Effects of Roller Milling Parameters on Wheat-Flour Damaged Starch: A Comprehensive Passage Analysis and Response-Surface Methodology Optimization
Abstract
1. Introduction
2. Materials and Methods
2.1. First Stage
2.1.1. Samples
2.1.2. Sample Analysis
2.2. Second Stage
2.2.1. Sample
2.2.2. Milling of Middlings
2.2.3. Flour Analysis
2.2.4. Energy Consumption
2.2.5. Statistical Analysis
3. Results and Discussion
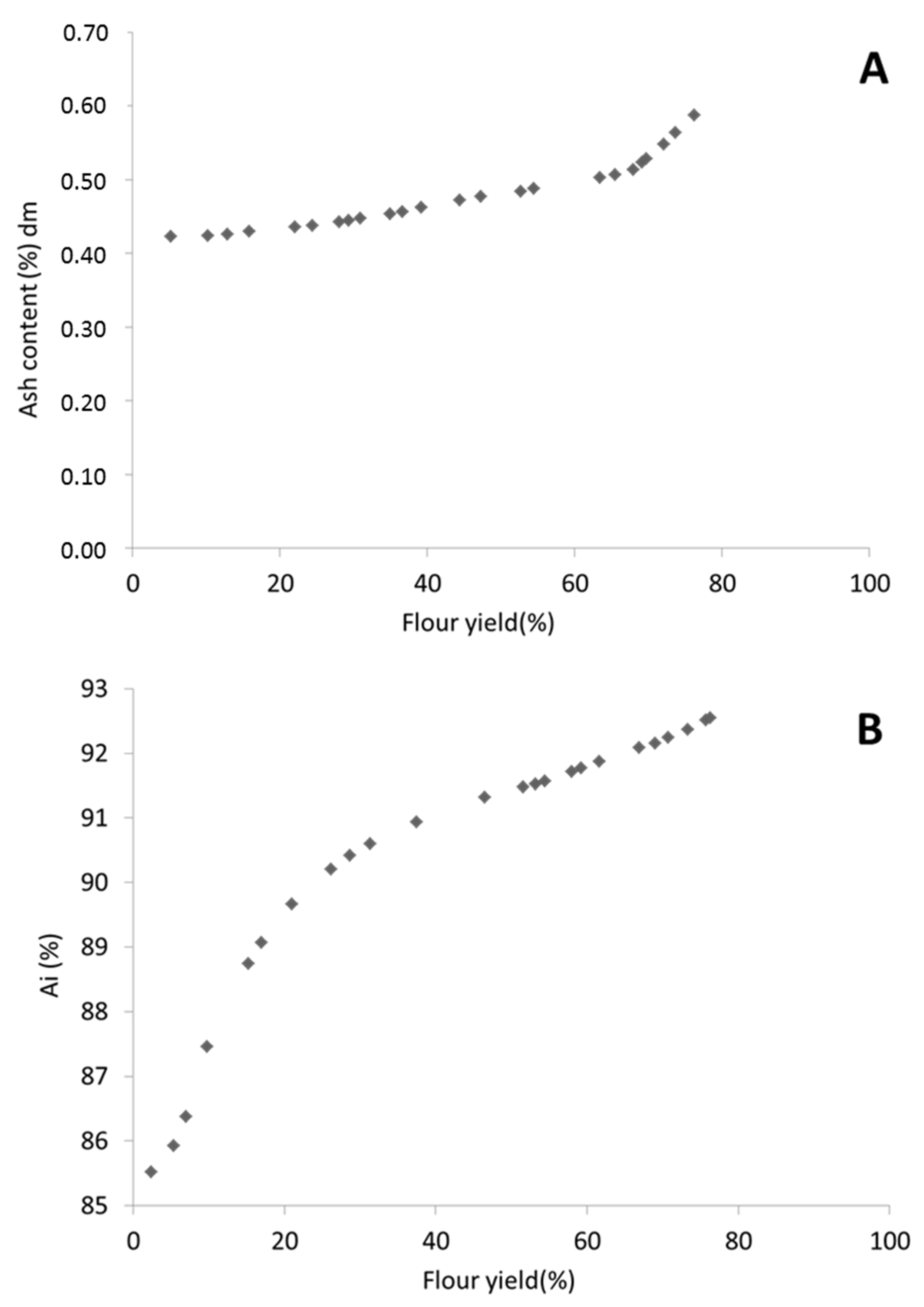
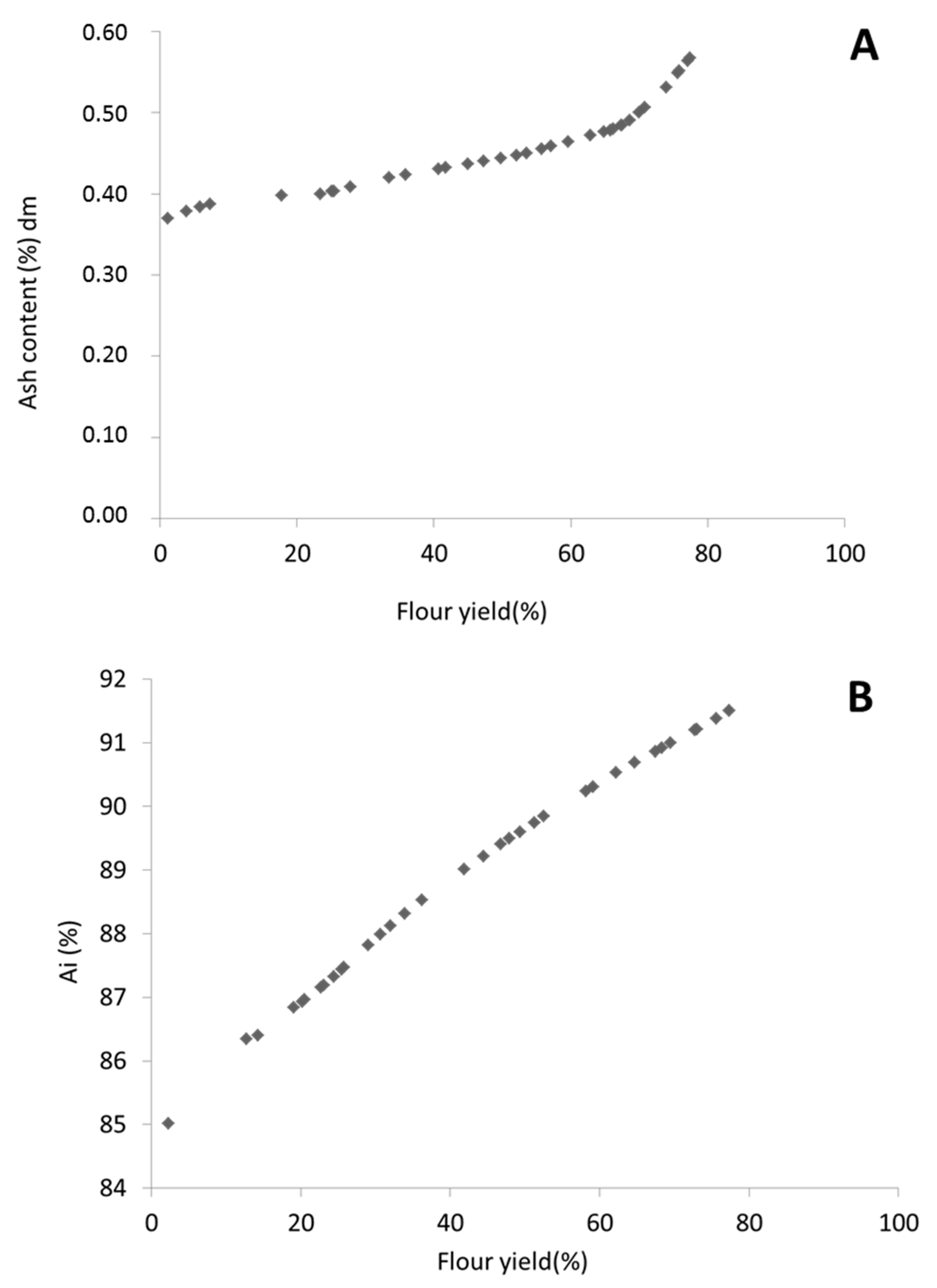
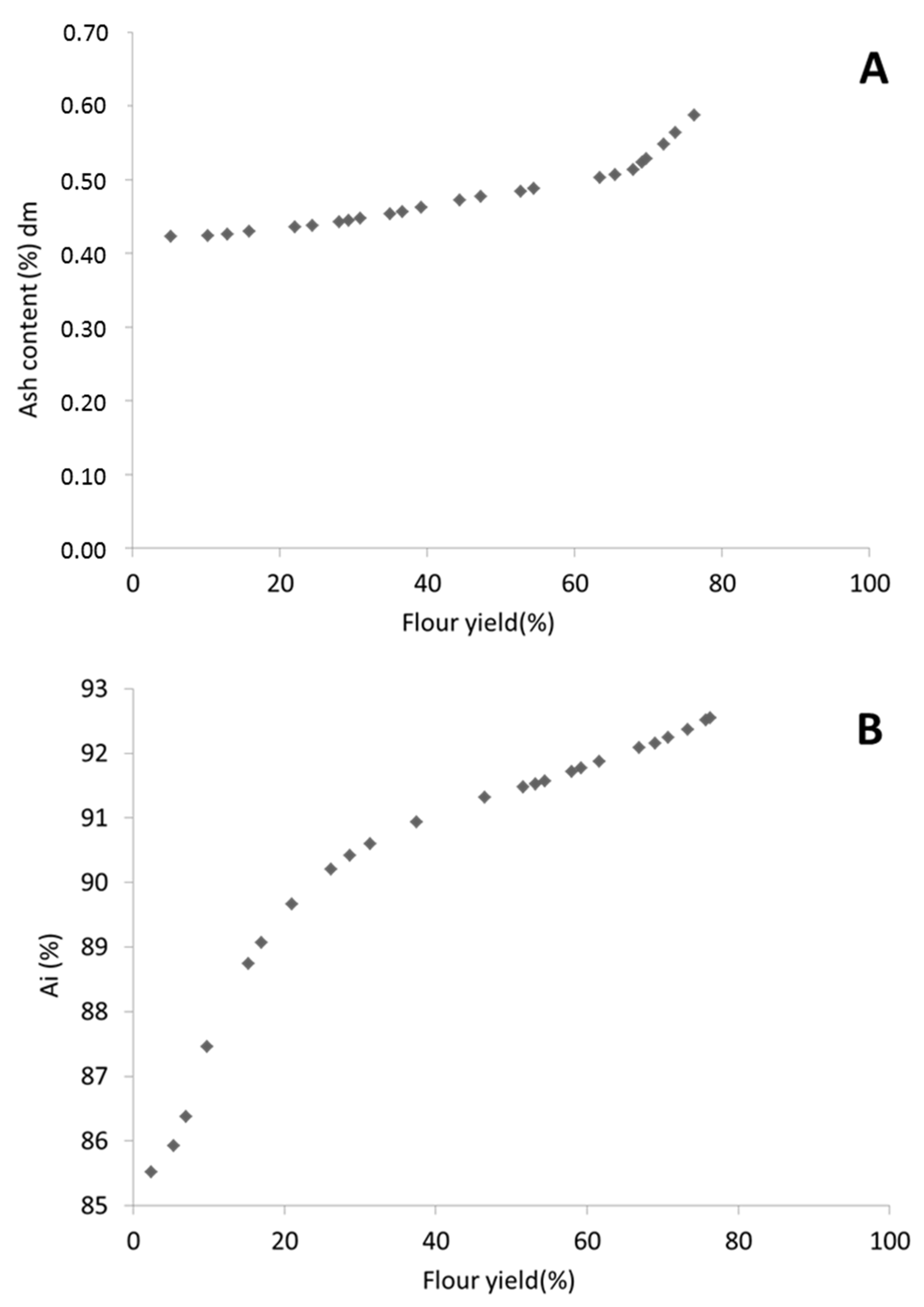
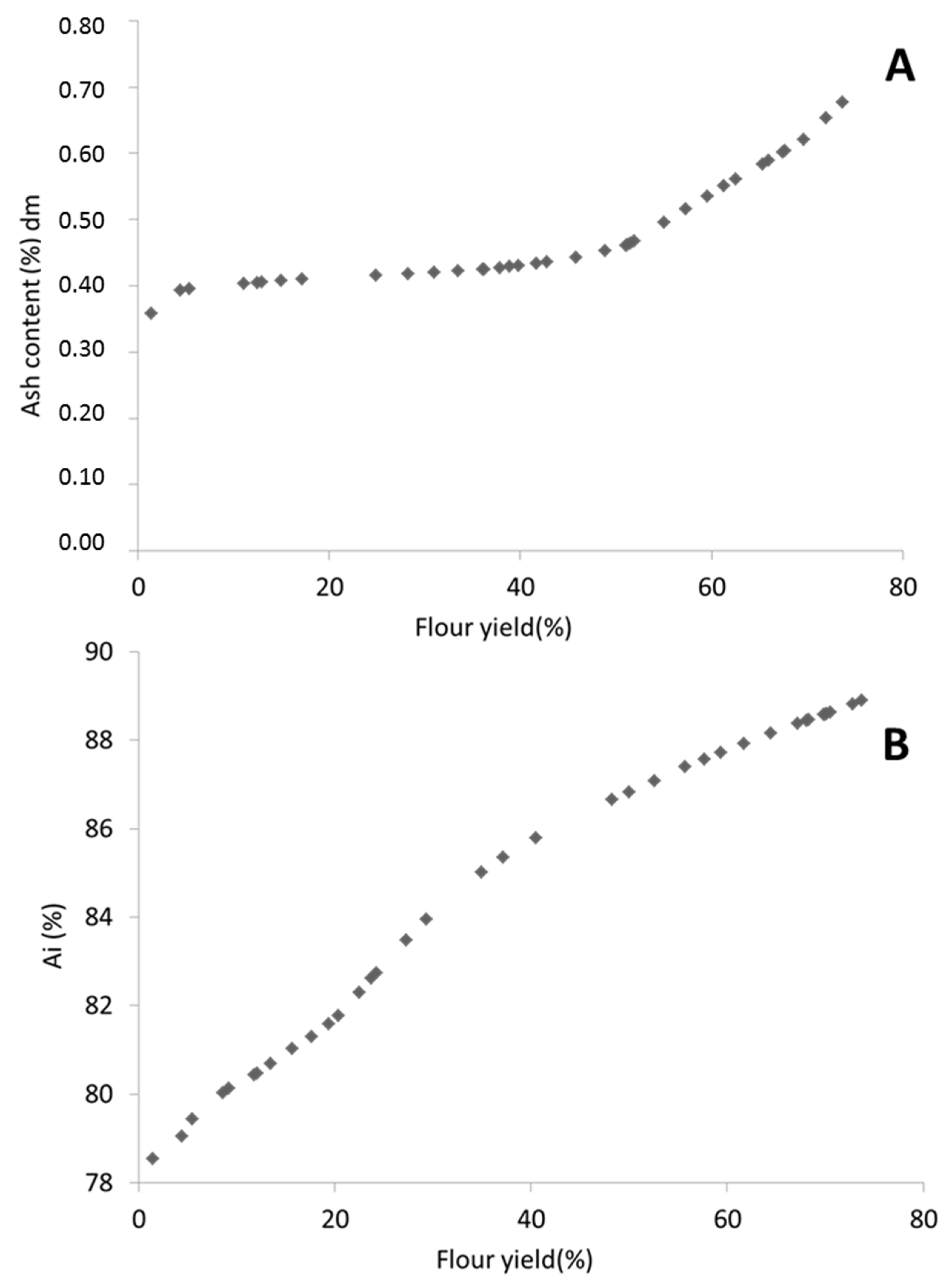
3.1. First Stage
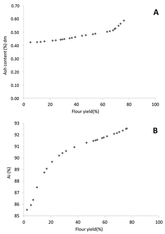
3.2. Second Stage
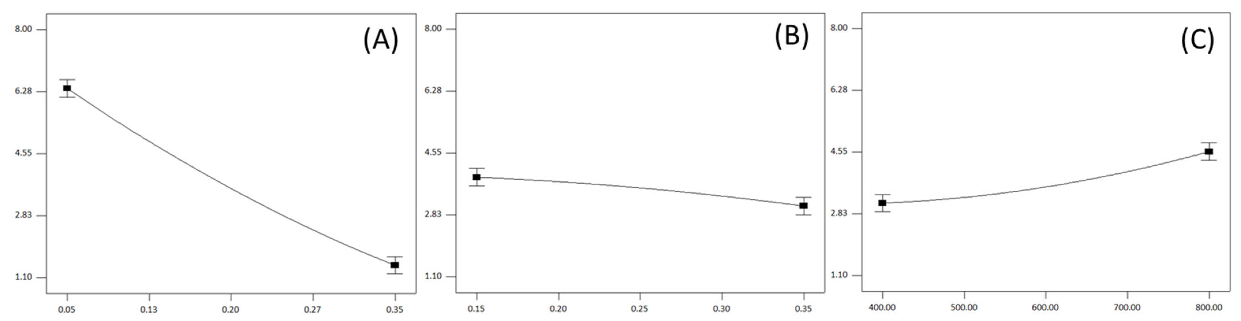
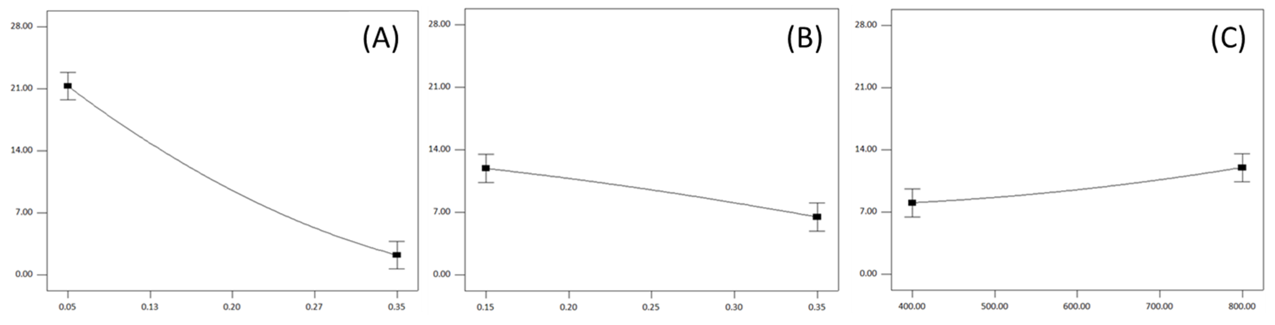
3.2.1. Influence of Milling Parameters on the Damaged Starch
3.2.2. Influence of Milling Parameters on the Flour Yield
3.2.3. Influence of Milling Parameters on the Energy Consumption
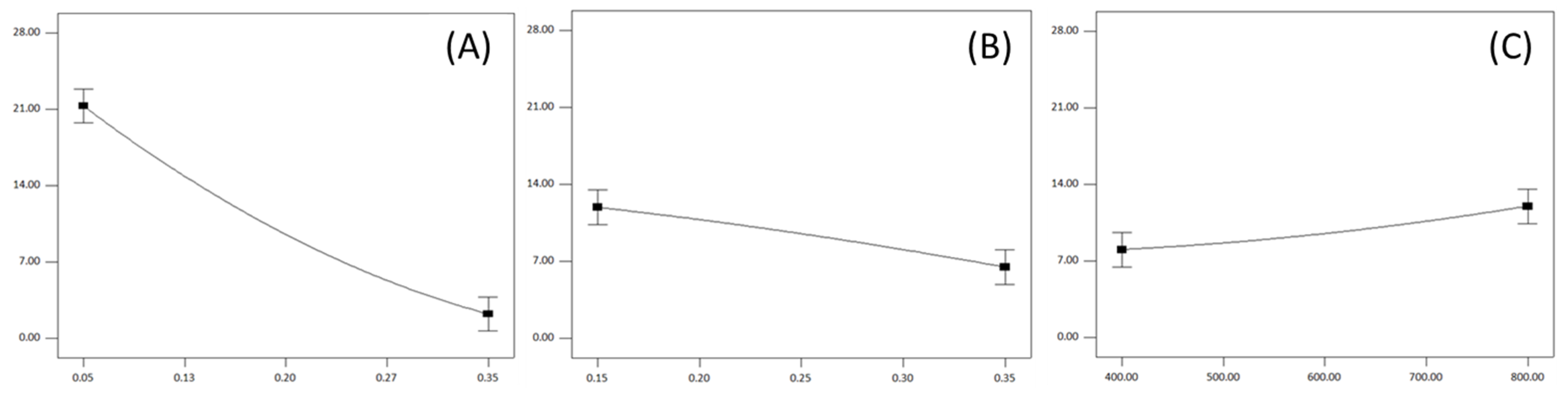
3.3. Implementation of Obtained Models in Production of Flour with Desired Damaged Starch Content, Yield, and Energy Consumption
4. Conclusions
Author Contributions
Funding
Institutional Review Board Statement
Informed Consent Statement
Data Availability Statement
Conflicts of Interest
Appendix A
| BREAK SYSTEM | ||||||||
|---|---|---|---|---|---|---|---|---|
| Passage | Flour | Flour Yield (%) | D [0.5] [µm] | D [4.3] [µm] | Ai (%) | AACC (%) | UCD | Ash (%)dm * |
| B1 | 1 | 2.80 | 85.50 | 167.03 | 88.96 | 2.88 | 7.05 | 0.57 |
| 2 | 1.77 | 76.10 | 122.80 | 89.54 | 3.11 | 8.75 | 0.59 | |
| B2 | 1 | 4.14 | 64.30 | 94.70 | 90.7 | 3.78 | 12.65 | 0.50 |
| 2 | 2.99 | 67.40 | 141.30 | 92.88 | 4.77 | 16.80 | 0.53 | |
| B3 | 1 | 3.31 | 55.40 | 65.30 | 92.57 | 5.27 | 18.60 | 0.51 |
| 2 | 1.26 | 55.21 | 66.80 | 94.37 | 5.99 | 20.95 | 0.63 | |
| B4 | 1 | 1.54 | 58.10 | 65.10 | 93.94 | 5.99 | 20.90 | 0.85 |
| B5 | 1 | 1.05 | 52.30 | 61.20 | 95.14 | 7.40 | 24.90 | 1.07 |
| SIZING SYSTEM | ||||||||
| Passage | Flour | Flour Yield (%) | D [0.5] [µm] | D [4.3] [µm] | Ai (%) | AACC (%) | UCD | Ash (%)dm |
| CL 1 | 1 | 3.13 | 45.80 | 56.80 | 94.73 | 6.48 | 22.40 | 0.46 |
| 2 | 2.46 | 87.90 | 96.50 | 91.54 | 4.20 | 14.55 | 0.40 | |
| 3 | 1.87 | 130.40 | 135.80 | 86.92 | 2.46 | 1.95 | 0.40 | |
| CL 2 | 1 | 3.63 | 54.60 | 139.70 | 94.88 | 6.73 | 23.10 | 0.38 |
| 2 | 13.53 | 153.00 | 161.40 | 86.64 | 2.43 | 0.75 | 0.41 | |
| 3 | 1.43 | 124.10 | 129.10 | 88.47 | 2.86 | 6.85 | 0.37 | |
| CL 3 | 1 | 3.31 | 66.30 | 278.10 | 96.17 | 8.15 | 26.80 | 0.59 |
| 2 | 2.95 | 123.60 | 133.70 | 91.66 | 4.43 | 15.50 | 0.50 | |
| REDUCTION SYSTEM | ||||||||
| Passage | Flour | Flour Yield (%) | D [0.5] [µm] | D [4.3] [µm] | Ai (%) | AACC (%) | UCD | Ash (%)dm |
| C 1 | 1 | 7.29 | 80.50 | 90.70 | 92.18 | 4.57 | 16.10 | 0.47 |
| 2 | 6.25 | 129.10 | 137.20 | 88.14 | 2.78 | 5.85 | 0.49 | |
| 3 | 0.46 | 125.90 | 132.60 | 88.73 | 2.90 | 7.20 | 0.46 | |
| C 2 | 1 | 7.29 | 68.50 | 138.10 | 93.97 | 5.89 | 20.65 | 0.41 |
| 2 | 2.17 | 111.00 | 114.50 | 90.87 | 4.03 | 13.75 | 0.44 | |
| 3 | 3.02 | 159.70 | 162.90 | 85.02 | 2.44 | -3.00 | 0.48 | |
| C 3 | 1 | 4.22 | 38.10 | 51.20 | 95.62 | 7.89 | 26.10 | 0.61 |
| 2 | 1.84 | 79.20 | 85.60 | 93.1 | 5.55 | 19.55 | 0.55 | |
| 3 | 1.41 | 118.90 | 123.00 | 89.91 | 3.35 | 10.35 | 0.49 | |
| C 4 | 1 | 2.49 | 88.20 | 94.40 | 93.65 | 5.64 | 19.90 | 0.62 |
| 2 | 0.46 | 130.50 | 134.30 | 89.43 | 3.07 | 8.50 | 0.68 | |
| C 5 | 1 | 4.04 | 67.80 | 78.60 | 94.66 | 6.55 | 22.60 | 1.10 |
| 2 | 0.29 | 76.60 | 132.30 | 96.01 | 7.94 | 26.25 | 1.32 | |
| C 6 | 1 | 1.59 | 66.70 | 72.00 | 95.42 | 7.14 | 24.25 | 0.74 |
| 2 | 1.74 | 134.80 | 141.30 | 91.16 | 3.97 | 13.55 | 0.96 | |
| C 7 | 1 | 1.56 | 138.20 | 145.10 | 92.98 | 5.10 | 18.05 | 1.36 |
| 2 | 0.39 | 155.70 | 163.30 | 90.28 | 3.58 | 11.60 | 1.46 | |
| VIBRO SIFTER | ||||||||
| Passage | Flour | Flour Yield (%) | D [0.5] [µm] | D [4.3] [µm] | Ai (%) | AACC (%) | UCD | Ash (%)dm |
| V 2 | 2 | 0.04 | 14.30 | 20.35 | 96.83 | 8.30 | 27.15 | 0.79 |
| V 3 | 3 | 2.26 | 28.30 | 42.80 | 96.42 | 8.08 | 26.60 | 1.29 |
| BREAK SYSTEM | ||||||||
|---|---|---|---|---|---|---|---|---|
| Passage | Flour | Flour Yield (%) | D [0.5] [µm] | D [4.3] [µm] | Ai (%) | AACC (%) | UCD | Ash (%)dm * |
| B1 | 1 | 7.61 | 39.90 | 84.80 | 91.06 | 3.87 | 13.05 | 0.55 |
| B2 | 1 | 3.59 | 53.00 | 67.00 | 92.57 | 4.83 | 17.10 | 0.54 |
| B3 | 1 | 12.47 | 66.30 | 79.20 | 92.93 | 5.11 | 18.05 | 0.59 |
| B4 | 1 | 1.70 | 61.20 | 72.90 | 94.16 | 5.50 | 21.35 | 1.05 |
| SIZING SYSTEM | ||||||||
| Passage | Flour | Flour Yield (%) | D [0.5] [µm] | D [4.3] [µm] | Ai (%) | AACC (%) | UCD | Ash (%)dm |
| CL 1 | 1 | 4.97 | 67.30 | 82.40 | 94.07 | 6.04 | 21.10 | 0.48 |
| 2 | 2.21 | 134.70 | 141.80 | 87.88 | 2.65 | 4.55 | 0.49 | |
| 3 | 1.83 | 73.60 | 88.60 | 93.09 | 6.61 | 18.50 | 0.49 | |
| CL 2 | 1 | 5.60 | 95.20 | 106.10 | 92.21 | 4.58 | 16.10 | 0.50 |
| 2 | 3.41 | 152.80 | 158.70 | 85.52 | 2.44 | −1.70 | 0.46 | |
| 3 | 2.33 | 130.30 | 336.80 | 92.00 | 4.44 | 15.60 | 0.52 | |
| CL 3 | 1 | 2.99 | 64.20 | 77.30 | 94.54 | 6.46 | 22.35 | 0.61 |
| CL 4 | 1 | 2.40 | 60.40 | 67.40 | 95.62 | 7.52 | 25.20 | 0.59 |
| REDUCTION SYSTEM | ||||||||
| Passage | Flour | Flour Yield (%) | D [0.5] [µm] | D [4.3] [µm] | Ai (%) | AACC (%) | UCD | Ash (%)dm |
| C 1 | 1 | 3.64 | 96.20 | 102.00 | 92.61 | 4.86 | 17.20 | 0.43 |
| 2 | 4.10 | 158.00 | 164.40 | 86.28 | 2.41 | 0.40 | 0.45 | |
| 3 | 7.21 | 87.70 | 94.60 | 92.40 | 5.59 | 16.65 | 0.42 | |
| C 2 | 1 | 8.62 | 85.30 | 90.90 | 92.64 | 4.99 | 17.25 | 0.45 |
| C 3 | 1 | 7.07 | 83.50 | 87.80 | 92.93 | 7.23 | 18.05 | 0.42 |
| C 4 | 1 | 7.27 | 73.60 | 82.00 | 94.53 | 6.45 | 22.30 | 0.55 |
| C 5 | 1 | 3.31 | 53.10 | 60.40 | 96.78 | 8.80 | 28.30 | 0.73 |
| C 6 | 1 | 0.79 | 63.30 | 71.10 | 97.19 | 8.40 | 29.40 | 1.12 |
| VIBRO SIFTER | ||||||||
| Passage | Flour | Flour Yield (%) | D [0.5] [µm] | D [4.3] [µm] | Ai (%) | AACC (%) | UCD | Ash (%)dm |
| V 1 | 1 | 3.31 | 37.10 | 51.10 | 94.50 | 5.90 | 22.25 | 1.13 |
| V 2 | 2 | 3.58 | 40.60 | 53.80 | 95.97 | 6.84 | 26.10 | 1.28 |
| BREAK SYSTEM | ||||||||
|---|---|---|---|---|---|---|---|---|
| Passage | Flour | Flour Yield (%) | D [0.5] [µm] | D [4.3] [µm] | Ai (%) | AACC (%) | UCD | Ash (%)dm * |
| B1 | 1 | 7.67 | 77.9 | 135.9 | 90.55 | 3.32 | 11.7 | 0.41 |
| B2 | 1 | 10.52 | 70.3 | 82.1 | 91.125 | 3.60 | 13.25 | 0.43 |
| B3 | 1 | 1.28 | 52.6 | 62.3 | 93.48 | 5.92 | 19.5 | 0.41 |
| B4 | 1 | 3.72 | 73.6 | 95.7 | 93.385 | 5.46 | 19.25 | 0.45 |
| B5 | 1 | 1.22 | 39.7 | 52.7 | 95.22 | 7.11 | 24.15 | 0.49 |
| SIZING SYSTEM | ||||||||
| Passage | Flour | Flour Yield (%) | D [0.5] [µm] | D [4.3] [µm] | Ai (%) | AACC (%) | UCD | Ash (%)dm |
| CL 1 | 1 | 3.74 | 75.6 | 212.6 | 93.435 | 5.50 | 19.4 | 1.11 |
| 2 | 1.34 | 143.7 | 149.3 | 85.46 | 2.44 | −1.85 | 0.48 | |
| 3 | 0.88 | 189.4 | 289.1 | 81.47 | 3.44 | −12.45 | 1.11 | |
| CL 2 | 1 | 3.42 | 82 | 132.2 | 92.24 | 4.61 | 16.25 | 0.45 |
| 2 | 1.89 | 170.9 | 197.2 | 82.685 | 2.94 | −9.15 | 0.42 | |
| 3 | 1.93 | 191.3 | 195.7 | 78.55 | 5.22 | −20.25 | 0.36 | |
| CL 3 | 1 | 4.53 | 81.8 | 90.8 | 90.695 | 3.70 | 12.1 | 0.44 |
| 2 | 2.59 | 153.3 | 158.3 | 83.51 | 2.69 | −6.95 | 0.49 | |
| CL 4 | 1 | 2.78 | 90.9 | 96.7 | 90.33 | 3.51 | 11.1 | 0.42 |
| 2 | 2.36 | 148.6 | 154.2 | 84.375 | 2.52 | −4.65 | 1.66 | |
| REDUCTION SYSTEM | ||||||||
| Passage | Flour | Flour Yield (%) | D [0.5] [µm] | D [4.3] [µm] | Ai (%) | AACC (%) | UCD | Ash (%)dm |
| C 1 | 1 | 4.14 | 102.7 | 128.1 | 89.3 | 3.05 | 8.35 | 0.41 |
| 2 | 4.19 | 162.9 | 168.9 | 81.08 | 3.98 | −13.5 | 0.54 | |
| 3 | 4.07 | 177.6 | 183.9 | 79.295 | 4.70 | −18.2 | 0.60 | |
| C 2 | 1 | 2.97 | 93.1 | 139.6 | 90.69 | 3.67 | 12.05 | 0.64 |
| 2 | 3.00 | 155.3 | 160.7 | 83.105 | 2.80 | −8.1 | 1.03 | |
| 3 | 3.50 | 172.4 | 177.8 | 81.485 | 3.41 | 1 | 0.45 | |
| C 3 | 1 | 2.66 | 83.1 | 91.9 | 92.665 | 4.90 | 17.35 | 1.21 |
| 2 | 2.92 | 143.4 | 148.3 | 87.26 | 2.51 | 2.9 | 0.43 | |
| C 4 | 1 | 2.28 | 100.6 | 296.5 | 92.735 | 4.96 | 17.5 | 0.48 |
| 2 | 0.52 | 34.3 | 85.7 | 94.605 | 6.52 | 22.5 | 0.96 | |
| C 5 | 1 | 2.05 | 89.6 | 342.12 | 93.615 | 5.65 | 19.85 | 1.16 |
| 2 | 0.18 | 63.73 | 77.1 | 93.64 | 5.67 | 19.95 | 0.46 | |
| C 6 | 1 | 2.42 | 101.9 | 107.5 | 91.38 | 4.05 | 13.9 | 1.05 |
| 2 | 0.23 | 58.7 | 69.7 | 94.01 | 5.98 | 20.9 | 0.67 | |
| BREAK GRADER | ||||||||
| Passage | Flour | Flour Yield (%) | D [0.5] [µm] | D [4.3] [µm] | Ai (%) | AACC (%) | UCD | Ash (%)dm |
| P 1 | 1 | 1.68 | 111.3 | 117.4 | 88.51 | 2.81 | 6.25 | 1.07 |
| 2 | 1.45 | 162.7 | 169.5 | 81.03 | 3.63 | −13.6 | 0.53 | |
| P 2 | 1 | 0.68 | 118.2 | 123.6 | 88.61 | 2.83 | 6.55 | 0.42 |
| 2 | 0.39 | 162.8 | 167.9 | 81.895 | 3.23 | −11.3 | 0.87 | |
| TAILINGS SYSTEM | ||||||||
| Passage | Flour | Flour Yield (%) | D [0.5] [µm] | D [4.3] [µm] | Ai (%) | AACC (%) | UCD | Ash (%)dm |
| T 1 | 1 | 3.09 | 62.1 | 93.9 | 94.72 | 6.63 | 22.85 | 1.02 |
| VIBRO SIFTER | ||||||||
| Passage | Flour | Flour Yield (%) | D [0.5] [µm] | D [4.3] [µm] | Ai (%) | AACC (%) | UCD | Ash (%)dm |
| V 1 | 1 | 3.15 | 52.1 | 76.2 | 93.23 | 5.33 | 18.85 | 1.64 |
| V 2 | 2 | 4.30 | 89.9 | 102.7 | 92.59 | 4.85 | 17.15 | 0.96 |
| V 3 | 3 | 0.27 | 28.2 | 106.6 | 93.6 | 5.66 | 19.85 | 1.16 |



References
- Li, E.; Dhital, S.; Hasjim, J. Effects of grain milling on starch structures and flour/starch properties. Starch 2014, 66, 15–27. [Google Scholar] [CrossRef]
- Okyere, A.Y.; Bertoft, E.; Annor, G.A. Modification of cereal and tuber waxy starches with radio frequency cold plasma and its effects on waxy starch properties. Carbohydr. Polym. 2019, 223, 115075. [Google Scholar] [CrossRef]
- Ma, S.; Li, L.; Wang, X.X.; Zheng, X.L.; Bian, K.; Bao, Q.D. Effect of mechanically damaged starch from wheat flour on the quality of frozen dough and steamed bread. Food Chem. 2016, 202, 120–124. [Google Scholar] [CrossRef] [PubMed]
- Wang, Q.; Li, L.; Zheng, X. A review of milling damaged starch: Generation, measurement, functionality and its effect on starch-based food systems. Food Chem. 2020, 315, 126267. [Google Scholar] [CrossRef] [PubMed]
- Liu, X.; Li, E.; Jiang, Y.; Tian, Y. Milling Process of Starch. In Physical Modifications of Starch; Springer: Singapore, 2018; pp. 155–174. [Google Scholar]
- Barrera, G.N.; Bustos, M.C.; Iturriaga, L.; Flores, S.K.; León, A.E.; Ribotta, P.D. Effect of damaged starch on the rheological properties of wheat starch suspensions. J. Food Eng. 2013, 116, 233–239. [Google Scholar] [CrossRef]
- González, L.C.; Loubes, M.A.; Tolaba, M.P. Incidence of milling energy on dry-milling attributes of rice starch modified by planetary ball milling. Food Hydrocoll. 2018, 82, 155–163. [Google Scholar] [CrossRef]
- Yu, J.; Wang, S.; Wang, J.; Li, C.; Xin, Q.; Huang, W.; Zhang, Y.; He, Z.; Wang, S. Effect of laboratory milling on properties of starches isolated from different flour millstreams of hard and soft wheat. Food Chem. 2015, 172, 504–514. [Google Scholar] [CrossRef]
- Asmeda, R.; Noorlaila, A.; Norziah, M.H. Relationships of damaged starch granules and particle size distribution with pasting and thermal profiles of milled MR263 rice flour. Food Chem. 2016, 191, 45–51. [Google Scholar] [CrossRef]
- Liu, C.; Li, L.; Hong, J.; Zheng, X.; Bian, K.; Sun, Y.; Zhang, J. Effect of mechanically damaged starch on wheat flour, noodle and steamed bread making quality. Int. J. Food Sci. Technol. 2014, 49, 253–260. [Google Scholar] [CrossRef]
- Deng, L.; Manthey, F.A. Effect of single-pass and multipass milling systems on whole wheat durum flour and whole wheat pasta quality. Cereal Chem. 2017, 94, 963–969. [Google Scholar] [CrossRef]
- KPM Analytics. Available online: https://www.kpmanalytics.com/articles-insights/damaged-starch-impact-on-baking (accessed on 10 September 2024).
- Arya, S.S.; Prajakta, D.S.; Ashish, G.W. Importance of damaged starch in bakery products—A review. Starch 2015, 1, 2019. [Google Scholar]
- Bunn, J. Damaged Starch and Wheat Flour. Assoc. Oper. Millers Bull. 2001, December, 7725–7729. [Google Scholar]
- Posner, E.S.; Hibbs, A.N. Wheat Flour Milling; American Association of Cereal Chemists: St. Paul, MN, USA, 2005. [Google Scholar]
- Bojanić, N.; Fišteš, A.; Rakić, D.; Kolar, S.; Ćurić, B.; Petrović, J. Study on the effects of smooth roll grinding conditions on reduction of wheat middlings using response surface methodology. J. Food Sci. Technol. 2021, 58, 1430–1440. [Google Scholar] [CrossRef] [PubMed]
- Scanlon, M.G.; Dexter, J.E.; Biiliaders, C.G. Particle-size related physical properties of flour produced by smooth roll reduction of hard red spring wheat farina. Cereal Chem. 1988, 65, 486–492. [Google Scholar]
- Evers, A.D.; Stevens, D.J. Production and Measurement of Starch Damage in Flour. Effect of Starch Damage on Hot Pasting Properties. Starch 1984, 36, 309–312. [Google Scholar]
- Ross, A.S.; Kongraksawech, T. Characterizing whole-wheat flours produced using a commercial stone mill, laboratory mills, and household single-stream flour mills. Cereal Chem. 2018, 95, 239–252. [Google Scholar] [CrossRef]
- Iuliana, B.; Georgeta, S.; Violeta, I.; Iuliana, A. Physicochemical and rheological analysis of flour mill streams. Cereal Chem. 2010, 87, 112–117. [Google Scholar] [CrossRef]
- Nkurikiye, E.; Lou, H.; Churchill, F.; Watt, J.; Blodgett, P.; Karkle, E.; Siliveru, K.; Li, Y. Physicochemical, rheological, and baking properties of wheat flours from different mill streams. Cereal Chem. 2024, 101, 468–479. [Google Scholar] [CrossRef]
- Benamara, A.; Dubat, A. Mill Monitoring and Optimization with the CHOPIN Sdmatic; Chopin Technologies: Villeneuve-la-Garenne, France, 2009; pp. 1–5. [Google Scholar]
- Ghodke, S.K.; Ananthanarayan, L.; Rodrigues, L. Use of response surface methodology to investigate the effects of milling conditions on damaged starch, dough stickiness and chapatti quality. Food Chem. 2009, 112, 1010–1015. [Google Scholar] [CrossRef]
- Standard No. 104/1; Determination of Ash in Cereals and Cereal Products. ICC: Vienna, Austria, 1990.
- Standard No. 110/1; Determination of Moisture Content of Cereals and Cereal Products (Practical Method). ICC: Vienna, Austria, 1976.
- Berthelot, M.; La, G.V. SDmatic Mode d’Emploi—User’s Manual—Modo de Empleo—Istruzioni per l’Uso; Chopin Technologies: Villeneuve-la-Garenne, France, 2008; Volume 33, pp. 1–164. [Google Scholar]
- Dubat, A. Collaborative Study Concerned with Measuring Damaged Starch Using an Amperometric Method—Supplemental Material. Cereal Foods World 2007, 52, 6. [Google Scholar] [CrossRef]
- Anderson, M.; Whitcomb, P. DoE Simplified: Practical Tools for Effective Experimentation; Productivity Press: New York, NY, USA, 2007. [Google Scholar]
- Bourré, L.; Frohlich, P.; Young, G.; Borsuk, Y.; Sopiwnyk, E.; Sarkar, A.; Nickerson, M.T.; Ai, Y.; Dyck, A.; Malcolmson, L. Influence of particle size on flour and baking properties of yellow pea, navy bean, and red lentil flours. Cereal Chem. 2019, 96, 655–667. [Google Scholar] [CrossRef]
- Benamara, A.; Dubat, A. Controle et optimisation du moulin avec le SDmatic Chopin. Industires Cereal 2011, 32, 173. [Google Scholar]
- Sakhare, S.D.; Inamdar, A.A. The cumulative ash curve: A best tool to evaluate complete mill performance. J. Food Sci. Technol. 2014, 51, 795–799. [Google Scholar] [CrossRef] [PubMed]
- Thiele, S. Measuring Starch Damage as a Mill Optimization Technique; Kansas State University: Manhattan, KS, USA, 2016. [Google Scholar]
- Inamdar, A.A.; Prabhasankar, P. Influence of Stone Chakki Settings on the Characteristics of Whole Wheat Flour (Atta) and its Chapati Making Quality. J. Food Process. Preserv. 2017, 41, e12966. [Google Scholar] [CrossRef]
- Fistes, A.; Tanovic, G.; Mastilovic, J. Using the eight-roller mill on the front passages of the reduction system. J. Food Eng. 2008, 85, 296–302. [Google Scholar] [CrossRef]
- Fistes, A.; Rakić, D. Using the eight-roller mill in the purifier-less mill flow. J. Food Sci. Technol. 2015, 52, 4661–4668. [Google Scholar] [CrossRef][Green Version]
- Perry, R.H.; Chilton, C.H. Chemical Engineers Handbook, 5th ed.; McGraw Hill: New York, NY, USA, 1973. [Google Scholar]
- Scanlon, M.G.; Dexter, J.E. Effect of Smooth Roll Grinding Conditions on Reduction of Hard Red Spring Wheat Farina. Cereal Chem. 1986, 63, 431–435. [Google Scholar]
- Fistes, A.; Tanovic, G. Effect of Smooth Roll Grinding Conditions on Reduction of Sizings in the Wheat Flour Milling Process. In Focus on Food Engineering Research and Developments; Pletney, V., Ed.; Nova Publishers: Hauppauge, NY, USA, 2007; pp. 453–466. [Google Scholar]




| BREAK SYSTEM | ||||||||||
| Mill A | Mill B | Mill C | ||||||||
| Passage | Flour | Flour yield (%) | Ai (%) | Flour | Flour yield (%) | Ai (%) | Flour | Flour yield (%) | Ai (%) | |
| B1 | 1 | 2.80 | 88.96 | 1 | 7.61 | 91.05 | 1 | 7.67 | 90.55 | |
| 2 | 1.77 | 89.54 | ||||||||
| B2 | 1 | 4.14 | 90.7 | 1 | 3.59 | 92.57 | 1 | 10.52 | 91.12 | |
| 2 | 2.99 | 92.88 | ||||||||
| B3 | 1 | 3.31 | 92.57 | 1 | 12.47 | 92.92 | 1 | 1.28 | 93.48 | |
| 2 | 1.26 | 94.37 | ||||||||
| B4 | 1 | 1.54 | 93.94 | 1 | 1.70 | 94.16 | 1 | 3.72 | 93.38 | |
| B5 | 1 | 1.05 | 95.14 | - | - | 1 | 1.22 | 95.22 | ||
| SIZING SYSTEM | ||||||||||
| Mill A | Mill B | Mill C | ||||||||
| Passage | Flour | Flour yield (%) | Ai (%) | Flour | Flour yield (%) | Ai (%) | Flour | Flour yield (%) | Ai (%) | |
| CL 1 | 1 | 3.13 | 94.73 | 1 | 4.97 | 94.07 | 1 | 3.74 | 93.43 | |
| 2 | 2.46 | 91.54 | 2 | 2.21 | 87.88 | 2 | 1.34 | 85.46 | ||
| 3 | 1.87 | 86.92 | 3 | 1.83 | 93.09 | 3 | 0.88 | 81.47 | ||
| CL 2 | 1 | 3.63 | 94.88 | 1 | 5.60 | 92.21 | 1 | 3.42 | 92.24 | |
| 2 | 13.53 | 86.64 | 2 | 3.41 | 85.515 | 2 | 1.89 | 82.68 | ||
| 3 | 1.43 | 88.47 | 3 | 2.33 | 92 | 3 | 1.93 | 78.55 | ||
| CL 3 | 1 | 3.31 | 96.17 | 1 | 2.99 | 94.54 | 1 | 4.53 | 90.69 | |
| 2 | 2.95 | 91.66 | 2 | 2.59 | 83.51 | |||||
| CL 4 | - | - | - | 1 | 2.40 | 95.615 | 1 | 2.78 | 90.33 | |
| - | - | - | 2 | 2.36 | 84.37 | |||||
| REDUCTION SYSTEM | ||||||||||
| Mill A | Mill B | Mill C | ||||||||
| Passage | Flour | Flour yield (%) | Ai (%) | Flour | Flour yield (%) | Ai (%) | Flour | Flour yield (%) | Ai (%) | |
| C 1 | 1 | 7.29 | 92.18 | 1 | 3.64 | 92.61 | 1 | 4.14 | 89.3 | |
| 2 | 6.25 | 88.14 | 2 | 4.10 | 86.275 | 2 | 4.19 | 81.08 | ||
| 3 | 0.46 | 88.73 | 3 | 7.21 | 92.4 | 3 | 4.07 | 79.29 | ||
| C 2 | 1 | 7.29 | 93.97 | 1 | 8.62 | 92.635 | 1 | 2.97 | 90.69 | |
| 2 | 2.17 | 90.87 | 2 | 3.00 | 83.10 | |||||
| 3 | 3.02 | 85.02 | 3 | 3.50 | 81.48 | |||||
| C 3 | 1 | 4.22 | 95.62 | 1 | 7.07 | 92.93 | 1 | 2.66 | 92.66 | |
| 2 | 1.84 | 93.1 | 2 | 2.92 | 87.26 | |||||
| 3 | 1.41 | 89.91 | - | - | ||||||
| C 4 | 1 | 2.49 | 93.65 | 1 | 7.27 | 94.53 | 1 | 2.28 | 92.73 | |
| 2 | 0.46 | 89.43 | 2 | 0.52 | 94.60 | |||||
| C 5 | 1 | 4.04 | 94.66 | 1 | 3.31 | 96.775 | 1 | 2.05 | 93.61 | |
| 2 | 0.29 | 96.01 | 2 | 0.18 | 93.64 | |||||
| C 6 | 1 | 1.59 | 95.42 | 1 | 0.79 | 97.185 | 1 | 2.42 | 91.38 | |
| 2 | 1.74 | 91.16 | 2 | 0.23 | 94.01 | |||||
| C 7 | 1 | 1.56 | 92.98 | - | - | - | - | - | - | |
| 2 | 0.39 | 90.28 | ||||||||
| BREAK GRADER | ||||||||||
| Mill A | Mill B | Mill C | ||||||||
| Passage | Flour | Flour yield (%) | Ai (%) | Flour | Flour yield (%) | Ai (%) | Flour | Flour yield (%) | Ai (%) | |
| P 1 | - | - | - | - | - | - | 1 | 1.68 | 88.51 | |
| - | - | - | - | - | - | 2 | 1.45 | 81.03 | ||
| P 2 | - | - | - | - | - | - | 1 | 0.68 | 88.61 | |
| - | - | - | 2 | 0.39 | 81.89 | |||||
| TAILINGS SYSTEM | ||||||||||
| Mill A | Mill B | Mill C | ||||||||
| Passage | Flour | Flour yield (%) | Ai (%) | Flour | Flour yield (%) | Ai (%) | Flour | Flour yield (%) | Ai (%) | |
| T 1 | - | - | - | - | - | - | 1 | 3.09 | 94.72 | |
| VIBRO SIFTER | ||||||||||
| Mill A | Mill B | Mill C | ||||||||
| Passage | Flour | Flour yield (%) | Ai (%) | Flour | Flour yield (%) | Ai (%) | Flour | Flour yield (%) | Ai (%) | |
| V 1 | 1 | 0.00 | - | 1 | 3.31 | 94.495 | 1 | 3.15 | 93.23 | |
| V 2 | 2 | 0.04 | 96.83 | 2 | 3.58 | 95.965 | 2 | 4.30 | 92.59 | |
| V 3 | 3 | 2.26 | 96.42 | - | - | - | 3 | 0.27 | 93.6 | |
| Run | Roll Gap [mm] | Feed Rate [kg/cm min] | Roll Speed [n/min] | Ai (%) | UCD | Flour Yield (%) | Energy Consumption [wh/kg] |
|---|---|---|---|---|---|---|---|
| 1 | 0.2 | 0.25 | 600 | 92.22 | 16.2 | 9.44 | 3.67 |
| 2 | 0.35 | 0.25 | 800 | 92.83 | 17.8 | 2.53 | 1.66 |
| 3 | 0.2 | 0.15 | 800 | 92.39 | 16.6 | 13.3 | 5 |
| 4 | 0.05 | 0.25 | 800 | 92.22 | 16.2 | 25.59 | 8 |
| 5 | 0.2 | 0.15 | 400 | 93.16 | 18.7 | 8.82 | 3.33 |
| 6 | 0.2 | 0.35 | 800 | 92.67 | 17.4 | 10.44 | 4.01 |
| 7 | 0.2 | 0.25 | 600 | 92.89 | 17.9 | 9.81 | 3.66 |
| 8 | 0.05 | 0.25 | 400 | 93.13 | 18.6 | 17.62 | 5.66 |
| 9 | 0.2 | 0.25 | 600 | 92.89 | 17.9 | 8.68 | 3.53 |
| 10 | 0.35 | 0.35 | 600 | 93.56 | 19.7 | 0.5 | 1.41 |
| 11 | 0.2 | 0.35 | 400 | 93.38 | 19.2 | 6.23 | 2.59 |
| 12 | 0.2 | 0.25 | 600 | 92.92 | 18 | 9.12 | 3.46 |
| 13 | 0.05 | 0.15 | 600 | 92.12 | 15.9 | 27.61 | 6.67 |
| 14 | 0.35 | 0.25 | 400 | 93.45 | 19.4 | 3.34 | 1.33 |
| 15 | 0.35 | 0.15 | 600 | 93.57 | 19.8 | 3.41 | 1.66 |
| 16 | 0.05 | 0.35 | 600 | 92.45 | 16.8 | 14.72 | 5.43 |
| 17 | 0.2 | 0.25 | 600 | 93.1 | 18.5 | 10.45 | 3.53 |
| Responses | ||||
|---|---|---|---|---|
| R1 | R2 | R3 | R4 | |
| Intercept | ||||
| 93.8869 | 19.08344 | 28.45392361 | 6.3847 | |
| Linear | ||||
| 0.2794 * | 8.39474 * | −101.9944444 * | −16.3080 * | |
| −1.9158 | −2.46272 | −44.99166667 * | −0.2037 * | |
| −0.0024 * | −0.0049375 * | 0.011770833 * | −0.0003 * | |
| Interaction | ||||
| −16.66667 | 166.3333333 * | 16.4352 | ||
| 0.0024 | −0.073166667 * | −0.0167 * | ||
| −0.003375 | −0.0031 | |||
| Quadratic | ||||
| 2.9474 | 8.59649 | 102.9444444 * | 14.49691358 * | |
| 5.8816 | 16.84211 | −25.625 | −10.4375 | |
| 0.00001134 | 0.00000667 | |||
| Lack of fit | 0.7595 | 0.7344 | 0.0204 | 0.0116 |
| 0.7711 | 0.7721 | 0.9809 | 0.9929 | |
| Product | Cookies | Noodles | Crackers | Hearth Bread | Flat Bread | Tortillas | Pan Bread |
|---|---|---|---|---|---|---|---|
| UCD range (approximately) * | 13.7–16.4 | 15–17.5 | 15.8–18.5 | 15.8–20 | 17–20.5 | 19–21 | 19–23 |
| Request | Solution | |||||||||
|---|---|---|---|---|---|---|---|---|---|---|
| No. | Response | Goal | Importance | A | B | C | UCD | Yield | Energy | Desirability |
| 1 | UCD | target = 19.5 | 5 | 0.29 | 0.15 | 400 | 19.50 | 5.58 | 2.21 | 0.66 |
| Yield | maximize | 2 | ||||||||
| Energy | minimize | 1 | ||||||||
| 2 | UCD | target = 19.5 | 5 | 0.26 | 0.15 | 400 | 19.20 | 7.00 | 2.56 | 0.63 |
| Yield | maximize | 3 | ||||||||
| Energy | minimize | 3 | ||||||||
| 3 | UCD | target = 18 | 5 | 0.13 | 0.15 | 400 | 18.00 | 15.68 | 4.52 | 0.80 |
| Yield | maximize | 2 | ||||||||
| Energy | minimize | 1 | ||||||||
| 4 | UCD | target = 18 | 5 | 0.13 | 0.15 | 400 | 18.00 | 15.68 | 4.52 | 0.72 |
| Yield | maximize | 3 | ||||||||
| Energy | minimize | 3 | ||||||||
| 5 | UCD | target = 16 | 5 | 0.12 | 0.15 | 800 | 16.00 | 22.27 | 6.64 | 0.78 |
| Yield | maximize | 2 | ||||||||
| Energy | minimize | 1 | ||||||||
| 6 | UCD | target = 16 | 5 | 0.16 | 0.15 | 800 | 16.34 | 18.01 | 5.71 | 0.64 |
| Yield | maximize | 3 | ||||||||
| Energy | minimize | 3 | ||||||||
| 7 | UCD | in range from 16 to 18 | 5 | 0.05 | 0.15 | 400 | 17.47 | 21.89 | 5.80 | 0.59 |
| Yield | maximize | 2 | ||||||||
| Energy | minimize | 1 | ||||||||
| 8 | UCD | in range from 18 to 19.8 | 5 | 0.13 | 0.15 | 400 | 18.00 | 15.68 | 4.52 | 0.55 |
| Yield | maximize | 2 | ||||||||
| Energy | minimize | 1 | ||||||||
Disclaimer/Publisher’s Note: The statements, opinions and data contained in all publications are solely those of the individual author(s) and contributor(s) and not of MDPI and/or the editor(s). MDPI and/or the editor(s) disclaim responsibility for any injury to people or property resulting from any ideas, methods, instructions or products referred to in the content. |
© 2024 by the authors. Licensee MDPI, Basel, Switzerland. This article is an open access article distributed under the terms and conditions of the Creative Commons Attribution (CC BY) license (https://creativecommons.org/licenses/by/4.0/).
Share and Cite
Bojanić, N.; Rakić, D.; Fišteš, A. Effects of Roller Milling Parameters on Wheat-Flour Damaged Starch: A Comprehensive Passage Analysis and Response-Surface Methodology Optimization. Foods 2024, 13, 3386. https://doi.org/10.3390/foods13213386
Bojanić N, Rakić D, Fišteš A. Effects of Roller Milling Parameters on Wheat-Flour Damaged Starch: A Comprehensive Passage Analysis and Response-Surface Methodology Optimization. Foods. 2024; 13(21):3386. https://doi.org/10.3390/foods13213386
Chicago/Turabian StyleBojanić, Nemanja, Dušan Rakić, and Aleksandar Fišteš. 2024. "Effects of Roller Milling Parameters on Wheat-Flour Damaged Starch: A Comprehensive Passage Analysis and Response-Surface Methodology Optimization" Foods 13, no. 21: 3386. https://doi.org/10.3390/foods13213386
APA StyleBojanić, N., Rakić, D., & Fišteš, A. (2024). Effects of Roller Milling Parameters on Wheat-Flour Damaged Starch: A Comprehensive Passage Analysis and Response-Surface Methodology Optimization. Foods, 13(21), 3386. https://doi.org/10.3390/foods13213386

