Plastic Mulching Film and Straw Return Alter Starch Physicochemical and Tuber Textural Properties of Intercropping Potatoes
Abstract
1. Introduction
2. Materials and Methods
2.1. Plant Materials and Field Experiment
2.2. Dry Matter and Starch Isolation
2.3. Starch Composition and Granule Size Analysis
2.4. Determination of Starch Pasting Properties and Thermal Properties
2.5. Starch FTIR-ATR Spectrophotometry
2.6. Determination of Starch Water Solubility and Swelling Power
2.7. Determination of Textural Properties of Cooked Potatoes
2.8. Statistical Analysis
3. Results
3.1. Difference in Starch Component and Granule Size Distribution Under Different Crop Management Practices
3.1.1. Dry Matter, Total Starch, Amylose, and Amylopectin Content
3.1.2. Starch Granule Size Distribution
3.1.3. ATR-FTIR Spectrophotometry
3.2. Difference in Starch Physicochemical and Textural Properties Under Different Crop Management Practices
3.2.1. Pasting Properties of Starch
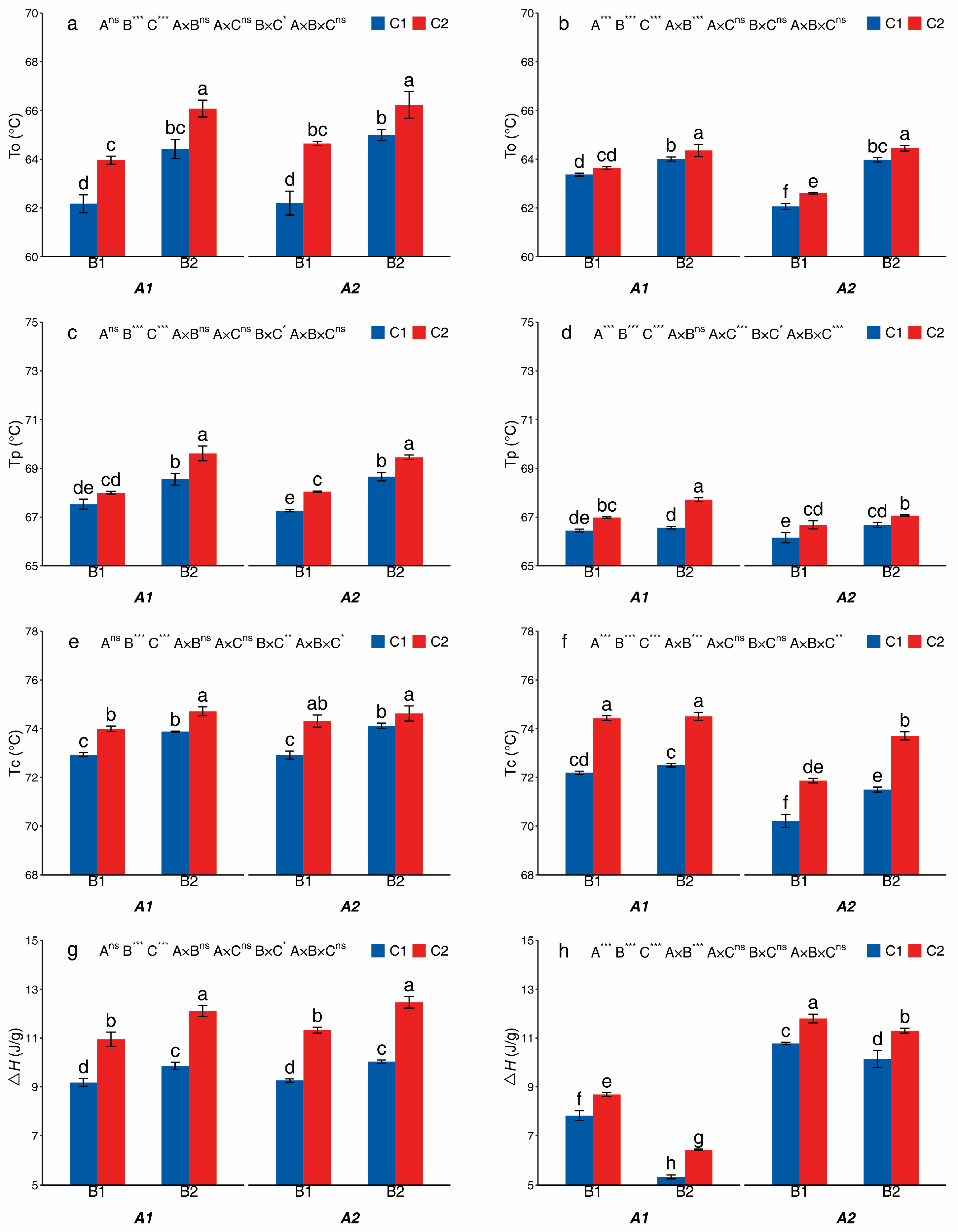
3.2.2. Thermal Properties
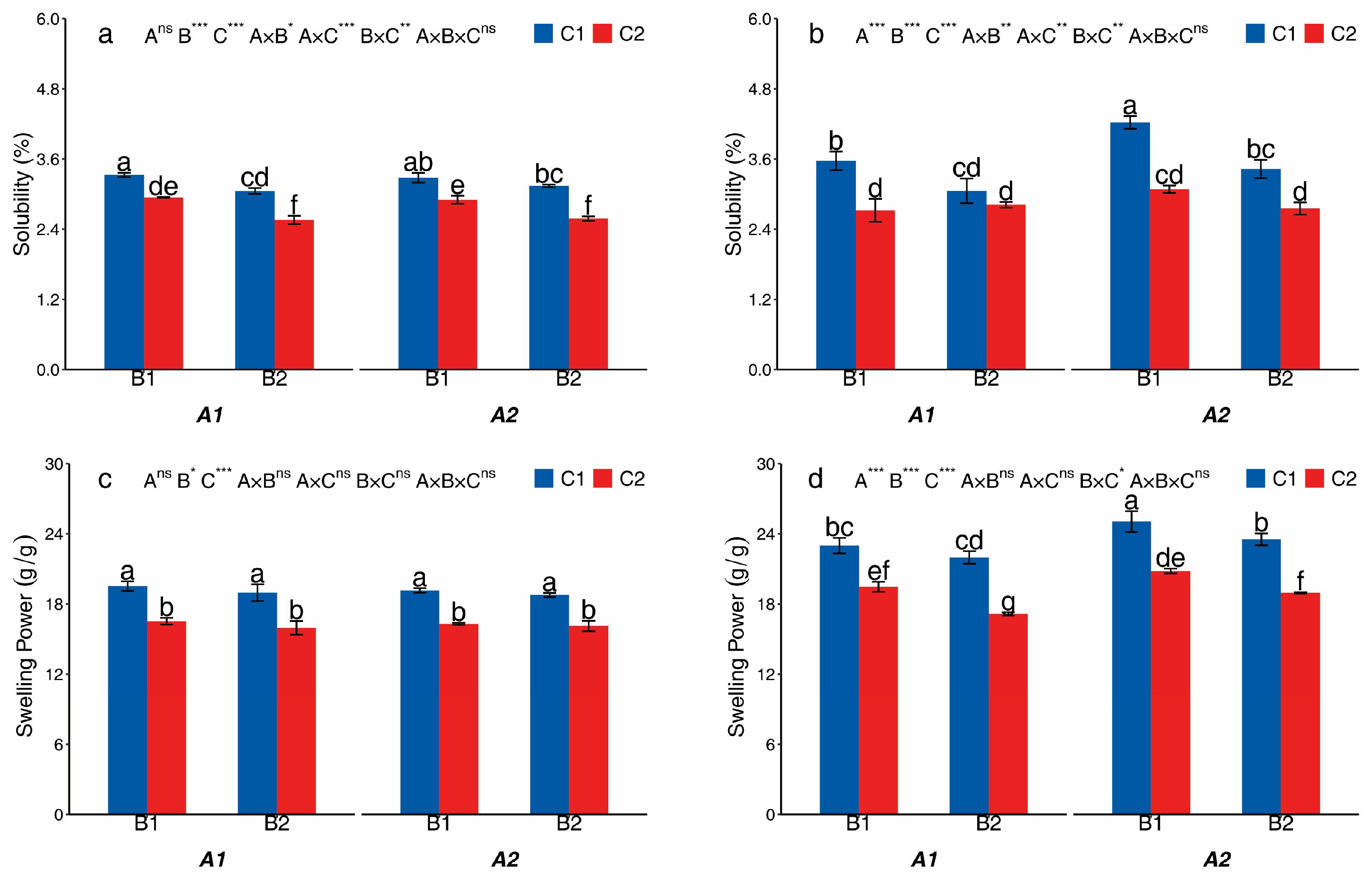
3.2.3. Swelling Power and Solubility
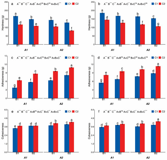
3.3. Textural Properties of Cooked Potatoes
3.4. Correlations Between Starch Structure and Physicochemical Properties
4. Discussion
4.1. Effects of Crop Management Practices on the Potato Starch Composition and Granule Size
4.2. Effects of Crop Management Practices on the Potato Starch Physicochemical and Textural Properties
5. Conclusions
Author Contributions
Funding
Institutional Review Board Statement
Informed Consent Statement
Data Availability Statement
Acknowledgments
Conflicts of Interest
References
- Devaux, A.; Goffart, J.-P.; Kromann, P.; Andrade-Piedra, J.; Polar, V.; Hareau, G. The potato of the future: Opportunities and challenges in sustainable agri-food systems. Potato Res. 2021, 64, 681–720. [Google Scholar] [CrossRef] [PubMed]
- Tong, C.; Ma, Z.; Chen, H.; Gao, H. Toward an understanding of potato starch structure, function, biosynthesis, and applications. Food Front. 2023, 4, 980–1000. [Google Scholar] [CrossRef]
- Tian, Y.; Wang, Y.; Zhong, Y.; Møller, M.S.; Westh, P.; Svensson, B.; Blennow, A. Interfacial catalysis during amylolytic degradation of starch granules: Current understanding and kinetic approaches. Molecules 2023, 28, 3799. [Google Scholar] [CrossRef] [PubMed]
- Ahmad, D.; Ying, Y.; Bao, J. Understanding starch biosynthesis in potatoes for metabolic engineering to improve starch quality: A detailed review. Carbohydr. Polym. 2024, 346, 122592. [Google Scholar] [CrossRef]
- Kong, S.; Qi, W.; Li, X.; Cao, J.; Xie, Y.; Cheng, J. Clarifying the structure and characteristics of different varieties potatoes starch. Int. J. Biol. Macromol. 2025, 306, 141631. [Google Scholar] [CrossRef]
- Gu, X.; Zhang, X.; Lu, W.; Lu, D. Starch structural and functional properties of waxy maize under different temperature regimes at grain formation stage. Food Chem. X 2022, 16, 100463. [Google Scholar] [CrossRef]
- Ahmad, D.; Zhang, L.; Gao, Y.; Hu, Y.; Deng, B.; Tong, C.; Bao, J. Genotypic diversity and genome-wide association study of phosphorus content, amylose content, pasting, and textural properties of potato starch. Carbohydr. Polym. 2025, 367, 123956. [Google Scholar] [CrossRef]
- Yan, X.; McClements, D.J.; Luo, S.; Liu, C.; Ye, J. Recent advances in the impact of gelatinization degree on starch: Structure, properties and applications. Carbohydr. Polym. 2024, 340, 122273. [Google Scholar] [CrossRef]
- Xing, B.; Yang, X.; Zou, L.; Liu, J.; Liang, Y.; Li, M.; Zhang, Z.; Wang, N.; Ren, G.; Zhang, L. Starch chain-length distributions determine cooked foxtail millet texture and starch physicochemical properties. Carbohydr. Polym. 2023, 320, 121240. [Google Scholar] [CrossRef]
- Lacerda, L.D.; da Silveira, N.P.; Bondam, A.F.; Hoffmann, J.F. Starch gelatinization behavior: The impact of granular structure. Starch-Stärke 2024, 76, 2300143. [Google Scholar] [CrossRef]
- Chen, L.; Guo, L.; Deng, X.; Pan, X.; Liao, P.; Xiong, Q.; Gao, H.; Wei, H.; Dai, Q.; Zeng, Y. Effects of biochar on rice yield, grain quality and starch viscosity attributes. J. Sci. Food Agric. 2023, 103, 5747–5753. [Google Scholar] [CrossRef]
- Xiong, R.; Tan, X.; Yang, T.; Pan, X.; Zeng, Y.; Huang, S.; Shang, Q.; Zhang, J.; Zeng, Y. Relation of cooked rice texture to starch structure and physicochemical properties under different nitrogen managements. Carbohydr. Polym. 2022, 295, 119882. [Google Scholar] [CrossRef] [PubMed]
- Ahmed, S.; Ru, W.; Cheng, L.; Bian, X.; Zhang, L.; Jin, L.; Bao, J. Genetic diversity and stability in starch physicochemical property traits of potato breeding lines. Food Chem. 2019, 290, 201–207. [Google Scholar] [CrossRef] [PubMed]
- Xu, J.-Z.; Zhang, M.-L.; He, W.-Q.; Sui, P.; Chen, Y.-Q.; Cui, J.-X. Yield-increasing effects under plastic film mulching of potato in China based on meta-analysis. Sci. Agric. Sin. 2023, 56, 2895–2906. [Google Scholar]
- Hou, F.-Y.; Dong, S.-X.; Xie, B.-T.; Zhang, H.-Y.; Li, A.-X.; Wang, Q.-M. Mulching with plastic film improved the root quality of summer-sown sweet potato (Ipomoea batatas (L). Lam.) in northern China. J. Integr. Agric. 2019, 18, 982–991. [Google Scholar] [CrossRef]
- Liu, X.; Rahman, T.; Song, C.; Su, B.; Yang, F.; Yong, T.; Wu, Y.; Zhang, C.; Yang, W. Changes in light environment, morphology, growth and yield of soybean in maize-soybean intercropping systems. Field Crops Res. 2017, 200, 38–46. [Google Scholar] [CrossRef]
- Yang, H.; Zhao, J.; Ma, H.; Shi, Z.; Huang, X.; Fan, G. Shading affects the starch structure and digestibility of wheat by regulating the photosynthetic light response of flag leaves. Int. J. Biol. Macromol. 2023, 236, 123972. [Google Scholar] [CrossRef]
- Hou, P.; Ding, Y.; Zhang, G.; Li, Q.; Wang, S.; Tang, S.; Liu, Z.; Ding, C.; Li, G. Effects of rice or wheat residue retention on the quality of milled japonica rice in a rice–wheat rotation system in China. Crop J. 2015, 3, 67–73. [Google Scholar] [CrossRef]
- Wei, Y.; Li, G.; Zhu, F. Impact of long-term ultrasound treatment on structural and physicochemical properties of starches differing in granule size. Carbohydr. Polym. 2023, 320, 121195. [Google Scholar] [CrossRef] [PubMed]
- Waleed, A.-A.; Mushtaq, B.S.; Mahdi, A.A.; Al-Maqtari, Q.A.; Abduqader, A.-A.; Ahmed, A.; Fan, M.; Li, Y.; Qian, H.; Jinxin, L. Molecular structure, morphological, and physicochemical properties of highlands barley starch as affected by natural fermentation. Food Chem. 2021, 356, 129665. [Google Scholar] [CrossRef]
- Zhang, W.; Yang, Q.; Xia, M.; Bai, W.; Wang, P.; Gao, X.; Li, J.; Feng, B.; Gao, J. Effects of nitrogen level on the physicochemical properties of Tartary buckwheat (Fagopyrum tataricum (L.) Gaertn.) starch. Int. J. Biol. Macromol. 2019, 129, 799–808. [Google Scholar] [CrossRef]
- Guo, K.; Liu, T.; Xu, A.; Zhang, L.; Bian, X.; Wei, C. Structural and functional properties of starches from root tubers of white, yellow, and purple sweet potatoes. Food Hydrocoll. 2019, 89, 829–836. [Google Scholar] [CrossRef]
- Sevenou, O.; Hill, S.; Farhat, I.; Mitchell, J. Organisation of the external region of the starch granule as determined by infrared spectroscopy. Int. J. Biol. Macromol. 2002, 31, 79–85. [Google Scholar] [CrossRef]
- Liu, H.; Wang, L.; Cao, R.; Fan, H.; Wang, M. In vitro digestibility and changes in physicochemical and structural properties of common buckwheat starch affected by high hydrostatic pressure. Carbohydr. Polym. 2016, 144, 1–8. [Google Scholar] [CrossRef]
- Zhao, Y.; Mao, X.; Li, S.; Huang, X.; Che, J.; Ma, C. A review of plastic film mulching on water, heat, nitrogen balance, and crop growth in farmland in China. Agronomy 2023, 13, 2515. [Google Scholar] [CrossRef]
- Dinu, M.; Soare, R.; Poulianiti, K.; Karageorgou, I.; Bozinou, E.; Makris, D.P.; Lalas, S.; Botu, M. Mulching Effect on Quantitative and Qualitative Characteristics of Yield in Sweet Potatoes. Horticulturae 2022, 8, 271. [Google Scholar] [CrossRef]
- Rebarz, K.; Borówczak, F.; Gaj, R.; Frieske, T. Effects of Cover Type and Harvest Date on Yield, Quality and Cost-Effectiveness of Early Potato Cultivation. Am. J. Potato Res. 2015, 92, 359–366. [Google Scholar] [CrossRef]
- Hou, X.; Li, R. Interactive effects of autumn tillage with mulching on soil temperature, productivity and water use efficiency of rainfed potato in loess plateau of China. Agric. Water Manag. 2019, 224, 105747. [Google Scholar] [CrossRef]
- Wang, W.T.; Cui, W.P.; Xu, K.; Gao, H.; Wei, H.Y.; Zhang, H.C. Effects of Early- and Late-Sowing on Starch Accumulation and Associated Enzyme Activities During Grain Filling Stage in Rice. Rice Sci. 2021, 28, 191–199. [Google Scholar] [CrossRef]
- Hastilestari, B.R.; Lorenz, J.; Reid, S.; Hofmann, J.; Pscheidt, D.; Sonnewald, U.; Sonnewald, S. Deciphering source and sink responses of potato plants (Solanum tuberosum L.) to elevated temperatures. Plant Cell Environ. 2018, 41, 2600–2616. [Google Scholar] [CrossRef]
- Yang, T.; Yang, H.; Zhang, B.; Wu, L.; Huang, Q.; Zou, J.; Jiang, Y.; Zhang, N. Effects of warming on starch structure, rice flour pasting property, and cooked rice texture in a double rice cropping system. Cereal Chem. 2022, 99, 680–691. [Google Scholar] [CrossRef]
- Zhou, R.; Hu, Q.J.; Meng, X.F.; Zhang, Y.; Shuai, X.Y.; Gu, Y.F.; Li, Y.Y.; Chen, M.X.; Wang, B.H.; Cao, Y.Y. Effects of high temperature on grain quality and enzyme activity in heat-sensitive versus heat-tolerant rice cultivars. J. Sci. Food Agric. 2024, 104, 9729–9741. [Google Scholar] [CrossRef]
- Iqbal, A.; Xie, H.; He, L.; Ahmad, S.; Hussain, I.; Raza, H.; Khan, A.; Wei, S.; Quan, Z.; Wu, K. Partial substitution of organic nitrogen with synthetic nitrogen enhances rice yield, grain starch metabolism and related genes expression under the dual cropping system. Saudi J. Biol. Sci. 2021, 28, 1283–1296. [Google Scholar] [CrossRef]
- Su, W.; Xie, R.R.; Wang, J. Effects of straw returning on activities and gene expression of key enzymes related to tuber starch synthesis in rainfed potato. Chin. J. Ecol. 2020, 39, 1566. [Google Scholar]
- Ai, X.; Xiong, R.; Tan, X.; Wang, H.; Zeng, Y.; Huang, S.; Shang, Q.; Pan, X.; Shi, Q.; Zhang, J. Low temperature and light combined stress after heading on starch fine structure and physicochemical properties of late-season indica rice with different grain quality in southern China. Food Res. Int. 2023, 164, 112320. [Google Scholar] [CrossRef]
- Sharaiha, R.; Battikhi, A. A study on potato/corn intercropping-microclimate modification and yield advantages. Dirasat Agric. Sci. 2002, 29, 97–108. [Google Scholar]
- Guo, K.; Lin, L.S.; Li, E.P.; Zhong, Y.Y.; Blennow, A.; Bian, X.F.; Wei, C.X.; Petersen, B.L. Effects of growth temperature on multi-scale structure of root tuber starch in sweet potato. Carbohydr. Polym. 2022, 298, 120136. [Google Scholar] [CrossRef]
- Singh, N.; Kaur, L. Morphological, thermal, rheological and retrogradation properties of potato starch fractions varying in granule size. J. Sci. Food Agric. 2004, 84, 1241–1252. [Google Scholar] [CrossRef]
- Singh, N.; Kaur, S.; Isono, N.; Ichihashi, Y.; Noda, T.; Kaur, A.; Rana, J.C. Diversity in characteristics of starch amongst rice bean (Vigna umbellate) germplasm: Amylopectin structure, granules size distribution, thermal and rheology. Food Res. Int. 2012, 46, 194–200. [Google Scholar] [CrossRef]
- Yang, S.Q.; Chen, L.M.; Xiong, R.Y.; Jiang, J.L.; Liu, Y.Q.; Tan, X.M.; Liu, T.J.; Zeng, Y.J.; Pan, X.H.; Zeng, Y.H. Long-term straw return improves cooked indica rice texture by altering starch structural, physicochemical properties in South China. Food Chem. X 2023, 20, 100965. [Google Scholar] [CrossRef] [PubMed]
- Dong, L.; Wang, Y.; Cheng, X.; Luo, Y. Estimating carbon sink potential of urban green space plants using light response curves: A case study of native plants in Chongqing. Int. J. Environ. Sci. Technol. 2024, 22, 11295–11318. [Google Scholar] [CrossRef]
- Mushagalusa, G.N.; Ledent, J.-F.; Draye, X. Shoot and root competition in potato/maize intercropping: Effects on growth and yield. Environ. Exp. Bot. 2008, 64, 180–188. [Google Scholar] [CrossRef]
- Pleijel, H.; Danielsson, H.; Vandermeiren, K.; Blum, C.; Colls, J.; Ojanperä, K. Stomatal conductance and ozone exposure in relation to potato tuber yield—Results from the European CHIP programme. Eur. J. Agron. 2002, 17, 303–317. [Google Scholar] [CrossRef]
- Liu, X.; Cai, R.; Li, Y.; Zhang, M.; Yang, M.; Zhang, Y. Starch component characteristics and physicochemical properties in wheat grains with different amylose contents in relation to low light after anthesis. Starch-Stärke 2018, 70, 1700050. [Google Scholar] [CrossRef]
- Deng, F.; Li, Q.; Chen, H.; Zeng, Y.; Li, B.; Zhong, X.; Wang, L.; Ren, W. Relationship between chalkiness and the structural and thermal properties of rice starch after shading during grain-filling stage. Carbohydr. Polym. 2021, 252, 117212. [Google Scholar] [CrossRef]








| Variety | Treatment | Dry Matter | Total Starch | Amylose Content | Amylopectin Content | Amylose/ Amylopectin |
|---|---|---|---|---|---|---|
| % | % | % | % | % | ||
| Huayu-5 | A1B1C1 | 20.31 ± 0.16 a | 78.01 ± 1.01 a | 14.36 ± 0.53 a | 63.65 ± 0.56 a | 22.56 ± 0.71 a |
| A1B1C2 | 18.62 ± 0.57 bc | 70.96 ± 0.50 d | 13.41 ± 0.46 ab | 60.56 ± 0.52 b | 23.29 ± 0.89 a | |
| A1B2C1 | 19.55 ± 0.48 ab | 75.91 ± 1.13 ab | 12.44 ± 0.44 bc | 63.47 ± 0.70 a | 19.59 ± 0.47 b | |
| A1B2C2 | 17.80 ± 0.21 c | 71.49 ± 0.52 cd | 11.59 ± 0.31 cd | 59.89 ± 0.21 b | 20.02 ± 0.83 b | |
| A2B1C1 | 19.06 ± 0.43 b | 73.73 ± 0.73 bc | 12.31 ± 0.49 cd | 61.43 ± 0.29 b | 20.03 ± 0.73 b | |
| A2B1C2 | 16.11 ± 0.12 d | 62.10 ± 0.69 e | 11.29 ± 0.12 de | 50.81 ± 0.57 c | 22.23 ± 0.03 a | |
| A2B2C1 | 16.04 ± 0.59 d | 71.73 ± 1.42 cd | 11.78 ± 0.12 cd | 59.95 ± 1.37 b | 19.66 ± 0.40 b | |
| A2B2C2 | 14.52 ± 0.32 e | 59.88 ± 0.15 e | 10.39 ± 0.37 e | 49.49 ± 0.30 c | 20.00 ± 0.87 b | |
| A | *** | *** | *** | *** | ** | |
| B | *** | *** | *** | ** | *** | |
| C | *** | *** | *** | *** | ** | |
| A × B | *** | ns | ** | ns | ** | |
| A × C | ns | *** | ns | *** | ns | |
| B × C | ns | ns | ns | ns | ns | |
| A × B × C | * | ns | ns | ns | ns | |
| Mira | A1B1C1 | 23.71 ± 0.14 a | 73.00 ± 0.86 c | 13.91 ± 0.09 a | 59.09 ± 0.89 d | 23.54 ± 0.43 a |
| A1B1C2 | 21.97 ± 0.79 bc | 63.73 ± 0.43 f | 12.12 ± 0.10 c | 53.95 ± 0.05 f | 22.47 ± 0.16 ab | |
| A1B2C1 | 22.48 ± 0.17 b | 75.80 ± 0.23 b | 13.31 ± 0.27 ab | 62.49 ± 0.25 b | 21.30 ± 0.49 bc | |
| A1B2C2 | 21.54 ± 0.31 c | 66.78 ± 0.70 e | 10.15 ± 0.26 de | 56.63 ± 0.55 e | 17.92 ± 0.41 e | |
| A2B1C1 | 21.44 ± 0.18 c | 75.17 ± 1.25 bc | 13.09 ± 0.22 b | 62.08 ± 1.03 bc | 21.08 ± 0.00 c | |
| A2B1C2 | 19.25 ± 0.27 d | 64.21 ± 0.18 f | 10.57 ± 0.31 d | 53.63 ± 0.21 f | 19.72 ± 0.64 d | |
| A2B2C1 | 21.40 ± 0.21 c | 78.36 ± 1.61 a | 11.74 ± 0.23 c | 66.62 ± 1.38 a | 17.62 ± 0.04 e | |
| A2B2C2 | 18.05 ± 0.16 e | 69.61 ± 0.83 d | 9.66 ± 0.33 e | 59.95 ± 0.88 cd | 16.12 ± 0.66 f | |
| A | *** | ** | *** | *** | *** | |
| B | *** | *** | *** | *** | *** | |
| C | *** | *** | *** | *** | *** | |
| A × B | ns | ** | ns | ** | ns | |
| A × C | *** | * | ns | ** | * | |
| B × C | ns | ns | * | ns | ** | |
| A × B × C | *** | ** | *** | ns | ** |
| Variety | Treatment | Volume Average | Specific | Medium | Volume Fraction of Different Diameter Starch Granule (%) | ||
|---|---|---|---|---|---|---|---|
| Particle Size (μm) | Surface Area (m2/kg) | Diameter (μm) | <30 μm | 30–50 μm | >50 μm | ||
| Huayu-5 | A1B1C1 | 50.13 ± 0.29 b | 145.73 ± 2.84 ab | 42.13 ± 0.51 d | 17.93 ± 0.61 b | 40.83 ± 0.43 b | 42.83 ± 2.63 ab |
| A1B1C2 | 48.6 ± 0.36 c | 135.50 ± 0.36 d | 44.67 ± 0.15 bc | 17.75 ± 0.18 b | 43.87 ± 0.51 a | 43.66 ± 1.94 a | |
| A1B2C1 | 47.4 ± 0.57 cd | 142.13 ± 0.15 bc | 45.93 ± 0.15 b | 21.12 ± 0.60 a | 39.57 ± 0.28 b | 41.56 ± 1.46 ab | |
| A1B2C2 | 56.13 ± 0.71 a | 121.27 ± 0.97 e | 47.63 ± 0.15 a | 12.66 ± 0.46 d | 36.83 ± 1.27 c | 39.94 ± 3.06 b | |
| A2B1C1 | 50.38 ± 0.79 b | 148.83 ± 0.95 a | 41.90 ± 0.46 d | 15.08 ± 0.51 c | 44.1 ± 0.95 a | 43.31 ± 1.39 ab | |
| A2B1C2 | 47.37 ± 0.50 cd | 135.50 ± 0.56 d | 43.97 ± 0.64 c | 15.91 ± 0.52 c | 43.43 ± 0.86 a | 44.31 ± 2.42 a | |
| A2B2C1 | 46.63 ± 0.67 d | 140.83 ± 1.50 c | 45.73 ± 0.71 b | 21.46 ± 0.54 a | 44.05 ± 0.63 a | 42.83 ± 3.4 ab | |
| A2B2C2 | 50.53 ± 0.15 b | 122.73 ± 1.10 e | 47.57 ± 0.42 a | 11.43 ± 0.44 d | 39.74 ± 1.78 b | 40.96 ± 1.89 ab | |
| A | ** | ns | ns | *** | *** | ns | |
| B | ns | *** | *** | ns | *** | * | |
| C | * | *** | *** | *** | ** | ns | |
| A × B | ns | ns | ns | ** | * | ns | |
| A × C | ns | ns | ns | ns | ** | ns | |
| B × C | *** | *** | ns | *** | *** | ns | |
| A × B × C | ns | * | ns | ** | ns | ns | |
| Mira | A1B1C1 | 41.37 ± 0.06 c | 169.23 ± 2.18 c | 39.13 ± 0.06 cd | 34.75 ± 0.46 b | 41.45 ± 0.24 bc | 23.80 ± 0.25 c |
| A1B1C2 | 43.57 ± 0.49 a | 157.20 ± 1.51 d | 40.57 ± 0.31 b | 28.46 ± 1.2 cd | 44.13 ± 1.54 ab | 27.40 ± 0.38 b | |
| A1B2C1 | 38.93 ± 0.23 e | 160.90 ± 2.77 d | 39.80 ± 0.20 bc | 25.89 ± 1.16 de | 42.25 ± 0.63 bc | 32.19 ± 1.48 a | |
| A1B2C2 | 42.37 ± 0.21 b | 146.37 ± 2.90 e | 42.70 ± 0.50 a | 24.71 ± 2.33 e | 41.55 ± 2.26 bc | 32.98 ± 2.11 a | |
| A2B1C1 | 36.43 ± 0.15 g | 188.53 ± 0.47 a | 33.67 ± 0.38 g | 39.04 ± 0.94 a | 39.97 ± 0.72 c | 21.00 ± 0.60 cd | |
| A2B1C2 | 39.83 ± 0.3 d | 167.53 ± 1.86 c | 37.13 ± 0.06 e | 36.02 ± 1.08 ab | 41.66 ± 0.79 bc | 22.32 ± 0.33 cd | |
| A2B2C1 | 37.23 ± 0.21 f | 180.33 ± 0.84 b | 36.20 ± 0.35 f | 35.96 ± 1.64 ab | 43.57 ± 0.82 ab | 20.47 ± 1.08 d | |
| A2B2C2 | 40.95 ± 0.33 c | 162.17 ± 0.95 d | 38.40 ± 0.10 d | 30.74 ± 0.54 c | 46.27 ± 0.50 a | 22.98 ± 0.73 cd | |
| A | *** | ns | *** | *** | ns | *** | |
| B | *** | *** | *** | *** | ns | *** | |
| C | *** | *** | *** | *** | * | *** | |
| A × B | *** | ns | * | * | ** | *** | |
| A × C | *** | ns | * | ns | ns | ns | |
| B × C | *** | ns | ns | ns | ns | ns | |
| A × B × C | ** | ns | *** | ** | * | ns | |
| Variety | Treatment | Peak Viscosity | Hot Viscosity | Final Viscosity | Breakdown Viscosity | Setback Viscosity |
|---|---|---|---|---|---|---|
| (cP) | (cP) | (cP) | (cP) | (cP) | ||
| Huayu-5 | A1B1C1 | 2456.67 ± 132.59 e | 1226.00 ± 10.54 d | 2361.00 ± 113.93 e | 1230.67 ± 122.14 d | 1135.00 ± 103.48 b |
| A1B1C2 | 2872.00 ± 100.06 d | 1565.67 ± 16.8 b | 2657.67 ± 63.06 cd | 1306.33 ± 83.76 cd | 1092.00 ± 79.17 b | |
| A1B2C1 | 3166.33 ± 129.25 bc | 1428.33 ± 25.32 c | 2834.33 ± 61.08 bc | 1738.00 ± 105.00 b | 1406.00 ± 77.66 a | |
| A1B2C2 | 3745.00 ± 76.27 a | 1771.33 ± 43.06 a | 3032.67 ± 28.92 a | 1973.67 ± 35.85 a | 1261.33 ± 66.71 ab | |
| A2B1C1 | 2404.00 ± 107.53 e | 1212.33 ± 13.05 d | 2336.67 ± 73.24 e | 1191.67 ± 103.02 d | 1124.33 ± 83.74 b | |
| A2B1C2 | 3017.33 ± 115.37 cd | 1542.33 ± 28.59 b | 2616.33 ± 81.73 d | 1475.00 ± 88.76 c | 1074.00 ± 110.31 b | |
| A2B2C1 | 3304.33 ± 42.55 b | 1418.33 ± 22.48 c | 2905.67 ± 6.66 ab | 1886.00 ± 20.66 ab | 1487.33 ± 26.50 a | |
| A2B2C2 | 3777.33 ± 50.62 a | 1802.33 ± 24.17 a | 3074.33 ± 52.62 a | 1975.00 ± 40.63 a | 1272.00 ± 76.18 ab | |
| A | ns | ns | ns | ns | ns | |
| B | *** | *** | *** | *** | *** | |
| C | *** | *** | *** | *** | ** | |
| A × B | ns | ns | ns | ns | ns | |
| A × C | ns | ns | ns | ns | ns | |
| B × C | ns | ns | ns | ns | ns | |
| A × B × C | ns | ns | ns | * | ns | |
| Mira | A1B1C1 | 2243.33 ± 79.43 c | 1095.00 ± 15.13 e | 2054.33 ± 113.54 c | 1148.33 ± 70.30 cd | 959.33 ± 102.75 c |
| A1B1C2 | 2499.33 ± 80.59 bc | 1125.67 ± 21.22 de | 2347.33 ± 96.34 b | 1373.67 ± 86.63 bc | 1221.67 ± 97.03 b | |
| A1B2C1 | 2625.00 ± 97.78 b | 1155.67 ± 6.66 cd | 2345.67 ± 121.01 b | 1469.33 ± 104.43 b | 1190.00 ± 126.48 bc | |
| A1B2C2 | 2972.33 ± 80.13 a | 1197.67 ± 4.93 bc | 2172.33 ± 127.54 bc | 1774.67 ± 84.33 a | 974.67 ± 131.50 bc | |
| A2B1C1 | 1919.00 ± 34.04 d | 1162.00 ± 11.53 cd | 2272.67 ± 55.58 bc | 757.00 ± 27.22 e | 1110.67 ± 47.90 bc | |
| A2B1C2 | 2330.00 ± 106.41 c | 1236.00 ± 11.27 ab | 2387.00 ± 61.99 ab | 1094.00 ± 105.10 d | 1151.00 ± 70.77 bc | |
| A2B2C1 | 2443.33 ± 93.49 bc | 1132.00 ± 23.64 de | 2626.67 ± 60.87 a | 1311.33 ± 112.08 bcd | 1494.67 ± 47.50 a | |
| A2B2C2 | 2676.00 ± 150.37 b | 1272.00 ± 19.31 a | 2411.33 ± 76.46 ab | 1404.00 ± 140.18 bc | 1139.33 ± 70.73 bc | |
| A | *** | *** | *** | *** | ** | |
| B | *** | *** | ** | *** | * | |
| C | *** | *** | ns | *** | ns | |
| A × B | ns | *** | ns | ns | * | |
| A × C | ns | *** | ns | ns | * | |
| B × C | ns | ** | *** | ns | *** | |
| A × B × C | ns | * | ns | ns | ns |
Disclaimer/Publisher’s Note: The statements, opinions and data contained in all publications are solely those of the individual author(s) and contributor(s) and not of MDPI and/or the editor(s). MDPI and/or the editor(s) disclaim responsibility for any injury to people or property resulting from any ideas, methods, instructions or products referred to in the content. |
© 2025 by the authors. Licensee MDPI, Basel, Switzerland. This article is an open access article distributed under the terms and conditions of the Creative Commons Attribution (CC BY) license (https://creativecommons.org/licenses/by/4.0/).
Share and Cite
Deng, Z.; Sun, G.; Zhou, K.; Li, M.; Liang, F.; Wang, J.; Lyu, C. Plastic Mulching Film and Straw Return Alter Starch Physicochemical and Tuber Textural Properties of Intercropping Potatoes. Foods 2025, 14, 3179. https://doi.org/10.3390/foods14183179
Deng Z, Sun G, Zhou K, Li M, Liang F, Wang J, Lyu C. Plastic Mulching Film and Straw Return Alter Starch Physicochemical and Tuber Textural Properties of Intercropping Potatoes. Foods. 2025; 14(18):3179. https://doi.org/10.3390/foods14183179
Chicago/Turabian StyleDeng, Zhenpeng, Guangyan Sun, Keyou Zhou, Mingcong Li, Fengming Liang, Jichun Wang, and Changwen Lyu. 2025. "Plastic Mulching Film and Straw Return Alter Starch Physicochemical and Tuber Textural Properties of Intercropping Potatoes" Foods 14, no. 18: 3179. https://doi.org/10.3390/foods14183179
APA StyleDeng, Z., Sun, G., Zhou, K., Li, M., Liang, F., Wang, J., & Lyu, C. (2025). Plastic Mulching Film and Straw Return Alter Starch Physicochemical and Tuber Textural Properties of Intercropping Potatoes. Foods, 14(18), 3179. https://doi.org/10.3390/foods14183179

