Preparation of Nanocomposite Biopolymer Films from Commelina coelestis Willd Starch and Their Nanostructures as a Potential Replacement for Single-Use Polymers
Abstract
1. Introduction
2. Materials and Methods
2.1. Materials
2.2. Nanocomposite Biopolymer Film Preparation
2.3. Characterization of the Nanocomposite Biopolymer Films
2.3.1. Swelling Capacity and Water Solubility
2.3.2. Opacity
2.3.3. Scanning Electron Microscopy (SEM)
2.3.4. Atomic Force Microscopy (AFM) Analysis
2.3.5. Differential Scanning Calorimetry (DSC)
2.3.6. Thermogravimetric Analysis (TGA)
2.3.7. Fourier Transform Infrared Spectroscopy (FTIR)
2.3.8. Mechanical Properties
2.4. Statistical Analysis
3. Results and Discussion
3.1. Swelling Capacity and Solubility of the Nanocomposite Biopolymer Films
3.2. Microstructure Analysis of the Nanocomposite Biopolymer Films
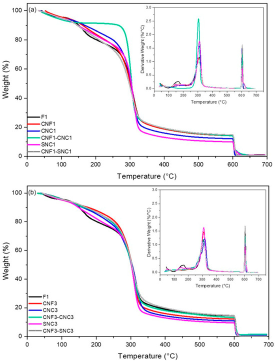
3.3. Thermal Analysis of Nanocomposite Biopolymer Films
3.4. FTIR Analysis of Nanocomposite Biopolymer Films
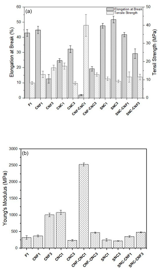
3.5. Mechanical Properties of the Nanocomposite Biopolymer Films
4. Conclusions
Supplementary Materials
Author Contributions
Funding
Institutional Review Board Statement
Informed Consent Statement
Data Availability Statement
Acknowledgments
Conflicts of Interest
References
- Luzi, F.; Fortunati, E.; Giovanale, G.; Mazzaglia, A.; Torre, L.; Balestra, G.M. Cellulose nanocrystals from Actinidia deliciosa pruning residues combined with carvacrol in PVA_CH films with antioxidant/antimicrobial properties for packaging applications. Int. J. Biol. Macromol. 2017, 104, 43–55. [Google Scholar] [CrossRef] [PubMed]
- Baniasadi, H.; Äkräs, L.; Madani, Z.; Silvenius, F.; Fazeli, M.; Lipponen, S.; Vapaavuori, J.; Seppälä, J. Development and characterization of polylactic acid/starch biocomposites—From melt blending to preliminary life cycle assessment. Int. J. Biol. Macromol. 2024, 279, 135173. [Google Scholar] [CrossRef] [PubMed]
- Rojas-Lema, S.; Nilsson, K.; Trifol, J.; Langton, M.; Gomez-Caturla, J.; Balart, R.; Garcia-Garcia, D.; Moriana, R. Faba bean protein films reinforced with cellulose nanocrystals as edible food packaging material. Food Hydrocoll. 2021, 121, 107019. [Google Scholar] [CrossRef]
- da Rocha, M.; de Souza, M.M.; Prentice, C. Biodegradable films: An alternative food packaging. In Food Packaging and Preservation; Elsevier: Amsterdam, The Netherlands, 2018; pp. 307–342. [Google Scholar] [CrossRef]
- Kanth, S.; Puttaiahgowda, Y.M. Current State and Future Perspectives of Starch Derivatives and Their Blends as Antimicrobial Materials. Starch-Starke 2022, 74, 2200001. [Google Scholar] [CrossRef]
- Abera, G.; Woldeyes, B.; Demash, H.D.; Miyake, G. The effect of plasticizers on thermoplastic starch films developed from the indigenous Ethiopian tuber crop Anchote (Coccinia abyssinica) starch. Int. J. Biol. Macromol. 2020, 155, 581–587. [Google Scholar] [CrossRef] [PubMed]
- Fitch-Vargas, P.R.; Aguilar-Palazuelos, E.; Zazueta-Morales, J.d.J.; Vega-García, M.O.; Valdez-Morales, J.E.; Martínez-Bustos, F.; Jacobo-Valenzuela, N. Physicochemical and Microstructural Characterization of Corn Starch Edible Films Obtained by a Combination of Extrusion Technology and Casting Technique. J. Food Sci. 2016, 81, E2224–E2232. [Google Scholar] [CrossRef] [PubMed]
- Nordin, N.; Othman, S.H.; Rashid, S.A.; Basha, R.K. Effects of glycerol and thymol on physical, mechanical, and thermal properties of corn starch films. Food Hydrocoll. 2020, 106, 105884. [Google Scholar] [CrossRef]
- Marichelvam, M.K.; Jawaid, M.; Asim, M. Corn and rice starch-based bio-plastics as alternative packaging materials. Fibers 2019, 7, 32. [Google Scholar] [CrossRef]
- Thirathumthavorn, D.; Thongunruan, W. Incorporation of rice starch affecting on morphology, mechanical properties and water vapor permeability of glutelin-based composite films. J. Food Process. Preserv. 2014, 38, 1799–1806. [Google Scholar] [CrossRef]
- Farahnaky, A.; Saberi, B.; Majzoobi, M. Effect of glycerol on physical and mechanical properties of wheat starch edible films. J. Texture Stud. 2013, 44, 176–186. [Google Scholar] [CrossRef]
- Osés, J.; Niza, S.; Ziani, K.; Maté, J.I. Potato starch edible films to control oxidative rancidity of polyunsaturated lipids: Effects of film composition, thickness and water activity. Int. J. Food Sci. Technol. 2009, 44, 1360–1366. [Google Scholar] [CrossRef]
- Saberi, B.; Vuong, Q.V.; Chockchaisawasdee, S.; Golding, J.B.; Scarlett, C.J.; Stathopoulos, C.E. Physical, Barrier, and Antioxidant Properties of Pea Starch-Guar Gum Biocomposite Edible Films by Incorporation of Natural Plant Extracts. Food Bioprocess Technol. 2017, 10, 2240–2250. [Google Scholar] [CrossRef]
- Chandla, N.K.; Saxena, D.C.; Singh, S. Amaranth (Amaranthus spp.) starch isolation, characterization, and utilization in development of clear edible films. J. Food Process. Preserv. 2017, 41, e13217. [Google Scholar] [CrossRef]
- Pinzon, M.I.; Garcia, O.R.; Villa, C.C. The influence of Aloe vera gel incorporation on the physicochemical and mechanical properties of banana starch-chitosan edible films. J. Sci. Food Agric. 2018, 98, 4042–4049. [Google Scholar] [CrossRef] [PubMed]
- García-Guzmán, L.; Velazquez, G.; Velazquez-Martínez, I.; Alpizar-Reyes, E.; Castaño, J.; Guadarrama-Lezama, A.Y. Thermodynamics of water vapor sorption of fiber-reinforced starch films. Cellulose 2024, 31, 3681–3697. [Google Scholar] [CrossRef]
- Zavala, M.; Pérez, S.; Pérez, C.; Vargas, R.; Pérez, R. Antidiarrhoeal activity of Waltheria americana, Commelina coelestis and Alternanthera repens. J. Ethnopharmacol. 1998, 61, 41–47. [Google Scholar] [CrossRef] [PubMed]
- Ali, A.; Xie, F.; Yu, L.; Liu, H.; Meng, L.; Khalid, S.; Chen, L. Preparation and characterization of starch-based composite films reinfoced by polysaccharide-based crystals. Compos. Part B Eng. 2018, 133, 122–128. [Google Scholar] [CrossRef]
- Slavutsky, A.M.; Bertuzzi, M.A. Water barrier properties of starch films reinforced with cellulose nanocrystals obtained from sugarcane bagasse. Carbohydr. Polym. 2014, 110, 53–61. [Google Scholar] [CrossRef]
- Fazeli, M.; Simão, R.A. The effect of cellulose nanofibers on the properties of starch biopolymer. Macromol. Symp. 2018, 380, 1800110. [Google Scholar] [CrossRef]
- Fazeli, M.; Florez, J.P.; Simão, R.A. Improvement in adhesion of cellulose fibers to the thermoplastic starch matrix by plasma treatment modification. Compos. Part B Eng. 2019, 163, 207–216. [Google Scholar] [CrossRef]
- Guimarães, M., Jr.; Teixeira, F.G.; Tonoli, G.H.D. Effect of the nano-fibrillation of bamboo pulp on the thermal, structural, mechanical and physical properties of nanocomposites based on starch/poly(vinyl alcohol) blend. Cellulose 2018, 25, 1823–1849. [Google Scholar] [CrossRef]
- Lee, H.; You, J.; Jin, H.-J.; Kwak, H.W. Chemical and physical reinforcement behavior of dialdehyde nanocellulose in PVA composite film: A comparison of nanofiber and nanocrystal. Carbohydr. Polym. 2020, 232, 115771. [Google Scholar] [CrossRef] [PubMed]
- Mukurumbira, A.; Mariano, M.; Dufresne, A.; Mellem, J.J.; Amonsou, E.O. Microstructure, thermal properties and crystallinity of amadumbe starch nanocrystals. Int. J. Biol. Macromol. 2017, 102, 241–247. [Google Scholar] [CrossRef]
- de la Concha, B.B.S.; Agama-Acevedo, E.; Nuñez-Santiago, M.C.; Bello-Perez, L.A.; Garcia, H.S.; Alvarez-Ramirez, J. Acid hydrolysis of waxy starches with different granule size for nanocrystal production. J. Cereal Sci. 2018, 79, 193–200. [Google Scholar] [CrossRef]
- Tibolla, H.; Czaikoski, A.; Pelissari, F.; Menegalli, F.; Cunha, R. Starch-based nanocomposites with cellulose nanofibers obtained from chemical and mechanical treatments. Int. J. Biol. Macromol. 2020, 161, 132–146. [Google Scholar] [CrossRef] [PubMed]
- Haaj, S.B.; Thielemans, W.; Magnin, A.; Boufi, S. Starch nanocrystals and starch nanoparticles from waxy maize as nanoreinforcement: A comparative study. Carbohydr. Polym. 2016, 143, 310–317. [Google Scholar] [CrossRef]
- Santana, J.S.; Costa, K.d.C.; Rodrigues, P.R.; Correia, P.R.C.; Cruz, R.S.; Druzian, J.I. Morphological, barrier, and mechanical properties of cassava starch films reinforced with cellulose and starch nanoparticles. J. Appl. Polym. Sci. 2019, 136, 47001. [Google Scholar] [CrossRef]
- Tagliapietra, B.L.; de Melo, B.G.; Sanches, E.A.; Plata-Oviedo, M.; Campelo, P.H.; Clerici, M.T.P.S. From micro to nanoscale: A critical review on the concept, production, characterization, and application of starch nanostructure. Starch-Starke 2021, 73, 2100079. [Google Scholar] [CrossRef]
- Perea-Flores, M.d.J.; Martínez-Luna, K.L.; Núñez-Bretón, L.C.; Sarria-Guzmán, Y.; Jiménez-Guzmán, J.; Alamilla-Beltrán, L.; Vivar-Vera, G.; González-Jiménez, F.E. Modification by lipophilic substitution of Mexican Oxalis tuberosa starch and its effect on functional and microstructural properties. J. Food Meas. Charact. 2022, 16, 1062–1072. [Google Scholar] [CrossRef]
- García-Guzmán, L.; Arzate-Vázquez, I.; Velazquez, G.; Díaz-Bandera, D.; García-Eleno, M.A.; Castaño, J.; Guadarrama-Lezama, A.Y. Isolation and Characterization of Starch, Cellulose, and Their Nanostructures Obtained from Commelina coelestis Willd Root. J. Polym. Environ. 2024, 32, 4550–4566. [Google Scholar] [CrossRef]
- Chavan, P.; Sinhmar, A.; Sharma, S.; Dufresne, A.; Thory, R.; Kaur, M.; Sandhu, K.S.; Nehra, M.; Nain, V. Nanocomposite starch films: A new approach for biodegradable packaging materials. Starch-Starke 2022, 74, 2100302. [Google Scholar] [CrossRef]
- Velásquez-Castillo, L.E.; Leite, M.A.; Ditchfield, C.; Sobral, P.J.D.A.; Moraes, I.C.F. Quinoa starch nanocrystals production by acid hydrolysis: Kinetics and properties. Int. J. Biol. Macromol. 2020, 143, 93–101. [Google Scholar] [CrossRef] [PubMed]
- Coelho, C.C.d.S.; Silva, R.B.S.; Carvalho, C.W.P.; Rossi, A.L.; Teixeira, J.A.; Freitas-Silva, O.; Cabral, L.M.C. Cellulose nanocrystals from grape pomace and their use for the development of starch-based nanocomposite films. Int. J. Biol. Macromol. 2020, 159, 1048–1061. [Google Scholar] [CrossRef]
- Castaño, J.; Guadarrama-Lezama, A.Y.; Hernández, J.; Colín-Cruz, M.; Muñoz, M.; Castillo, S. Preparation, characterization and antifungal properties of polysaccharide–polysaccharide and polysaccharide–protein films. J. Mater. Sci. 2017, 52, 353–366. [Google Scholar] [CrossRef]
- Zhang, L.; Zhao, J.; Zhang, Y.; Li, F.; Jiao, X.; Li, Q. The effects of cellulose nanocrystal and cellulose nanofiber on the properties of pumpkin starch-based composite films. Int. J. Biol. Macromol. 2021, 192, 444–451. [Google Scholar] [CrossRef] [PubMed]
- Ren, L.; Yan, X.; Zhou, J.; Tong, J.; Su, X. Influence of chitosan concentration on mechanical and barrier properties of corn starch/chitosan films. Int. J. Biol. Macromol. 2017, 105, 1636–1643. [Google Scholar] [CrossRef]
- Wang, T.; Zhao, Y. Optimization of bleaching process for cellulose extraction from apple and kale pomace and evaluation of their potentials as film forming materials. Carbohydr. Polym. 2021, 253, 117225. [Google Scholar] [CrossRef] [PubMed]
- Ghanbari, A.; Tabarsa, T.; Ashori, A.; Shakeri, A.; Mashkour, M. Thermoplastic starch foamed composites reinforced with cellulose nanofibers: Thermal and mechanical properties. Carbohydr. Polym. 2018, 197, 305–311. [Google Scholar] [CrossRef]
- Jia, R.; Cui, C.; Gao, L.; Qin, Y.; Ji, N.; Dai, L.; Wang, Y.; Xiong, L.; Shi, R.; Sun, Q. A review of starch swelling behavior: Its mechanism, determination methods, influencing factors, and influence on food quality. Carbohydr. Polym. 2023, 321, 121260. [Google Scholar] [CrossRef] [PubMed]
- Bangar, S.P.; Ali, N.A.; Olagunju, A.I.; Pastor, K.; Ashogbon, A.O.; Dash, K.K.; Lorenzo, J.M.; Ozogul, F. Starch-based noodles: Current technologies, properties, and challenges. J. Texture Stud. 2023, 54, 21–53. [Google Scholar] [CrossRef]
- El Halal, S.L.M.; Bruni, G.P.; Evangelho, J.A.D.; Biduski, B.; Silva, F.T.; Dias, A.R.G.; Zavareze, E.d.R.; Luvielmo, M.d.M. The properties of potato and cassava starch films combined with cellulose fibers and/or nanoclay. Starch-Starke 2018, 70, 1700115. [Google Scholar] [CrossRef]
- Avérous, L.; Fringant, C.; Moro, L. Plasticized starch–cellulose interactions in polysaccharide composites. Polymer 2001, 42, 6565–6572. [Google Scholar] [CrossRef]
- Yadav, M.; Chiu, F.-C. Cellulose nanocrystals reinforced κ-carrageenan based UV resistant transparent bionanocomposite films for sustainable packaging applications. Carbohydr. Polym. 2019, 211, 181–194. [Google Scholar] [CrossRef] [PubMed]
- Dai, L.; Zhang, J.; Cheng, F. Effects of starches from different botanical sources and modification methods on physicochemical properties of starch-based edible films. Int. J. Biol. Macromol. 2019, 132, 897–905. [Google Scholar] [CrossRef] [PubMed]
- Yıldırım-Yalçın, M.; Şeker, M.; Sadıkoğlu, H. Development and characterization of edible films based on modified corn starch and grape juice. Food Chem. 2019, 292, 6–13. [Google Scholar] [CrossRef] [PubMed]
- Casariego, A.; Souza, B.; Cerqueira, M.; Teixeira, J.; Cruz, L.; Díaz, R.; Vicente, A. Chitosan/clay films’ properties as affected by biopolymer and clay micro/nanoparticles’ concentrations. Food Hydrocoll. 2009, 23, 1895–1902. [Google Scholar] [CrossRef]
- Thipchai, P.; Punyodom, W.; Jantanasakulwong, K.; Thanakkasaranee, S.; Hinmo, S.; Pratinthong, K.; Kasi, G.; Rachtanapun, P. Preparation and characterization of cellulose nanocrystals from bamboos and their application in cassava starch-based film. Polymers 2023, 15, 2622. [Google Scholar] [CrossRef] [PubMed]
- Piyada, K.; Waranyou, S.; Thawien, W. Mechanical, thermal and structural properties of rice starch films reinforced with rice starch nanocrystals. Int. Food Res. J. 2013, 20, 439–449. [Google Scholar]
- Martins, P.C.; Latorres, J.M.; Martins, V.G. Impact of starch nanocrystals on the physicochemical, thermal and structural characteristics of starch-based films. LWT 2022, 156, 113041. [Google Scholar] [CrossRef]
- Balakrishnan, P.; Gopi, S.; S, S.M.; Thomas, S. UV resistant transparent bionanocomposite films based on potato starch/cellulose for sustainable packaging. Starch-Starke 2018, 70, 1700139. [Google Scholar] [CrossRef]
- Gontard, N.; Duchez, C.; Cuq, J.-L.; Guilbert, S. Edible composite films of wheat gluten and lipids: Water vapour permeability and other physical properties. Int. J. Food Sci. Technol. 1994, 29, 39–50. [Google Scholar] [CrossRef]
- Li, M.; Tian, X.; Jin, R.; Li, D. Preparation and characterization of nanocomposite films containing starch and cellulose nanofibers. Ind. Crops Prod. 2018, 123, 654–660. [Google Scholar] [CrossRef]
- Sogut, E.; Cakmak, H. Utilization of carrot (Daucus carota L.) fiber as a filler for chitosan based films. Food Hydrocoll. 2020, 106, 105861. [Google Scholar] [CrossRef]
- Friesen, K.; Chang, C.; Nickerson, M. Incorporation of phenolic compounds, rutin and epicatechin, into soy protein isolate films: Mechanical, barrier and cross-linking properties. Food Chem. 2015, 172, 18–23. [Google Scholar] [CrossRef]
- Niu, X.; Ma, Q.; Li, S.; Wang, W.; Ma, Y.; Zhao, H.; Sun, J.; Wang, J. Preparation and Characterization of Biodegradable Composited Films Based on Potato Starch/Glycerol/Gelatin. J. Food Qual. 2021, 2021, 6633711. [Google Scholar] [CrossRef]
- Ali, A.; Yu, L.; Liu, H.; Khalid, S.; Meng, L.; Chen, L. Preparation and characterization of starch-based composite films reinforced by corn and wheat hulls. J. Appl. Polym. Sci. 2017, 134, 45159. [Google Scholar] [CrossRef]
- Li, Z.; Wei, C. Morphology, structure, properties and applications of starch ghost: A review. Int. J. Biol. Macromol. 2020, 163, 2084–2096. [Google Scholar] [CrossRef]
- Thiré, R.M.; Simão, R.A.; Andrade, C.T. High resolution imaging of the microstructure of maize starch films. Carbohydr. Polym. 2003, 54, 149–158. [Google Scholar] [CrossRef]
- Qi, K.; Cao, S.; Li, C. Possible interaction between pectin and gluten alters the starch digestibility and texture of wheat bread. Int. J. Biol. Macromol. 2024, 269, 131907. [Google Scholar] [CrossRef] [PubMed]
- Mahardika, M.; Abral, H.; Kasim, A.; Arief, S.; Hafizulhaq, F.; Asrofi, M.; Mahardika, M.; Abral, H.; Kasim, A.; Arief, S.; et al. Properties of cellulose nanofiber/bengkoang starch bionanocomposites: Effect of fiber loading. LWT 2019, 116, 108554. [Google Scholar] [CrossRef]
- Kang, M.; Tuteja, M.; Centrone, A.; Topgaard, D.; Leal, C. Nanostructured Lipid-Based Films for Substrate-Mediated Applications in Biotechnology. Adv. Funct. Mater. 2018, 28, 1704356. [Google Scholar] [CrossRef] [PubMed]
- Gopi, S.; Amalraj, A.; Jude, S.; Thomas, S.; Guo, Q. Bionanocomposite films based on potato, tapioca starch and chitosan reinforced with cellulose nanofiber isolated from turmeric spent. J. Taiwan Inst. Chem. Eng. 2019, 96, 664–671. [Google Scholar] [CrossRef]
- Antoniou, J.; Liu, F.; Majeed, H.; Zhong, F. Characterization of tara gum edible films incorporated with bulk chitosan and chitosan nanoparticles: A comparative study. Food Hydrocoll. 2015, 44, 309–319. [Google Scholar] [CrossRef]
- Azeredo, H.M.; Mattoso, L.H.C.; Avena-Bustillos, R.J.; Filho, G.C.; Munford, M.L.; Wood, D.; McHugh, T.H. nanocellulose reinforced chitosan composite films as affected by nanofiller loading and plasticizer content. J. Food Sci. 2010, 75, N1–N7. [Google Scholar] [CrossRef]
- Ahuja, D.; Kumar, L.; Kaushik, A. Thermal stability of starch bionanocomposites films: Exploring the role of esterified cellulose nanofibers isolated from crop residue. Carbohydr. Polym. 2021, 255, 117466. [Google Scholar] [CrossRef] [PubMed]
- Castaño, J.; Rodríguez-Llamazares, S.; Carrasco, C.; Bouza, R. Physical, chemical and mechanical properties of pehuen cellulosic husk and its pehuen-starch based composites. Carbohydr. Polym. 2012, 90, 1550–1556. [Google Scholar] [CrossRef]
- Merino, D.; Gutiérrez, T.J.; Alvarez, V.A. Structural and Thermal Properties of Agricultural Mulch Films Based on Native and Oxidized Corn Starch Nanocomposites. Starch-Starke 2019, 71, 1800341. [Google Scholar] [CrossRef]
- Kang, S.; Xiao, Y.; Guo, X.; Huang, A.; Xu, H. Development of gum arabic-based nanocomposite films reinforced with cellulose nanocrystals for strawberry preservation. Food Chem. 2021, 350, 129199. [Google Scholar] [CrossRef]
- García, N.L.; Ribba, L.; Dufresne, A.; Aranguren, M.; Goyanes, S. Effect of glycerol on the morphology of nanocomposites made from thermoplastic starch and starch nanocrystals. Carbohydr. Polym. 2011, 84, 203–210. [Google Scholar] [CrossRef]
- Liu, C.; Jiang, S.; Zhang, S.; Xi, T.; Sun, Q.; Xiong, L. Characterization of edible corn starch nanocomposite films: The effect of self-assembled starch nanoparticles. Starch-Starke 2016, 68, 239–248. [Google Scholar] [CrossRef]
- Fazeli, M.; Lipponen, J. Developing Self-Assembled Starch Nanoparticles in Starch Nanocomposite Films. ACS Omega 2022, 7, 44962–44971. [Google Scholar] [CrossRef] [PubMed]
- Villalobos, K.; Rojas, H.; González-Paz, R.; Granados, D.B.; González-Masís, J.; Baudrit, J.V.; Corrales-Ureña, Y.R. Production of starch films using propolis nanoparticles as novel bioplasticizer. J. Renew. Mater. 2017, 5, 189–198. [Google Scholar] [CrossRef]
- Sakkara, S.; Nataraj, D.; Venkatesh, K.; Xu, Y.; Patil, J.H.; Reddy, N. Effect of pH on the physicochemical properties of starch films. J. Appl. Polym. Sci. 2020, 137, 48563. [Google Scholar] [CrossRef]
- Dai, L.; Zhang, J.; Cheng, F. Cross-linked starch-based edible coating reinforced by starch nanocrystals and its preservation effect on graded Huangguan pears. Food Chem. 2019, 311, 125891. [Google Scholar] [CrossRef] [PubMed]
- Meng, F.; Zhang, C.; Li, J.; Wang, L. Self-assembling crystals of an extract of Flos Sophorae Immaturus for improving the antioxidant, mechanical and barrier properties of a cassia gum film. Int. J. Biol. Macromol. 2021, 167, 1281–1289. [Google Scholar] [CrossRef]
- Cao, X.; Chen, Y.; Chang, P.R.; Muir, A.D.; Falk, G. Starch-based nanocomposites reinforced with flax cellulose nanocrystals. Express Polym. Lett. 2008, 2, 502–510. [Google Scholar] [CrossRef]
- Shabanpour, B.; Kazemi, M.; Ojagh, S.M.; Pourashouri, P. Bacterial cellulose nanofibers as reinforce in edible fish myofibrillar protein nanocomposite films. Int. J. Biol. Macromol. 2018, 117, 742–751. [Google Scholar] [CrossRef]
- Gamage, A.; Thiviya, P.; Mani, S.; Ponnusamy, P.G.; Manamperi, A.; Evon, P.; Merah, O.; Madhujith, T. Environmental Properties and Applications of Biodegradable Starch-Based Nanocomposites. Polymers 2022, 14, 4578. [Google Scholar] [CrossRef]
- Mukurumbira, A.R.; Mellem, J.J.; Amonsou, E.O. Effects of amadumbe starch nanocrystals on the physicochemical properties of starch biocomposite films. Carbohydr. Polym. 2017, 165, 142–148. [Google Scholar] [CrossRef] [PubMed]
- Bastarrachea, L.; Dhawan, S.; Sablani, S.S. Engineering Properties of Polymeric-Based Antimicrobial Films for Food Packaging: A Review. Food Eng. Rev. 2011, 3, 79–93. [Google Scholar] [CrossRef]









| Film Samples | Property | Roughness Parameters | ||||
|---|---|---|---|---|---|---|
| Thickness (mm) | Swelling Capacity (%) | Water Solubility (%) | Opacity (Abs600 mm−1) | Ra (nm) | Rq (nm) | |
| F1 | 0.11 ± 0.01 a | 4.2 ± 0.6 a | 28.7 ± 1.2 a | 2.2 ± 0.2 a | 6.87 ± 0.0 a | 8.58 ± 0.0 a |
| CNF1 | 0.09 ± 0.01 a | 2.6 ± 0.7 b | 23.9 ± 0.7 b | 2.5 ± 0.0 b | 5.86 ± 0.8 b | 7.39 ± 0.5 b |
| CNF3 | 0.10 ± 0.01 a | 1.5 ± 0.1 c | 23.3 ± 0.7 b | 3.7 ± 0.3 c | 9.14 ± 0.0 c | 11.39 ± 0.0 c |
| CNC1 | 0.11 ± 0.01 a | 1.5 ± 0.4 c | 23.8 ± 0.2 b | 2.6 ± 0.1 b | 5.22 ± 0.1 b | 6.65 ± 0.4 b |
| CNC3 | 0.10 ± 0.01 a | 2.6 ± 0.9 b | 24.7 ± 0.3 b | 3.4 ± 0.3 c | 8.12 ± 0.2 d | 10.27 ± 0.0 c |
| CNC1-CNF1 | 0.10 ± 0.02 a | 1.0 ± 0.3 d | 28.9 ± 1.2 a | 2.5 ± 0.0 b | 10.38 ± 0.4 c | 12.88 ± 0.1 d |
| CNC3-CNF3 | 0.09 ± 0.01 a | 2.1 ± 0.1 e | 24.2 ± 0.1 b | 3.5 ± 0.1 c | 8.61 ± 0.1 d | 10.67 ± 0.1 c |
| SNC1 | 0.11 ± 0.01 a | 1.7 ± 0.1 c | 23.6 ± 0.8 b | 2.5 ± 0.1 b | 9.22 ± 0.0 c | 11.48 ± 0.0 c |
| SNC3 | 0.09 ± 0.01 a | 1.8 ± 0.1 c | 31.6 ± 0.9 c | 6.2 ± 0.2 d | 10.18 ± 0.0 c | 12.72 ± 0.0 d |
| SNC1-CNF1 | 0.12 ± 0.01 a | 1.9 ± 0.1 c | 27.2 ± 0.6 a | 2.4 ± 0.0 a | 6.29 ± 0.0 b | 8.10 ± 0.0 a |
| SNC3-CNF3 | 0.27 ± 0.01 b | 2.0 ± 0.2 c | 26.9 ± 1.5 a | 3.2 ± 0.0 c | 7.76 ± 0.0 d | 9.58 ± 0.0 c |
| Film Samples | DSC | TGA | ||||
|---|---|---|---|---|---|---|
| Tg (°C) | Tmax (°C) | TEnd (°C) | ΔH (J/g) | Tmax (°C) | Degradation at Tmax (%) | |
| F1 | 54.8 | 196.8 | 207.0 | 27.8 | 303.1 | 63.5 |
| CNF1 | 69.9 | 202.6 | 208.7 | 30.1 | 307.15 | 65.7 |
| CNF3 | 59.0 | 207.0 | 212.0 | 32.4 | 310.1 | 78.7 |
| CNC1 | 60.7 | 207.7 | 212.4 | 48.0 | 308.1 | 73.6 |
| CNC3 | 60.0 | 200.6 | 208.4 | 64.8 | 316.1 | 45.2 |
| CNC1-CNF1 | 66.6 | 202.8 | 207.9 | 58.5 | 305.1 | 76.5 |
| CNC3-CNF3 | 67.4 | 204.5 | 209.6 | 36.8 | 307.1 | 76.5 |
| SNC1 | 67.7 | 206.2 | 218.2 | 47.0 | 310.5 | 67.3 |
| SNC3 | 227.6 | 228.3 | 231.6 | 32.3 | 309.3 | 67.7 |
| SNC1-CNF1 | 57.9 | 201.5 | 213.1 | 73.1 | 305.7 | 62.1 |
| SNC3-CNF3 | 58.0 | 210.1 | 217.3 | 34.7 | 306.0 | 68.0 |
| Nanocomposite Biopolymer Films | Tensile Strength (TS) | Elongation at Break (EB) | Young’s Modulus (Y) |
|---|---|---|---|
| (MPa) | (%) | (MPa) | |
| F1 | 8.3 ± 0.8 a | 42.9 ± 2.3 a | 319 ± 55 a |
| CNF1 | 13.0 ± 1.8 b | 44.9 ± 2.5 a | 367 ± 29 a |
| CNF3 | 16.6 ± 1.4 b,c | 12.6 ± 2.9 b | 1004 ± 52 b |
| CNC1 | 17.5 ± 1.7 c | 24.7 ± 1.2 c | 1080 ± 53 b |
| CNC3 | 8.0 ± 0.9 a | 32.2 ± 2.3 d | 233 ± 24 c |
| CNC1-CNF1 | 39.9 ± 6.0 d | 1.9 ± 0.4 f | 2530 ± 45 d |
| CNC1-CNF3 | 12.9 ± 0.9 b,c | 19.2 ± 1.5 g | 469 ± 20 e |
| SNC1 | 10.5 ± 0.9 a,b | 47.6 ± 1.5 a,e | 249 ± 41 a,c |
| SNC3 | 9.1 ± 0.7 a,b | 51.8 ± 2.8 e | 217 ± 6 c |
| SNC1-CNF1 | 11.5 ± 2.9 a,b | 41.8 ± 1.4 a | 348 ± 25 a |
| SNC3-CNF3 | 11.5 ± 1.5 a,b | 29.3 ± 3.2 c,d | 479 ± 15 e |
Disclaimer/Publisher’s Note: The statements, opinions and data contained in all publications are solely those of the individual author(s) and contributor(s) and not of MDPI and/or the editor(s). MDPI and/or the editor(s) disclaim responsibility for any injury to people or property resulting from any ideas, methods, instructions or products referred to in the content. |
© 2024 by the authors. Licensee MDPI, Basel, Switzerland. This article is an open access article distributed under the terms and conditions of the Creative Commons Attribution (CC BY) license (https://creativecommons.org/licenses/by/4.0/).
Share and Cite
García-Guzmán, L.; Velazquez, G.; Arzate-Vázquez, I.; Castaño-Rivera, P.; Guerra-Valle, M.; Castaño, J.; Guadarrama-Lezama, A.Y. Preparation of Nanocomposite Biopolymer Films from Commelina coelestis Willd Starch and Their Nanostructures as a Potential Replacement for Single-Use Polymers. Foods 2024, 13, 4129. https://doi.org/10.3390/foods13244129
García-Guzmán L, Velazquez G, Arzate-Vázquez I, Castaño-Rivera P, Guerra-Valle M, Castaño J, Guadarrama-Lezama AY. Preparation of Nanocomposite Biopolymer Films from Commelina coelestis Willd Starch and Their Nanostructures as a Potential Replacement for Single-Use Polymers. Foods. 2024; 13(24):4129. https://doi.org/10.3390/foods13244129
Chicago/Turabian StyleGarcía-Guzmán, Lucia, Gonzalo Velazquez, Israel Arzate-Vázquez, Patricia Castaño-Rivera, Maria Guerra-Valle, Johanna Castaño, and Andrea Y. Guadarrama-Lezama. 2024. "Preparation of Nanocomposite Biopolymer Films from Commelina coelestis Willd Starch and Their Nanostructures as a Potential Replacement for Single-Use Polymers" Foods 13, no. 24: 4129. https://doi.org/10.3390/foods13244129
APA StyleGarcía-Guzmán, L., Velazquez, G., Arzate-Vázquez, I., Castaño-Rivera, P., Guerra-Valle, M., Castaño, J., & Guadarrama-Lezama, A. Y. (2024). Preparation of Nanocomposite Biopolymer Films from Commelina coelestis Willd Starch and Their Nanostructures as a Potential Replacement for Single-Use Polymers. Foods, 13(24), 4129. https://doi.org/10.3390/foods13244129

