The Evolution of Mechanical Properties and Cellular Structure of Apples During Freeze Drying Combined with Hot Air Drying (FD-HAD) Process
Abstract
1. Introduction
2. Materials and Methods
2.1. Materials
2.2. Drying Experiments
2.3. Determination of Glass Transition Temperature (Tg)
2.4. Determination of Viscoelastic Characteristics
2.5. Determination of Cell Wall Pectin
2.5.1. Preparation of Alcohol Insoluble Residue (AIR)
2.5.2. Fractionation and Determination of Pectin
2.5.3. Determination of Pectin Esterification Degree
2.6. Statistical Analysis
3. Results and Discussion
3.1. Glass Transition Temperature
3.2. Viscoelasticity
3.3. Pectin Content
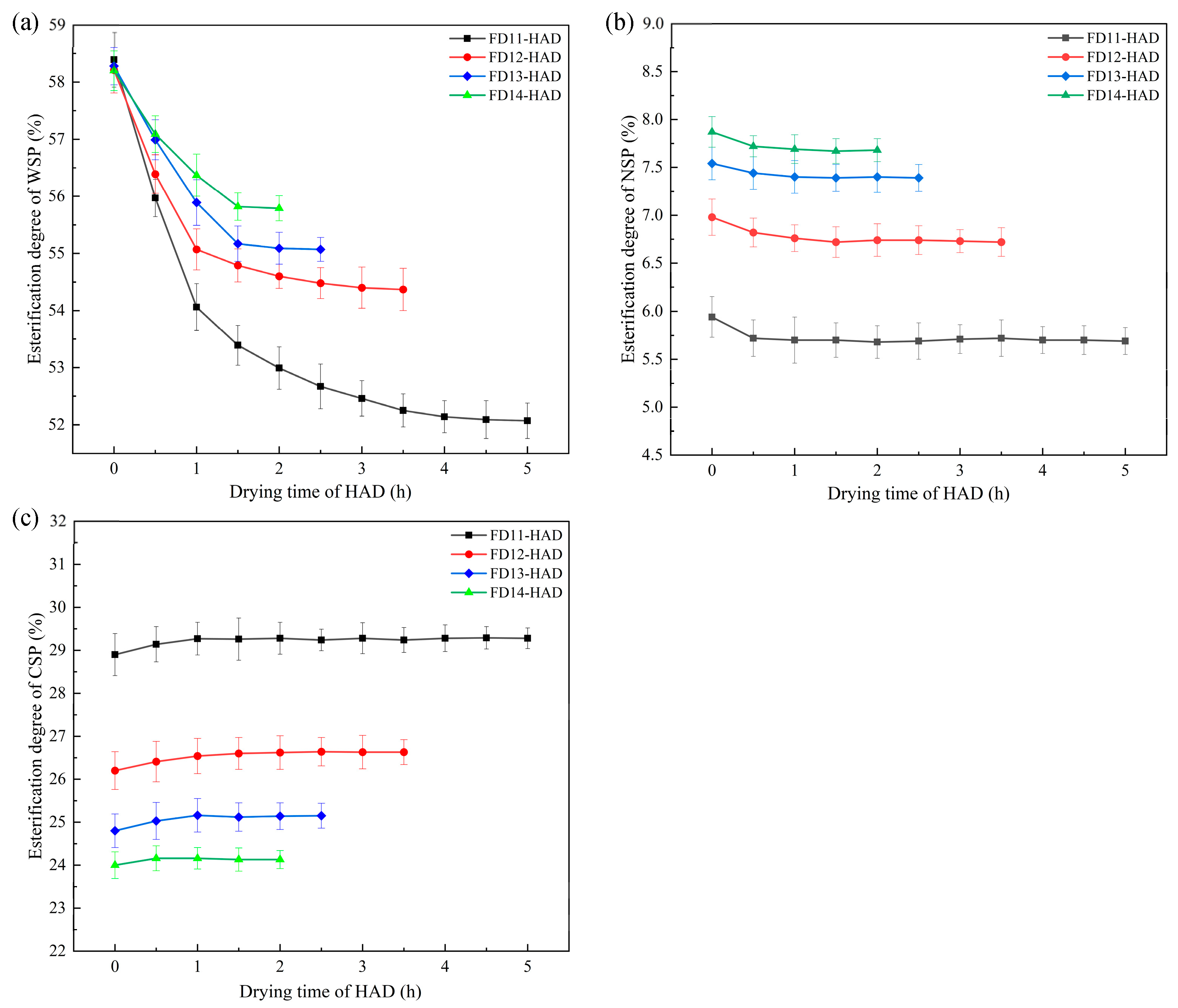
3.4. Pectin Esterification Degree
4. Conclusions
Author Contributions
Funding
Institutional Review Board Statement
Informed Consent Statement
Data Availability Statement
Conflicts of Interest
References
- Bai, J.W.; Zhang, L.; Aheto, J.H.; Cai, J.R.; Wang, Y.C.; Sun, L.; Tian, X.Y. Effects of different pretreatment methods on drying kinetics, three-dimensional deformation, quality characteristics and microstructure of dried apple slices. Innov. Food Sci. Emerg. Technol. 2023, 83, 103216. [Google Scholar] [CrossRef]
- Joardder, M.U.H.; Brown, R.J.; Kumar, C.; Karim, M.A. Effect of Cell Wall Properties on Porosity and Shrinkage of Dried Apple. Int. J. Food Prop. 2015, 18, 2327–2337. [Google Scholar] [CrossRef]
- Kahraman, O.; Malvandi, A.; Vargas, L.; Feng, H. Drying characteristics and quality attributes of apple slices dried by a non-thermal ultrasonic contact drying method. Ultrason. Sonochem. 2021, 73, 105510. [Google Scholar] [CrossRef] [PubMed]
- Chen, B.; Lin, G.; Amani, M.; Yan, W. Microwave-assisted freeze drying of pineapple: Kinetic, product quality, and energy consumption. Case Stud. Therm. Eng. 2023, 41, 102682. [Google Scholar] [CrossRef]
- Huang, L.; Zhang, M.; Mujumdar, A.S.; Lim, R.-X. Comparison of four drying methods for re-structured mixed potato with apple chips. J. Food Eng. 2011, 103, 279–284. [Google Scholar] [CrossRef]
- Wu, X.-F.; Zhang, M.; Bhandari, B.; Li, Z. Effects of microwave assisted pulse fluidized bed freeze-drying (MPFFD) on quality attributes of Cordyceps militaris. Food Biosci. 2019, 28, 7–14. [Google Scholar] [CrossRef]
- Hou, H.N.; Chen, Q.Q.; Bi, J.F.; Wu, X.Y.; Jin, X.W.; Li, X.; Qiao, Y.N.; Lyu, Y. Understanding appearance quality improvement of jujube slices during heat pump drying via water state and glass transition. J. Food Eng. 2020, 272, 109874. [Google Scholar] [CrossRef]
- Zhang, L.; Qiao, Y.; Wang, C.; Liao, L.; Liu, L.; Shi, D.; An, K.; Hu, J.; Xu, Q. Effects of Freeze Vacuum Drying Combined with Hot Air Drying on the Sensory Quality, Active Components, Moisture Mobility, Odors, and Microstructure of Kiwifruits. J. Food Qual. 2019, 2019, 1–11. [Google Scholar] [CrossRef]
- Ren, G.; Zhu, L.; Duan, X.; Liu, W.; Li, G.; Wei, X. Volume shrinkage mechanism for combined vacuum freeze drying-hot air drying of diced apples. Trans. Chin. Soc. Agric. Eng. 2024, 40, 63–71. [Google Scholar]
- Liu, Y.; Sun, W.; Li, B.; Wang, Y.; Lv, W.; Shang, N.; Li, D.; Wang, L. Dehydration characteristics and evolution of physicochemical properties of Platycodon grandiflorum (Jacq. A.DC.) roots (PGR) during pulse-spouted microwave vacuum drying (PSMVD). Ind. Crops Prod. 2022, 177, 114449. [Google Scholar] [CrossRef]
- Joardder, M.U.H.; Kumar, C.; Karim, M.A. Prediction of porosity of food materials during drying: Current challenges and directions. Crit. Rev. Food Sci. Nutr. 2018, 58, 2896–2907. [Google Scholar] [CrossRef] [PubMed]
- Aprajeeta, J.; Gopirajah, R.; Anandharamakrishnan, C. Shrinkage and porosity effects on heat and mass transfer during potato drying. J. Food Eng. 2015, 144, 119–128. [Google Scholar] [CrossRef]
- Mahiuddin, M.; Khan, M.I.H.; Kumar, C.; Rahman, M.M.; Karim, M.A. Shrinkage of Food Materials During Drying: Current Status and Challenges: Shrinkage of food materials during drying. Compr. Rev. Food Sci. Food Saf. 2018, 17, 1113–1126. [Google Scholar] [CrossRef]
- Zhang, L.; Wang, X.; Wei, Z.; Sun, C. Structural properties research of infrared radiation drying for carrot slices. Trans. Chin. Soc. Agric. Mach. 2016, 47, 246–251. [Google Scholar]
- Ortiz-Viedma, J.; Rodriguez, A.; Vega, C.; Osorio, F.; Defillipi, B.; Ferreira, R.; Saavedra, J. Textural, flow and viscoelastic properties of Hass avocado (Persea americana Mill.) during ripening under refrigeration conditions. J. Food Eng. 2018, 219, 62–70. [Google Scholar] [CrossRef]
- Lee, J.W.; Tan, J.; Waluyo, S. Hysteresis characteristics and relationships with the viscoelastic parameters of apples. Eng. Agric. Environ. Food 2016, 9, 36–42. [Google Scholar] [CrossRef]
- Wu, J.; Guo, K.Q. Dynamic viscoelastic behaviour and microstructural changes of Korla pear (Pyrus bretschneideri rehd) under varying turgor levels. Biosyst. Eng. 2010, 106, 485–492. [Google Scholar] [CrossRef]
- Lahaye, M.; Falourd, X.; Laillet, B.; Le Gall, S. Cellulose, pectin and water in cell walls determine apple flesh viscoelastic mechanical properties. Carbohydr. Polym. 2020, 232, 115768. [Google Scholar] [CrossRef]
- Ren, G.Y.; Zeng, F.L.; Duan, X.; Liu, L.L.; Duan, B.; Wang, M.M.; Liu, Y.H.; Zhu, W.X. The Effect of Glass Transition Temperature on the Procedure of Microwave–Freeze Drying of Mushrooms (Agaricus bisporus). Dry. Technol. 2015, 33, 169–175. [Google Scholar] [CrossRef]
- Li, L.; Ren, X.; Chen, J.; Cao, W.; Ren, G.; Bhandari, B.; Ren, A.; Duan, X. Changes and relationships of viscoelastic and physical properties of Chinese yam during a novel multiphase microwave drying process. LWT-Food Sci. Technol. 2022, 168, 113969. [Google Scholar] [CrossRef]
- Peng, J.; Bi, J.; Yi, J.; Wu, X.; Zhou, M.; Zhao, Y.; Liu, J.N. Characteristics of cell wall pectic polysaccharides affect textural properties of instant controlled pressure drop dried carrot chips derived from different tissue zone. Food Chem. 2019, 293, 358–367. [Google Scholar] [CrossRef] [PubMed]
- Mahato, S.; Zhu, Z.; Sun, D.-W. Glass transitions as affected by food compositions and by conventional and novel freezing technologies: A review. Trends Food Sci. Technol. 2019, 94, 1–11. [Google Scholar] [CrossRef]
- Duan, X.; Ding, L.; Ren, G.; Liu, L.; Kong, Q. The drying strategy of atmospheric freeze drying apple cubes based on glass transition. Food Bioprod. Process. 2013, 91, 534–538. [Google Scholar] [CrossRef]
- Sablani, S.S.; Kasapis, S.; Rahman, M.S. Evaluating water activity and glass transition concepts for food stability. J. Food Eng. 2007, 78, 266–271. [Google Scholar] [CrossRef]
- Xu, B.; Li, H.; Zhang, Y. An Experimental and Modeling Study of the Viscoelastic Behavior of Collagen Gel. J. Biomech. Eng. 2013, 135, 54501. [Google Scholar] [CrossRef]
- Ozturk, O.K.; Takhar, P.S. Physical and viscoelastic properties of carrots during drying. J. Texture Stud. 2020, 51, 532–541. [Google Scholar] [CrossRef] [PubMed]
- Zhou, X.; Yu, D.; Barrera, O. Chapter Three—Mechanics constitutive models for viscoelastic solid materials: Development and a critical review. Adv. Appl. Mech. 2023, 56, 189–321. [Google Scholar]
- Sun, Q.; Zhang, M.; Mujumdar, A.S.; Yu, D. Research on the vegetable shrinkage during drying and characterization and control based on LF-NMR. Food Bioprocess. Technol. 2022, 15, 2776–2788. [Google Scholar] [CrossRef]
- Huang, L.; Lian, M.; Duan, X.; Li, B.; Yang, S. Studies on the quality and moisture distribution of kiwifruit dried by freeze drying combined with microwave vacuum drying. J. Food Process Eng. 2021, 44, e13581. [Google Scholar] [CrossRef]
- Zhang, H.; Xiong, Y.; Bakry, A.M.; Xiong, S.; Yin, T.; Zhang, B.; Huang, J.; Liu, Z.; Huang, Q. Effect of yeast β-glucan on gel properties, spatial structure and sensory characteristics of silver carp surimi. Food Hydrocoll. 2019, 88, 256–264. [Google Scholar] [CrossRef]
- Narmon, A.S.; Dewaele, A.; Bruyninckx, K.; Sels, B.F.; Van Puyvelde, P.; Dusselier, M. Boosting PLA melt strength by controlling the chirality of co-monomer incorporation. Chem. Sci. 2021, 12, 5672–5681. [Google Scholar] [CrossRef] [PubMed]
- Wang, H.; Wang, J.; Mujumdar, A.S.; Jin, X.; Liu, Z.-L.; Zhang, Y.; Xiao, H.-W. Effects of postharvest ripening on physicochemical properties, microstructure, cell wall polysaccharides contents (pectin, hemicellulose, cellulose) and nanostructure of kiwifruit (Actinidia deliciosa). Food Hydrocoll. 2021, 118, 106808. [Google Scholar] [CrossRef]
- Qin, Z.; Liu, H.-M.; Cheng, X.-C.; Wang, X.-D. Effect of drying pretreatment methods on structure and properties of pectins extracted from Chinese quince fruit. Int. J. Biol. Macromol. 2019, 137, 801–808. [Google Scholar] [CrossRef] [PubMed]
- Gawkowska, D.; Cybulska, J.; Zdunek, A. Structure-Related Gelling of Pectins and Linking with Other Natural Compounds: A Review. Polymers 2018, 10, 762. [Google Scholar] [CrossRef]
- Njoroge, D.M.; Kinyanjui, P.K.; Makokha, A.O.; Christiaens, S.; Shpigelman, A.; Sila, D.N.; Hendrickx, M.E. Extraction and characterization of pectic polysaccharides from easy- and hard-to-cook common beans (Phaseolus vulgaris). Food Res. Int. 2014, 64, 314–322. [Google Scholar] [CrossRef]
- Gao, K.; Liu, B.; Wu, B.; Guo, Y.; Song, C.; Nan, S.; Dai, J.; Shen, Y.; Ma, H. A Study on the Effect Mechanism of Pectin Modification on the Carrot Cell Wall’s Texture Formation under Ultrasonic and Infrared Drying. Agriculture 2024, 14, 803. [Google Scholar] [CrossRef]
- Xiao, M.; Yi, J.; Bi, J.; Zhao, Y.; Peng, J.; Hou, C.; Lyu, J.; Zhou, M. Modification of Cell Wall Polysaccharides during Drying Process Affects Texture Properties of Apple Chips. J. Food Qual. 2018, 2018, 4510242. [Google Scholar] [CrossRef]
- Feng, W.; Kita, D.; Peaucelle, A.; Cartwright, H.N.; Doan, V.; Duan, Q.; Liu, M.-C.; Maman, J.; Steinhorst, L.; Schmitz-Thom, I.; et al. The FERONIA Receptor Kinase Maintains Cell-Wall Integrity during Salt Stress through Ca2+ Signaling. Curr. Biol. 2018, 28, 666–675.e5. [Google Scholar] [CrossRef]
- Ralet, M.-C.; Crépeau, M.-J.; Buchholt, H.-C.; Thibault, J.-F. Polyelectrolyte behaviour and calcium binding properties of sugar beet pectins differing in their degrees of methylation and acetylation. Biochem. Eng. J. 2003, 16, 191–201. [Google Scholar] [CrossRef]



| Drying Time of HAD Stage (h) | Drying Schemes | |||||||
|---|---|---|---|---|---|---|---|---|
| FD11-HAD | FD12-HAD | FD13-HAD | FD14-HAD | |||||
| Tg (°C) | Tw (°C) | Tg (°C) | Tw (°C) | Tg (°C) | Tw (°C) | Tg (°C) | Tw (°C) | |
| 0 | −62.57 ± 2.21 i | −13 ± 2 h | −60.79 ± 2.67 f | −8 ± 1 g | −41.68 ± 2.10 e | −3 ± 1 e | −16.97 ± 1.29 d | 2 ± 1 d |
| 0.5 | −59.98 ± 2.27 h | 28 ± 2 g | −38.97 ± 2.19 e | 31 ± 2 f | −12.87 ± 1.79 d | 30 ± 2 d | 33.1 ± 1.65 c | 40 ± 1 c |
| 1.0 | −40.67 ± 2.17 g | 33 ± 1 f | −10.11 ± 1.96 d | 35 ± 1 e | 21.98 ± 1.98 c | 35 ± 2 c | 48.39 ± 1.43 b | 44 ± 1 b |
| 1.5 | −20.14 ± 1.28 f | 35 ± 1 e | 17.98 ± 1.08 c | 39 ± 1 d | 47.66 ± 1.87 b | 44 ± 1 b | 51.69 ± 1.65 a | 46 ± 1 a |
| 2.0 | 7.33 ± 1.01 e | 38 ± 1 d | 35.07 ± 1.41 b | 42 ± 1 c | 51.36 ± 1.70 a | 46 ± 1 a | 51.01 ± 1.57 a | 47 ± 1 a |
| 2.5 | 20.21 ± 1.01 d | 40 ± 1 c | 49.36 ± 1.89 a | 44 ± 1 b | 52.07 ± 1.60 a | 47 ± 1 a | ||
| 3.0 | 34.98 ± 1.54 c | 43 ± 1 b | 51.97 ± 1.76 a | 46 ± 1 a | ||||
| 3.5 | 48.39 ± 1.65 b | 45 ± 1 ab | 52.68 ± 1.89 a | 47 ± 1 a | ||||
| 4.0 | 51.01 ± 1.39 a | 46 ± 1 a | ||||||
| 4.5 | 52.07 ± 1.47 a | 47 ± 1 a | ||||||
| 5.0 | 52.14 ± 1.69 a | 47 ± 1 a | ||||||
| Drying Schemes | Drying Time of HAD Stage (h) | E0 (Mpa) | E1 (Mpa) | n | τ (s) | R2 |
|---|---|---|---|---|---|---|
| FD11-HAD | 0 | 0.102 ± 0.04 i | 4.320 ± 1.32 f | 0.396 ± 0.02 a | 1.744 ± 0.23 a | 0.998 |
| 0.5 | 0.355 ± 0.06 h | 0.964 ± 0.23 j | 0.281 ± 0.02 b | 1.634 ± 0.27 b | 0.993 | |
| 1.0 | 0.394 ± 0.11 h | 0.929 ± 0.32 j | 0.289 ± 0.03 c | 1.613 ± 0.23 c | 0.993 | |
| 1.5 | 0.745 ± 0.14 g | 1.811 ± 0.39 i | 0.288 ± 0.02 c | 1.456 ± 0.17 d | 0.991 | |
| 2.0 | 0.768 ± 0.22 g | 2.174 ± 0.65 h | 0.309 ± 0.01 d | 1.429 ± 0.19 e | 0.992 | |
| 2.5 | 0.923 ± 0.21 f | 3.111 ± 0.98 g | 0.322 ± 0.02 e | 1.428 ± 0.11 e | 0.991 | |
| 3.0 | 1.559 ± 0.43 e | 6.889 ± 2.11 e | 0.323 ± 0.01 f | 1.381 ± 0.12 f | 0.992 | |
| 3.5 | 3.572 ± 0.98 d | 18.464 ± 4.22 d | 0.330 ± 0.02 g | 1.332 ± 0.09 g | 0.992 | |
| 4.0 | 4.606 ± 1.22 c | 25.802 ± 5.87 c | 0.342 ± 0.02 h | 1.308 ± 0.09 h | 0.992 | |
| 4.5 | 7.261 ± 2.37 b | 35.222 ± 7.67 b | 0.345 ± 0.01 h | 1.308 ± 0.12 h | 0.996 | |
| 5.0 | 10.229 ± 2.98 a | 57.057 ± 12.25 a | 0.354 ± 0.02 i | 1.220 ± 0.07 i | 0.991 | |
| FD12-HAD | 0 | 0.365 ± 0.09 g | 2.413 ± 0.88 g | 0.370 ± 0.02 a | 1.550 ± 0.21 a | 0.998 |
| 0.5 | 0.450 ± 0.08 f | 1.289 ± 0.37 h | 0.289 ± 0.03 a | 1.500 ± 0.24 b | 0.991 | |
| 1.0 | 0.973 ± 0.10 e | 3.144 ± 0.99 f | 0.339 ± 0.03 b | 1.339 ± 0.29 c | 0.994 | |
| 1.5 | 1.471 ± 0.16 d | 6.369 ± 1.22 e | 0.350 ± 0.02 b | 1.297 ± 0.12 d | 0.993 | |
| 2.0 | 4.383 ± 0.67 c | 14.993 ± 2.21 d | 0.368 ± 0.01 c | 1.286 ± 0.11 e | 0.994 | |
| 2.5 | 4.392 ± 0.88 c | 23.851 ± 4.98 c | 0.379 ± 0.02 d | 1.266 ± 0.13 f | 0.990 | |
| 3.0 | 10.286 ± 2.37 b | 39.616 ± 6.34 b | 0.386 ± 0.01 e | 1.240 ± 0.09 g | 0.996 | |
| 3.5 | 14.295 ± 3.89 a | 60.989 ± 10.32 a | 0.391 ± 0.01 f | 1.212 ± 0.09 h | 0.990 | |
| FD13-HAD | 0 | 0.021 ± 0.01 f | 2.223 ± 0.78 e | 0.336 ± 0.02 a | 1.627 ± 0.22 a | 0.992 |
| 0.5 | 0.458 ± 0.05 e | 1.377 ± 0.39 f | 0.317 ± 0.03 b | 1.571 ± 0.21 b | 0.995 | |
| 1.0 | 1.226 ± 0.12 d | 5.355 ± 1.23 d | 0.346 ± 0.02 c | 1.323 ± 0.18 c | 0.997 | |
| 1.5 | 4.392 ± 0.37 c | 23.851 ± 3.28 c | 0.377 ± 0.01 d | 1.286 ± 0.18 d | 0.991 | |
| 2.0 | 5.436 ± 0.56 b | 30.261 ± 5.45 b | 0.390 ± 0.02 e | 1.286 ± 0.16 d | 0.994 | |
| 2.5 | 7.745 ± 1.26 a | 65.025 ± 11.11 a | 0.404 ± 0.01 f | 1.084 ± 0.08 e | 0.994 | |
| FD14-HAD | 0 | 0.177 ± 0.02 e | 2.122 ± 0.11 e | 0.322 ± 0.03 a | 1.509 ± 0.19 a | 0.992 |
| 0.5 | 1.447 ± 0.09 d | 6.085 ± 1.09 d | 0.336 ± 0.03 b | 1.503 ± 0.11 b | 0.995 | |
| 1.0 | 5.371 ± 1.21 c | 22.606 ± 3.37 c | 0.353 ± 0.01 c | 1.338 ± 0.09 c | 0.992 | |
| 1.5 | 9.358 ± 1.89 b | 44.881 ± 5.76 b | 0.391 ± 0.02 d | 1.234 ± 0.07 d | 0.994 | |
| 2.0 | 20.498 ± 2.76 a | 100.751 ± 20.28 a | 0.405 ± 0.01 e | 1.075 ± 0.07 e | 0.993 |
Disclaimer/Publisher’s Note: The statements, opinions and data contained in all publications are solely those of the individual author(s) and contributor(s) and not of MDPI and/or the editor(s). MDPI and/or the editor(s) disclaim responsibility for any injury to people or property resulting from any ideas, methods, instructions or products referred to in the content. |
© 2024 by the authors. Licensee MDPI, Basel, Switzerland. This article is an open access article distributed under the terms and conditions of the Creative Commons Attribution (CC BY) license (https://creativecommons.org/licenses/by/4.0/).
Share and Cite
Li, L.; Yang, M.; Zhu, L.; Liu, W.; Li, L.; Cao, W.; Chen, J.; Zhao, L.; Law, C.L.; Yang, T.; et al. The Evolution of Mechanical Properties and Cellular Structure of Apples During Freeze Drying Combined with Hot Air Drying (FD-HAD) Process. Foods 2024, 13, 3951. https://doi.org/10.3390/foods13233951
Li L, Yang M, Zhu L, Liu W, Li L, Cao W, Chen J, Zhao L, Law CL, Yang T, et al. The Evolution of Mechanical Properties and Cellular Structure of Apples During Freeze Drying Combined with Hot Air Drying (FD-HAD) Process. Foods. 2024; 13(23):3951. https://doi.org/10.3390/foods13233951
Chicago/Turabian StyleLi, Lili, Mengmeng Yang, Lewen Zhu, Wenchao Liu, Linlin Li, Weiwei Cao, Junliang Chen, Linlin Zhao, Chung Lim Law, Tongxiang Yang, and et al. 2024. "The Evolution of Mechanical Properties and Cellular Structure of Apples During Freeze Drying Combined with Hot Air Drying (FD-HAD) Process" Foods 13, no. 23: 3951. https://doi.org/10.3390/foods13233951
APA StyleLi, L., Yang, M., Zhu, L., Liu, W., Li, L., Cao, W., Chen, J., Zhao, L., Law, C. L., Yang, T., Ren, G., & Duan, X. (2024). The Evolution of Mechanical Properties and Cellular Structure of Apples During Freeze Drying Combined with Hot Air Drying (FD-HAD) Process. Foods, 13(23), 3951. https://doi.org/10.3390/foods13233951

