Differential Pasting and Rheological Properties of Diverse Underutilized Starches Modified by Acetic Anhydride and Vinyl Acetate
Abstract
1. Introduction
2. Materials and Methods
2.1. Materials
2.2. Starch Extraction
2.3. Preparation of Acetic Anhydride Modified Starch
2.4. Preparation of Vinyl Acetate Modified Starch
2.5. Degree of Substitution (DS) Determination
2.6. Particle Size Distribution
2.7. Determination of Pasting Properties
2.8. Determination of Steady Shear Rheological Properties
2.9. Determination of Dynamic Rheological Properties
2.10. Determination of Gel Texture
2.11. Statistical Analysis
3. Results and Discussion
3.1. Granule Size Distribution of Native and Acetylated Starches
3.2. Pasting Properties of Native and Acetylated Starches
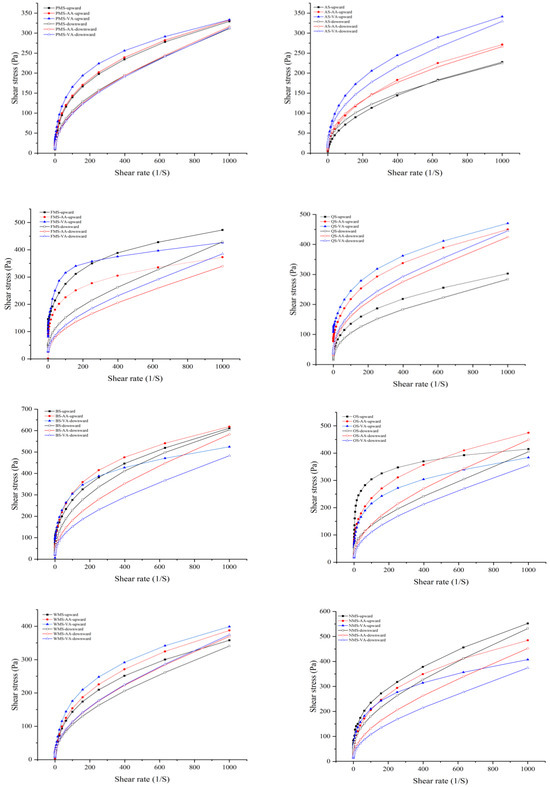
3.3. Shear Flow Properties of Native and Acetylated Starches
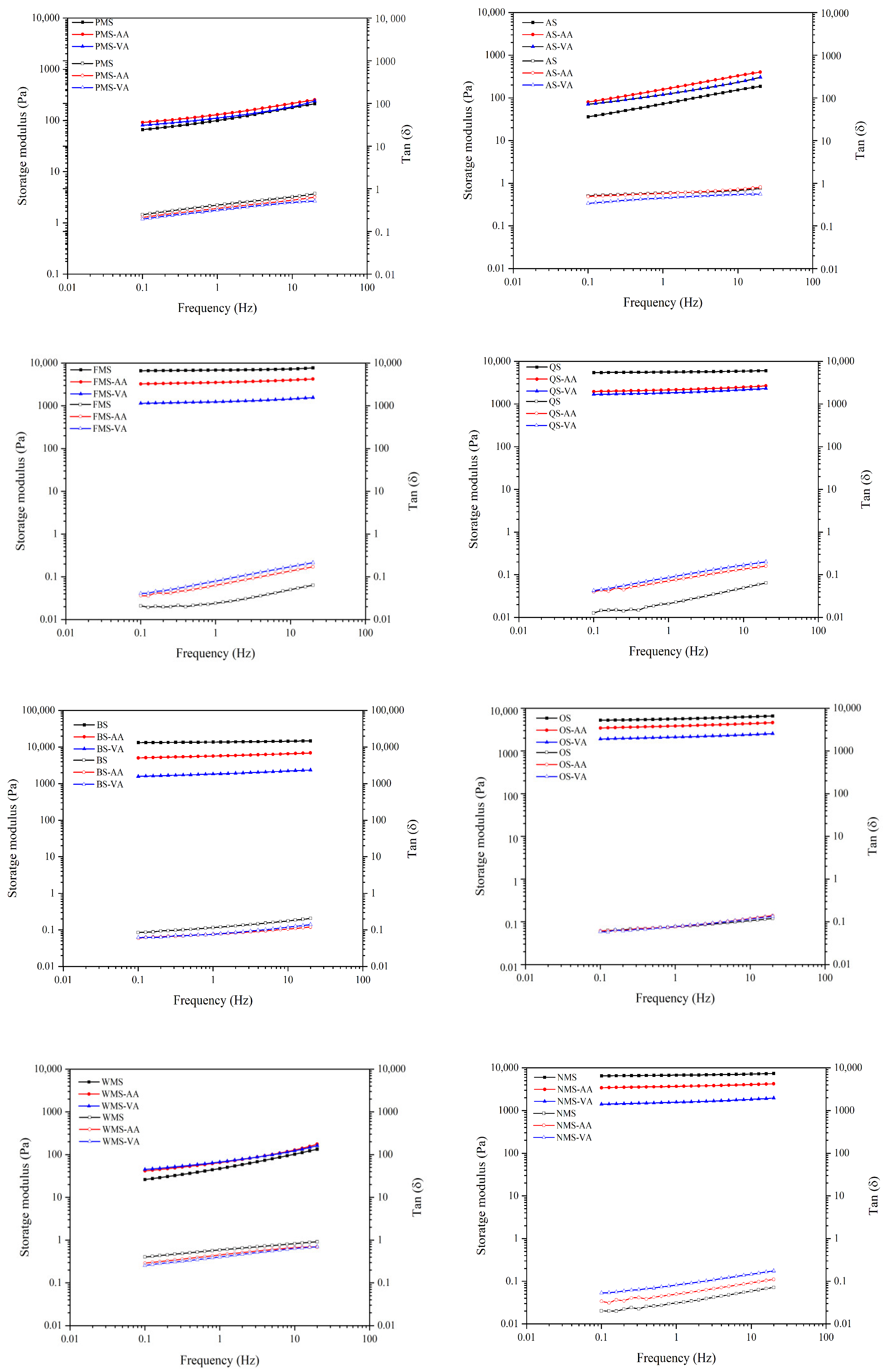
3.4. Dynamic Oscillatory Properties of Native and Acetylated Starches
3.5. Texture Properties of Native and Acetylated Starch Gels
4. Conclusions
Supplementary Materials
Author Contributions
Funding
Institutional Review Board Statement
Informed Consent Statement
Data Availability Statement
Conflicts of Interest
References
- Devisetti, R.; Yadahally, S.N.; Bhattacharya, S. Nutrients and antinutrients in foxtail and proso millet milled fractions: Evaluation of their flour functionality. LWT-Food Sci. Technol. 2014, 59, 889–895. [Google Scholar] [CrossRef]
- Huang, Y.; Sun, X.; Guo, H.; He, X.; Jiang, J.; Zhang, G.; Li, W. Changes in the thermal, pasting, morphological and structural characteristic of common buckwheat starch after ultrafine milling. Int. J. Food Sci. Technol. 2021, 56, 2696–2707. [Google Scholar] [CrossRef]
- Martínez-Villaluenga, C.; Peñas, E.; Hernández-Ledesma, B. Pseudocereal grains: Nutritional value, health benefits and current applications for the development of gluten-free foods. Food Chem. Toxicol. 2020, 137, 111178. [Google Scholar] [CrossRef] [PubMed]
- Eshag Osman, M.F.; Mohamed, A.A.; Mohamed Ahmed, I.A.; Alamri, M.S.; Al Juhaimi, F.Y.; Hussain, S.; Ibraheem, M.A.; Qasem, A.A. Acetylated corn starch as a fat replacer: Effect on physiochemical, textural, and sensory attributes of beef patties during frozen storage. Food Chem. 2022, 388, 132988. [Google Scholar] [CrossRef]
- Moore, C.O.; Tuschhoff, J.V.; Hastings, C.W.; Schanefelt, R.V. Chapter XIX—Applications of Starches in Foods. In Starch: Chemistry and Technology, 2nd ed.; Whistler, R.L., Bemiller, J.N., Paschall, E.F., Eds.; Academic Press: San Diego, CA, USA, 1984; pp. 575–591. [Google Scholar]
- Colussi, R.; El Halal, S.L.M.; Pinto, V.Z.; Bartz, J.; Gutkoski, L.C.; da Rosa Zavareze, E.; Dias, A.R.G. Acetylation of rice starch in an aqueous medium for use in food. LWT-Food Sci. Technol. 2015, 62, 1076–1082. [Google Scholar] [CrossRef]
- Huang, J.; Schols, H.A.; Jin, Z.; Sulmann, E.; Voragen, A.G.J. Characterization of differently sized granule fractions of yellow pea, cowpea and chickpea starches after modification with acetic anhydride and vinyl acetate. Carbohydr. Polym. 2007, 67, 11–20. [Google Scholar] [CrossRef]
- Huang, J.; Schols, H.A.; Klaver, R.; Jin, Z.; Voragen, A.G.J. Acetyl substitution patterns of amylose and amylopectin populations in cowpea starch modified with acetic anhydride and vinyl acetate. Carbohydr. Polym. 2007, 67, 542–550. [Google Scholar] [CrossRef]
- Zhang, H.; Xu, S.; Zhang, X.; Ma, M.; Sui, Z.; Corke, H. Acetic anhydride and vinyl acetate differentially modify the supramolecular structure of starch. Int. J. Biol. Macromol. 2025, 310, 143279. [Google Scholar] [CrossRef]
- Lindeboom, N.; Chang, P.R.; Tyler, R.T. Analytical, Biochemical and Physicochemical Aspects of Starch Granule Size, with Emphasis on Small Granule Starches: A Review. Starch-Stärke 2004, 56, 89–99. [Google Scholar] [CrossRef]
- Wang, Y.; Tang, N.; Geng, D.-H.; Wang, K.; Asiamah, E.; Cheng, Y. Understanding the processing and digestibility attributes of rice noodles supplemented with acetylated cassava starch. Int. J. Biol. Macromol. 2025, 315, 144393. [Google Scholar] [CrossRef]
- Shang, J.; Zhao, B.; Li, L.; Liu, M.; Hong, J.; Fan, X.; Wu, T.; Liu, C.; Zheng, X. Impact of A/B-type wheat starch granule ratio on rehydration behavior and cooking quality of noodles and the underlying mechanisms. Food Chem. 2023, 405, 134896. [Google Scholar] [CrossRef]
- Ma, M.; He, M.; Xu, Y.; Li, P.; Li, Z.; Sui, Z.; Corke, H. Thermal processing of rice grains affects the physical properties of their pregelatinised rice flours. Int. J. Food Sci. Technol. 2020, 55, 1375–1385. [Google Scholar] [CrossRef]
- Jane, J.-L.; Kasemsuwan, T.; Leas, S.; Zobel, H.; Robyt, J.F. Anthology of starch granule morphology by scanning electron microscopy. Starch-Stärke 1994, 46, 121–129. [Google Scholar] [CrossRef]
- Noda, T.; Takigawa, S.; Matsuura-Endo, C.; Kim, S.-J.; Hashimoto, N.; Yamauchi, H.; Hanashiro, I.; Takeda, Y. Physicochemical properties and amylopectin structures of large, small, and extremely small potato starch granules. Carbohydr. Polym. 2005, 60, 245–251. [Google Scholar] [CrossRef]
- El Halal, S.L.M.; Colussi, R.; Pinto, V.Z.; Bartz, J.; Radunza, M.; Carreño, N.L.V.; Dias, A.R.G.; da Rosa Zavareze, E. Structure, morphology and functionality of acetylated and oxidised barley starches. Food Chem. 2015, 168, 247–256. [Google Scholar] [CrossRef]
- Yao, T.; Xu, Z.; Ma, M.; Wen, Y.; Liu, X.; Sui, Z. Impact of granule-associated lipid removal on the property changes of octenylsuccinylated small-granule starches. Carbohydr. Polym. 2024, 323, 121448. [Google Scholar] [CrossRef]
- BeMiller, J.N. Pasting, paste, and gel properties of starch hydrocolloid combinations. Carbohydr. Polym. 2011, 86, 386–423. [Google Scholar] [CrossRef]
- Ai, Y.; Jane, J.-L. Gelatinization and rheological properties of starch. Starch-Stärke 2015, 67, 213–222. [Google Scholar] [CrossRef]
- Sandhu, K.S.; Singh, N. Some properties of corn starches II: Physicochemical, gelatinisation, retrogradation, pasting and gel textural properties. Food Chem. 2007, 101, 1499–1507. [Google Scholar] [CrossRef]
- Sodhi, N.S.; Singh, N. Characteristics of acetylated starches prepared using starches separated from different rice cultivars. J. Food Eng. 2005, 70, 117–127. [Google Scholar] [CrossRef]
- Luo, Z.G.; Shi, Y.C. Preparation of acetylated waxy, normal, and high-amylose maize starches with intermediate degrees of substitution in aqueous solution and their properties. J. Agric. Food Chem. 2012, 60, 9468–9475. [Google Scholar] [CrossRef] [PubMed]
- Masina, N.; Choonara, Y.E.; Kumar, P.; du Toit, L.C.; Govender, M.; Indermun, S.; Pillay, V. A review of the chemical modification techniques of starch. Carbohydr. Polym. 2017, 157, 1226–1236. [Google Scholar] [CrossRef] [PubMed]
- González, Z.; Pérez, E. Effect of Acetylation on Some Properties of Rice Starch. Starch-Stärke 2002, 54, 148–154. [Google Scholar] [CrossRef]
- Liu, H.; Ramsden, L.; Corke, H. Physical Properties of Cross-linked and Acetylated Normal and Waxy Rice Starch. Starch-Stärke 1999, 51, 249–252. [Google Scholar] [CrossRef]
- Chi, C.; Lian, S.; Zou, Y.; Chen, B.; He, Y.; Zheng, M.; Zhao, Y.; Wang, H. Preparation, multi-scale structures, and functionalities of acetylated starch: An updated review. Int. J. Biol. Macromol. 2023, 249, 126142. [Google Scholar] [CrossRef]
- Zhao, K.; Li, B.; Xu, M.; Jing, L.; Gou, M.; Yu, Z.; Zheng, J.; Li, W. Microwave pretreated esterification improved the substitution degree, structural and physicochemical properties of potato starch esters. LWT-Food Sci. Technol. 2018, 90, 116–123. [Google Scholar] [CrossRef]
- Wang, R.; Wang, F.; Kang, X.; Wang, J.; Li, M.; Liu, J.; Strappe, P.; Zhou, Z. Ultrasonication enhanced the multi-scale structural characteristics of rice starch following short-chain fatty acids acylation. Int. J. Biol. Macromol. 2021, 190, 333–342. [Google Scholar] [CrossRef]
- Ashwar, B.A.; Gani, A.; Shah, A.; Masoodi, F.A. Production of RS4 from rice by acetylation: Physico-chemical, thermal, and structural characterization. Starch-Stärke 2017, 69, 1600052. [Google Scholar] [CrossRef]
- Shon, K.-J.; Yoo, B. Effect of Acetylation on rheological properties of Rice Starch. Starch-Stärke 2006, 58, 177–185. [Google Scholar] [CrossRef]
- Qian, S.-Y.; Tang, M.-Q.; Gao, Q.; Wang, X.-W.; Zhang, J.-W.; Tanokura, M.; Xue, Y.-L. Effects of different modification methods on the physicochemical and rheological properties of Chinese yam (Dioscorea opposita Thunb.) starch. LWT-Food Sci. Technol. 2019, 116, 108513. [Google Scholar] [CrossRef]
- Siroha, A.K.; Sandhu, K.S.; Kaur, M.; Kaur, V. Physicochemical, rheological, morphological and in vitro digestibility properties of pearl millet starch modified at varying levels of acetylation. Int. J. Biol. Macromol. 2019, 131, 1077–1083. [Google Scholar] [CrossRef] [PubMed]
- Figura, L.O.; Teixeira, A.A. Rheological Properties. In Food Physics; Springer: Gainesville, FL, USA, 2023; pp. 145–222. [Google Scholar]
- Ang, C.L.; Goh, K.K.T.; Lim, K.; Matia-Merino, L. Rheological characterization of a physically-modified waxy potato starch: Investigation of its shear-thickening mechanism. Food Hydrocoll. 2021, 120, 106908. [Google Scholar] [CrossRef]
- Sikora, M.; Adamczyk, G.; Krystyjan, M.; Dobosz, A.; Tomasik, P.; Berski, W.; Lukasiewicz, M.; Izak, P. Thixotropic properties of normal potato starch depending on the degree of the granules pasting. Carbohydr. Polym. 2015, 121, 254–264. [Google Scholar] [CrossRef] [PubMed]
- Dewar, R.J.; Joyce, M.J. The thixotropic and rheopectic behaviour of maize starch and maltodextrin thickeners used in dysphagia therapy. Carbohydr. Polym. 2006, 65, 296–305. [Google Scholar] [CrossRef]
- Zięba, T.; Juszczak, L.; Gryszkin, A. Properties of retrograded and acetylated starch preparations Part 2. Dynamics of saccharification with amyloglucosidase and rheological properties of resulting pastes and gels. LWT-Food Sci. Technol. 2011, 44, 1321–1327. [Google Scholar] [CrossRef]
- Zheng, L.; Li, D.; Wang, L.; Wang, Y. Tailoring 3D-printed high internal phase emulsion-rice starch gels: Role of amylose in rheology and bioactive stability. Carbohydr. Polym. 2024, 331, 121891. [Google Scholar] [CrossRef]
- Hedayati, S.; Niakousari, M. Microstructure, pasting and textural properties of wheat starch-corn starch citrate composites. Food Hydrocoll. 2018, 81, 1–5. [Google Scholar] [CrossRef]
- Roopa, B.S.; Bhattacharya, S. Alginate gels: I. Characterization of textural attributes. J. Food Eng. 2008, 85, 123–131. [Google Scholar] [CrossRef]
- Sindhu, R.; Devi, A.; Khatkar, B.S. Morphology, structure and functionality of acetylated, oxidized and heat moisture treated amaranth starches. Food Hydrocoll. 2021, 118, 106800. [Google Scholar] [CrossRef]
- Zhang, W.; Zhao, G.; Huang, B.; He, R.; Zhai, L.; Yang, L. Effects of dual modification by cationization and acetylation on the physicochemical and structural characteristics of glutinous rice starch. Int. J. Biol. Macromol. 2024, 255, 128277. [Google Scholar] [CrossRef]




| Samples | Abbreviation | Amylose Content (%) | Acetic Anhydride Modified Starches | Degree of Substitution (DS) | Vinyl Acetate Modified Starches | Degree of Substitution (DS) |
|---|---|---|---|---|---|---|
| Proso millet starch | PMS | 3.82 ± 0.63 d | PMS-AA | 0.061 ± 0.002 abc | PMS-VA | 0.039 ± 0.002 d |
| Amaranth starch | AS | 1.11 ± 0.07 f | AS-AA | 0.069 ± 0.004 a | AS-VA | 0.052 ± 0.004 c |
| Foxtail millet starch | FMS | 29.3 ± 0.26 b | FMS-AA | 0.059 ± 0.002 bc | FMS-VA | 0.073 ± 0.002 a |
| Quinoa starch | QS | 23.82 ± 0.09 c | QS-AA | 0.063 ± 0.002 abc | QS-VA | 0.077 ± 0.001 a |
| Buckwheat starch | BS | 32.2 ± 0.30 a | BS-AA | 0.062 ± 0.001 abc | BS-VA | 0.074 ± 0.001 a |
| Oat starch | OS | 23.0 ± 0.60 c | OS-AA | 0.044 ± 0.003 d | OS-VA | 0.063 ± 0.002 b |
| Waxy maize starch | WMS | 2.45 ± 0.04 e | WMS-AA | 0.067 ± 0.002 ab | WMS-VA | 0.058 ± 0.001 bc |
| Normal maize starch | NMS | 32.4 ± 0.30 a | NMS-AA | 0.058 ± 0.001 c | NMS-VA | 0.061 ± 0.004 b |
| Sample | Peak Viscosity (cP) | Breakdown (cP) | Final Viscosity (cP) | Setback (cP) | Pasting Temperature (℃) |
|---|---|---|---|---|---|
| PMS | 1318 ± 8.5 Hc | 713 ± 2.1 Da | 800 ± 2.1 Lc | 191 ± 4.24 Mc | 77.7 ± 1.2 Ga |
| PMS-AA | 1563 ± 5.7 Eb | 710 ± 3.5 Da | 1108 ± 2.8 Ib | 255 ± 4.95 Lb | 72.8 ± 1.2 IJb |
| PMS-VA | 1753 ± 2.1 Da | 663 ± 1.4 Eb | 1601 ± 4.9 Da | 511 ± 1.41 Ia | 71.9 ± 0.1 JKLb |
| AS | 568 ± 2.1 Tc | 180 ± 1.4 Nb | 476 ± 4.2 Nc | 89 ± 0.71 Oc | 71.9 ± 0.1 JKLa |
| AS-AA | 901 ± 7.8 Pb | 280 ± 7.8 JKa | 724 ± 0.7 Mb | 103 ± 0.71 Ob | 68.8 ± 0.1 Mb |
| AS-VA | 1252 ± 1.4 Ia | 290 ± 2.1 Ja | 1101 ± 2.1 Ia | 138 ± 2.83 Na | 68.6 ± 0.0 Mb |
| FMS | 1052 ± 2.1 Mb | 399 ± 7.1 Ga | 1500 ± 15.6 Fb | 848 ± 10.61 Fc | 80.8 ± 0.0 Fa |
| FMS-AA | 1056 ± 2.1 LMb | 274 ± 7.8 JKc | 2176 ± 13.4 Aa | 1403 ± 5.66 Cb | 78.3 ± 0.0 Gb |
| FMS-VA | 1080 ± 2.1 Ka | 364 ± 5.7 Hb | 2178 ± 12.0 Aa | 1462 ± 15.56 Ba | 78.3 ± 0.0 Gb |
| QS | 629 ± 2.1 Rc | 57 ± 2.8 Rb | 784 ± 3.5 Lc | 212 ± 1.41 Mc | 94.5 ± 0.0 Aa |
| QS-AA | 1254 ± 4.9 Ib | 80 ± 4.2 Pa | 1532 ± 8.5 Eb | 359 ± 0.71 Ja | 88.8 ± 0.0 Db |
| QS-VA | 1501 ± 4.2 Ga | 64 ± 6.4 PQb | 1776 ± 6.4 Ca | 338 ± 4.24 Jb | 66.1 ± 0.1 Nc |
| BS | 605 ± 3.5 Sc | 3 ± 0.0 Sc | 887 ± 7.8 Kc | 285 ± 4.24 Kc | 73.5 ± 0.0 Ib |
| BS-AA | 1182 ± 5.7 Jb | 184 ± 3.5 Nb | 1775 ± 8.5 Cb | 777 ± 6.36 Ga | 78.3 ± 0.0 Ga |
| BS-VA | 1529 ± 10.6 Fa | 402 ± 4.9 Ga | 1883 ± 8.5 Ba | 756 ± 2.83 GHb | 71.2 ± 0.1 Lc |
| OS | 635 ± 3.5 Rc | 151 ± 5.6 Oc | 1229 ± 11.3 Gc | 746 ± 13.44 Hc | 94.9 ± 0.1 Aa |
| OS-AA | 800 ± 4.9 Qb | 242 ± 4.2 Lb | 1494 ± 1.4 Fb | 937 ± 2.12 Eb | 92.9 ± 0.0 Bb |
| OS-VA | 994 ± 0.0 Na | 323 ± 11.3 Ia | 2174 ± 14.9 Aa | 1503 ± 25.5 Aa | 88.1 ± 0.1 Dc |
| WMS | 1939 ± 28.3 Cc | 1037 ± 35.4 Cb | 1041 ± 4.2 Jc | 139 ± 11.31 Nb | 74.4 ± 0.0 Ha |
| WMS-AA | 2320 ± 12.7 Bb | 1245 ± 4.9 Aa | 1168 ± 11.3 Hb | 93 ± 3.54 Oc | 72.1 ± 0.1 JKb |
| WMS-VA | 2545 ± 6.4 Aa | 1061 ± 12.7 Bb | 1771 ± 0.7 Ca | 287 ± 7.07 Ka | 71.5 ± 0.6 Lb |
| NMS | 1070 ± 2.1 KLb | 218 ± 6.4 Mc | 1150 ± 10.6 Hc | 298 ± 14.85 Kc | 90.9 ± 0.7 Ca |
| NMS-AA | 956 ± 9.2 Oc | 260 ± 4.2 KLb | 1543 ± 6.4 Eb | 847 ± 11.31 Fb | 88.0 ± 0.0 Db |
| NMS-VA | 1174 ± 2.8 Ja | 492 ± 2.8 Fa | 1868 ± 20.5 Ba | 1186 ± 26.16 Da | 83.2 ± 0.0 Ec |
| Samples | Upward Curve | Downward Curve | ||||
|---|---|---|---|---|---|---|
| K (Pa⋅sn) | n | R2 | K (Pa⋅sn) | n | R2 | |
| PMS | 19.5 ± 0.1 Jc | 0.41 ± 0.00 Ca | 0.99 | 13.0 ± 0.0 KLa | 0.46 ± 0.00 Eb | 0.99 |
| PMS-AA | 24.6 ± 0.1 Ib | 0.38 ± 0.01 Db | 0.99 | 12.0 ± 0.5 LMab | 0.47 ± 0.00 Da | 0.99 |
| PMS-VA | 33.5 ± 0.8 Ha | 0.34 ± 0.00 Fc | 0.99 | 11.2 ± 0.1 Mb | 0.48 ± 0.00 Ca | 0.99 |
| AS | 7.4 ± 0.0 Kc | 0.47 ± 0.03 Aa | 0.99 | 12.5 ± 0.1 KLMc | 0.42 ± 0.00 Ga | 0.99 |
| AS-AA | 11.8 ± 0.3 Kb | 0.46 ± 0.01 Aab | 0.99 | 15.8 ± 1.3 Jb | 0.41 ± 0.00 Hb | 0.99 |
| AS-VA | 19.1 ± 0.0 Ja | 0.41 ± 0.00 Cb | 0.99 | 23.4 ± 0.2 Fa | 0.39 ± 0.00 IJc | 0.99 |
| FMS | 115.9 ± 2.3 Aa | 0.19 ± 0.01 Mab | 0.97 | 30.2 ± 1.2 Da | 0.37 ± 0.00 LMc | 0.97 |
| FMS-AA | 83.7 ± 0.1 Db | 0.22 ± 0.00 La | 0.97 | 17.4 ± 0.1 Ib | 0.42 ± 0.00 Gb | 0.98 |
| FMS-VA | 118.2 ± 2.3 Aa | 0.18 ± 0.02 Mb | 0.99 | 17.2 ± 0.7 Ib | 0.44 ± 0.00 GFa | 0.98 |
| QS | 35.5 ± 0.1 Hc | 0.30 ± 0.00 GHa | 0.98 | 17.6 ± 0.1 Ic | 0.39 ± 0.00 IJa | 0.99 |
| QS-AA | 70.2 ± 2.5 Eb | 0.26 ± 0.00 JKb | 0.96 | 30.4 ± 0.2 Db | 0.37 ± 0.00 Lb | 0.99 |
| QS-VA | 100.8 ± 4.8 Ba | 0.21 ± 0.01 Lc | 0.94 | 35.2 ± 0.1 Ba | 0.36 ± 0.00 Mc | 0.99 |
| BS | 79.9 ± 5.0 Db | 0.29 ± 0.01 HIb | 0.98 | 38.3 ± 2.0 Aa | 0.40 ± 0.01 IJc | 0.99 |
| BS-AA | 67.4 ± 0.6 Eb | 0.32 ± 0.01 FGa | 0.99 | 20.4 ± 0.3 Gb | 0.48 ± 0.00 Ca | 0.99 |
| BS-VA | 94.8 ± 5.8 Ca | 0.25 ± 0.01 Kc | 0.99 | 19.0 ± 0.6 Hb | 0.46 ± 0.00 DEb | 0.99 |
| OS | 118.0 ± 3.0 Aa | 0.18 ± 0.02 Mb | 0.97 | 25.4 ± 1.0 Ea | 0.39 ± 0.00 Jb | 0.99 |
| OS-AA | 68.3 ± 0.7 Eb | 0.28 ± 0.00 IJa | 0.99 | 16.5 ± 0.1 IJb | 0.47 ± 0.00 Da | 0.97 |
| OS-VA | 71.8 ± 3.3 Eb | 0.25 ± 0.01 Ka | 0.99 | 13.6 ± 0.1 Kc | 0.47 ± 0.00 Da | 0.99 |
| WMS | 17.8 ± 0.4 Jb | 0.44 ± 0.00 Ba | 0.99 | 11.3 ± 0.1 Ma | 0.49 ± 0.00 Bb | 0.99 |
| WMS-AA | 19.5 ± 1.1 Jb | 0.44 ± 0.00 Ba | 0.99 | 11.9 ± 0.3 LMa | 0.50 ± 0.00 Aa | 0.99 |
| WMS-VA | 26.8 ± 0.6 Ia | 0.40 ± 0.00 CDb | 0.98 | 11.5 ± 0.0 Ma | 0.50 ± 0.00 Aa | 0.99 |
| NMS | 60.1 ± 1.0 Fa | 0.31 ± 0.00 Gb | 0.99 | 31.8 ± 0.1 Ca | 0.40 ± 0.00 Ib | 0.98 |
| NMS-AA | 40.5 ± 1.6 Gb | 0.36 ± 0.01 Ea | 0.99 | 13.5 ± 0.1 Kb | 0.50 ± 0.00 Aa | 0.99 |
| NMS-VA | 59.7 ± 0.6 Fa | 0.28 ± 0.00 IJc | 0.99 | 11.2 ± 0.1 Mc | 0.50 ± 0.00 Aa | 0.99 |
| Samples | Heating Process | Cooling Process | |||||
|---|---|---|---|---|---|---|---|
| TG′max (°C) | G′max (kPa) | tan δG′max | G′95°C (kPa) | tan δ95°C | G′25°C (kPa) | tan δ25°C | |
| PMS | 75.1 ± 0.2 Ea | 659 ± 5 JKc | 0.257 ± 0.006 Fa | 66 ± 1 Hc | 0.340 ± 0.004 Da | 98 ± 1 Kb | 0.433 ± 0.017 Ba |
| PMS-AA | 69.2 ± 0.4 HIb | 857 ± 65 Ja | 0.197 ± 0.005 Hb | 135 ± 8 Ha | 0.204 ± 0.010 Ic | 135 ± 6 Ka | 0.342 ± 0.004 Db |
| PMS-VA | 69.4 ± 0.5 HIb | 766 ± 29 Jab | 0.173 ± 0.005 Ic | 104 ± 4 Hb | 0.218 ± 0.003 Hb | 120 ± 11 Kab | 0.322 ± 0.008 Eb |
| AS | 83.7 ± 0.45 Bc | 48 ± 2 Lc | 0.526 ± 0.001 Aa | 37 ± 1 Hc | 0.588 ± 0.011 Aa | 36 ± 1 Kc | 0.589 ± 0.013 Aa |
| AS-AA | 69.4 ± 1.3 HIb | 190 ± 11 KLa | 0.435 ± 0.026 Cb | 89 ± 3 Ha | 0.534 ± 0.005 Bb | 162 ± 11 Ka | 0.596 ± 0.026 Aa |
| AS-VA | 87.9 ± 0.2 Aa | 77.82 ± 2 Lb | 0.315 ± 0.001 Dc | 74 ± 4 Hb | 0.321 ± 0.005 Ec | 101 ± 6 Kb | 0.437 ± 0.023 Bb |
| FMS | 76.5 ± 0.0 Da | 6560 ± 380 Fb | 0.111 ± 0.001 La | 1376 ± 59 Da | 0.109 ± 0.000 Oa | 6552 ± 193 Ba | 0.026 ± 0.001 Jc |
| FMS-AA | 71.7 ± 0.3 Gb | 10130 ± 196 Ba | 0.077 ± 0.001 Nb | 1275 ± 90 Da | 0.107 ± 0.016 Oa | 3342 ± 81 Eb | 0.069 ± 0.002 HIb |
| FMS-VA | 69.7 ± 0.3 HIc | 7287 ± 212 Eb | 0.071 ± 0.002 Nc | 637 ± 41 Gb | 0.116 ± 0.013 NOa | 1133 ± 100 Jc | 0.085 ± 0.001 GHa |
| QS | 68.9 ± 0.1 IJa | 5593 ± 302 Gc | 0.070 ± 0.001 Na | 2109 ± 15 Ba | 0.087 ± 0.002 Pab | 5346 ± 244 Ca | 0.024 ± 0.001 Jc |
| QS-AA | 64.2 ± 0.2 Lb | 6431 ± 213 Fb | 0.055 ± 0.001 Ob | 1621 ± 11 Cb | 0.084 ± 0.000 Pb | 1991 ± 13 FGb | 0.082 ± 0.002 GHb |
| QS-VA | 63.0 ± 0.3 Mc | 8108 ± 47 CDa | 0.056 ± 0.000 Ob | 1521 ± 9 Cc | 0.093 ± 0.003 PQa | 1713 ± 84 GHb | 0.091 ± 0.002 GHa |
| BS | 71.1 ± 0.0 Ga | 5916 ± 97 Gb | 0.152 ± 0.009 Ja | 2997 ± 165 Aa | 0.163 ± 0.002 Ja | 13072 ± 332 Aa | 0.031 ± 0.001 Jc |
| BS-AA | 66.4 ± 0.5 Kb | 11458 ± 727 Aa | 0.100 ± 0.000 LMc | 3078 ± 124 Aa | 0.106 ± 0.000 OPc | 5042 ± 136 Db | 0.096 ± 0.001 Gb |
| BS-VA | 64.8 ± 0.2 Lc | 5692 ± 272 Gbc | 0.130 ± 0.006 Kb | 1069 ± 51 Eb | 0.130 ± 0.005 Mb | 1677 ± 92 HIc | 0.124 ± 0.001 Fa |
| OS | 71.3 ± 0.2 Ga | 7622 ± 29 DE | 0.094 ± 0.000 Ma | 1080 ± 9 Eb | 0.110 ± 0.003 Ob | 2006 ± 48 Fb | 0.081 ± 0.002 GHc |
| OS-AA | 65.7 ± 0.1 Kb | 10963 ± 44 Aa | 0.051 ± 0.000 Oc | 2097 ± 76 Ba | 0.118 ± 0.008 NOb | 1669 ± 32 HIc | 0.123 ± 0.003 Fa |
| OS-VA | 70.1 ± 1.1 Ha | 8541 ± 308 Cb | 0.076 ± 0.002 Nb | 2010 ± 75 Ba | 0.153 ± 0.002 KLa | 5352 ± 83 Ca | 0.097 ± 0.001 Gb |
| WMS | 71.3 ± 0.1 Ga | 505 ± 13 JKL | 0.276 ± 0.000 Eb | 33 ± 2 Hb | 0.358 ± 0.002 Ca | 42 ± 6 Kb | 0.600 ± 0.021 Aa |
| WMS-AA | 68.2 ± 0.1 Jb | 866 ± 11 J | 0.238 ± 0.001 Gc | 65 ± 3 Ha | 0.272 ± 0.006 Fb | 65 ± 1 Ka | 0.451 ± 0.006 Bb |
| WMS-VA | 66.6 ± 0.3 Kc | 562 ± 23 JKL | 0.474 ± 0.002 Ba | 70 ± 1 Ha | 0.236 ± 0.004 Gc | 66 ± 1 Ka | 0.402 ± 0.001 Cc |
| NMS | 78.6 ± 0.2 Ca | 4888 ± 374 Hab | 0.096 ± 0.002 Mb | 2142 ± 87 Ba | 0.093 ± 0.003 PQc | 6698 ± 377 Ba | 0.032 ± 0.000 Jc |
| NMS-AA | 74.2 ± 0.5 Fb | 5777 ± 434 Ga | 0.106 ± 0.001 LMa | 1386 ± 79 Db | 0.127 ± 0.001 Mb | 3420 ± 164 Eb | 0.058 ± 0.002 Ib |
| NMS-VA | 73.3 ± 0.2 Fb | 4324 ± 51 Ib | 0.108 ± 0.000 LMa | 654 ± 9 Gc | 0.149 ± 0.001 La | 1402 ± 52 IJc | 0.092 ± 0.000 Ga |
| Samples | Hardness (g) | Adhesiveness (g.s) | Springiness | Cohesiveness | Gumminess |
|---|---|---|---|---|---|
| PMS | 1.10 ± 0.05 Jb | −2.48 ± 0.14 Gb | 2.66 ± 0.04 ABa | 0.93 ± 0.04 CDEb | 1.04 ± 0.02 Kb |
| PMS-AA | 1.11 ± 0.00 Jb | −3.32 ± 0.45 Ha | 2.50 ± 0.04 Ba | 0.99 ± 0.08 BCDEb | 1.11 ± 0.09 Kb |
| PMS-VA | 1.25 ± 0.03 Ja | −3.19 ± 0.49 Ha | 1.93 ± 0.11 Cb | 1.25 ± 0.10 Ba | 1.55 ± 0.09 JKa |
| AS | 0.88 ± 0.06 Jab | −3.79 ± 0.91 Ha | 2.85 ± 0.63 Aa | 1.74 ± 0.46 Aa | 1.49 ± 0.12 JKa |
| AS-AA | 0.78 ± 0.02 Jb | −3.75 ± 0.17 Ha | 1.03 ± 0.09 Db | 0.79 ± 0.03 DEFGb | 0.64 ± 0.02 Kc |
| AS-VA | 0.92 ± 0.03 Ja | −4.87 ± 0.21 Ia | 2.14 ± 0.11 Cab | 1.14 ± 0.04 BCab | 1.04 ± 0.07 Kb |
| FMS | 10.23 ± 0.15 Ca | −0.41 ± 0.01 Aa | 1.08 ± 0.00 Db | 0.85 ± 0.01 DEb | 8.64 ± 0.00 Ca |
| FMS-AA | 3.56 ± 0.14 HIb | −0.85 ± 0.04 ABCDb | 1.31 ± 0.02 Da | 1.02 ± 0.04 BCDa | 3.62 ± 0.25 GHb |
| FMS-VA | 3.91 ± 0.23 Hb | −1.61 ± 0.05 EFc | 1.37 ± 0.10 Da | 0.92 ± 0.03 CDEa | 3.59 ± 0.11 GHb |
| QS | 3.86 ± 0.02 Ha | −3.72 ± 0.38 Ha | 1.16 ± 0.02 Da | 0.53 ± 0.01 Gb | 2.07 ± 0.10 IJa |
| QS-AA | 3.26 ± 0.03 Ib | −4.99 ± 0.16 Ib | 1.22 ± 0.07 Da | 0.76 ± 0.03 DEFGa | 2.37 ± 0.27 IJa |
| QS-VA | 3.78 ± 0.04 Hab | −5.59 ± 0.21 Jb | 1.20 ± 0.01 Da | 0.72 ± 0.01 EFGa | 2.73 ± 0.02 HIa |
| BS | 12.65 ± 0.92 Ba | −0.90 ± 0.05 ABCDa | 1.08 ± 0.00 Db | 0.77 ± 0.03 DEFGb | 9.74 ± 2.28 BCa |
| BS-AA | 7.22 ± 0.16 Db | −1.26 ± 0.11 CDEb | 1.11 ± 0.04 Db | 0.90 ± 0.10 CDEa | 6.49 ± 0.57 Dab |
| BS-VA | 4.67 ± 0.07 Gc | −1.96 ± 0.14 FGc | 1.21 ± 0.02 Da | 0.92 ± 0.03 CDEa | 4.32 ± 0.19 FGb |
| OS | 10.62 ± 0.07 Ca | −0.45 ± 0.01 ABa | 1.12 ± 0.04 Da | 0.93 ± 0.03 CDEa | 9.84 ± 0.2 Ba |
| OS-AA | 6.11 ± 0.08 Eb | −1.42 ± 0.21 DEFb | 1.19 ± 0.05 Da | 0.89 ± 0.05 CDEa | 5.41 ± 0.25 DEFb |
| OS-VA | 5.31 ± 0.27 Fc | −0.63 ± 0.00 ABCa | 1.19 ± 0.00 Da | 0.95 ± 0.00 CDEa | 5.06 ± 0.26 EFb |
| WMS | ND | ND | ND | ND | ND |
| WMS-AA | ND | ND | ND | ND | ND |
| WMS-VA | ND | ND | ND | ND | ND |
| NMS | 18.68 ± 0.10 Aa | −2.54 ± 0.08 Gc | 1.06 ± 0.01 Dc | 0.57 ± 0.02 FGc | 11.04 ± 0.29 Aa |
| NMS-AA | 7.69 ± 0.13 Db | −3.43 ± 0.17 Hb | 1.13 ± 0.01 Db | 0.81 ± 0.00 DEFb | 6.22 ± 0.09 DEb |
| NMS-VA | 4.95 ± 0.06 Gc | −1.09 ± 0.07 BCDEa | 1.18 ± 0.02 Da | 0.91 ± 0.00 CDEa | 4.63 ± 0.10 FGc |
Disclaimer/Publisher’s Note: The statements, opinions and data contained in all publications are solely those of the individual author(s) and contributor(s) and not of MDPI and/or the editor(s). MDPI and/or the editor(s) disclaim responsibility for any injury to people or property resulting from any ideas, methods, instructions or products referred to in the content. |
© 2025 by the authors. Licensee MDPI, Basel, Switzerland. This article is an open access article distributed under the terms and conditions of the Creative Commons Attribution (CC BY) license (https://creativecommons.org/licenses/by/4.0/).
Share and Cite
Xu, S.; Gebre, B.A.; Zhang, C.; Mekonnen, S.A.; Ma, M.; Zhang, H.; Sui, Z.; Corke, H. Differential Pasting and Rheological Properties of Diverse Underutilized Starches Modified by Acetic Anhydride and Vinyl Acetate. Foods 2025, 14, 2227. https://doi.org/10.3390/foods14132227
Xu S, Gebre BA, Zhang C, Mekonnen SA, Ma M, Zhang H, Sui Z, Corke H. Differential Pasting and Rheological Properties of Diverse Underutilized Starches Modified by Acetic Anhydride and Vinyl Acetate. Foods. 2025; 14(13):2227. https://doi.org/10.3390/foods14132227
Chicago/Turabian StyleXu, Song, Bilatu Agza Gebre, Chuangchuang Zhang, Solomon Abate Mekonnen, Mengting Ma, Hui Zhang, Zhongquan Sui, and Harold Corke. 2025. "Differential Pasting and Rheological Properties of Diverse Underutilized Starches Modified by Acetic Anhydride and Vinyl Acetate" Foods 14, no. 13: 2227. https://doi.org/10.3390/foods14132227
APA StyleXu, S., Gebre, B. A., Zhang, C., Mekonnen, S. A., Ma, M., Zhang, H., Sui, Z., & Corke, H. (2025). Differential Pasting and Rheological Properties of Diverse Underutilized Starches Modified by Acetic Anhydride and Vinyl Acetate. Foods, 14(13), 2227. https://doi.org/10.3390/foods14132227

