Residue Behaviors and Degradation Dynamics of Insecticides Commonly Applied to Agrocybe aegerita Mushrooms from Field to Product Processing and Corresponding Risk Assessments
Abstract
1. Introduction
2. Materials and Methods
2.1. Materials and Regents
2.2. Field Trial Design and Sampling
2.3. Experiments with Processing Treatment
2.4. Extraction and Cleanup Procedure
2.5. UPLC-MS/MS Conditions
2.6. Quality Control and Quality Assurance
2.7. Statistical Analysis and Dietary Risk Assessment
2.7.1. Dissipation Kinetics
2.7.2. Calculation of Processing Factors
2.7.3. Dietary Exposure Risk Assessment
3. Results and Discussion
3.1. Quality Control of Analytical Methods
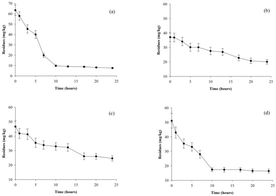
3.2. Dissipation and Terminal Residues of Four Pesticides in Fresh A. aegerita
3.3. The Degradation Behavior of the Pesticides during Processing
3.4. Dietary Exposure Assessment
4. Conclusions
Author Contributions
Funding
Institutional Review Board Statement
Informed Consent Statement
Data Availability Statement
Acknowledgments
Conflicts of Interest
References
- Lin, S.; Ching, L.; Lam, K.; Cheug, P.C.K. Anti-angiogenic effect of water extract from the fruiting body of Agrocybe aegerita. LWT Food Sci. Technol. 2017, 75, 155–163. [Google Scholar] [CrossRef]
- Song, R.; Liang, T.; Shen, Q.; Liu, J.; Lu, Y.; Tang, C.; Chen, X.; Hou, T.; Chen, Y. The optimization of production and characterization of antioxidant peptides from protein hydrolysates of Agrocybe aegerita. LWT-Food Sci. Technol. 2020, 134, 109987. [Google Scholar] [CrossRef]
- Yao, Q.; Su, D.; Huang, M.; Zheng, Y.; Chen, M.; Lin, Q.; Xu, H.; Zeng, S. Residue degradation and metabolism of dinotefuran and cyromazine in Agrocybe aegerita: A risk assessment from cultivation to dietary exposure. J. Food Compos. Anal. 2024, 127, 105951. [Google Scholar] [CrossRef]
- Landi, N.; Pacifico, S.; Ragucci, S.; Di Giuseppe, A.; Iannuzzi, F.; Zarrelli, A.; Piccolella, S.; Di Maro, A. Pioppino mushroom in southern Italy: An undervalued source of nutrient and bioactive compounds. J. Sci. Food Agric. 2017, 97, 5388–5397. [Google Scholar] [CrossRef] [PubMed]
- Ragucci, S.; Landi, N.; Russo, R.; Valletta, M.; Citores, L.; Iglesias, R.; Pedone, P.; Pizzo, E.; Di Maro, A. Effect of an additional N-terminal methionyl residue on enzymatic and antifungal activities of Ageritin purified from Agrocybe aegerita fruiting bodies. Int. J. Biol. Macromol. 2020, 155, 1226–1235. [Google Scholar] [CrossRef] [PubMed]
- Li, G.; Liu, X.; Cong, S.; Deng, Y.; Zheng, X. A novel serine protease with anticoagulant and fibrinolytic activities from the fruiting bodies of mushroom Agrocybe aegerita. Int. J. Biol. Macromol. 2021, 168, 631–639. [Google Scholar] [CrossRef] [PubMed]
- Diyabalanage, D.; Mulabagal, V.; Mills, G.; DeWitt, D.L.; Nair, M.G. Health-beneficial qualities of the edible mushroom, Agrocybe aegerita. Food Chem. 2008, 108, 97–102. [Google Scholar] [CrossRef]
- Choi, I.Y.; Choi, J.N.; Sharma, P.K.; Lee, W.H. Isolation and identification of mushroom pathogens from Agrocybe aegerita. Mycobiology 2010, 38, 310–315. [Google Scholar] [CrossRef] [PubMed]
- Jiao, J.; Shi, Y.C.; Wu, D. Residual dynamic of imidacloprid in Agrocybe aegerita and its substrates. Agrochemistry 2019, 58, 115–117. (In Chinese) [Google Scholar]
- Łozowicka, B.; Kaczyński, P.; Jankowska, M.; Rutkowska, E.; Hrynko, I. Pesticide residues in raspberries (Rubus idaeus L.) and dietary risk assessment. Food Addit. Contam. Part B 2012, 5, 165–171. [Google Scholar] [CrossRef] [PubMed]
- Sales-Alba, A.; Cruz-Alcalde, A.; López-Vinent, N.; Cruz, L.; Sans, C. Removal of neonicotinoid insecticide clothianidin from water by ozone-based oxidation: Kinetics and transformation products. Sep. Purif. Technol. 2023, 316, 123735. [Google Scholar] [CrossRef]
- Dai, P.; Jack, C.J.; Mortensen, A.N.; Bloomquist, J.R.; Ellis, J.D. The impacts of chlorothalonil and diflubenzuron on Apis mellilera L. larvae reared in vitro. Ecotoxicol. Environ. Saf. 2018, 164, 283–288. [Google Scholar] [CrossRef] [PubMed]
- Zhao, Y.; Zou, C.; Zhang, L.; Li, C.; Li, X.; Song, L. Chlorbenzuron caused growth arrest through interference of glycolysis and energy metabolism in Hyphantria cunea (Lepidoptera: Erebidae) larvae. Pestic. Biochem. Phys. 2023, 193, 105466. [Google Scholar] [CrossRef] [PubMed]
- Han, Y.; Dong, F.; Xu, J.; Liu, X.; Li, Y.; Kong, Z.; Li, Y.; Kong, Z.; Liang, X.; Liu, N.; et al. Residue change of pyridaben in apple samples during apple cider processing. Food Control 2014, 37, 240–244. [Google Scholar] [CrossRef]
- You, T.; Ding, Y.; Chen, H.; Song, G.; Huang, L.; Wang, M.; Hua, X. Development of competitive and noncompetitive immunoassays for clothianidin with high sensitivity and specificity using phage-displayed peptides. J. Hazard. Mater. 2022, 425, 128011. [Google Scholar] [CrossRef] [PubMed]
- Aguilera, A.; Valverde, A.; Camacho, F.; Boulaid, M.; García-Fuentes, L. Household processing factors of acrinathrin, fipronil, kresoxim-methyl and pyridaben residues in green beans. Food Control 2014, 305, 146–152. [Google Scholar] [CrossRef]
- Chang, J.; Wang, H.; Xu, P.; Guo, B.; Li, J.; Wang, Y.; Li, W. Oral and dermal disturbance in the Mongolian racerunner (Eremias argus). Environ. Pollut. 2018, 232, 338–346. [Google Scholar] [CrossRef]
- Yang, X.; Luo, J.; Li, S.; Liu, C. Evaluation of nine pesticide residues in three minor tropical fruits from southern China. Food Control. 2016, 60, 677–682. [Google Scholar] [CrossRef]
- NY/T 788-2018; Agricultural Industry Standard of China—Guideline on Pesticide Residue Trial. MOA—Ministry of Agriculture of the People’s Republic of China: Beijing, China, 2018. (In Chinese)
- OECD—Organization for Economic Co-operation and Development. OECD Guideline for Testing of Chemicals, No. 508; Renouf Pub Co Ltd.: Paris, France, 2007. [Google Scholar]
- Arani, H.M.; Kermani, M.; Kalantary, R.R.; Jaafarzadeh, N.; Arani, S.B. Pesticides residues determination and probabilistic health risk assessment in the soil and cantaloupe by Monte Carlo simulation: A case study in Kashan and Aran-Bidol, Iran. Ecotoxicol. Environ. Saf. 2023, 263, 115229. [Google Scholar] [CrossRef] [PubMed]
- GB 23200.121-2021; National Food Safety Standard—Determination of 331 Pesticides and Metabolites Residues in Foods of Plant Origin-Liquid Chromatography-Tandem Mass Spectrometry Method. MOA—Ministry of Agriculture of the People’s Republic of China: Beijing, China, 2021. (In Chinese)
- Li, Y.; Xu, J.; Zhao, X.; He, H.; Zhang, C.; Zhang, Z. The dissipation behavior, house hold processing factor and risk assessment for cyenopyafen residues in strawberry and mandarin fruits. Food Chem. 2021, 359, 129925. [Google Scholar] [CrossRef] [PubMed]
- Mekonen, S.; Ambelu, A.; Spanoghe, P. Effect of household coffee processing on pesticide residues as a means of ensuring consumers’ safety. J. Agric. Food Chem. 2015, 63, 8568–8573. [Google Scholar] [CrossRef] [PubMed]
- Kanrar, B.; Mandal, S.; Bhattacharyya, A. Validation and uncertainty analysis of a multiresidue method for 42 pesticides in made tea, tea infusion and spent leaves using ethyl acetate extraction and liquid chromatography-tandem mass spectrometry. J. Chromatogr. A 2010, 1217, 1926–1933. [Google Scholar] [CrossRef] [PubMed]
- Li, H.; Zhong, Q.; Wang, X.; Luo, F.; Zhou, L.; Sun, H.; Yang, M.; Luo, Z.; Chen, Z.; Zhang, X. The degradation and metabolism of chlorfluazuron and flonicamid in tea: A risk assessment from tea garden to cup. Sci. Total Environ. 2021, 754, 142070. [Google Scholar] [CrossRef] [PubMed]
- Ganguly, P.; Barik, S.R.; Patra, S.; Roy, S.; Bhattacharyya, A. Persistence of chlorfluazuron in cabbage under different agro-climatic conditions of India and its risk assessment. Environ. Toxicol. Chem. 2017, 36, 3028–3033. [Google Scholar] [CrossRef] [PubMed]
- Tang, H.; Sun, Q.; Huang, J.; Wen, G.; Han, L.; Wang, L.; Zhang, Y.; Dong, M.; Wang, W. Residue behaviors, degradation, processing factors, and risk assessment of pesticides in citrus from field to product processing. Sci. Total Environ. 2023, 897, 165321. [Google Scholar] [CrossRef]
- GB 2763-2021; National Food Safety Standard—Maximum Residue Limits for Pesticides in Food. MOA—Ministry of Agriculture of the People’s Republic of China: Beijing, China, 2021. (In Chinese)
- Bajwa, U.; Sandhu, S.K. Effect of handling and processing on pesticide residues in food—A review. J. Food Sci. Technol. 2011, 51, 201–220. [Google Scholar] [CrossRef] [PubMed]
- Kettler, S.; Kennedy, M.; McNamara, C.; Oberdörfer, R.; O’Mahony, C.; Schnabel, J.; Smith, B.; Sprong, C.; Faludi, R.; Tennant, D. Assessing and reporting uncertainties in dietary exposure analysis mapping of uncertainties in a tiered approach. Food Chem. Toxicol. 2015, 82, 79–95. [Google Scholar] [CrossRef] [PubMed]
- Yao, Q.; Yan, S.; Chen, H.; Li, J.; Lin, Q. Dietary risk assessment of pesticide residues on Tremella fuciformis Berk (snow fungus) from Fujian Province. Food Addit. Contam. Part A 2020, 37, 1289–1299. [Google Scholar] [CrossRef] [PubMed]
- Cui, K.; Wu, X.; Zhang, Y.; Cao, J.; Wei, D.; Xu, J.; Dong, F.; Liu, X.; Zheng, Y. Cumulative risk assessment of dietary exposure to triazole fungicides from 13 daily-consumed foods in China. Environ. Pollut. 2021, 286, 117550. [Google Scholar] [CrossRef] [PubMed]
- Cui, K.; Guan, S.; Liang, J.; Fang, L.; Ding, R.; Wang, J.; Li, T.; Dong, Z.; Wu, X.; Zheng, Y. Dissipation, metabolism, accumulation, processing and risk assessment of fluxapyroxad in cucumber and cowpea vegetables from field to table. Food Chem. 2023, 423, 136384. [Google Scholar] [CrossRef] [PubMed]
- Huan, Z.; Xu, Z.; Jiang, W.; Chen, Z.; Luo, J. Effect of Chinese traditional cooking on eight pestcides residue during cowpea processing. Food Chem. 2015, 170, 118–122. [Google Scholar] [CrossRef] [PubMed]
- Oliva, J.; Cermeño, S.; Cámara, M.A.; Martínez, G.; Barba, A. Disappearance of six pesticides in fresh and processed zucchini, bioavailability and health risk assessment. Food Chem. 2017, 229, 172–177. [Google Scholar] [CrossRef] [PubMed]
- EFSA. Guidance of the Scientific Committee on a request from EFSA related to Uncertainties in Dietary Exposure Assessment. EFSA J. 2006, 438, 1–54. [Google Scholar]
- Claeys, W.L.; Schmit, J.; Bragard, C.; Maghuin-Rogister, G.; Pussemier, L.; Schiffers, B. Exposure of several Belgian consumer groups to pesticide residues through fresh fruit and vegetable consumption. Food Control 2011, 22, 508–516. [Google Scholar] [CrossRef]




| Pesticides | Logkow | Low Dosage | High Dosage | Control |
|---|---|---|---|---|
| Diflubenzuron | 3.89 | 1 | 2 | 0 |
| Clothianidin | 0.7 | 0.75 | 1.5 | 0 |
| Chlorbenzuron | / | 1 | 2 | 0 |
| Pyridaben | 6.37 | 0.75 | 1.5 | 0 |
| Compound | Retention Time (min) | Ion Pairs (m/z) | Cone Voltage/V | Collision Energy (eV) |
|---|---|---|---|---|
| Clothianidin | 4.247 | 250.00 > 169.00 a | −11.0 | −10.0 |
| 250.00 > 131.85 | −11.0 | −14.0 | ||
| Diflubenzuron | 7.812 | 309.10 > 289.05 a | 21.0 | 8.0 |
| 309.10 > 156.15 | 21.0 | 10.0 | ||
| Chlorbenzuron | 8.174 | 307.00 > 154.15 a | 21.0 | 11.0 |
| 307.00 > 126.15 | 21.0 | 22.0 | ||
| Pyridaben | 12.606 | 365.10 > 309.05 a | −18.0 | −12.0 |
| 365.10 > 147.10 | −18.0 | −25.0 |
| Compound | Linear Range (μg/mL) | Equation | R2 | MEs | LOD (μg/kg) | LOQ (μg/kg) | Recovery (%) | RSD (%) |
|---|---|---|---|---|---|---|---|---|
| Clothianidin | 1–100 | y = 43,910x − 16,764 | 0.9995 | 0.61 | 0.15 | 0.50 | 97.2 | 4.6 |
| Diflubenzuron | 10–1000 | y = 4289x − 16,209 | 0.9996 | 1.83 | 1.5 | 5 | 88.4 | 4.8 |
| Chlorbenzuron | 1–100 | y = 20,681x − 6505 | 0.9997 | 1.48 | 0.15 | 0.50 | 100.4 | 3.4 |
| Pyridaben | 0.2–20 | y = 263,273x + 129,006 | 0.9994 | 1.00 | 0.03 | 0.10 | 108.1 | 4.1 |
| Group | Compound | Regression Equation | R | Half-Life (h) |
|---|---|---|---|---|
| Low dosage | Clothianidin | Ct = 9.7163 × 10−0.7273x | 0.9815 | 22.9 |
| Diflubenzuron | Ct = 10.3833 × 10−0.8166x | 0.9871 | 20.4 | |
| Chlorbenzuron | Ct = 18.2120 × 10−0.5319x | 0.9622 | 31.3 | |
| Pyridaben | Ct = 3.5790 × 10−0.4129x | 0.9353 | 40.3 | |
| High dosage | Clothianidin | Ct = 10.1223 × 10−0.5214x | 0.9766 | 31.9 |
| Diflubenzuron | Ct = 33.6787 × 10−0.6483x | 0.9748 | 25.7 | |
| Chlorbenzuron | Ct = 49.6793 × 10−0.5350x | 0.9622 | 31.1 | |
| Pyridaben | Ct = 4.5355 × 10−0.3494x | 0.9878 | 47.6 |
| Group | Compound | Residues (μg/kg) | cHQ of Fresh Samples | cHQ of Dry Samples | |||||
|---|---|---|---|---|---|---|---|---|---|
| Min | HR-P | STMR | Average | Adults | Children | Adults | Children | ||
| Low | Clothianidin | 103.04 | 209.11 | 131.74 | 151.93 | 7.30 × 10−4 | 2.20 × 10−3 | 6.34 × 10−6 | 2.41 × 10−5 |
| Diflubenzuron | 58.29 | 2047.50 | 321.36 | 568.54 | 8.90 × 10−3 | 2.69 × 10−2 | 2.53 × 10−3 | 9.62 × 10−3 | |
| Chlorbenzuron | 151.64 | 2562.94 | 284.95 | 817.86 | 1.26 × 10−4 | 3.81 × 10−4 | 3.90 × 10−5 | 1.48 × 10−4 | |
| Pyridaben | 9.81 | 287.17 | 68.78 | 103.48 | 3.81 × 10−3 | 1.15 × 10−2 | 1.86 × 10−4 | 7.10 × 10−4 | |
| High | Clothianidin | 104.42 | 1447.04 | 214.22 | 529.72 | 1.19 × 10−3 | 3.58 × 10−3 | 1.03 × 10−5 | 3.92 × 10−5 |
| Diflubenzuron | 171.99 | 3991.58 | 680.12 | 1337.81 | 1.88 × 10−2 | 5.69 × 10−2 | 1.36 × 10−5 | 5.20 × 10−5 | |
| Chlorbenzuron | 441.71 | 4412.56 | 719.33 | 1468.91 | 3.19 × 10−4 | 9.63 × 10−4 | 9.84 × 10−5 | 3.74 × 10−4 | |
| Pyridaben | 58.32 | 1171.42 | 200.31 | 431.14 | 1.11 × 10−2 | 3.35 × 10−2 | 5.43 × 10−4 | 2.07 × 10−3 | |
Disclaimer/Publisher’s Note: The statements, opinions and data contained in all publications are solely those of the individual author(s) and contributor(s) and not of MDPI and/or the editor(s). MDPI and/or the editor(s) disclaim responsibility for any injury to people or property resulting from any ideas, methods, instructions or products referred to in the content. |
© 2024 by the authors. Licensee MDPI, Basel, Switzerland. This article is an open access article distributed under the terms and conditions of the Creative Commons Attribution (CC BY) license (https://creativecommons.org/licenses/by/4.0/).
Share and Cite
Yao, Q.; Su, D.; Zheng, Y.; Xu, H.; Huang, M.; Chen, M.; Zeng, S. Residue Behaviors and Degradation Dynamics of Insecticides Commonly Applied to Agrocybe aegerita Mushrooms from Field to Product Processing and Corresponding Risk Assessments. Foods 2024, 13, 1310. https://doi.org/10.3390/foods13091310
Yao Q, Su D, Zheng Y, Xu H, Huang M, Chen M, Zeng S. Residue Behaviors and Degradation Dynamics of Insecticides Commonly Applied to Agrocybe aegerita Mushrooms from Field to Product Processing and Corresponding Risk Assessments. Foods. 2024; 13(9):1310. https://doi.org/10.3390/foods13091310
Chicago/Turabian StyleYao, Qinghua, Desen Su, Yunyun Zheng, Hui Xu, Minmin Huang, Meizhen Chen, and Shaoxiao Zeng. 2024. "Residue Behaviors and Degradation Dynamics of Insecticides Commonly Applied to Agrocybe aegerita Mushrooms from Field to Product Processing and Corresponding Risk Assessments" Foods 13, no. 9: 1310. https://doi.org/10.3390/foods13091310
APA StyleYao, Q., Su, D., Zheng, Y., Xu, H., Huang, M., Chen, M., & Zeng, S. (2024). Residue Behaviors and Degradation Dynamics of Insecticides Commonly Applied to Agrocybe aegerita Mushrooms from Field to Product Processing and Corresponding Risk Assessments. Foods, 13(9), 1310. https://doi.org/10.3390/foods13091310

