Abstract
Aromatic rice is famous for its pleasant aroma which consists of many flavor volatiles. The present study was to explore the effects of selenium nanoparticle (SeNP) application on flavor volatiles of aromatic rice based on a worldwide database of flavor molecules accessed on November 19 2024. A field experiment was carried out with the foliar application of SeNP at early growth stage (S1), middle growth stage (S2), and late growth stage (S3) of aromatic rice plants in two cropping seasons. In the control group (CK), no selenium-based treatment was applied. There were in total 27 and 24 flavor volatiles registered in FlavorDB2 detected in aromatic rice in the early and late cropping seasons, respectively. The flavors that appear most often were fat, fresh, fruit, aldehydic, green, sweet, citrus, and waxy. Compared with CK, S3 treatment caused the absence of 5 and 4 flavor volatiles in the early and late seasons, respectively. S2 treatment caused the exclusive presence of 2-undecenal and 3-hexenal,(Z)- in the early season and the exclusive presence of 2-hexenoic acid and decanal in the late season. The results of principal components analysis (PCA) showed that S2 and S3 treatments substantially impacted the flavor volatiles of aromatic rice in the early season while S1 and S2 treatments substantially impacted the flavor volatiles of aromatic rice in the late season. There were 12 and 4 differential flavor volatiles found in the early and late cropping seasons respectively. S2 treatment significantly increased the content of 10 flavor volatiles including 2-acetyl-1-pyrroline, benzaldehyde, 2-hexenoic acid, hexanoic acid, octanal, 2-octenal,(E)-, heptanal, 2,4-heptadienal,(E,E)-, 3-hexenoic acid,(E)-, and n-hexadecanoic acid. In addition, the effects of SeNP on flavor volatiles varied between different cropping seasons indicated that climate had a substantial impact on flavor volatiles in aromatic rice. Overall consideration, the heading stage, i.e., the middle growth stage, is the most suitable stage to apply SeNP to maximize the benefits on the flavor volatiles of aromatic rice.
1. Introduction
Rice (Oryza sativa L.) is a food crop in China and many other Asia countries and feeds more than half the population in the world. In recent years, more attention has been drawn to rice quality because of the rapid development of society and the continuous improvement of people’s living standards. The demand for rice with better quality is rising despite it has a higher price in the market. The price of rice mainly depends on the rice quality attributes which includes nutrients, appearance, taste, and aroma. As one of the important factors determining rice quality, aroma is the combined effect of numerous flavor volatiles. Aromatic rice is a special rice known for its pleasant aroma which contains a lot of volatile compounds. An earlier study [1] divided these volatiles into several classes, including fatty acid derivatives, terpenoids, phenylpropanoids (benzenoids), and amino acid derivatives. A previous research detected more than 400 volatile compounds in aromatic rice through a GC × GC-TOF-MS determination and analysis [2]. Recently, Li et al. [3] indicated that 2-acetyl-1-pyrroline, trans-2-octenal, hexanal, octanal, 1-octen-3-ol, 2-pentylfuran, decanal, trans-2nonenal, and trans, trans-2,4-decadienal were the potential characteristic volatiles in rice aroma.
During the field production of aromatic rice, agronomic practices such as water management, plant growth regulators, and cultivation modes could remarkably impact the flavor volatiles of aromatic rice, especially 2-acetyl-1-pyrroline. Many studies have revealed that the input of fertilizer, water management, and climate conditions during the cultivation of aromatic rice plants significantly affected the formation of 2-acetyl-1-pyrroline [4,5,6]. Our previous study also found that the application of the organic cultivation pattern not only increased 2-acetyl-1-pyrroline content but also caused the absence of 56 volatiles and the exclusive presence of 10 new volatiles compared to the traditional cultivation pattern [2]. However, most studies about the regulation in aromatic rice aroma focused on 2-acetyl-1-pyrroline, while other volatiles were rarely reported. Therefore, it is important to suitably adjust agronomic practices in aromatic rice production for the goal of achieving better rice aroma.
The input of selenium (Se) fertilizer in crop cultivation could greatly increase the yield and improve the quality [7,8]. The improvements in crop productivity and quality due to Se are attributed to its ability to substantially enhance the photosynthesis and antioxidants of crops [9,10]. Furthermore, a previous study indicated that Se fertilizer management could promote nitrogen metabolism and nitrogen use efficiency in wheat plants [11]. Selenium nanoparticle (SeNP) is a new kind of Se fertilizer that offers superior stability, high bioavailability, excellent particle dispersion, and strong antioxidant capabilities, with minimal toxicity concerns compared with traditional Se fertilizers [12,13]. An earlier study showed a higher grain yield of rice plants under the foliar application of SeNP than both the applications of organic Se and inorganic Se [14]. The study by Huang et al. [15] also found that foliar application of SeNP increased yield, soluble solid content, soluble sugar, reducing sugar, and dry matter of radish. However, the effects of SeNP on flavor volatiles of aromatic rice have not been reported.
Food aroma is exhibited by the interaction of molecules via gustatory and olfactory mechanisms and understanding the pivotal role of flavor molecules in food and fragrances, the existence of a comprehensive repository is important for the related research. In recent years, a worldwide database of flavor molecules (https://cosylab.iiitd.edu.in/flavordb2/ (accessed on 26 November 2024), FlavorDB2) with continuous updates has been established to help the development of scientific research for the flavor and fragrance community [16]. Therefore, we carried out a field experiment with two cropping seasons and three SeNP applications at different growing stages of aromatic rice. The volatiles were determined and analyzed through a GCMS-QP approach. The objective of the current study was to primarily explore the impacts of SeNP application on the flavor volatiles of aromatic rice based on FlavorDB2. Our study will provide new formations for rice aroma and aromatic rice cultivation.
2. Materials and Methods
2.1. Plant Materials and Field Conditions
A field experiment was carried out in the Experimental farm of South China Agricultural University, Guangzhou City, Guangdong Province, China (23°14′ N, 113°38′ E), in 2023. The climatic type of this trial site is a subtropical monsoon climate. An aromatic rice cultivar, “19Xiang”, was used as the plant material. The experimental soil was sandy loam with 17.55 g kg−1 organic matter, 1.03 g kg−1 total nitrogen, and 5.80 pH. The crop management was followed by our previous research [17] and the meteorological data during the field experiment are shown in Table 1. The early cropping season is between April and June (transplanting in early April and harvest in late June). The late cropping season is between April and June (transplanting in early August and harvest in late October).
Table 1.
The climate conditions of the experimental site during the field experiment.
2.2. Experimental Design
The experiment was arranged in a randomized complete block design (RCBD) in triplicate with a net plot size of 12.5 m2. Four treatments were adopted as (CK) no Se application, (S1) foliar application of SeNP at the early growth stage (the end of the tillering stage), (S2) foliar application of SeNP at the middle growth stage (the heading stage), and (S3) foliar application of SeNP at the late growth stage (the grain-filling stage) of aromatic rice plants. The applied Se concentration was 6.67 mg L−1 in each plot. The choice of the applied stages and concentration was based on the previous works from our team [17] and others [14,15]. The SeNP used in the present study was a simple substance Se produced by Green Huinong Biotechnology (Shenzhen) Co., Ltd., China.
2.3. Plant Sampling and Determination of Flavor Volatiles
At the harvest, the mature grains were collected in each plot and stored at −80 °C until the determination of volatiles. The determination was carried out according to our previous study [18]. The grain sample was ground to powder with liquid nitrogen. The samples were added to dichloromethane. After the extraction, the supernatant was transferred to GCMS-QP 2010 Plus (Shimadzu Corporation, Kyoto city, Japan) for analysis. A flowchart explaining the treatments and analysis steps is shown in Figure 1.
Figure 1.
The flowchart from a field experiment to volatile analysis in the present study.
2.4. Statistical Analysis
Experimental data in the present study were analyzed using statistical software ‘Statistix8.1′ (Analytical Software, Tallahassee, FL, USA) while differences among means were separated using the least significant difference (LSD) test at the 5% probability level. The principal components analysis (PCA), Venn plot, heatmap, and association diagram between flavor volatiles and flavors were conducted on the BioDeep Platform (https://www.biodeep.cn) accessed on 19 November 2024. The figures were made and represented using Sigma Plot 14.0 (Systat Software Inc., San Jose, CA, USA).
3. Results and Discussion
3.1. The Number and Type of Flavor Volatiles After SeNP Application
There were in total 27 and 24 flavor volatiles registered in FlavorDB2 detected in aromatic rice in the early and late cropping seasons, respectively (Table 2). Compared with CK, SeNP treatments not only caused the exclusive presence of some flavor volatiles but also the absent of some flavor volatiles. In the early cropping season (Figure 2A), compared with CK, S1 treatment caused the exclusive presence of D-limonene which has been reported in the study of Luo et al. [19] who demonstrated that foliar application of phenylalanine significantly increased D-limonene content in aromatic rice. As a flavor volatile with flavors of mint, lemon, citrus, orange, fresh, and sweet, D-limonene is a monocyclic monoterpene that possesses potent therapeutic effects [20]. However, this compound occurs in all the samples in the late seasons which means that the climate conditions might have a great impact on D-limonene biosynthesis in aromatic rice. Meanwhile, we observed that all SeNP treatments caused the absence of tetradecane and 2-decenal,(E)- in the early season. The study by Hinge et al. [1] also found tetradecane in aromatic rice and the study by Gokila et al. [21] indicated that tetradecane might be one of the main herbivore-induced volatiles which play an important part in attracting insect pests and other natural enemies. But tetradecane was not detected in the late cropping season and thus, we deduced that foliar application of SeNP might help to control the pest in the early season by causing the absence of this herbivore-induced volatile. Moreover, we found that S2 and S3 treatments caused the exclusive presence of 2-undecenal in the early cropping season. In the late season (Figure 2B), S1 treatment caused the exclusive presence of 2-butanone with flavors of ethereal, ether, fruity, acetone, and camphor whilst this 2-butanone was not detected in the early season. Previous studies indicated that 2-butanone mainly exists in the rice bran layer and its content or existence varied largely from aromatic rice varieties [22,23]. In addition, we observed that the least number of flavor volatiles was recorded in S3 treatment in both cropping seasons, and compared with CK, S3 treatment caused the absence of 5 and 4 flavor volatiles in early and late seasons, respectively.
Table 2.
The information for flavor volatiles detected in aromatic rice according to the worldwide database of flavor molecules (https://cosylab.iiitd.edu.in/flavordb2/ (accessed on 26 November 2024), Fla-vorDB2).
Figure 2.
Venn plot for flavor volatiles in aromatic rice under different SeNP treatments. (A) for early cropping season. (B) for late cropping season.
3.2. Relation Between Flavor Volatiles and Flavors
According to Table 2, the flavors that appear most often were fat, fresh, fruit, aldehydic, green, sweet, citrus, and waxy. After the classification process, we constructed an association diagram (Figure 3) and found that these 8 flavors were connected to 21 and 20 flavor volatiles in early and late seasons, respectively. Interestingly, we observed that volatiles such as 2-undecenal, 2-decenal,(E)-, decanal, nonanal, octanal, heptanal, and hexanal contributed more than one of these flavors. Among these volatiles, heptanal, hexanal, nonanal, octanal, and decanal have been reported to be closely related to the sensory flavors of aromatic rice [3]. An earlier study indicated that these volatiles might be important contributors to the flavor of rice [3]. However, there are a lack of public standards on how to calculate the precise contribution of these flavor volatiles with their content to the rice flavors, and thus, it is difficult to determine the effects of treatments on rice flavors.
Figure 3.
The association diagram between flavor volatiles and flavors. (A) for the early season. (B) for the late season.
3.3. PCA of Flavor Volatiles
PCA is a commonly used data dimensionality reduction technique and an important statistical analysis method. According to the PCA results (Figure 4),in the early season, the first axis separated S2 from CK while S3 was separated from CK by both the second axes. In the late season, the first axis separated S2 from CK while the second separated S1 and S3 from CK although CK and S3 were closely grouped. The score plot revealed that S2 and S3 treatments substantially impacted the flavor volatiles of aromatic rice in the early season while S1 and S2 treatments substantially impacted the flavor volatiles of aromatic rice in the late season. Our results agreed with the study by Ruan et al. [2], which showed that volatiles of aromatic rice could be impacted by agronomic practices. The PCA loading plot (Figure 5) showed that in the early season, S2 treatment was distinguished from CK by the higher content of heptanal, n-hexadecanoic acid, 2-acetyl-1-pyrroline, benzaldehyde, decanal, 2,4-heptadienal,(E,E)-, 3-hexenal,(Z)-, octanal, 2-hexenoic acid, hexanoic acid, 2-octenal,(E)-, 3-hexenoic acid,(E)-, p-xylene, butanoic acid,2-methyl- and lower content of hexanal, D-limonene, tetradecane, 2-decenal,(E)-, and 1-octen-3-ol. Meanwhile, S3 treatment was distinguished from CK by the higher content of heptanal, n-hexadecanoic acid, and the exclusive presence of 2-undecenal. In the late season, S1 treatment was distinguished from CK by the higher content of 1-octen-3-ol, 2-hexenoic acid, and the lower content of n-hexadecanoic acid, 2-hexenal,(E)-, benzaldehyde, acetophenone, 2-octenal,(E)-, indole, hexanal, 2-acetyl-1-pyrroline, D-limonene, ethylbenzene, o-xylene, nonanal, octanal, and heptanal. Meanwhile, S2 treatment was distinguished from CK by the higher content of benzaldehyde, acetophenone, hexanal, indole, 2-acetyl-1-pyrroline, ethylbenzene, D-limonene, o-xylene, nonanal, octanal, heptanal, 3-hexenoic acid,(E)-, decanal, 1-octen-3-ol, 2-hexenoic acid, and lower content of n-hexadecanoic acid, 2-hexenal,(E)-, and 2-decenal,(E)-. Among these volatiles, D-limonene, 1-octen-3-ol, 2-acetyl-1-pyrroline, o-xylene, and octanal were previously reported in the research on aromatic rice aroma while 2-acetyl-1-pyrroline was considered as the main volatile that impacts the aroma under different cultivation modes [3,4,5,6,19].
Figure 4.
PCA score plot of flavor volatiles in aromatic rice under different SeNP applications. (A) for the early season. (B) for the late season.
Figure 5.
PCA loading plot of flavor volatiles in aromatic rice under different SeNP applications. (A) for the early season. (B) for the late season.
3.4. Effects of Nano-Se on Contents of Different Flavor Volatiles
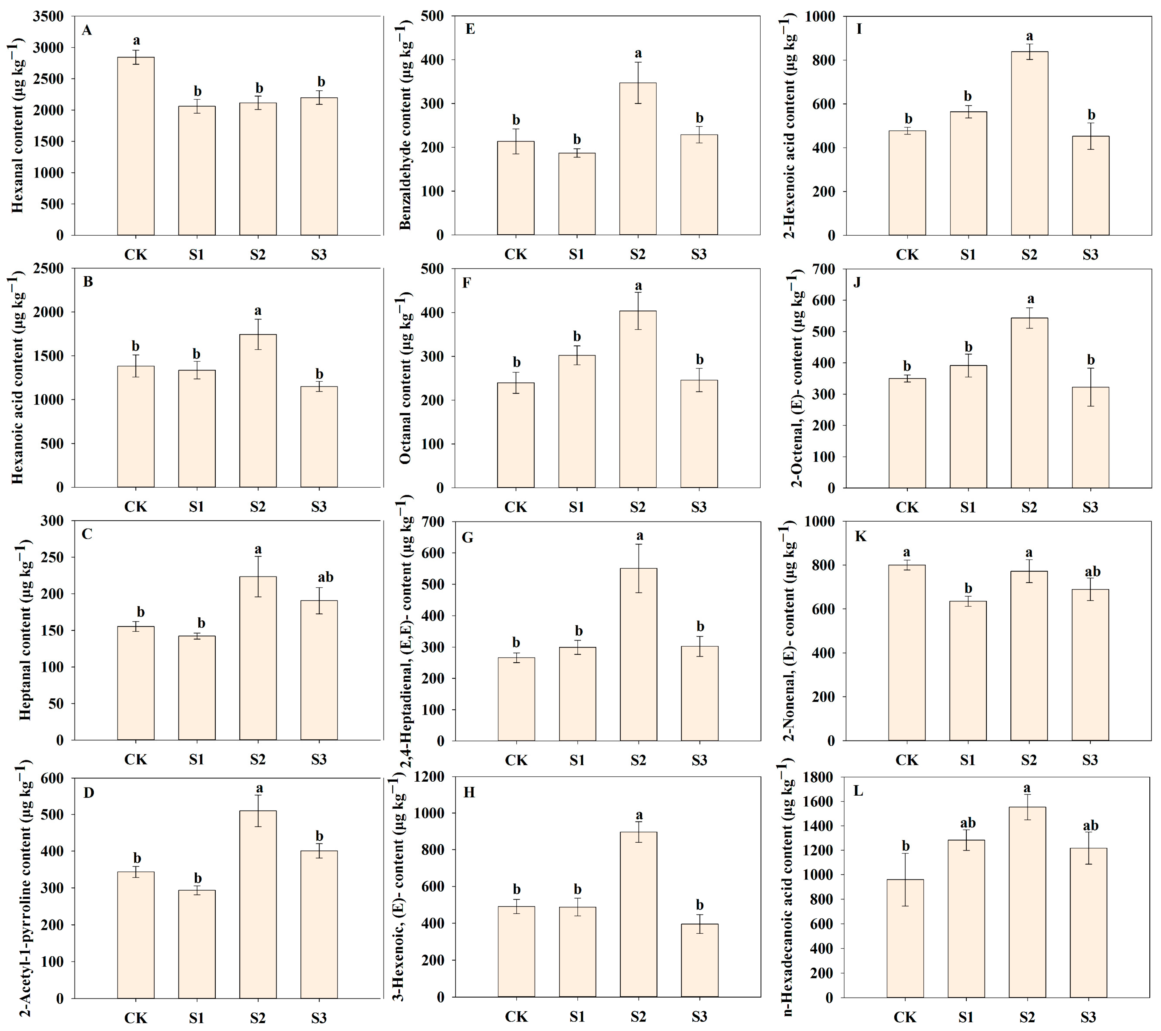
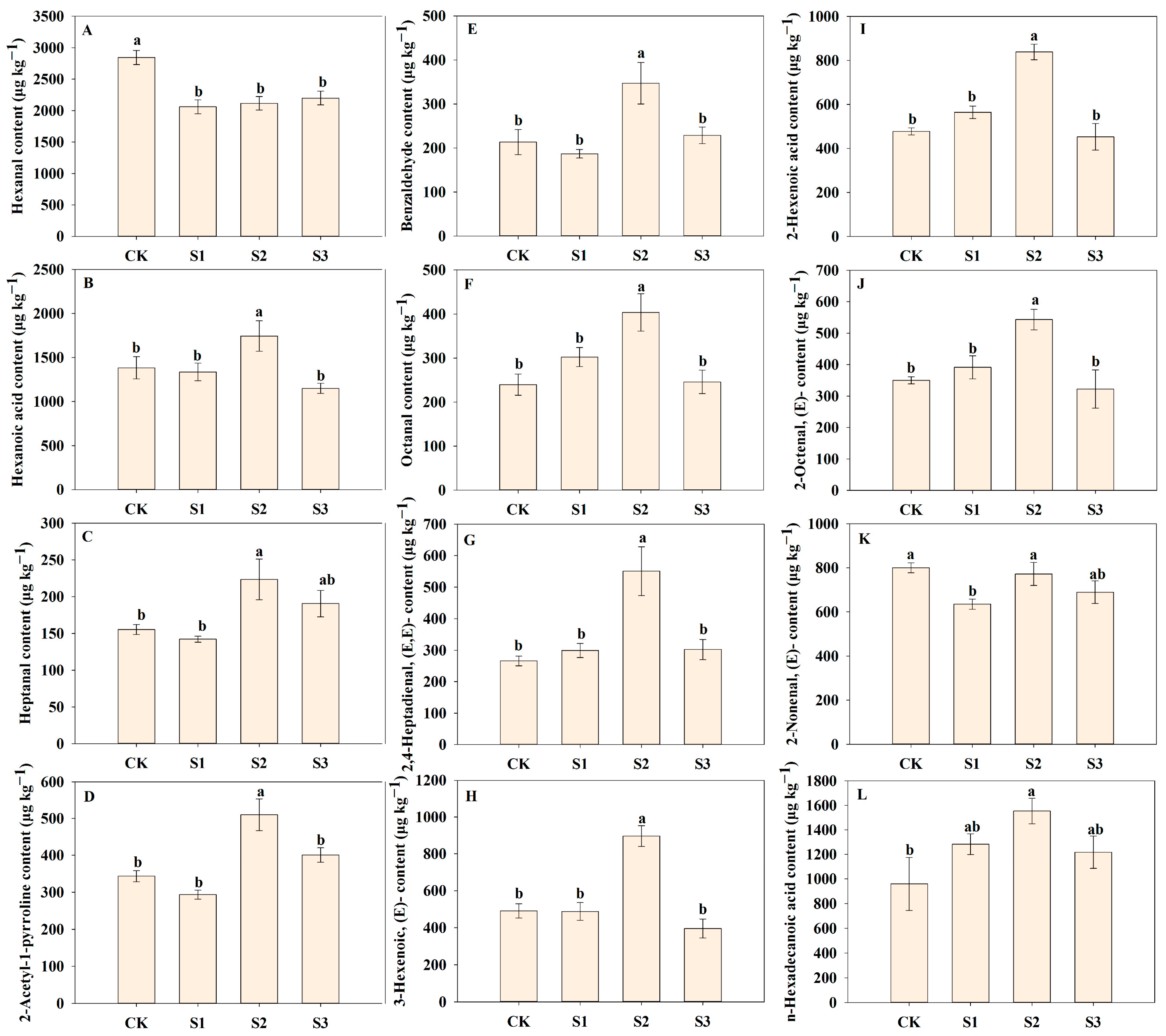
Foliar application of SeNP impacts the contents of some common flavor volatiles among all treatments (Figure 6, Figure 7 and Figure 8). There were 12 and 4 differential flavor volatiles found in the early and late cropping seasons, respectively. In the early season, compared with CK, S2 treatment significantly increased 2-acetyl-1-pyrroline content by 48.65% in the early season, which agreed with our previous study [17]. 2-Acetyl-1-pyrroline is considered a key flavor volatile in aromatic rice aroma with flavors of roast, nut, roasted, ham, sweet, nutty [24]. Luo et al. [25] indicated that Se enhanced 2-acetyl-1-pyrroline biosynthesis in aromatic rice by regulating the transcript levels of related genes as well as the contents of related precursors. However, we observed that the effects of SeNP on 2-acetyl-1-pyrroline content varied from the cropping seasons and the applied stages. It might be explained by the great effects of climate conditions and genetic factors considering 2-acetyl-1-pyrroline content varies largely from varieties [26] and is sensitive to light and temperature [5,27]. Furthermore, a similar phenomenon was observed on some other flavor volatiles such as o-xylene, heptanal, and vanillin in aromatic rice under SeNP treatments in different cropping seasons, which indicated that climate might have a great impact on the formation of more flavor volatiles in aromatic rice plants. Besides 2-acetyl-1-pyrroline, S2 treatment remarkably improved the content of benzaldehyde, 2-hexenoic acid, hexanoic acid, octanal, 2-octenal, (E)-, heptanal, 2,4-heptadienal,(E,E)-, 3-hexenoic acid, (E)-, and n-hexadecanoic acid by 62.70%, 75.49%, 26.07%, 68.40%, 55.24%, 43.69%, 106.94%, 82.50%, and 61.91%, respectively compared with CK in the early cropping season. Among these flavor volatiles, 2,4-heptadienal,(E,E)-, 2-octenal,(E)-, and octanal were previously reported as the potential key contributors to rice aroma [28]. In addition, although there were differences in the effects of SeNP application between two cropping seasons, S2 treatment exhibited the most up-regulated flavor volatiles than other SeNP treatments, and thus, we recommended the heading stage, i.e., the middle growth stage, the most suitable stage to apply SeNP to maximize the benefits on the flavor volatiles of aromatic rice.
Figure 6.
Heatmap of the common flavor volatiles among all treatments. (A) for the early season. (B) for the late season.
Figure 7.
The differential flavor volatiles in the early seasons. Different letters represent significant differences between treatments with p-values < 0.05. (A) for Hexanal; (B) for Hexanoic acid; (C) for Heptanal; (D) for 2-Acetyl-1-pyrroline; (E) for Benzaldehyde; (F) for Octanal; (G) for 2,4-Heptadienal, (E,E)-; (H) for 3-Hexenoic acid, (E)-; (I) for 2-Hexenoic acid; (J) for 2-Octenal, (E)-; (K) for 2-Nonenal, (E)-; (L) for n-Hexadecanoic acid.
Figure 8.
The differential flavor volatiles in the late seasons. Different letters represent significant differences between treatments with p-values < 0.05. (A) for Hexanal; (B) for Indole; (C) for 2-Decenal, (E)-; (D) for 2-Acetyl-1-pyrroline.
4. Conclusions
Foliar application of SeNP substantially impacted the flavor volatiles of aromatic rice in different cropping seasons. In the present study, 27 and 24 flavor volatiles registered in FlavorDB2 detected in aromatic rice were detected in the early and late cropping seasons, respectively. The flavors that appear most often were fat, fresh, fruit, aldehydic, green, sweet, citrus, and waxy. Compared with CK, S3 treatment caused the absence of 5 and 4 flavor volatiles in the early and late seasons, respectively. S2 treatment caused the exclusive presence of 2-undecenal and 3-hexenal,(Z)- in the early season and the exclusive presence of 2-hexenoic acid and decanal in the late season. The results of PCA showed that there was a distinct separation between S2 and S3 treatments and CK in the early season while S1 and S2 treatments were distinctly separated from CK in the late season. There were 12 and 4 differential flavor volatiles found in the early and late cropping seasons, respectively. Compared with CK, S2 treatment significantly increased the content of 10 flavor volatiles including 2-acetyl-1-pyrroline, benzaldehyde, 2-hexenoic acid, hexanoic acid, octanal, 2-octenal, (E)-, heptanal, 2,4-heptadienal,(E,E)-, 3-hexenoic acid,(E)-, and n-hexadecanoic acid. In addition, the effects of SeNP on flavor volatiles varied between different cropping seasons, which indicated that climate had a great impact on the formation of flavor volatiles in aromatic rice plants and thus, more studies should be conducted to investigate the effects of climate changes on rice aroma as well as related strategies in the future.
Author Contributions
Conceptualization, X.T., X.Y. and C.Z.; methodology, X.T., X.Y. and C.Z.; investigation, X.P., H.L., S.Z., L.X. and W.Y.; writing—original draft preparation, H.L.; writing—review and editing, H.L.; funding acquisition, X.T., X.Y. and C.Z. All authors have read and agreed to the published version of the manuscript.
Funding
This study was supported by the National Natural Science Foundation of China (31971843), the Special Rural Revitalization Funds of Guangdong Province (2021KJ382), and Guang-zhou Science and Technology Project (202103000075).
Data Availability Statement
Data is contained within the article (The original contributions presented in the study are included in the article, further inquiries can be directed at the corresponding author).
Conflicts of Interest
Author Xianghai Yu, Changjian Zuo were employed by the Green Huinong Biotechnology (Shenzhen) Co., Ltd. The remaining authors declare that the research was conducted in the absence of any commercial or financial relationships that could be construed as a potential conflict of interest.
References
- Hinge, V.R.; Patil, H.B.; Nadaf, A.B. Aroma volatile analyses and 2ap characterization at various developmental stages in basmati and non-basmati scented rice (oryza sativa l.) Cultivars. Rice 2016, 9, 38. [Google Scholar] [CrossRef]
- Ruan, S.; Luo, H.; Wu, F.; He, L.; Lai, R.; Tang, X. Organic cultivation induced regulation in yield formation, grain quality attributes, and volatile organic compounds of fragrant rice. Food Chem. 2023, 405, 134845. [Google Scholar] [CrossRef]
- Li, S.; Li, H.; Lu, L.; Shao, G.; Guo, Z.; He, Y.; Wang, Y.; Yang, X.; Chen, M.; Hu, X. Analysis of rice characteristic volatiles and their influence on rice aroma. Curr. Res. Food Sci. 2024, 9, 100794. [Google Scholar] [CrossRef]
- Li, M.; Li, R.; Liu, S.; Zhang, J.; Luo, H.; Qiu, S. Rice-duck co-culture benefits grain 2-acetyl-1-pyrroline accumulation and quality and yield enhancement of fragrant rice. Crop. J. 2019, 7, 419–430. [Google Scholar] [CrossRef]
- Cheng, S.; Liu, H.; Li, H.; Li, K.; Zheng, L.; Su, M.; Lin, X.; Huang, G.; Ren, Y. Riboflavin improves grain yield, 2-acetyl-1-pyrroline accumulation, and antioxidative properties of fragrant rice. J. Sci. Food Agri. 2024, 104, 1178–1189. [Google Scholar] [CrossRef]
- Chen, Y.; Hua, X.; Li, S.; Zhao, J.; Yu, H.; Wang, D.; Yang, J.; Liu, L. Aromatic compound 2-acetyl-1-pyrroline coordinates nitrogen assimilation and methane mitigation in fragrant rice. Curr. Bio. 2024, 34, 3429–3438. [Google Scholar] [CrossRef]
- Chen, P.; Shaghaleh, H.; Hamoud, Y.A.; Wang, J.; Pei, W.; Yuan, X.; Liu, J.; Qiao, C.; Xia, W.; Wang, J. Selenium-Containing organic fertilizer application affects yield, quality, and distribution of selenium in wheat. Life 2023, 13, 1849. [Google Scholar] [CrossRef]
- Yan, G.; Wu, L.; Hou, M.; Jia, S.; Jiang, L.; Zhang, D. Effects of selenium application on wheat yield and grain selenium content: A global meta-analysis. Field Crop. Res. 2024, 307, 109266. [Google Scholar] [CrossRef]
- Li, S.; Chen, H.; Jiang, S.; Hu, F.; Xing, D.; Du, B. Selenium and nitrogen fertilizer management improves potato root function, photosynthesis, yield and selenium enrichment. Sustainability 2023, 15, 6060. [Google Scholar] [CrossRef]
- Hussain, S.; Ahmed, S.; Akram, W.; Sardar, R.; Abbas, M.; Yasin, N.A. Selenium-Priming mediated growth and yield improvement of turnip under saline conditions. Int. J. Phytoremediat. 2024, 26, 710–726. [Google Scholar] [CrossRef]
- Zhang, H.; Du, B.; Jiang, S.; Zhu, J.; Wu, Q. Potential assessment of selenium for improving nitrogen metabolism, yield and nitrogen use efficiency in wheat. Agronomy 2023, 13, 110. [Google Scholar] [CrossRef]
- Shi, M.; Zhang, T.; Fang, Y.; Pan, C.; Fu, H.; Gao, S.; Wang, J. Nano-selenium enhances sugarcane resistance to xanthomonas albilineans infection and improvement of juice quality. Ecotox. Environ. Safe. 2023, 254, 114759. [Google Scholar] [CrossRef]
- Hussain, B.; Lin, Q.; Hamid, Y.; Sanaullah, M.; Di, L.; Hashmi, M.L.U.R.; Khan, M.B.; He, Z.; Yang, X. Foliage application of selenium and silicon nanoparticles alleviates cd and pb toxicity in rice (oryza sativa l.). Sci. Total Environ. 2020, 712, 136497. [Google Scholar] [CrossRef]
- Huang, S.; Qin, H.; Jiang, D.; Lu, J.; Zhu, Z.; Huang, X. Bio-nano selenium fertilizer improves the yield, quality, and organic selenium content in rice. J. Food Compos. Anal. 2024, 132, 106348. [Google Scholar] [CrossRef]
- Huang, S.; Yu, K.; Xiao, Q.; Song, B.; Yuan, W.; Long, X.; Cai, D.; Xiong, X.; Zheng, W. Effect of bio-nano-selenium on yield, nutritional quality and selenium content of radish. J. Food Compos. Anal. 2023, 115, 104927. [Google Scholar] [CrossRef]
- Goel, M.; Grover, N.; Batra, D.; Garg, N.; Tuwani, R.; Sethupathy, A.; Bagler, G. Flavordb2: An updated database of flavor molecules. J. Food Sci. 2024, 89, 7076–7082. [Google Scholar] [CrossRef]
- Gu, Q.; Luo, H.; Lin, L.; Zhang, Q.; Yi, W.; Liu, Z.; Yu, X.; Zuo, C.; Qi, J.; Tang, X. Effects of biological nano-selenium on yield, grain quality, aroma, and selenium content of aromatic rice. Agronomy 2024, 14, 1778. [Google Scholar] [CrossRef]
- Okpala, N.E.; Potcho, M.P.; An, T.; Ahator, S.D.; Duan, L.; Tang, X. Low temperature increased the biosynthesis of 2-AP, cooked rice elongation percentage and amylose content percentage in rice. J. Cereal Sci. 2020, 93, 102980. [Google Scholar] [CrossRef]
- Luo, H.; Imran, M.; Yao, X.; Zhang, S.; Yi, W.; Xing, P.; Tang, X. Foliar application of glutamate and phenylalanine induced regulation in yield, protein components, aroma, and metabolites in fragrant rice. Eur. J. Agron. 2023, 149, 126899. [Google Scholar] [CrossRef]
- Anandakumar, P.; Kamaraj, S.; Vanitha, M.K. D-limonene: A multifunctional compound with potent therapeutic effects. J. Food Biochem. 2021, 45, e13566. [Google Scholar] [CrossRef]
- Gokila, G.; Premalatha, K.; Shanmugam, P.S.; Suganya Kanna, S.; Pradeep, S. Herbivore-induced plant volatiles in rice: A natural defense mechanism shaping arthropod community. Appl. Ecol. Environ. Res. 2024, 22, 3047–3058. [Google Scholar] [CrossRef]
- Sun, Z.; Lyu, Q.; Chen, L.; Zhuang, K.; Wang, G.; Ding, W.; Wang, Y.; Chen, X. An hs-gc-ims analysis of volatile flavor compounds in brown rice flour and brown rice noodles produced using different methods. LWT 2022, 161, 113358. [Google Scholar] [CrossRef]
- Chen, T.; Li, H.; Chen, X.; Wang, Y.; Cheng, Q.; Qi, X. Construction and application of exclusive flavour fingerprints from fragrant rice based on gas chromatography—Ion mobility spectrometry (gc-ims). Flavour Frag. J. 2022, 37, 345–353. [Google Scholar] [CrossRef]
- Bao, G.; Ashraf, U.; Li, L.; Qiao, J.; Wang, C.; Zheng, Y. Transcription factor osbzip60-like regulating osp5cs1 gene and 2-acetyl-1-pyrroline (2-ap) biosynthesis in aromatic rice. Plants 2024, 13, 49. [Google Scholar] [CrossRef]
- Luo, H.; He, L.; Lai, R.; Liu, J.; Xing, P.; Tang, X. Selenium applications enhance 2-acetyl-1-pyrroline biosynthesis and yield formation of fragrant rice. Agron. J. 2021, 113, 250–260. [Google Scholar] [CrossRef]
- Kasote, D.; Singh, V.K.; Bollinedi, H.; Singh, A.K.; Sreenivasulu, N.; Regina, A. Profiling of 2-acetyl-1-pyrroline and other volatile compounds in raw and cooked rice of traditional and improved varieties of india. Foods 2021, 10, 1917. [Google Scholar] [CrossRef] [PubMed]
- Chen, J.; Xie, W.; Huang, Z.; Ashraf, U.; Pan, S.; Tian, H.; Duan, M.; Wang, S.; Tang, X.; Mo, Z. Light quality during booting stage modulates fragrance, grain yield and quality in fragrant rice. J. Plant Interact. 2021, 16, 42–52. [Google Scholar] [CrossRef]
- Buttery, R.; Turnbaugh, J.; Ling, L. Contribution of volatiles to rice aroma. J. Agric. Food Chem. 1988, 5, 1006–1009. [Google Scholar] [CrossRef]
Disclaimer/Publisher’s Note: The statements, opinions and data contained in all publications are solely those of the individual author(s) and contributor(s) and not of MDPI and/or the editor(s). MDPI and/or the editor(s) disclaim responsibility for any injury to people or property resulting from any ideas, methods, instructions or products referred to in the content. |
© 2025 by the authors. Licensee MDPI, Basel, Switzerland. This article is an open access article distributed under the terms and conditions of the Creative Commons Attribution (CC BY) license (https://creativecommons.org/licenses/by/4.0/).







