Drying of Saffron Petals as a Critical Step for the Stabilization of This Floral Residue Prior to Extraction of Bioactive Compounds
Abstract
1. Introduction
2. Materials and Methods
2.1. Samples, Reagents, and Solvents
2.2. Apparatus and Instruments
2.3. Saffron Petals Drying
2.4. LC–QTOF MS/MS Analysis of Saffron Extracts
2.5. Data Processing and Statistical Analysis
2.6. DPPH Radical Scavenging Activity
3. Results
3.1. Annotation of Bioactive Compounds in Saffron Petals
3.2. Changes in the Moisture Content During Drying Kinetics
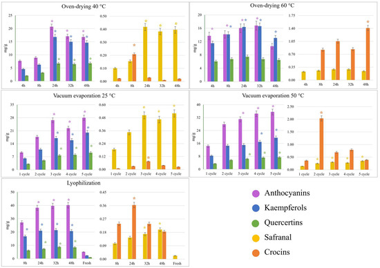
3.3. Evolution of Bioactive Compounds During Drying Kinetics
3.4. Influence of Drying Methods on the Main Bioactive Families Isolated from Saffron Petals
3.5. Influence of Drying on Bioactive Compounds Profile
4. Conclusions
Supplementary Materials
Author Contributions
Funding
Institutional Review Board Statement
Informed Consent Statement
Data Availability Statement
Acknowledgments
Conflicts of Interest
References
- Shahnoushi, N.; Abolhassani, L.; Kavakebi, V.; Reed, M.; Saghaian, S. Chapter 21—Economic analysis of saffron production. In Saffron; Koocheki, A., Khajeh-Hosseini, M., Eds.; Woodhead Publishing: New York, NY, USA, 2020; pp. 337–356. [Google Scholar]
- Khadfy, Z.; Atifi, H.; Mamouni, R.; Jadouali, S.M.; Chartier, A.; Nehmé, R.; Karra, Y.; Tahiri, A. Nutraceutical and cosmetic applications of bioactive compounds of Saffron (Crocus sativus L.) stigmas and its by-products. S. Afr. J. Bot. 2023, 163, 250–261. [Google Scholar] [CrossRef]
- Mykhailenko, O.; Ivanauskas, L.; Bezruk, I.; Sidorenko, L.; Lesyk, R.; Georgiyants, V. Characterization of Phytochemical Components of Crocus sativus Leaves: A New Attractive By-Product. Sci. Pharm. 2021, 89, 28. [Google Scholar] [CrossRef]
- Mortazavi, S.M.; Kamali Moghaddam, M.; Safi, S.; Salehi, R. Saffron Petals, a by-product for dyeing of wool fibers. Prog. Color Color. Coat. 2012, 5, 75–84. [Google Scholar] [CrossRef]
- Gigliobianco, M.R.; Cortese, M.; Peregrina, D.V.; Villa, C.; Lupidi, G.; Pruccoli, L.; Angeloni, C.; Tarozzi, A.; Censi, R.; Di Martino, P. Development of New Extracts of Crocus sativus L. By-Product from Two Different Italian Regions as New Potential Active Ingredient in Cosmetic Formulations. Cosmetics 2021, 8, 51. [Google Scholar] [CrossRef]
- Kumar, V.; Kaur, N.; Wadhwa, P. Clinical Evidence on the Effects of Saffron (Crocus sativus L.) in Anxiety and Depression. World J. Tradit. Chin. Med. 2022, 8, 181–187. [Google Scholar] [CrossRef]
- Caser, M.; Demasi, S.; Stelluti, S.; Donno, D.; Scariot, V. Crocus sativus L. Cultivation in Alpine Environments: Stigmas and Tepals as Source of Bioactive Compounds. Agronomy 2020, 10, 1473. [Google Scholar] [CrossRef]
- Afia, L.; Ait Mansour, A.; Khadfy, Z.; Bazzaoui, M.; Mamouni, R.; Salghi, R. Valorizing the potential of saffron petals extract for aluminium corrosion control: An integrated approach involving extraction, experimental and computational analysis. Colloids Surf. A Physicochem. Eng. Asp. 2024, 696, 134240. [Google Scholar] [CrossRef]
- Cid-Pérez, T.S.; Nevárez-Moorillón, G.V.; Ochoa-Velasco, C.E.; Navarro-Cruz, A.R.; Hernández-Carranza, P.; Avila-Sosa, R. The Relation between Drying Conditions and the Development of Volatile Compounds in Saffron (Crocus sativus). Molecules 2021, 26, 6954. [Google Scholar] [CrossRef]
- Gandomzadeh, D.; Saeidirad, M.H.; Sabeghi, Y.; Rohani, A.; Azarpazhooh, E.; Saeidirad, Y.; Ramaswamy, H.S. A comprehensive review of drying techniques and quality for saffron. J. Food Meas. Charact. 2024, 18, 8218–8232. [Google Scholar] [CrossRef]
- Sharifian, F.; Gharkhloo, Z.R.; Yamchi, A.A.; Kaveh, M. Infrared and hot drying of saffron petal (Crocus sativus L.): Effect on drying, energy, color, and rehydration. J. Food Process Eng. 2023, 46, e14342. [Google Scholar] [CrossRef]
- Zhang, W.-P.; Yang, X.-H.; Mujumdar, A.S.; Ju, H.-Y.; Xiao, H.-W. The influence mechanism and control strategy of relative humidity on hot air drying of fruits and vegetables: A review. Dry. Technol. 2022, 40, 2217–2234. [Google Scholar] [CrossRef]
- Sabanci, S.; Icier, F. Enhancement of the performance of sour cherry juice concentration process in vacuum evaporator by assisting ohmic heating source. Food Bioprod. Process. 2020, 122, 269–279. [Google Scholar] [CrossRef]
- Nowak, D.; Jakubczyk, E. The Freeze-Drying of Foods-The Characteristic of the Process Course and the Effect of Its Parameters on the Physical Properties of Food Materials. Foods 2020, 9, 1488. [Google Scholar] [CrossRef] [PubMed]
- Acar, B.; Sadikoglu, H.; Ozkaymak, M. Freeze Drying of Saffron (Crocus sativus L.). Dry. Technol. 2011, 29, 1622–1627. [Google Scholar] [CrossRef]
- Ledesma-Escobar, C.A.; Priego-Capote, F.; de Castro, M.D.L. Effect of sample pretreatment on the extraction of lemon (Citrus limon) components. Talanta 2016, 153, 386–391. [Google Scholar] [CrossRef]
- Criado-Navarro, I.; Ledesma-Escobar, C.A.; Parrado-Martínez, M.J.; Marchal-López, R.M.; Olmo-Peinado, J.M.; Espejo-Calvo, J.A.; Priego-Capote, F. Monitoring the partition of bioactive compounds in the extraction of extra virgin olive oil. LWT 2022, 162, 113433. [Google Scholar] [CrossRef]
- Ledesma-Escobar, C.A.; Priego-Capote, F.; Calderón-Santiago, M. MetaboMSDIA: A tool for implementing data-independent acquisition in metabolomic-based mass spectrometry analysis. Anal. Chim. Acta 2023, 1266, 341308. [Google Scholar] [CrossRef]
- Hashemi Gahruie, H.; Parastouei, K.; Mokhtarian, M.; Rostami, H.; Niakousari, M.; Mohsenpour, Z. Application of innovative processing methods for the extraction of bioactive compounds from saffron (Crocus sativus) petals. J. Appl. Res. Med. Aromat. Plants 2020, 19, 100264. [Google Scholar] [CrossRef]
- Zeka, K.; Ruparelia, K.C.; Continenza, M.A.; Stagos, D.; Veglio, F.; Arroo, R.R.J. Petals of Crocus sativus L. as a potential source of the antioxidants crocin and kaempferol. Fitoterapia 2015, 107, 128–134. [Google Scholar] [CrossRef]
- Mutz, M.; Kösters, D.; Wynands, B.; Wierckx, N.; Marienhagen, J. Microbial synthesis of the plant natural product precursor p-coumaric acid with Corynebacterium glutamicum. Microb. Cell Factories 2023, 22, 209. [Google Scholar] [CrossRef]
- Senizza, B.; Rocchetti, G.; Okur, M.A.; Zengin, G.; Yildiztugay, E.; Ak, G.; Montesano, D.; Lucini, L. Phytochemical Profile and Biological Properties of Colchicum triphyllum (Meadow Saffron). Foods 2020, 9, 457. [Google Scholar] [CrossRef] [PubMed]
- Sun, C.; Nile, S.H.; Zhang, Y.; Qin, L.; El-Seedi, H.R.; Daglia, M.; Kai, G. Novel Insight into Utilization of Flavonoid Glycosides and Biological Properties of Saffron (Crocus sativus L.) Flower Byproducts. J. Agric. Food Chem. 2020, 68, 10685–10696. [Google Scholar] [CrossRef] [PubMed]
- Guijarro-Diez, M.; Nozal, L.; Marina, M.L.; Crego, A.L. Metabolomic fingerprinting of saffron by LC/MS: Novel authenticity markers. Anal. Bioanal. Chem. 2015, 407, 7197–7213. [Google Scholar] [CrossRef] [PubMed]
- Cortez, R.; Luna-Vital, D.A.; Margulis, D.; de Mejia, E.G. Natural Pigments: Stabilization Methods of Anthocyanins for Food Applications. Compr. Rev. Food Sci. Food Saf. 2017, 16, 180–198. [Google Scholar] [CrossRef]
- Buckow, R.; Kastell, A.; Terefe, N.S.; Versteeg, C. Pressure and Temperature Effects on Degradation Kinetics and Storage Stability of Total Anthocyanins in Blueberry Juice. J. Agric. Food Chem. 2010, 58, 10076–10084. [Google Scholar] [CrossRef]
- Aghaei, Z.; Jafari, S.M.; Dehnad, D.; Ghorbani, M.; Hemmati, K. Refractance-window as an innovative approach for the drying of saffron petals and stigma. J. Food Process Eng. 2018, 41, e12863. [Google Scholar] [CrossRef]
- Zhou, L.Y.; Cao, Z.Z.; Bi, J.F.; Yi, J.Y.; Chen, Q.Q.; Wu, X.Y.; Zhou, M. Degradation kinetics of total phenolic compounds, capsaicinoids and antioxidant activity in red pepper during hot air and infrared drying process. Int. J. Food Sci. Technol. 2016, 51, 842–853. [Google Scholar] [CrossRef]




| Compound | Mass | Molecular Formula | RT (min) | Ion/ Adduct | Precursor Ion (m/z) | Main Product Ions (m/z) | ||
|---|---|---|---|---|---|---|---|---|
| Safranal * | 150.105 | C10H14O | 9.62 | [M+H]+ | 151.110 | 91.053 | 81.070 | 67.054 |
| trans-Crocin * | 976.375 | C44H64O24 | 9.95 | [M−H]− | 975.376 | 651.261 | 327.157 | |
| cis-Crocin * | 976.375 | C44H64O24 | 12.56 | [M−H]− | 975.376 | 651.261 | 327.157 | |
| 4-Coumaric acid * | 164.048 | C9H8O3 | 10.79 | [M−H]− | 163.040 | 123.277 | 81.703 | 50.007 |
| Anthocyanins | ||||||||
| Delphinidin-3,5-diglucoside | 626.149 | C27H30O17 | 7.55 | [M+H]+ | 627.157 | 465.100 | 303.049 | |
| Cyanidin-3,5-diglucoside | 611.161 | C27H31O16 | 7.77 | [M]+ | 611.161 | 449.112 | 287.059 | 166.089 |
| Cyanidin-3-glucoside * | 449.108 | C21H21O11 | 9.70 | [M]+ | 449.108 | 287.056 | 258.050 | 213.056 |
| Delphinidin-3-glucoside * | 465.102 | C21H21O12 | 10.29 | [M]+ | 465.102 | 303.051 | 257.045 | 229.050 |
| Flavonols | ||||||||
| Kaempferol & derivatives | ||||||||
| Kaempferol-3-sophoroside | 610.154 | C27H30O16 | 8.16 | [M+H]+ | 611.162 | 449.105 | 287.054 | 145.050 |
| Kaempferol-6″-malonyl-glucoside-glucoside | 696.154 | C30H32O19 | 8.34 | [M+H]+ | 697.157 | 449.106 | 287.054 | 145.049 |
| Kaempferol-3-glucoside * | 448.093 | C21H20O11 | 8.59 | [M−H]− | 447.093 | 284.034 | 255.303 | 227.036 |
| Kaempferol-laminarabinoside | 610.153 | C27H30O16 | 9.21 | [M−H]− | 609.149 | 284.032 | 225.030 | 151.003 |
| Kaempferol-coumaroylrutinoside | 740.195 | C36H36O17 | 10.00 | [M+HCOO]− | 785.195 | 623.149 | 315.047 | 285.039 |
| Kaempferol-neohesperidoside * | 594.155 | C27H30O15 | 10.41 | [M−H]− | 593.142 | 285.037 | 284.032 | 255.027 |
| Kaempferol-3-(6″-acetylglucoside)-7-glucoside | 652.164 | C29H32O17 | 10.50 | [M−H]+ | 653.171 | 491.121 | 287.057 | |
| Kaempferol-3-(6″-acetylglucoside) | 490.111 | C23H22O12 | 11.14 | [M−H]− | 489.107 | 284.031 | 255.034 | 227.033 |
| Kaempferol * | 286.049 | C15H10O6 | 14.19 | [M+H]+ | 287.056 | 213.053 | 153.016 | 121.027 |
| Quercetin & derivatives | ||||||||
| Quercetin-isopropylglucoside-glucoside | 684.190 | C30H36O18 | 8.11 | [M−H]− | 683.166 | 463.089 | 301.037 | 125.022 |
| Quercetin-3-sophoroside | 626.148 | C27H30O17 | 8.63 | [M−H]− | 625.143 | 463.086 | 301.033 | |
| Quercetin 3-glucoside * | 464.095 | C21H20O12 | 9.83 | [M−H]− | 463.0907 | 300.027 | 271.025 | 255.030 |
| Isorhamnetin-3-glucoside * | 478.112 | C22H22O12 | 10.15 | [M−H]− | 477.105 | 314.042 | 271.023 | 243.020 |
| Rutin * | 610.142 | C27H30O16 | 11.36 | [M−H]− | 609.138 | 463.088 | 301.035 | 285.040 |
| Quercetin * | 302.043 | C15H10O7 | 13.47 | [M+H]+ | 303.051 | 229.054 | 153.021 | 137.026 |
Disclaimer/Publisher’s Note: The statements, opinions and data contained in all publications are solely those of the individual author(s) and contributor(s) and not of MDPI and/or the editor(s). MDPI and/or the editor(s) disclaim responsibility for any injury to people or property resulting from any ideas, methods, instructions or products referred to in the content. |
© 2024 by the authors. Licensee MDPI, Basel, Switzerland. This article is an open access article distributed under the terms and conditions of the Creative Commons Attribution (CC BY) license (https://creativecommons.org/licenses/by/4.0/).
Share and Cite
Criado-Navarro, I.; Barba-Palomeque, F.; Pérez-Juan, P.; Ledesma-Escobar, C.A.; Priego-Capote, F. Drying of Saffron Petals as a Critical Step for the Stabilization of This Floral Residue Prior to Extraction of Bioactive Compounds. Foods 2024, 13, 3724. https://doi.org/10.3390/foods13233724
Criado-Navarro I, Barba-Palomeque F, Pérez-Juan P, Ledesma-Escobar CA, Priego-Capote F. Drying of Saffron Petals as a Critical Step for the Stabilization of This Floral Residue Prior to Extraction of Bioactive Compounds. Foods. 2024; 13(23):3724. https://doi.org/10.3390/foods13233724
Chicago/Turabian StyleCriado-Navarro, Inmaculada, Francisco Barba-Palomeque, Pedro Pérez-Juan, Carlos A. Ledesma-Escobar, and Feliciano Priego-Capote. 2024. "Drying of Saffron Petals as a Critical Step for the Stabilization of This Floral Residue Prior to Extraction of Bioactive Compounds" Foods 13, no. 23: 3724. https://doi.org/10.3390/foods13233724
APA StyleCriado-Navarro, I., Barba-Palomeque, F., Pérez-Juan, P., Ledesma-Escobar, C. A., & Priego-Capote, F. (2024). Drying of Saffron Petals as a Critical Step for the Stabilization of This Floral Residue Prior to Extraction of Bioactive Compounds. Foods, 13(23), 3724. https://doi.org/10.3390/foods13233724

