Dissipation Behavior and Risk Assessment of Three Pesticide Residues Under Combined Application in Greenhouse-Grown Cabbage
Abstract
1. Introduction
2. Materials and Methods
2.1. Chemicals and Reagents
2.2. Instruments and Equipment
2.3. Field Experiment Design and Sampling
2.4. Sample Preparation
2.5. Integrated Chromatographic and Mass Spectrometric Conditions
2.6. Method Validation
2.7. Theoretical Calculation
2.7.1. Dissipation Kinetics
2.7.2. Risk Assessment
3. Results and Discussion
3.1. Method Performance and Quality Assurance
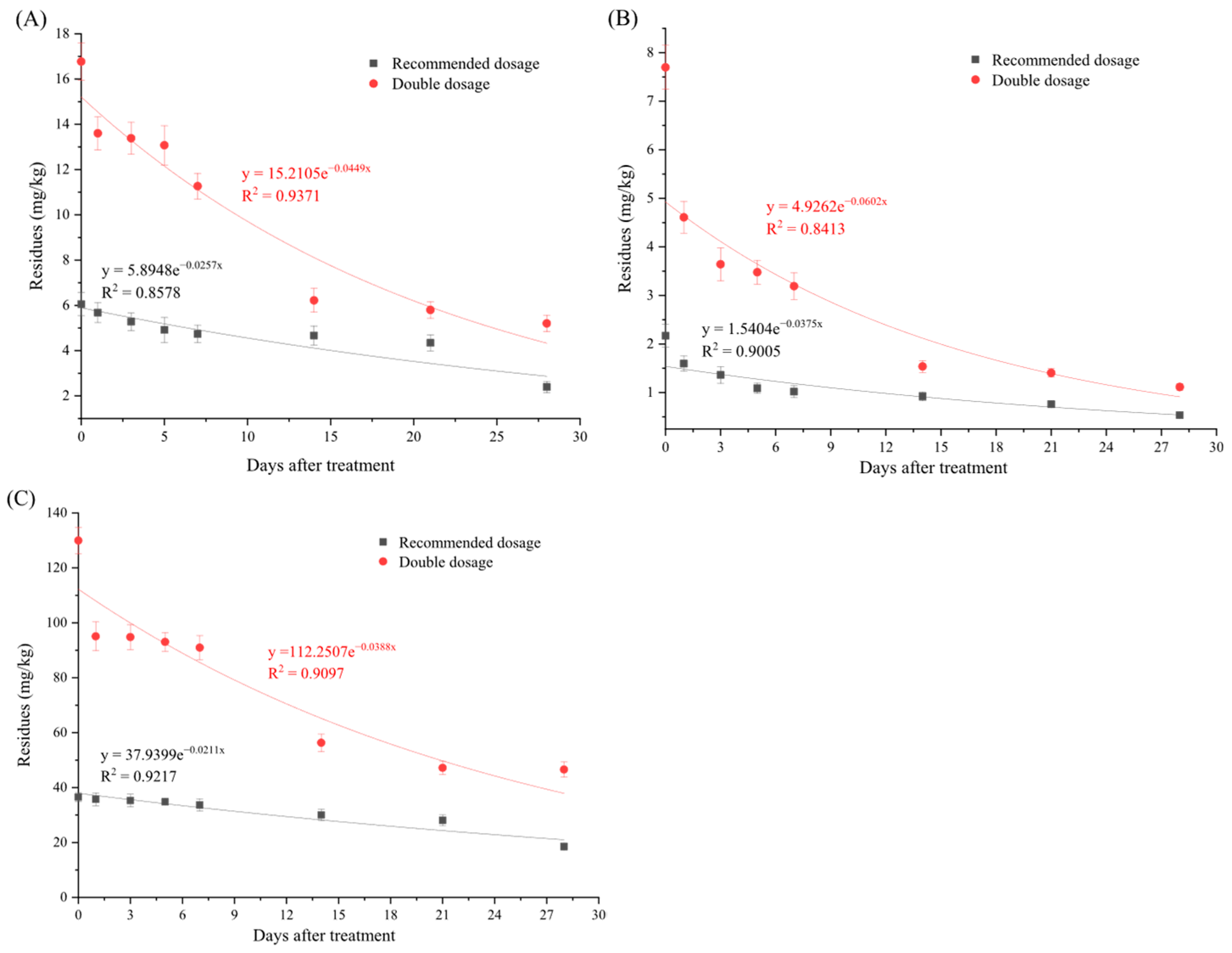
3.2. Dissipation of Three Pesticides in Cabbage
3.3. Terminal Residual Levels of Three Pesticides in Cabbage
3.4. Health Risk Assessment of Pesticide Residues in Cabbage
4. Conclusions
Supplementary Materials
Author Contributions
Funding
Institutional Review Board Statement
Informed Consent Statement
Data Availability Statement
Conflicts of Interest
References
- Li, C.J.; Zhu, H.M.; Li, C.Y.; Qian, H.; Yao, W.R.; Guo, Y.H. The present situation of pesticide residues in China and their removal and transformation during food processing. Food Chem. 2021, 354, 129552. [Google Scholar] [CrossRef] [PubMed]
- FAO. FAOSTAT; FAO: Rome, Italy, 2025; Available online: http://www.fao.org/faostat/en/#home (accessed on 22 April 2025).
- Fradejas-García, I.; Molina, J.L.; Lubbers, M.J. Migrant entrepreneurs in the ‘Farm of Europe’: The role of transnational structures. Globalizations 2024, 21, 453–470. [Google Scholar] [CrossRef]
- Zhang, Z.L.; Sun, D.; Tang, Y.; Zhu, R.; Li, X.; Gruda, N.; Dong, J.L.; Duan, Z.Q. Plastic shed soil salinity in China: Current status and next steps. J. Clean. Prod. 2021, 296, 126453. [Google Scholar] [CrossRef]
- Franzke, A.; Lysak, M.A.; Al-Shehbaz, I.A.; Koch, M.A.; Mummenhoff, K. Cabbage family affairs: The evolutionary history of Brassicaceae. Trends Plant Sci. 2011, 16, 108–116. [Google Scholar] [CrossRef]
- Zhu, M.Z.; Wang, Y.; Lu, S.J.; Yang, L.M.; Zhuang, M.; Zhang, Y.Y.; Lv, H.H.; Fang, Z.Y.; Hou, X.L. Genome-wide identification and analysis of cytokinin dehydrogenase/oxidase (CKX) family genes in Brassica oleracea L. reveals their involvement in response to Plasmodiophora brassicae infections. Hortic. Plant J. 2022, 8, 68–80. [Google Scholar] [CrossRef]
- Verkerk, R.; Dekker, M.; Jongen, W.M.F. Post-harvest increase of indolyl glucosinolates in response to chopping and storage of Brassica vegetables. J. Sci. Food Agric. 2001, 81, 953–958. [Google Scholar] [CrossRef]
- Guerrero-Beltrán, C.E.; Calderón-Oliver, M.; Pedraza-Chaverri, J.; Chirino, Y.I. Protective effect of sulforaphane against oxidative stress: Recent advances. Exp. Toxicol. Pathol. 2012, 64, 503–508. [Google Scholar] [CrossRef] [PubMed]
- Herr, I.; Buchler, M.W. Dietary constituents of broccoli and other cruciferous vegetables: Implications for prevention and therapy of cancer. Cancer Treat. Rev. 2010, 36, 377–383. [Google Scholar] [CrossRef]
- Wood, P.M.; Hollomon, D.W. A Critical Evaluation of the Role of Alternative Oxidase in the Performance of Strobilurin and Related Fungicides Acting at Qo Site of Complex III. Pest Manag. Sci. 2003, 59, 499–511. [Google Scholar] [CrossRef]
- Park, D.W.; Yang, Y.S.; Lee, Y.U.; Han, S.J.; Kim, H.J.; Kim, S.H.; Kim, J.P.; Cho, S.J.; Lee, D.; Song, N.; et al. Pesticide Residues and Risk Assessment from Monitoring Programs in the Largest Production Area of Leafy Vegetables in South Korea: A 15-Year Study. Foods 2021, 10, 425. [Google Scholar] [CrossRef]
- Maienfisch, P.; Angst, M.; Brandl, F.; Fischer, W.; Hofer, D.; Kayser, H.; Kobel, W.; Rindlisbacher, A.; Senn, R.; Steinemann, A.; et al. Chemistry and biology of thiamethoxam: A second generation neonicotinoid. Pest Manag. Sci. 2001, 57, 906–913. [Google Scholar] [CrossRef]
- Zhou, Y.J.; Xu, J.Q.; Zhu, Y.Y.; Duan, Y.B.; Zhou, M.G. Mechanism of action of the benzimidazole fungicide on fusarium graminearum: Interfering with polymerization of monomeric tubulin but not polymerized microtubule. Phytopathology 2016, 106, 807–813. [Google Scholar] [CrossRef]
- Wang, D.; Yang, G.L.; Yun, X.; Luo, T.; Guo, H.; Pan, L.Y.; Du, W.; Wang, Y.H.; Wang, Q.; Wang, P.; et al. Carbendazim residue in plant-based foods in China: Consecutive surveys from 2011 to 2020. Environ. Sci. Ecotechnol. 2024, 17, 100301. [Google Scholar] [CrossRef] [PubMed]
- Zhang, Y.K.; Wang, H.; Wang, X.; Hu, B.; Zhang, C.F.; Jin, W.; Zhu, S.J.; Hu, G.; Hong, Q. Identification of the key amino acid sites of the carbendazim hydrolase (MheI) from a novel carbendazim-degrading strain Mycobacterium sp SD-4. J. Hazard. Mater. 2017, 331, 55–62. [Google Scholar] [CrossRef]
- Singh, S.; Singh, N.; Kumar, V.; Datta, S.; Wani, A.B.; Singh, D.; Singh, K.; Singh, J. Toxicity, monitoring and biodegradation of the fungicide carbendazim. Environ. Chem. Lett. 2016, 14, 317–329. [Google Scholar] [CrossRef]
- Fang, H.; Wang, Y.Q.; Gao, C.M.; Yan, H.; Dong, B.; Yu, Y.L. Isolation and characterization of Pseudomonas sp CBW capable of degrading carbendazim. Biodegradation 2010, 21, 939–946. [Google Scholar] [CrossRef] [PubMed]
- NY/T 393-2020; Ministry of Agriculture and Rural Affairs of the People’s Republic of China, Green Food—Guideline for Application of Pesticide. China Agriculture Press: Beijing, China, 2020.
- NY/T 788-2018; Ministry of Agriculture and Rural Affairs of the People’s Republic of China, Guideline for the Testing of Pesticide Residues in Crops. China Agriculture Press: Beijing, China, 2018.
- Liu, C.Y.; Lu, D.H.; Wang, Y.C.; Huang, J.X.; Wan, K.; Wang, F.H. Residue and risk assessment of pyridaben in cabbage. Food Chem. 2014, 149, 233–236. [Google Scholar] [CrossRef] [PubMed]
- GB2763-2021; National Food Safety Standard-Maximum Residue Limits for Pesticides in Food; Ministry of Agriculture and Rural Affairs of the People’s Republic of China. Standards Press of China: Beijing, China, 2021. Available online: http://2763.foodmate.net/ (accessed on 17 April 2025).
- European Food Safety Authority; Anastassiadou, M.; Brancato, A.; Carrasco Cabrera, L.; Ferreira, L.; Greco, L.; Jarrah, S.; Kazocina, A.; Leuschner, R.; Magrans, J.O.; et al. Pesticide Residue Intake Model-EFSA PRIMo Revision 3.1; EFSA Supporting Publications: Parma, Italy, 2019; Volume 16, p. 1605E. [Google Scholar]
- Chai, Y.D.; Liu, R.; Du, X.Y.; Yuan, L.F. Dissipation and Residue of Metalaxyl-M and Azoxystrobin in Scallions and Cumulative Risk Assessment of Dietary Exposure to Hepatotoxicity. Molecules 2022, 27, 5822. [Google Scholar] [CrossRef]
- Elhefny, D.E.; Monir, H.H.; Helmy, R.M.A. Validation using QuEChERS method, risk assessment and preharvest intermission using GC-MS for determination of azoxystrobin in tomato and cucumber. Egypt. J. Chem. 2021, 64, 7421–7429. [Google Scholar] [CrossRef]
- Kaithamalai, B.; Palanisamy, K.; Chellamuthu, S.; Pandi, T.; Samygounder, I.; Venkidusamy, M. Dissipation kinetics and decontamination of chlorantraniliprole and thiamethoxam residues in curry leave. Int. J. Environ. Anal. Chem. 2024. [Google Scholar] [CrossRef]
- Al Dhafar, Z.M.; Abdel Razik, M.A.A.; Osman, M.A.; Sweelam, M.E. Determination of thiamethoxam residues and dissipation kinetic in tomato plants and its efficacy against Bemisia tabaci under open field eco system. Braz. J. Biol. 2023, 83, e273105. [Google Scholar] [CrossRef]
- Dong, B.Z.; Hu, J.Y. Residue dissipation and dietary intake risk assessment of thiophanate-methyl and its metabolite carbendazim in watercress under Chinese field conditions. Int. J. Environ. Anal. Chem. 2023, 103, 561–574. [Google Scholar] [CrossRef]
- Liu, Z.; Chen, Y.; Han, J.H.; Chen, D.; Yang, G.Q.; Lan, T.T.; Li, J.M.; Zhang, K.K. Determination, dissipation dynamics, terminal residues and dietary risk assessment of thiophanate-methyl and its metabolite carbendazim in cowpeas collected from different locations in China under field conditions. J. Sci. Food Agric. 2021, 101, 5498–5507. [Google Scholar] [CrossRef]
- Li, K.L.; Chen, W.Y.; Zhang, M.; Luo, X.W.; Liu, Y.; Zhang, D.Y.; Chen, A. Monitoring residue levels and dietary risk assessment of thiamethoxam and its metabolite clothianidin for Chinese consumption of Chinese kale. J. Sci. Food Agric. 2022, 102, 417–424. [Google Scholar] [CrossRef]
- Karmakar, R.; Kulshrestha, G. Persistence, metabolism and safety evaluation of thiamethoxam in tomato crop. Pest Manag. Sci. 2009, 65, 931–937. [Google Scholar] [CrossRef]
- Abdallah, O.I.; Abd El-Hamid, R.M.; Raheem, E.H.A. Clothianidin residues in green bean, pepper and watermelon crops and dietary exposure evaluation based on dispersive liquid-liquid microextraction and LC–MS/MS. J. Consum. Prot. Food Saf. 2019, 14, 293–300. [Google Scholar] [CrossRef]
- Besil, N.; Pérez-Parada, A.; Bologna, F.; Cesio, M.V.; Rivas, F.; Heinzen, H. Dissipation of selected insecticides and fungicides applied during pre-harvest on mandarin and orange trees in Uruguay. Sci. Hortic. 2019, 248, 34–40. [Google Scholar] [CrossRef]
- Oliva, J.; Cermeño, S.; Cámara, M.A.; Martínez, G.; Barba, A. Disappearance of six pesticides in fresh and processed zucchini, bioavailability and health risk assessment. Food Chem. 2017, 229, 172–177. [Google Scholar] [CrossRef] [PubMed]
- Saber, A.N.; Malhat, F.; Anagnostopoulos, C.; Kasiotis, K.M. Evaluation of dissipation, unit-unit-variability and terminal residue of etoxazole residues in strawberries from two different parts in Egypt. J. Consum. Prot. Food Saf. 2020, 15, 229–236. [Google Scholar] [CrossRef]
- Fu, D.H.; Zhang, S.Y.; Wang, M.; Liang, X.Y.; Xie, Y.L.; Zhang, Y.; Zhang, C.H. Dissipation behavior, residue distribution and dietary risk assessment of cyromazine, acetamiprid and their mixture in cowpea and cowpea field soil. J. Sci. Food Agric. 2020, 100, 4540–4548. [Google Scholar] [CrossRef]
- Tian, F.J.; Qiao, C.K.; Wang, C.X.; Pang, T.; Guo, L.L.; Li, J.; Pang, R.L.; Xie, H.Z. The fate of thiamethoxam and its main metabolite clothianidin in peaches and the wine-making process. Food Chem. 2022, 382, 132291. [Google Scholar] [CrossRef]
- Li, Z.; Fantke, P. Considering degradation kinetics of pesticides in plant uptake models: Proof of concept for potato. Pest Manag. Sci. 2023, 79, 1154–1163. [Google Scholar] [CrossRef]
- Wang, Y.H.; Liu, P.P.; Yang, G.L.; Shu, F.; Chen, C. Exploring the dynamic behaviors of five pesticides in lettuce: Implications for consumer health through field and modeling experiments. Food Chem. 2024, 452, 139510. [Google Scholar] [CrossRef] [PubMed]
- Feng, X.X.; Pan, L.X.; Xu, T.H.; Jing, J.; Zhang, H.Y. Dynamic modeling of famoxadone and oxathiapiprolin residue on cucumber and Chinese cabbage based on tomato and lettuce archetypes. J. Hazard. Mater. 2019, 375, 70–77. [Google Scholar] [CrossRef] [PubMed]
- Hillebrands, L.; Lamshoeft, M.; Lagojda, A.; Stork, A.; Kayser, O. Evaluation of Callus Cultures to Elucidate the Metabolism of Tebuconazole, Flurtamone, Fenhexamid, and Metalaxyl-M in Brassica napus L. Glycine max (L.) Merr. Zea mays L. and Triticum aestivum L. J. Agric. Food Chem. 2020, 68, 14123–14134. [Google Scholar] [CrossRef]
- Xie, J.Q.; Tang, W.; Zhaob, L.; Liu, S.R.; Liu, K.; Liu, W.P. Enantioselectivity and allelopathy both have effects on the inhibition of napropamide on Echinochloa crus-galli. Sci. Total Environ. 2019, 682, 151–159. [Google Scholar] [CrossRef]
- Wang, T.C.; Qian, Y.Z.; Wang, J.Q.; Yin, X.Y.; Liang, Q.F.; Liao, G.Q.; Li, X.B.; Qiu, J.; Xu, Y.Y. Comparison of combined dissipation behaviors and dietary risk assessments of thiamethoxam, bifenthrin, dinotefuran, and their mixtures in tea. Foods 2024, 13, 3113. [Google Scholar] [CrossRef]
- Bian, Y.L.; Liu, F.M.; Chen, F.; Sun, P. Storage stability of three organophosphorus pesticides on cucumber samples for analysis. Food Chem. 2018, 250, 230–235. [Google Scholar] [CrossRef] [PubMed]
- Yu, G.B.; Chen, Q.S.; Chen, F.Q.; Liu, H.L.; Lin, J.X.; Chen, R.A.; Ren, C.Y.; Wei, J.P.; Zhang, Y.X.; Yang, F.J.; et al. Glutathione promotes degradation and metabolism of residual fungicides by inducing UDP-Glycosyltransferase genes in tomato. Front. Plant Sci. 2022, 13, 893508. [Google Scholar] [CrossRef]
- Tang, H.X.; Ma, L.; Huang, J.Q.; Li, Y.B.; Liu, Z.H.; Meng, D.Y.; Wen, G.Y.; Dong, M.F.; Wang, W.M.; Zhao, L. Residue behavior and dietary risk assessment of six pesticides in pak choi using QuEChERS method coupled with UPLC-MS/MS. Ecotoxicol. Environ. Saf. 2021, 213, 112022. [Google Scholar] [CrossRef]
- Zhu, X.D.; Jia, C.H.; Duan, L.F.; Zhang, W.; Yu, P.Z.; He, M.; Chen, L.; Zhao, E.C. Residue behavior and dietary intake risk assessment of three fungicides in tomatoes (Lycopersicon esculentum Mill.) under greenhouse conditions. Regul. Toxicol. Pharm. 2016, 81, 284–287. [Google Scholar] [CrossRef]
- Di, S.S.; Wang, Y.H.; Xu, H.; Wang, X.Q.; Yang, G.L.; Chen, C.; Yang, X.; Qian, Y.Z. Comparison the dissipation behaviors and exposure risk of carbendazim and procymidone in greenhouse strawberries under different application method: Individual and joint applications. Food Chem. 2021, 354, 129502. [Google Scholar] [CrossRef]
- Qi, F.; Liu, X.; Deng, Z.S.; Lu, Y.Y.; Chen, Y.J.; Geng, H.; Zhang, Q.C.; Rao, Q.X.; Song, W.G. Effects of Thiamethoxam and Fenvalerate Residue Levels on Light-Stable Isotopes of Leafy Vegetables. Foods 2023, 12, 2655. [Google Scholar] [CrossRef] [PubMed]
- Qian, M.R.; Zhou, M.; Li, Y.; Wang, D.; Yao, L.P.; Wu, H.Z.; Yang, G.L. The Dissipation Behavior and Risk Assessment of Carbendazim Under Individual and Joint Applications on Peach (Amygdalus persica L.). J. Food Prot. 2023, 86, 100145. [Google Scholar] [CrossRef] [PubMed]
- Bauer, A.; Luetjohann, J.; Hanschen, F.S.; Schreiner, M.; Kuballa, J.; Jantzen, E.; Rohn, S. Identification and characterization of pesticide metabolites in Brassica species by liquid chromatography travelling wave ion mobility quadrupole time-of-flight mass spectrometry (UPLC-TWIMS-QTOF-MS). Food Chem. 2018, 244, 292–303. [Google Scholar] [CrossRef]
- Ishak, A.; Pak-Dek, M.S.; Rukayadi, Y.; Ramli, N.S.; Wasoh, H. Evaluation of pesticide residues in selected vegetables from Kuala Lumpur, Malaysia using modified QuEChERS and assessment of washing methods. Int. Food Res. J. 2023, 30, 1159–1170. [Google Scholar] [CrossRef]
- EU. EU Pesticides Database. 2025. Available online: https://ec.europa.eu/food/plant/pesticides/eu-pesticides-database/mrls/?event=search.pr (accessed on 10 August 2025).
- JFCRF. Maximum Residue Limits (MRLs) List of Agricultural Chemicals in Foods; The Japan Food Chemical Research Foundation: Osaka, Japan, 2021; Available online: http://db.ffcr.or.jp/front/ (accessed on 20 April 2025).
- Zheng, N.; Wang, Q.C.; Zhang, X.W.; Zheng, D.M.; Zhang, Z.S.; Zhang, S.Q. Population health risk due to dietary intake of heavy metals in the industrial area of Huludao city, China. Sci. Total Environ. 2007, 387, 96–104. [Google Scholar] [CrossRef]
- Li, H.; Chang, Q.Y.; Bai, R.B.; Lv, X.C.; Cao, T.L.; Shen, S.G.; Liang, S.X.; Pang, G.F. Simultaneous determination and risk assessment of highly toxic pesticides in the market-sold vegetables and fruits in China: A 4-year investigational study. Ecotoxicol. Environ. Saf. 2021, 221, 112428. [Google Scholar] [CrossRef]
- Liu, Y.H.; Bei, K.; Zheng, W.R.; Yu, G.G.; Sun, C.X. Pesticide residues risk assessment and quality evaluation of four characteristic fruits in Zhejiang Province, China. Front. Environ. Sci. 2023, 11, 1124094. [Google Scholar] [CrossRef]
- Fan, J.C.; An, J.; Ren, R.; Liu, S.Y.; He, H.L.; Zhao, G. Occurrence and exposure risk assessment of pesticide residues in green tea samples cultivated in Hangzhou area, China. Food Addit. Contam. Part B 2023, 16, 8–13. [Google Scholar] [CrossRef] [PubMed]
- Farha, W.; El-Aty, A.M.A.; Rahman, M.M.; Jeong, J.H.; Shin, H.; Wang, J.; Shin, S.S.; Shim, J.H. Analytical approach, dissipation pattern, and risk assessment of pesticide residue in green leafy vegetables: A comprehensive review. Biomed. Chromatogr. 2018, 32, e4134. [Google Scholar] [CrossRef]
- Lu, Z.J.; Shi, W.J.; Qiao, L.K.; Ma, D.D.; Zhang, J.G.; Yao, C.R.; Li, S.Y.; Long, X.B.; Ying, G.G. Benzimidazole Fungicide Carbendazim Induces Gut Inflammation through the TLR5/NF-κB Pathway in Grass Carp. Environ. Sci. Technol. 2025, 59, 2473–2483. [Google Scholar] [CrossRef] [PubMed]

| Pesticide | CAS Registry Number | Molecular Structure | Molecular Weight | Solubility (mg/L) | Log Kow |
|---|---|---|---|---|---|
| Azoxystrobin | 131860-33-8 | ![]() | 403.39 | 6 | 2.50 |
| Thiamethoxam | 153719-23-4 | ![]() | 291.71 | 4100 | −0.13 |
| Carbendazim | 10605-21-7 | ![]() | 191.19 | 8 | 1.4–1.5 |
| Pesticide | Recommended Dosage (g a.i./ha) | Double Dosage (g a.i./ha) |
|---|---|---|
| Azoxystrobin | 150 | 300 |
| Thiamethoxam | 56.25 | 112.5 |
| Carbendazim | 750 | 1500 |
| Pesticide | Range of Linearity (mg/L) | Solvent Standard Curve | Matrix Standard Curve | Matrix Effect (%) |
|---|---|---|---|---|
| Azoxystrobin | 0.01–10 | y = 3.37 × 108x + 3.86 × 105 R2 = 0.9986 | y = 2.78 × 108x + 9.52 × 106 R2 = 0.9991 | −17.51 |
| Thiamethoxam | 0.01–10 | y = 4.48 × 107x + 6.88 × 104 R2 = 0.9998 | y = 3.90 × 108x + 3.32 × 104 R2 = 0.9988 | −12.95 |
| Carbendazim | 0.01–10 | y = 4.23 × 108x + 2.94 × 105 R2 = 0.9996 | y = 3.63 × 108x + 2.23 × 105 R2 = 0.9991 | −14.18 |
| Pesticide | Spink Concentration (mg/kg) | Average Recovery (%) | Relative Standard Deviation (%) |
|---|---|---|---|
| Azoxystrobin | 0.01 | 93.04 | 3.11 |
| 0.1 | 86.31 | 4.23 | |
| 5 | 102.41 | 4.52 | |
| 20 | 84.11 | 2.54 | |
| Thiamethoxam | 0.01 | 104.23 | 3.56 |
| 0.1 | 88.27 | 5.23 | |
| 5 | 93.55 | 4.15 | |
| 20 | 95.12 | 3.77 | |
| Carbendazim | 0.01 | 88.33 | 4.23 |
| 0.1 | 82.47 | 2.14 | |
| 10 | 88.29 | 3.53 | |
| 150 | 93.11 | 4.67 |
| Pesticide | Treatment | Dynamic Equation | Correlation Coefficient (R2) | Half-Life (t1/2, days) |
|---|---|---|---|---|
| Azoxystrobin | Recommended dosage | Ct = 5.895e−0.026x | 0.858 | 26.65 |
| Double dosage | Ct = 15.211e−0.045x | 0.937 | 15.40 | |
| Thiamethoxam | Recommended dosage | Ct = 1.540e−0.038x | 0.901 | 18.24 |
| Double dosage | Ct = 4.926e−0.060x | 0.841 | 11.55 | |
| Carbendazim | Recommended dosage | Ct = 37.940e−0.021x | 0.922 | 33.00 |
| Double dosage | Ct = 112.251e−0.039x | 0.910 | 17.77 |
| Time After Spray (Days) | Individuals | Body Weight (kg) | Food Intake (kg/d) | EED (mg/kg bw) | RQ | ||||||||||
|---|---|---|---|---|---|---|---|---|---|---|---|---|---|---|---|
| Azoxystrobin | Thethiamoxam | Carbendazim | Azoxystrobin | Thethiamoxam | Carbendazim | ||||||||||
| Recommended Dosage | Double Dosage | Recommended Dosage | Double Dosage | Recommended Dosage | Double Dosage | Recommended Dosage | Double Dosage | Recommended Dosage | Double Dosage | Recommended Dosage | Double Dosage | ||||
| 2 h | Children | 32.7 | 0.1085 | 0.020 | 0.056 | 0.007 | 0.026 | 0.121 | 0.431 | 0.100 | 0.278 | 0.090 | 0.319 | 4.043 | 14.375 |
| Adults | 55.9 | 0.242 | 0.026 | 0.073 | 0.009 | 0.033 | 0.158 | 0.563 | 0.131 | 0.363 | 0.117 | 0.417 | 5.274 | 18.755 | |
| 1 | Children | 32.7 | 0.1085 | 0.019 | 0.045 | 0.005 | 0.015 | 0.119 | 0.315 | 0.094 | 0.226 | 0.066 | 0.191 | 3.954 | 10.516 |
| Adults | 55.9 | 0.242 | 0.025 | 0.059 | 0.007 | 0.020 | 0.155 | 0.412 | 0.123 | 0.294 | 0.086 | 0.249 | 5.159 | 13.720 | |
| 3 | Children | 32.7 | 0.1085 | 0.018 | 0.044 | 0.005 | 0.012 | 0.117 | 0.315 | 0.088 | 0.222 | 0.057 | 0.151 | 3.903 | 10.487 |
| Adults | 55.9 | 0.242 | 0.023 | 0.058 | 0.006 | 0.016 | 0.153 | 0.410 | 0.114 | 0.29 | 0.074 | 0.197 | 5.092 | 13.683 | |
| 5 | Children | 32.7 | 0.1085 | 0.016 | 0.043 | 0.004 | 0.012 | 0.115 | 0.309 | 0.082 | 0.217 | 0.045 | 0.144 | 3.849 | 10.291 |
| Adults | 55.9 | 0.242 | 0.021 | 0.057 | 0.005 | 0.015 | 0.151 | 0.403 | 0.106 | 0.283 | 0.059 | 0.188 | 5.023 | 13.427 | |
| 7 | Children | 32.7 | 0.1085 | 0.016 | 0.037 | 0.003 | 0.011 | 0.112 | 0.302 | 0.079 | 0.187 | 0.042 | 0.132 | 3.724 | 10.060 |
| Adults | 55.9 | 0.242 | 0.021 | 0.049 | 0.004 | 0.014 | 0.146 | 0.394 | 0.103 | 0.244 | 0.055 | 0.173 | 4.859 | 13.126 | |
| 14 | Children | 32.7 | 0.1085 | 0.015 | 0.021 | 0.003 | 0.005 | 0.100 | 0.187 | 0.077 | 0.103 | 0.038 | 0.064 | 3.322 | 6.228 |
| Adults | 55.9 | 0.242 | 0.020 | 0.027 | 0.004 | 0.007 | 0.130 | 0.244 | 0.101 | 0.135 | 0.050 | 0.083 | 4.334 | 8.126 | |
| 21 | Children | 32.7 | 0.1085 | 0.014 | 0.019 | 0.003 | 0.005 | 0.093 | 0.157 | 0.072 | 0.096 | 0.032 | 0.058 | 3.108 | 5.222 |
| Adults | 55.9 | 0.242 | 0.019 | 0.025 | 0.003 | 0.006 | 0.122 | 0.204 | 0.094 | 0.126 | 0.041 | 0.076 | 4.056 | 6.813 | |
| 28 | Children | 32.7 | 0.1085 | 0.008 | 0.017 | 0.002 | 0.004 | 0.061 | 0.155 | 0.040 | 0.086 | 0.022 | 0.046 | 2.049 | 5.152 |
| Adults | 55.9 | 0.242 | 0.010 | 0.023 | 0.002 | 0.005 | 0.080 | 0.202 | 0.052 | 0.113 | 0.029 | 0.060 | 2.673 | 6.722 | |
| Population Group | Consumption (g/kg bw/d) | Body Weight (kg) | Azoxystrobin (%ADI) | Thiamethoxam (%ADI) | Carbendazim (%ADI) | |||
|---|---|---|---|---|---|---|---|---|
| Recommended Dosage | Double Dosage | Recommended Dosage | Double Dosage | Recommended Dosage | Double Dosage | |||
| DE child | 0.09 | 16.2 | 0.11% | 0.23% | 0.18% | 0.39% | 8.33% | 20.96% |
| DK child | 0.07 | 21.8 | 0.09% | 0.19% | 0.15% | 0.31% | 6.73% | 16.94% |
| ES child | 0.05 | 34.5 | 0.06% | 0.13% | 0.10% | 0.21% | 4.56% | 11.46% |
| FR toddler 2 3 yr | 0.01 | 13.6 | 0.01% | 0.01% | 0.01% | 0.02% | 0.47% | 1.18% |
| FR child 3 15 yr | 0.04 | 18.9 | 0.05% | 0.11% | 0.09% | 0.19% | 3.98% | 10.02% |
| IT toddler | 0.01 | 41.6 | 0.01% | 0.01% | 0.01% | 0.02% | 0.47% | 1.18% |
| NL toddler | 0.15 | 10.2 | 0.17% | 0.38% | 0.30% | 0.62% | 13.43% | 33.77% |
| NL child | 0.14 | 18.4 | 0.17% | 0.38% | 0.29% | 0.62% | 13.33% | 33.54% |
| UK infant | 0.10 | 8.7 | 0.12% | 0.27% | 0.21% | 0.45% | 9.58% | 24.09% |
| UK toddler | 0.10 | 14.6 | 0.11% | 0.25% | 0.20% | 0.41% | 8.88% | 22.33% |
| DK adult | 0.08 | 75.1 | 0.10% | 0.22% | 0.17% | 0.36% | 7.75% | 19.49% |
| ES adult | 0.03 | 68.5 | 0.04% | 0.08% | 0.07% | 0.14% | 2.98% | 7.50% |
| FI adult | 0.10 | 78.1 | 0.12% | 0.27% | 0.21% | 0.44% | 9.53% | 23.96% |
| FR adult | 0.03 | 66.4 | 0.04% | 0.08% | 0.06% | 0.14% | 2.94% | 7.39% |
| IE adult | 0.14 | 75.2 | 0.16% | 0.36% | 0.28% | 0.59% | 12.68% | 31.90% |
| IT adult | 0.03 | 66.5 | 0.03% | 0.07% | 0.05% | 0.11% | 2.39% | 6.02% |
| LT adult | 0.40 | 70.0 | 0.48% | 1.04% | 0.81% | 1.72% | 36.91% | 92.83% |
| NL general | 0.18 | 65.8 | 0.21% | 0.47% | 0.36% | 0.77% | 16.58% | 41.69% |
| PL general | 0.36 | 62.8 | 0.44% | 0.95% | 0.74% | 1.57% | 33.79% | 84.99% |
| RO general | 1.43 | 60.0 | 1.71% | 3.73% | 2.92% | 6.17% | 132.73% | 333.82% |
| SE general | 0.63 | 60.0 | 0.75% | 1.63% | 1.27% | 2.69% | 57.88% | 145.56% |
| UK adult | 0.07 | 76.0 | 0.09% | 0.19% | 0.15% | 0.31% | 6.70% | 16.85% |
| UK vegetarian | 0.10 | 66.7 | 0.12% | 0.27% | 0.21% | 0.44% | 9.44% | 23.74% |
| GEMS/Food G06 | 0.17 | 60.0 | 0.20% | 0.45% | 0.35% | 0.74% | 15.82% | 39.79% |
| GEMS/Food G07 | 0.15 | 60.0 | 0.18% | 0.39% | 0.30% | 0.64% | 13.84% | 34.82% |
| GEMS/Food G08 | 0.45 | 60.0 | 0.54% | 1.18% | 0.92% | 1.95% | 41.86% | 105.27% |
| GEMS/Food G10 | 0.42 | 60.0 | 0.50% | 1.08% | 0.85% | 1.79% | 38.52% | 96.89% |
| GEMS/Food G11 | 0.08 | 60.0 | 0.09% | 0.20% | 0.15% | 0.33% | 7.02% | 17.66% |
| GEMS/Food G15 | 0.82 | 60.0 | 0.98% | 2.13% | 1.67% | 3.53% | 75.87% | 190.82% |
| DE general | 0.16 | 76.4 | 0.19% | 0.42% | 0.33% | 0.70% | 14.95% | 37.60% |
| DE women 14–50 yr | 0.13 | 67.5 | 0.15% | 0.33% | 0.26% | 0.55% | 11.86% | 29.82% |
| IE child | 0.03 | 20.0 | 0.03% | 0.07% | 0.05% | 0.11% | 2.39% | 6.02% |
| FI 3 yr | 0.07 | 15.2 | 0.09% | 0.20% | 0.15% | 0.32% | 6.94% | 17.46% |
| FI 6 yr | 0.08 | 22.4 | 0.10% | 0.21% | 0.17% | 0.35% | 7.59% | 19.08% |
Disclaimer/Publisher’s Note: The statements, opinions and data contained in all publications are solely those of the individual author(s) and contributor(s) and not of MDPI and/or the editor(s). MDPI and/or the editor(s) disclaim responsibility for any injury to people or property resulting from any ideas, methods, instructions or products referred to in the content. |
© 2025 by the authors. Licensee MDPI, Basel, Switzerland. This article is an open access article distributed under the terms and conditions of the Creative Commons Attribution (CC BY) license (https://creativecommons.org/licenses/by/4.0/).
Share and Cite
Sun, C.; Chen, L.; Liu, Y.; Zheng, W.; Hua, Y.; Zhang, Q. Dissipation Behavior and Risk Assessment of Three Pesticide Residues Under Combined Application in Greenhouse-Grown Cabbage. Foods 2025, 14, 3006. https://doi.org/10.3390/foods14173006
Sun C, Chen L, Liu Y, Zheng W, Hua Y, Zhang Q. Dissipation Behavior and Risk Assessment of Three Pesticide Residues Under Combined Application in Greenhouse-Grown Cabbage. Foods. 2025; 14(17):3006. https://doi.org/10.3390/foods14173006
Chicago/Turabian StyleSun, Caixia, Liping Chen, Yuhong Liu, Weiran Zheng, Yumei Hua, and Qiaoyan Zhang. 2025. "Dissipation Behavior and Risk Assessment of Three Pesticide Residues Under Combined Application in Greenhouse-Grown Cabbage" Foods 14, no. 17: 3006. https://doi.org/10.3390/foods14173006
APA StyleSun, C., Chen, L., Liu, Y., Zheng, W., Hua, Y., & Zhang, Q. (2025). Dissipation Behavior and Risk Assessment of Three Pesticide Residues Under Combined Application in Greenhouse-Grown Cabbage. Foods, 14(17), 3006. https://doi.org/10.3390/foods14173006




