. Investigation of physicochemical and antioxidant properties of gelatin edible film mixed with blood orange (Citrus sinensis) peel extract. Food Packag. Shelf Life 2019, 21, 100342. [Google Scholar] [CrossRef]
- Faralla, C.; Bastounis, E.; Ortega, F.E.; Light, S.H.; Rizzuto, G.; Nocadello, S.; Anderson, W.F.; Robbins, J.R.; Theriot, J.A.; Bakardjiev, A.I. Listeria monocytogenes InlP interacts with afadin and facilitates basement membrane crossing. PLoS Pathog. 2018, 14, e1007094. [Google Scholar] [CrossRef] [PubMed]
- Mir, W.R.; Bhat, B.A.; Rather, M.A.; Muzamil, S.; Almilaibary, A.; Alkhanani, M.; Mir, M.A. Molecular Docking Analysis and Evaluation of the Antimicrobial Properties of the Constituents of Geranium Wallichianum D. Don Ex Sweet from Kashmir Himalaya. Sci. Rep. 2022, 12, 12547. [Google Scholar] [CrossRef] [PubMed]
- Aribisala, J.O.; Sabiu, S. Cheminformatics Identification of Phenolics as Modulators of Penicillin-Binding Protein 2a of Staphylococcus aureus: A Structure–Activity-Relationship-Based Study. Pharmaceutics 2022, 14, 1818. [Google Scholar] [CrossRef]
- Angane, M.; Swift, S.; Huang, K.; Butts, C.A.; Quek, S.Y. Essential Oils and Their Major Components: An Updated Review on Antimicrobial Activities, Mechanism of Action and Their Potential Application in the Food Industry. Foods 2022, 11, 464. [Google Scholar] [CrossRef]
- Alexandre, E.M.; Silva, S.; Santos, S.A.; Silvestre, A.J.; Duarte, M.F.; Saraiva, J.A.; Pintado, M. Antimicrobial activity of pomegranate peel extracts performed by high pressure and enzymatic assisted extraction. Food Res. Int. 2019, 115, 167–176. [Google Scholar] [CrossRef] [PubMed]
- Konaté, K.; Hilou, A.; Mavoungou, J.; Lepengué, A.; Souza, A.; Barro, N.; Datté, J.Y.; M’Batchi, B.; Nacoulma, O. Antimicrobial activity of polyphenol-rich fractions from Sida alba L. (Malvaceae) against co-trimoxazol-resistant bacteria strains. Ann. Clin. Microbiol. Antimicrob. 2012, 11, 5. [Google Scholar] [CrossRef] [PubMed]
- Breijyeh, Z.; Jubeh, B.; Karaman, R. Resistance of Gram-Negative Bacteria to Current Antibacterial Agents and Approaches to Resolve It. Molecules 2020, 25, 1340. [Google Scholar] [CrossRef] [PubMed]
- Bajko, E.; Kalinowska, M.; Borowski, P.; Siergiejczyk, L.; Lewandowski, W. 5-O-Caffeoylquinic Acid: A Spectroscopic Study and Biological Screening for Antimicrobial Activity. LWT 2016, 65, 471–479. [Google Scholar] [CrossRef]
- Gonzales-Barron, U.; Campagnollo, F.B.; Schaffner, D.W.; Sant’Ana, A.S.; Cadavez, V.A.P. Behavior of Listeria monocytogenes in the presence or not of intentionally-added lactic acid bacteria during ripening of artisanal Minas semi-hard cheese. Food Microbiol. 2020, 91, 103545. [Google Scholar] [CrossRef]
- Khezri, S.; Khezerlou, A.; Dehghan, P. Antibacterial activity of Artemisia persica Boiss essential oil against Escherichia coli O157: H7 and Listeria monocytogenes in probiotic Doogh. J. Food Process. Preserv. 2021, 45, e15446. [Google Scholar] [CrossRef]
- Possas, A.; Hernández, M.; Esteban-Carbonero, Ó.; Valero, A.; Rodríguez-Lázaro, D. Listeria monocytogenes Survives Better at Lower Storage Temperatures in Regular and Low-Salt Soft and Cured Cheeses. Food Microbiol. 2022, 104, 103979. [Google Scholar] [CrossRef] [PubMed]
- Shahbazi, Y.; Shavisi, N. Fate of Listeria monocytogenes during Ripening of Iranian Traditional Koozeh Cheese Made from Raw Ewe’s Milk. J. Food Qual. Hazards Conrol 2018, 5, 109–115. [Google Scholar] [CrossRef]
- Martín, I.; Rodríguez, A.; Córdoba, J.J. Application of selected lactic-acid bacteria to control Listeria monocytogenes in soft-ripened “Torta del Casar” cheese. LWT-Food Sci. Technol. 2022, 168, 113873. [Google Scholar] [CrossRef]
- Garofalo, G.; Ponte, M.; Busetta, G.; Tolone, M.; Bonanno, A.; Portolano, B.; Gaglio, R.; Erten, H.; Sardina, M.T.; Settanni, L. A Thorough Investigation of the Microbiological, Physicochemical, and Sensory Properties of Ewe’s Yoghurt Fermented by a Selected Multi-Strain Starter Culture. Foods 2023, 12, 3454. [Google Scholar] [CrossRef]
- Wemmenhove, E.; van Valenberg, H.J.F.; van Hooijdonk, A.C.M.; Wells-Bennik, M.H.J.; Zwietering, M.H. Factors that inhibit growth of Listeria monocytogenes in nature-ripened Gouda cheese: A major role for undissociated lactic acid. Food Control 2018, 84, 413–418. [Google Scholar] [CrossRef]
- Anyogu, A.; Olukorede, A.; Anumudu, C.; Onyeaka, H.; Areo, E.; Adewale, O.; Odimba, J.N.; Nwaiwu, O. Microorganisms and food safety risks associated with indigenous fermented foods from Africa. Food Control. 2021, 129, 108227. [Google Scholar] [CrossRef]
- Liu, Q.; Tang, G.Y.; Zhao, C.N.; Gan, R.Y.; Li, H.B. Antioxidant activities, phenolic profiles, and organic acid contents of fruit vinegars. Antioxidants 2019, 8, 78. [Google Scholar] [CrossRef]





| Compound | RT (min) | Area (%) | Odor Properties |
|---|---|---|---|
| α-Phellandrene | 7.40 | 0.9 ± 0.1 | Turpentine, mint, spice |
| Trans-β-Ocimene | 7.568 | 4.7 ± 0.1 | Citrus, herb, flower |
| Sabinene | 8.550 | 0.370 ± 0.002 | Pepper, turpentine, wood |
| β-Pinene | 8.633 | 15.6 ± 0.2 | Pine, resin, turpentine |
| 6-Methyl-5-hepten-2-one | 8.850 | 0.46 ± 0.03 | Citrus |
| β-Myrcene | 8.959 | 1.6 ± 0.1 | Balsamic, must, spice |
| β-Cymene | 9.792 | 0.6 ± 0.1 | Solvent, gasoline, citrus |
| Limonene | 9.924 | 68.7 ± 0.5 | Lemon, orange |
| γ-Terpinene | 10.634 | 6.8 ± 0.2 | Lemon |
| 2.5.5-Trimethyl-1-hexen-3-yne | 13.956 | 0.42 ± 0.01 | Spice |
| Geraniol | 15.077 | 0.37 ± 0.01 | Rose, geranium |
| Compound | RT (min) | [M-H]-m/z | Concentration (mg/g) |
|---|---|---|---|
| Quinic acid | 1.948 | 191 | 3.3 ± 0.1 |
| Protocatehuic acid | 7.087 | 153 | 0.031 ± 0.002 |
| Epicatechin | 19.137 | 289 | 0.0061 ± 0.0001 |
| 4,5-di-O-caffeoyquinic acid | 22.770 | 515 | 10.9 ± 0.3 |
| p-Coumaric acid | 23.238 | 163 | 0.0133 ± 0.0003 |
| Trans ferulic acid | 25.978 | 193 | 0.0028 ± 0.0002 |
| Rutin | 27.814 | 609 | 0.205 ± 0.003 |
| Hyperoside | 28.860 | 463 | 0.014 ± 0.001 |
| o-Coumaric acid | 30.438 | 163 | 0.129 ± 0.004 |
| Naringin | 29.259 | 579 | 0.142 ± 0.003 |
| Salviolinic acid | 33.376 | 717 | 0.040 ± 0.001 |
| Trans-cinnamic acid | 35.648 | 147 | 0.003 ± 0.001 |
| Naringenin | 37.393 | 271 | 0.003 ± 0.001 |
| Cirsiliol | 39.055 | 329 | 0.0042 ± 0.0003 |
| Cirsilineol | 41.356 | 343 | 0.004 ± 0.002 |
| Targets | LPE Compounds | |||
|---|---|---|---|---|
| Volatiles | Phenolic | |||
| β-Pinene | Limonene | Quinic Acid | 4,5-di-O-caffeoyquinic Acid | |
| 1XEU | −4.3 | −4.6 | −5.2 | −7.3 |
| 2WQV | −4.7 | −5.1 | −5.0 | −7.1 |
| 4L3A | −4.7 | −4.9 | −5.2 | −7.0 |
| 5KZS | −4.2 | −4.7 | −5.8 | −7.4 |
| 6TIF | −5.4 | −4.8 | −4.8 | −6.4 |
| 7WJP | −5.5 | −5.6 | −5.1 | −6.3 |
| Fermented Milk Samples | Models | ||||||||||
|---|---|---|---|---|---|---|---|---|---|---|---|
| Weibull | Baranyi Roberts (no Lag) | ||||||||||
| N0 (log CFU/mL) | β | δ (h) | RMSE | R2 | N0 (log CFU/mL) | Maximum Growth Rate (h−1) | Nf (log CFU/mL) | Average of Total Reduction (log CFU/mL) | RMSE | R2 | |
| Fermented milk without LPE | 5.85 | 0.5 | 142.8 | 0.23 | 0.70 | 5.94 | −0.018 | 4.93 | 1.005 | 0.19 | 0.78 |
| Fermented milk with LPE | 5.93 | 0.7 | 44.09 | 0.28 | 0.90 | 5.95 | −0.021 | 3.67 | 2.28 | 0.18 | 0.95 |
| RCM | FM D0 | FM D7 | FM D0 + LPE | FM D7 + LPE | |
|---|---|---|---|---|---|
| Lactic acid | 0.116 ± 0.003 d | 11.127 ± 0.008 a | 11.30 ± 0.01 a | 10.34 ± 0.05 a | 11.64 ± 0.04 a |
| Formic acid | 0.692 ± 0.001 b | 1.738 ± 0.004 b | 1.66 ± 0.02 b | 1.959 ± 0.003 c | 1.886 ± 0.005 c |
| Succinic acid | 0.995 ± 0.004 a | 0.38 ± 0.01 c | 0.26 ± 0.05 de | 3.01 ± 0.15 b | 2.1 ± 0.1 b |
| Acetic acid | 0.13 ± 0.06 d | 0.292 ± 0.003 d | 0.284 ± 0.002 cd | 0.97 ± 0.04 d | 0.658 ± 0.005 d |
| Citric acid | 0.473 ± 0.002 c | 0.349 ± 0.005 cd | 0.41 ± 0.06 c | 0.446 ± 0.005 e | 0.316 ± 0.002 ef |
| Propionic acid | ND | 0.19 ± 0.03 e | 0.15 ± 0.02 e | 0.37 ± 0.05 e | 0.35 ± 0.01 e |
| Malic acid | ND | 0.02 ± 0.02 f | ND | 0.448 ± 0.002 e | 0.25 ± 0.02 f |
| Oxalic acid | 0.006 ± 0.001 d | 0.025 ± 0.005 f | 0.019 ± 0.001 f | 0.014 ± 0.001 f | 0.01 ± 0.00 g |
| Total | 2.41 | 14.12 | 14.08 | 17.56 | 17.21 |
Disclaimer/Publisher’s Note: The statements, opinions and data contained in all publications are solely those of the individual author(s) and contributor(s) and not of MDPI and/or the editor(s). MDPI and/or the editor(s) disclaim responsibility for any injury to people or property resulting from any ideas, methods, instructions or products referred to in the content. |
© 2025 by the authors. Licensee MDPI, Basel, Switzerland. This article is an open access article distributed under the terms and conditions of the Creative Commons Attribution (CC BY) license (https://creativecommons.org/licenses/by/4.0/).
Share and Cite
Mkadem, W.; Belguith, K.; Indio, V.; Oussaief, O.; Guluzade, G.; ElHatmi, H.; Serraino, A.; De Cesare, A.; Boudhrioua, N. Assessment of the Anti-Listeria Effect of Citrus limon Peel Extract In Silico, In Vitro, and in Fermented Cow Milk During Cold Storage. Foods 2025, 14, 661. https://doi.org/10.3390/foods14040661
Mkadem W, Belguith K, Indio V, Oussaief O, Guluzade G, ElHatmi H, Serraino A, De Cesare A, Boudhrioua N. Assessment of the Anti-Listeria Effect of Citrus limon Peel Extract In Silico, In Vitro, and in Fermented Cow Milk During Cold Storage. Foods. 2025; 14(4):661. https://doi.org/10.3390/foods14040661
Chicago/Turabian StyleMkadem, Wafa, Khaoula Belguith, Valentina Indio, Olfa Oussaief, Gulnara Guluzade, Halima ElHatmi, Andrea Serraino, Alessandra De Cesare, and Nourhene Boudhrioua. 2025. "Assessment of the Anti-Listeria Effect of Citrus limon Peel Extract In Silico, In Vitro, and in Fermented Cow Milk During Cold Storage" Foods 14, no. 4: 661. https://doi.org/10.3390/foods14040661
APA StyleMkadem, W., Belguith, K., Indio, V., Oussaief, O., Guluzade, G., ElHatmi, H., Serraino, A., De Cesare, A., & Boudhrioua, N. (2025). Assessment of the Anti-Listeria Effect of Citrus limon Peel Extract In Silico, In Vitro, and in Fermented Cow Milk During Cold Storage. Foods, 14(4), 661. https://doi.org/10.3390/foods14040661

