Effects of Reducing Sugars on Colour, Amino Acids, and Volatile Flavour Compounds in Thermally Treated Minced Chicken Carcass Hydrolysate
Abstract
1. Introduction
2. Materials and Methods
2.1. Preparation of Chicken Carcass Hydrolysates
2.2. Thermal Treatment of Chicken Carcass Hydrolysates
2.3. Colour Analysis and pH Measurement
2.4. Determination of Sugars
2.5. Analysis of Amino Acids
2.6. Analysis of Volatile Compounds
2.7. Statistical Analysis
3. Results and Discussion
3.1. pH Changes
3.2. Colour Changes
3.3. Sugar Changes after Heat Treatment
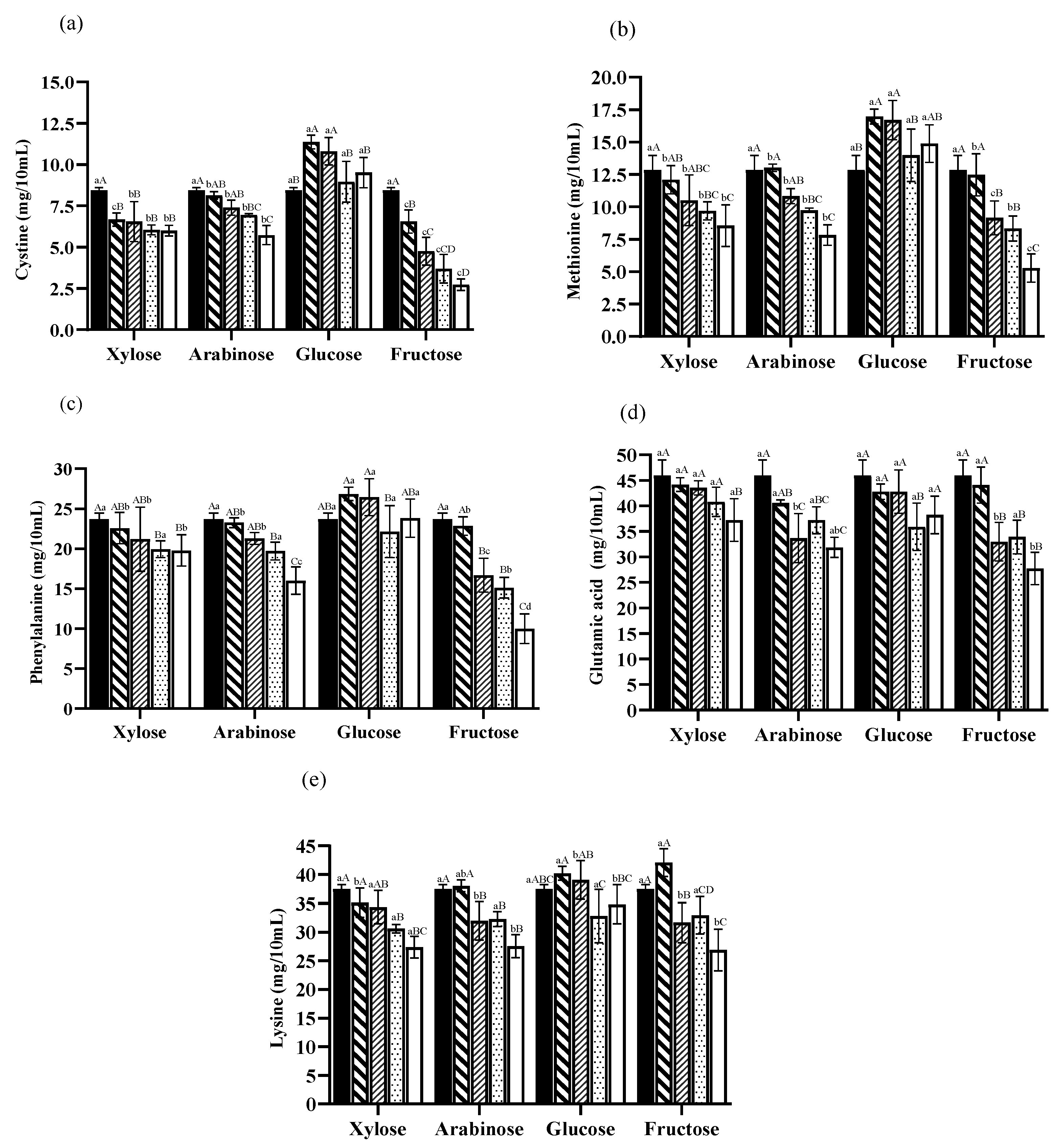
3.4. Free Amino Acids
3.5. Volatile Compounds
4. Conclusions
Supplementary Materials
0%,
0.5%,
1.5%,
2.5%,
3.5%) after heat treatment at 100 °C for 1 hr. A,B,C,D values within the same sugar dosage on different sugars followed by the same letters are not significantly different (p > 0.05). a,b,c,d values between the different sugar dosages on the same sugar added followed by the same letters are not significantly different (p > 0.05). Table S1: Average FID-GC peak areas (×106) and relative peak areas (RPAs, %) of volatiles in the blank, control, and heated chicken carcass hydrolysates with different added sugars (2.5%).Author Contributions
Funding
Institutional Review Board Statement
Informed Consent Statement
Data Availability Statement
Conflicts of Interest
References
- Livestock and Poultry: World Markets and Trade. Available online: https://www.fas.usda.gov/data/livestock-and-poultry-world-markets-and-trade (accessed on 15 June 2022).
- Saragih, H.; Salsabila, N.; Deliaputri, R.; Firdaus, A.B.I.; Kurnianto, H. Growth Morphology of the Gastrointestinal Tract, Pectoralis Thoracicus Muscle, Lymphoid Organ and Visceral Index of Kampong Chicken. J. Saudi Soc. Agric. Sci. 2024, 23, 34–41. [Google Scholar] [CrossRef]
- Wardiny, T.M.; Sumiati, S.; Retnani, Y.; Setiyono, A. Production of Functional Kampong Chicken Meat with Low Cholesterol, High Antioxidant, and Unsaturated Fatty Acids Fed Noni (Morinda Citrifolia) Leaf Shoot Meal. Trop. Anim. Sci. J. 2020, 43, 35–42. [Google Scholar] [CrossRef]
- Suyatno, S.; Sujono, S.; Winaya, A.; Zalizar, L.; Pangestu, M. Characterization of Qualitative and Quantitative Traits of Four Types of Indonesian Native Chickens as Ancestor of New Strains of Local Super Laying Hens. Jordan J. Biol. Sci. 2023, 16, 171–179. [Google Scholar] [CrossRef]
- Sarjana, T.A.; Suprijatna, E.; Mahfudz, L.D.; Sunarti, D.; Kismiati, S.; Ma’rifah, B.; Muryani, R.; Susanti, S. Effect of Transportation Distance on the Physiological Condition and Carcass Traits of Kampong Chickens. S. Afr. J. Anim. Sci. 2022, 52, 530–538. [Google Scholar] [CrossRef]
- Bravo, F.I.; Calvo, E.; López-Villalba, R.A.; Torres-Fuentes, C.; Muguerza, B.; García-Ruiz, A.; Morales, D. Valorization of Chicken Slaughterhouse Byproducts to Obtain Antihypertensive Peptides. Nutrients 2023, 15, 457. [Google Scholar] [CrossRef] [PubMed]
- Ibarz-Blanch, N.; Alcaide-Hidalgo, J.M.; Cortés-Espinar, A.J.; Albi-Puig, J.; Suárez, M.; Mulero, M.; Morales, D.; Bravo, F.I. Chicken Slaughterhouse By-Products: A Source of Protein Hydrolysates to Manage Non-Communicable Diseases. Trends Food Sci. Technol. 2023, 139, 104125. [Google Scholar] [CrossRef]
- Zou, Y.; Shahidi, F.; Shi, H.; Wang, J.; Huang, Y.; Xu, W.; Wang, D. Values-Added Utilization of Protein and Hydrolysates from Animal Processing by-Product Livers: A Review. Trends Food Sci. Technol. 2021, 110, 432–442. [Google Scholar] [CrossRef]
- Breternitz, N.R.; Bolini, H.M.A.; Hubinger, M.D. Sensory Acceptance Evaluation of a New Food Flavoring Produced by Microencapsulation of a Mussel (Perna Perna) Protein Hydrolysate. LWT-Food Sci. Technol. 2017, 83, 141–149. [Google Scholar] [CrossRef]
- Sun, B.; Tian, H.; Zheng, F.; Liu, Y.; Xie, J. Meaty Aromas: Characteristic Structural Unit of Sulfur-Containing Compounds with a Basic Meat Flavor. Meaty Aromas Charact. Struct. Unit Sulfur-Contain. Compd. Basic Meat Flavor 2005, 30, 36–45. [Google Scholar]
- Brehm, L.; Frank, O.; Jünger, M.; Wimmer, M.; Ranner, J.; Hofmann, T. Novel Taste-Enhancing 4-Amino-2-Methyl-5-Heteroalkypyrimidines Formed from Thiamine by Maillard-Type Reactions. J. Agric. Food Chem. 2019, 67, 13986–13997. [Google Scholar] [CrossRef]
- Sun, H.-M.; Wang, J.-Z.; Zhang, C.-H.; Li, X.; Xu, X.; Dong, X.-B.; Hu, L.; Li, C.-H. Changes of Flavor Compounds of Hydrolyzed Chicken Bone Extracts during Maillard Reaction: Flavor Compounds of Chicken Bone Extrac. J. Food Sci. 2014, 79, C2415–C2426. [Google Scholar] [CrossRef]
- Jousse, F.; Jongen, T.; Agterof, W.; Russell, S.; Braat, P. Simplified Kinetic Scheme of Flavor Formation by the Maillard Reaction. J. Food Sci. 2002, 67, 2534–2542. [Google Scholar] [CrossRef]
- Chiang, J.H.; Yeo, M.T.Y.; Ong, D.S.M.; Henry, C.J. Comparison of the Molecular Properties and Volatile Compounds of Maillard Reaction Products Derived from Animal- and Cereal-Based Protein Hydrolysates. Food Chem. 2022, 383, 132609. [Google Scholar] [CrossRef]
- Dong, X.B.; Li, X.; Zhang, C.H.; Wang, J.Z.; Tang, C.H.; Sun, H.M.; Jia, W.; Li, Y.; Chen, L.L. Development of a Novel Method for Hot-Pressure Extraction of Protein from Chicken Bone and the Effect of Enzymatic Hydrolysis on the Extracts. Food Chem. 2014, 157, 339–346. [Google Scholar] [CrossRef] [PubMed]
- Liu, J.; Liu, M.; He, C.; Song, H.; Chen, F. Effect of Thermal Treatment on the Flavor Generation from Maillard Reaction of Xylose and Chicken Peptide. LWT-Food Sci. Technol. 2015, 64, 316–325. [Google Scholar] [CrossRef]
- Zhang, X.; Li, X.; Liu, S.-Q. Enzymatic Hydrolysis of Minced Chicken Carcasses for Protein Hydrolysate Production. Poult. Sci. 2023, 102, 102791. [Google Scholar] [CrossRef] [PubMed]
- Murata, M. Browning and Pigmentation in Food through the Maillard Reaction. Glycoconj. J. 2021, 38, 283–292. [Google Scholar] [CrossRef] [PubMed]
- Laroque, D.; Inisan, C.; Berger, C.; Vouland, É.; Dufossé, L.; Guérard, F. Kinetic Study on the Maillard Reaction. Consideration of Sugar Reactivity. Food Chem. 2008, 111, 1032–1042. [Google Scholar] [CrossRef]
- Li, X.; Liu, S.-Q. Effect of pH, Xylose Content and Heating Temperature on Colour and Flavour Compound Formation of Enzymatically Hydrolysed Pork Trimmings. LWT 2021, 150, 112017. [Google Scholar] [CrossRef]
- Chua, J.-Y.; Tan, S.J.; Liu, S.-Q. The Impact of Mixed Amino Acids Supplementation on Torulaspora Delbrueckii Growth and Volatile Compound Modulation in Soy Whey Alcohol Fermentation. Food Res. Int. 2021, 140, 109901. [Google Scholar] [CrossRef]
- Zhou, R.Y.; Chua, J.-Y.; Liu, S.-Q. Exploring the Feasibility of Biotransforming Salted Soy Whey into a Soy Sauce-like Condiment Using Wine Yeast Torulaspora Delbrueckii and Soy Sauce Yeasts Zygosaccharomyces Rouxii and Candida Versatilis as Single Starter Cultures. Food Res. Int. 2022, 156, 111350. [Google Scholar] [CrossRef]
- Vong, W.C.; Liu, S.-Q. Changes in Volatile Profile of Soybean Residue (Okara) upon Solid-State Fermentation by Yeasts. J. Sci. Food Agric. 2017, 97, 135–143. [Google Scholar] [CrossRef]
- Gao, P.; Wang, W.; Jiang, Q.; Xu, Y.; Xia, W. Effect of Autochthonous Starter Cultures on the Volatile Flavour Compounds of Chinese Traditional Fermented Fish (Suan Yu). Int. J. Food Sci. Technol. 2016, 51, 1630–1637. [Google Scholar] [CrossRef]
- Liu, S.-C.; Yang, D.-J.; Jin, S.-Y.; Hsu, C.-H.; Chen, S.-L. Kinetics of Color Development, pH Decreasing, and Anti-Oxidative Activity Reduction of Maillard Reaction in Galactose/Glycine Model Systems. Food Chem. 2008, 108, 533–541. [Google Scholar] [CrossRef]
- Esteban, J.; Yustos, P.; Ladero, M. Catalytic Processes from Biomass-Derived Hexoses and Pentoses: A Recent Literature Overview. Catalysts 2018, 8, 637. [Google Scholar] [CrossRef]
- Martins, S.I.F.S.; Jongen, W.M.F.; van Boekel, M.A.J.S. A Review of Maillard Reaction in Food and Implications to Kinetic Modelling. Trends Food Sci. Technol. 2000, 11, 364–373. [Google Scholar] [CrossRef]
- Kaewtathip, T.; Wattana-Amorn, P.; Boonsupthip, W.; Lorjaroenphon, Y.; Klinkesorn, U. Maillard Reaction Products-Based Encapsulant System Formed between Chitosan and Corn Syrup Solids: Influence of Solution pH on Formation Kinetic and Antioxidant Activity. Food Chem. 2022, 393, 133329. [Google Scholar] [CrossRef] [PubMed]
- Reyes, F.G.R.; Poocharoen, B.; Wrolstad, R.E. Maillard Browning Reaction of Sugar-Glycine Model Systems: Changes in Sugar Concentration, Color and Appearance. J. Food Sci. 1982, 47, 1376–1377. [Google Scholar] [CrossRef]
- Sun, F.; Cui, H.; Zhan, H.; Xu, M.; Hayat, K.; Tahir, M.U.; Hussain, S.; Zhang, X.; Ho, C. Aqueous Preparation of Maillard Reaction Intermediate from Glutathione and Xylose and Its Volatile Formation During Thermal Treatment. J. Food Sci. 2019, 84, 3584–3593. [Google Scholar] [CrossRef] [PubMed]
- Huang, M.; Zhang, X.; Karangwa, E. Comparation Sensory Characteristic, Non-Volatile Compounds, Volatile Compounds and Antioxidant Activity of MRPs by Novel Gradient Temperature-Elevating and Traditional Isothermal Methods. J. Food Sci. Technol. 2015, 52, 858–866. [Google Scholar] [CrossRef]
- Huang, M.G.; Zhang, X.M.; Eric, K.; Abbas, S.; Hayat, K.; Liu, P.; Xia, S.Q.; Jia, C.S. Inhibiting the Color Formation by Gradient Temperature-Elevating Maillard Reaction of Soybean Peptide-Xylose System Based on Interaction of l-Cysteine and Amadori Compounds. J. Pept. Sci. 2012, 18, 342–349. [Google Scholar] [CrossRef]
- Nooshkam, M.; Varidi, M.; Verma, D.K. Functional and Biological Properties of Maillard Conjugates and Their Potential Application in Medical and Food: A Review. Food Res. Int. 2020, 131, 109003. [Google Scholar] [CrossRef]
- Chang, Y.-W.; Zeng, X.Y.; Sung, W.-C. Effect of Chitooligosaccharide and Different Low Molecular Weight Chitosans on the Formation of Acrylamide and 5-Hydroxymethylfurfural and Maillard Reaction Products in Glucose/Fructose-Asparagine Model Systems. LWT 2020, 119, 108879. [Google Scholar] [CrossRef]
- Cui, H.; Jia, C.; Hayat, K.; Yu, J.; Deng, S.; Karangwa, E.; Duhoranimana, E.; Xia, S.; Zhang, X. Controlled Formation of Flavor Compounds by Preparation and Application of Maillard Reaction Intermediate (MRI) Derived from Xylose and Phenylalanine. RSC Adv. 2017, 7, 45442–45451. [Google Scholar] [CrossRef]
- Seck, S.; Crouzet, J. Formation of Volatile Compounds in Sugar-Phenylalanine and Ascorbic Acid-Phenylalanine Model Systems during Heat Treatment. J. Food Sci. 1981, 46, 790–793. [Google Scholar] [CrossRef]
- Cao, J.; Yan, H.; Liu, L. Optimized Preparation and Antioxidant Activity of Glucose-Lysine Maillard Reaction Products. LWT 2022, 161, 113343. [Google Scholar] [CrossRef]
- Farmer, L.J. The Role of Nutrients in Meat Flavour Formation. Proc. Nutr. Soc. 1994, 53, 327–333. [Google Scholar] [CrossRef] [PubMed]
- Nielsen, S.S. Phenol-Sulfuric Acid Method for Total Carbohydrates. In Food Analysis Laboratory Manual; Nielsen, S.S., Ed.; Food Science Texts Series; Springer: Boston, MA, USA, 2010; pp. 47–53. ISBN 978-1-4419-1463-7. [Google Scholar]
- Agcam, E. A Kinetic Approach to Explain Hydroxymethylfurfural and Furfural Formations Induced by Maillard, Caramelization, and Ascorbic Acid Degradation Reactions in Fruit Juice-Based Mediums. Food Anal. Methods 2022, 15, 1286–1299. [Google Scholar] [CrossRef]
- Hua, D.-R.; Wu, Y.-L.; Liu, Y.-F.; Chen, Y.; Yang, M.-D.; Lu, X.-N.; Li, J. Preparation of Furfural and Reaction Kinetics of Xylose Dehydration to Furfural in High-Temperature Water. Pet. Sci. 2016, 13, 167–172. [Google Scholar] [CrossRef]
- Xu, Y.; Chen, Q.; Lei, S.; Wu, P.; Fan, G.; Xu, X.; Pan, S. Effects of Lard on the Formation of Volatiles from the Maillard Reaction of Cysteine with Xylose. J. Sci. Food Agric. 2011, 91, 2241–2246. [Google Scholar] [CrossRef] [PubMed]
- Azarbad, M.H.; Jeleń, H. Determination of Hexanal—An Indicator of Lipid Oxidation by Static Headspace Gas Chromatography (SHS-GC) in Fat-Rich Food Matrices. Food Anal. Methods 2015, 8, 1727–1733. [Google Scholar] [CrossRef]
- Kosowska, M.; Majcher, M.A.; Fortuna, T. Volatile Compounds in Meat and Meat Products. Food Sci. Technol. 2017, 37, 1–7. [Google Scholar] [CrossRef]
- Yang, Z.; Xie, J.; Zhang, L.; Du, R.; Cao, C.; Wang, M.; Acree, T.; Sun, B. Aromatic Effect of Fat and Oxidized Fat on a Meat-like Model Reaction System of Cysteine and Glucose. Flavour Fragr. J. 2015, 30, 320–329. [Google Scholar] [CrossRef]
- Shahidi, F.; Oh, W.Y. Lipid-Derived Flavor and off-Flavor of Traditional and Functional Foods: An Overview. J. Food Bioact. 2020, 10. [Google Scholar] [CrossRef]
- Su, G.; Zheng, L.; Cui, C.; Yang, B.; Ren, J.; Zhao, M. Characterization of Antioxidant Activity and Volatile Compounds of Maillard Reaction Products Derived from Different Peptide Fractions of Peanut Hydrolysate. Food Res. Int. 2011, 44, 3250–3258. [Google Scholar] [CrossRef]
- Moon, S.-Y.; Cliff, M.A.; Li-Chan, E.C.Y. Odour-Active Components of Simulated Beef Flavour Analysed by Solid Phase Microextraction and Gas Chromatography–Mass Spectrometry and –Olfactometry. Food Res. Int. 2006, 39, 294–308. [Google Scholar] [CrossRef]
0%,
0.5%,
1.5%,
2.5%,
3.5%) during heat treatment at 100 °C for 1 h. a,b,c,d values within the same dosage on different types of sugars followed by the same letters are not significantly different (p > 0.05). A,B,C,D, E values between the different sugar dosages on the same sugar followed by the same letters are not significantly different (p > 0.05).
0%,
0.5%,
1.5%,
2.5%,
3.5%) during heat treatment at 100 °C for 1 h. a,b,c,d values within the same dosage on different types of sugars followed by the same letters are not significantly different (p > 0.05). A,B,C,D, E values between the different sugar dosages on the same sugar followed by the same letters are not significantly different (p > 0.05).
Xylose,
Arabinose,
Glucose,
Fructose) after heat treatment at 100 °C for 1 h. a,b,c,d,e values between the different dosages on the same sugar followed by the same letters are not significantly different (p > 0.05). A,B,C values within the same dosages on different types of sugars followed by the same letters are not significantly different (p > 0.05).
Xylose,
Arabinose,
Glucose,
Fructose) after heat treatment at 100 °C for 1 h. a,b,c,d,e values between the different dosages on the same sugar followed by the same letters are not significantly different (p > 0.05). A,B,C values within the same dosages on different types of sugars followed by the same letters are not significantly different (p > 0.05).
0%,
0.5%,
1.5%,
2.5%,
3.5%) after heat treatment at 100 °C for 1 h. a,b,c,d values within the same dosage on different types of sugars followed by the same letters are not significantly different (p > 0.05). A,B,C,D values between the different sugar dosages on the same sugar followed by the same letters are not significantly different (p > 0.05).
0%,
0.5%,
1.5%,
2.5%,
3.5%) after heat treatment at 100 °C for 1 h. a,b,c,d values within the same dosage on different types of sugars followed by the same letters are not significantly different (p > 0.05). A,B,C,D values between the different sugar dosages on the same sugar followed by the same letters are not significantly different (p > 0.05).

0%,
0.5%,
1.5%,
2.5%,
3.5%). a,b,c,d values within the same dosage on different types of sugars followed by the same letters are not significantly different (p > 0.05). A,B,C,D values between the different dosages on the same sugar followed by the same letters are not significantly different (p > 0.05).
0%,
0.5%,
1.5%,
2.5%,
3.5%). a,b,c,d values within the same dosage on different types of sugars followed by the same letters are not significantly different (p > 0.05). A,B,C,D values between the different dosages on the same sugar followed by the same letters are not significantly different (p > 0.05).
| Sample Name 1 | Sugar Added (g/100 g) | Temperature (°C) | Time (min) | |||
|---|---|---|---|---|---|---|
| Xylose | Arabinose | Glucose | Fructose | |||
| Unheated control 2,3 | 0 | 0 | 0 | 0 | - | - |
| Heated Control | 0 | 0 | 0 | 0 | 100 | 60 |
| Xyl-05 | 0.5 | 0 | 0 | 0 | 100 | 60 |
| Xyl-15 | 1.5 | 0 | 0 | 0 | 100 | 60 |
| Xyl-25 | 2.5 | 0 | 0 | 0 | 100 | 60 |
| Xyl-35 | 3.5 | 0 | 0 | 0 | 100 | 60 |
| Ara-05 | 0 | 0.5 | 0 | 0 | 100 | 60 |
| Ara-15 | 0 | 1.5 | 0 | 0 | 100 | 60 |
| Ara-25 | 0 | 2.5 | 0 | 0 | 100 | 60 |
| Ara-35 | 0 | 3.5 | 0 | 0 | 100 | 60 |
| Glu-05 | 0 | 0 | 0.5 | 0 | 100 | 60 |
| Glu-15 | 0 | 0 | 1.5 | 0 | 100 | 60 |
| Glu-25 | 0 | 0 | 2.5 | 0 | 100 | 60 |
| Glu-35 | 0 | 0 | 3.5 | 0 | 100 | 60 |
| Fru-05 | 0 | 0 | 0 | 0.5 | 100 | 60 |
| Fru-15 | 0 | 0 | 0 | 1.5 | 100 | 60 |
| Fru-25 | 0 | 0 | 0 | 2.5 | 100 | 60 |
| Fru-35 | 0 | 0 | 0 | 3.5 | 100 | 60 |
| Sample Name | Colour | |||
|---|---|---|---|---|
| L* | a* | b* | ∆E a | |
| Unheated control | 83.77 ± 1.33 | 1.51 ± 0.32 | 42.23 ± 0.92 | - |
| Heated control | 80.55 ± 0.99 | 2.96 ± 0.44 | 49.22 ± 0.46 | 10.57 ± 0.82 |
| Xyl-05 | 62.11 ± 0. 20 Ab | 30.40 ± 0. 16 Cc | 84.22 ± 0. 13 Aa | 55.38 ± 0.21 Da |
| Xyl-15 | 28.64 ± 0. 52 Bc | 45.81 ± 0. 18 Ab | 49.13 ± 0. 95 Ba | 71.06 ± 0.21 Ca |
| Xyl-25 | 13.96 ± 0. 19 Cc | 38.49 ± 0. 21 Ba | 23.70 ± 0. 40 Ca | 81.15 ± 0.17 Ba |
| Xyl-35 | 6.29 ± 0. 09 Dc | 30.18 ± 0. 18 Ca | 10.22 ± 0. 14 Db | 88.59 ± 0.07 Aa |
| Ara-05 | 59.38 ± 0. 32 Ab | 22.01 ± 0. 31 Cc | 71.65 ± 0. 34 Aa | 43.37 ± 0.49 Db |
| Ara-15 | 34.81 ± 0. 43 Bc | 41.19 ± 0. 37 Ab | 59.27 ± 0. 66 Ba | 65.29 ± 0.26 Cb |
| Ara-25 | 21.74 ± 0. 77 Cc | 41.43 ± 0. 40 Aa | 36.96 ± 1. 40 Cb | 73.96 ± 0.55 Bb |
| Ara-35 | 14.13 ± 0. 42 Dc | 37.59 ± 0. 40 Ba | 23.76 ± 0. 74 Db | 80.58 ± 0.35 Ab |
| Glu-05 | 76.92 ± 0. 13 Aa | 5.10 ± 0. 05 Dc | 53.33 ± 0. 18 Db | 13.53 ± 0.12 Dc |
| Glu-15 | 75.16 ± 0. 14 Ba | 8.01 ± 0. 14 Cc | 59.64 ± 0. 34 Cb | 20.35 ± 0.28 Cc |
| Glu-25 | 72.32 ± 0. 30 Ca | 12.08 ± 0. 14 Bc | 66.90 ± 0. 09 Bb | 29.18 ± 0.17 Bc |
| Glu-35 | 69.93 ± 0. 22 Db | 15.83 ± 0. 22 Ac | 73.15 ± 0. 78 Aa | 36.78 ± 0.74 Ac |
| Fru-05 | 78.80 ± 0. 49 Aa | 5.49 ± 0. 10 Bc | 56.62 ± 0. 09 Cb | 15.74 ± 0.12 Cd |
| Fru-15 | 79.51 ± 0. 13 Aa | 5.90 ± 0. 87 Bc | 58.26 ± 2. 31 Cb | 17.16 ± 2.41 Cd |
| Fru-25 | 78.85 ± 0. 21 Aa | 7.75 ± 0. 04 Ac | 62.43 ± 0. 13 Bb | 21.70 ± 0.11 Bd |
| Fru-35 | 78.00 ± 0. 53 Aa | 9.27 ± 0. 25 Ac | 65.28 ± 0. 09 Ab | 25.00 ± 0.27 Ad |
| Test of significance between effects, P | ||||
| Main effect | ||||
| Sugar type | *** | *** | *** | *** |
| Sugar dosage | *** | *** | *** | *** |
| Sugar type × dosage | *** | *** | *** | *** |
Disclaimer/Publisher’s Note: The statements, opinions and data contained in all publications are solely those of the individual author(s) and contributor(s) and not of MDPI and/or the editor(s). MDPI and/or the editor(s) disclaim responsibility for any injury to people or property resulting from any ideas, methods, instructions or products referred to in the content. |
© 2024 by the authors. Licensee MDPI, Basel, Switzerland. This article is an open access article distributed under the terms and conditions of the Creative Commons Attribution (CC BY) license (https://creativecommons.org/licenses/by/4.0/).
Share and Cite
Zhang, X.; Liu, S.-Q. Effects of Reducing Sugars on Colour, Amino Acids, and Volatile Flavour Compounds in Thermally Treated Minced Chicken Carcass Hydrolysate. Foods 2024, 13, 991. https://doi.org/10.3390/foods13070991
Zhang X, Liu S-Q. Effects of Reducing Sugars on Colour, Amino Acids, and Volatile Flavour Compounds in Thermally Treated Minced Chicken Carcass Hydrolysate. Foods. 2024; 13(7):991. https://doi.org/10.3390/foods13070991
Chicago/Turabian StyleZhang, Xing, and Shao-Quan Liu. 2024. "Effects of Reducing Sugars on Colour, Amino Acids, and Volatile Flavour Compounds in Thermally Treated Minced Chicken Carcass Hydrolysate" Foods 13, no. 7: 991. https://doi.org/10.3390/foods13070991
APA StyleZhang, X., & Liu, S.-Q. (2024). Effects of Reducing Sugars on Colour, Amino Acids, and Volatile Flavour Compounds in Thermally Treated Minced Chicken Carcass Hydrolysate. Foods, 13(7), 991. https://doi.org/10.3390/foods13070991
