Ozonation of Popcorn Kernels: Saturation Kinetics at Different Specific Flow Rates, Control of Aspergillus flavus Infection, and Grain Quality Analysis
Abstract
1. Introduction
2. Materials and Methods
2.1. Popcorn Kernel Samples
2.2. Experimental Procedure
2.2.1. Procedure Prototype
- —average diameter of the particle (mm);
- —water content of the popcorn kernels (on a wet basis);
- and —constants of the model.
2.2.2. Popcorn Kernel Treatment with Ozone Gas
2.2.3. Saturation of Popcorn Kernels with Ozone Gas
- C—ozone gas concentration (mg L−1);
- t—time (min);
- —ozone gas volumetric flow rate (L min−1);
- —airflow cross-section (m2);
- grain layer height (m);
- —grain porosity;
- —total ozone mass injected into the grain mass (g);
- —ozone consumed by the grain mass (g);
- a, b, and c—constants;
- tsat—saturation time (h);
- tres—residence time (min).
2.3. Control of A. flavus in Popcorn Kernels Treated with Ozone
2.3.1. Inoculation of A. flavus into Popcorn Kernels
2.3.2. A. flavus Count
2.4. Popcorn Kernel Quality
2.4.1. Popcorn Kernel Expansion
2.4.2. Water Content
2.4.3. Electrical Conductivity
2.4.4. Color
2.5. Statistical Analysis
3. Results
3.1. Saturation of Popcorn Kernels with Ozone Gas
3.2. Control of A. flavus in Popcorn Kernels with Ozone
3.3. Popcorn Kernel Quality
3.3.1. Popcorn Kernel Expansion
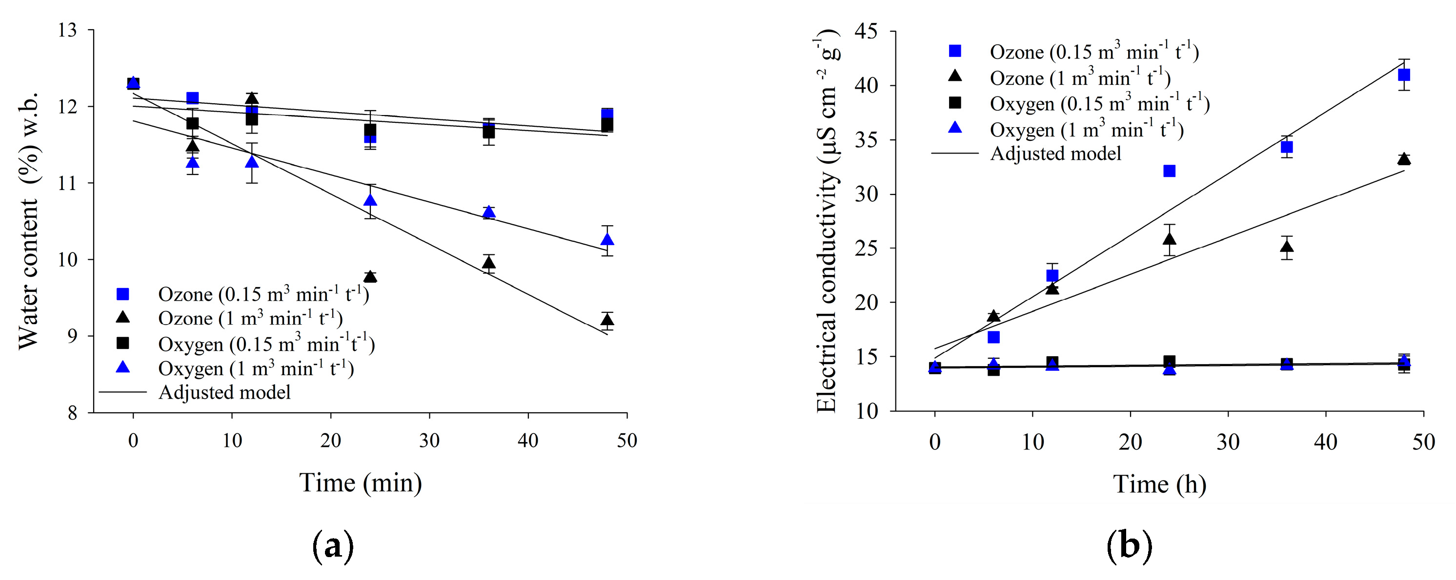
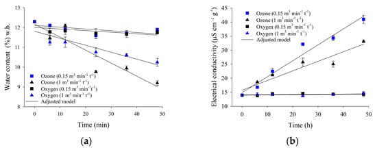
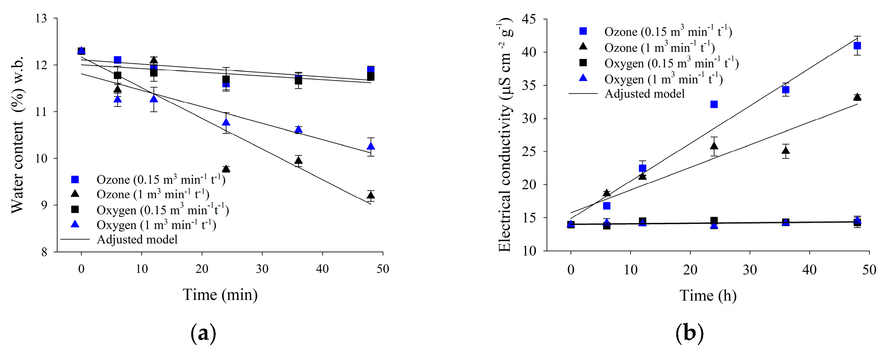
3.3.2. Water Content
3.3.3. Electrical Conductivity
3.3.4. Color
4. Discussion
5. Conclusions
Author Contributions
Funding
Institutional Review Board Statement
Informed Consent Statement
Data Availability Statement
Acknowledgments
Conflicts of Interest
References
- Alconada, T.M.; Moure, M.C. Deterioration of lipids in stored wheat grains by environmental conditions and fungal infection-A review. J. Stored Prod. Res. 2022, 95, 101914. [Google Scholar] [CrossRef]
- Mohapatra, D.; Kumar, S.; Kotwaliwale, N.; Singh, K.K. Critical factors responsible for fungi growth in stored food grains and non-chemical approaches for their control. Ind. Crops Prod. 2017, 108, 162–182. [Google Scholar] [CrossRef]
- Hussein, H.S.; Brasel, J.M. Toxicity, metabolism, and impact of mycotoxins on humans and animals. Toxicology 2001, 167, 101–134. [Google Scholar] [CrossRef]
- Neme, K.; Mohammed, A. Mycotoxin occurrence in grains and the role of postharvest management as a mitigation strategies. A review. Food Control 2017, 78, 412–425. [Google Scholar] [CrossRef]
- Ribeiro, D.F.; Faroni, L.R.D.A.; Pimentel, M.A.G.; Prates, L.H.F.; Heleno, F.F.; De Alencar, E.R. Ozone as a fungicidal and detoxifying agent to maize contaminated with fumonisins. Ozone Sci. Eng. 2022, 44, 38–49. [Google Scholar] [CrossRef]
- Ruyck, K.; De Boevre, M.; Huybrechts, I.; De Saeger, S. Dietary mycotoxins, co-exposure, and carcinogenesis in humans: Short review. Mutat. Res. Rev. Mutat. Res. 2015, 766, 32–41. [Google Scholar] [CrossRef]
- Gizachew, D.; Chang, C.H.; Szonyi, B.; De La Torre, S.; Ting, W.T.E. Aflatoxin B1 (AFB1) production by Aspergillus flavus and Aspergillus parasiticus on ground Nyjer seeds: The effect of water activity and temperature. Int. J. Food Microbiol. 2019, 296, 8–13. [Google Scholar] [CrossRef]
- Coppock, R.W.; Christian, R.G.; Jacobsen, B.J. Aflatoxins. In Veterinary Toxicology; Academic Press: Cambridge, MA, USA, 2018; pp. 983–994. [Google Scholar]
- Ismail, A.; Gonçalves, B.L.; de Neeff, D.V.; Ponzilacqua, B.; Coppa, C.F.; Hintzsche, H.; Sajid, M.; Cruz, A.G.; Corassin, C.H.; Oliveira, C.A. Aflatoxin in foodstuffs: Occurrence and recent advances in decontamination. Food Res. Int. 2018, 113, 74–85. [Google Scholar] [CrossRef]
- Guidance for Industry: Fumonisin Levels in Human Foods and Animal Feeds (2001). Available online: https://www.fda.gov/RegulatoryInformation/Guidances/ucm109231.htm (accessed on 20 August 2024).
- EC. European Comission. Commission Regulation n. 165/2010 of 26 February 2010 amending Regulation EC n. 1881/2006 setting maximum levels for certain contaminants in foodstuffs as regards aflatoxins. Off. J. Eur. Union 2010, 50, 8–12. [Google Scholar]
- BRAZIL. Resolução n° 7, de 18 de Fevereiro de 2011. Dispõe sobre Limites Máximos Tolerados (LMT) Para Micotoxinas em Alimentos. Diário Oficial [da] República Federativa do Brasil. 2011. Available online: https://bvsms.saude.gov.br/bvs/saudelegis/anvisa/2011/res0007_18_02_2011_rep.html (accessed on 10 August 2024).
- Alborch, L.; Bragulat, M.R.; Castellá, G.; Abarca, M.L.; Cabañes, F.J. Mycobiota and mycotoxin contamination of maize flours and popcorn kernels for human consumption commercialized in Spain. Food Microbiol. 2012, 32, 97–103. [Google Scholar] [CrossRef]
- Andrade, G.C.R.M.; Pimpinato, R.F.; Francisco, J.G.; Monteiro, S.H.; Calori-Domingues, M.A.; Tornisielo, V.L. Evaluation of mycotoxins and their estimated daily intake in popcorn and cornflakes using LC-MS techniques. LWT 2018, 95, 240–246. [Google Scholar] [CrossRef]
- Mir, S.A.; Dar, B.N.; Shah, M.A.; Sofi, S.A.; Hamdani, A.M.; Oliveira, C.A.; Moosavi, M.H.; Khaneghah, A.M.; Sant’Ana, A.S. Application of new technologies in decontamination of mycotoxins in cereal grains: Challenges, and perspectives. Food Chem. Toxicol. 2021, 148, 111976. [Google Scholar] [CrossRef]
- Xue, W.; Macleod, J.; Blaxland, J. The use of ozone technology to control microorganism growth, enhance food safety and extend shelf life: A promising food decontamination technology. Foods 2023, 12, 814. [Google Scholar] [CrossRef]
- Korzec, D.; Freund, F.; Bäuml, C.; Penzkofer, P.; Nettesheim, S. Hybrid Dielectric Barrier Discharge Reactor: Characterization for Ozone Production. Plasma 2024, 7, 585–615. [Google Scholar] [CrossRef]
- Uzoma, S.; de Alencar, E.R.; Faroni, L.R.D.A.; de Assis Silva, M.V.; Sitoe, E.D.P.E.; Pandiselvam, R.; Machado, S.G. Association between low-temperature drying and ozonation processes to control pests and preserve maize quality. Food Control 2024, 156, 110119. [Google Scholar] [CrossRef]
- Alencar, E.R.; Faroni, L.R.D.A.; Soares, N.D.F.F.; Silva, W.A.; Carvalho, M.C.S. Efficacy of ozone as a fungicidal and detoxifying agent of aflatoxins in peanuts. J. Sci. Food Agric. 2012, 92, 899–905. [Google Scholar] [CrossRef]
- Savi, G.D.; Gomes, T.; Canever, S.B.; Feltrin, A.C.; Piacentini, K.C.; Scussel, R.; Oliveira, D.; Machado-de-Ávila, R.A.; Cargnin, M.; Angioletto, E. Application of ozone on rice storage: A mathematical modeling of the ozone spread, effects in the decontamination of filamentous fungi and quality attributes. J. Stored Prod. Res. 2020, 87, 101605. [Google Scholar] [CrossRef]
- Oliveira, J.M.; Alencar, E.R.; Blum, L.E.B.; Ferreira, W.F.S.; Botelho, S.D.C.C.; Racanicci, A.M.C.; Leandro, E.S.; Mendonça, M.A.; Moscon, E.S.; Bizerra, L.V.A.S.; et al. Ozonation of Brazil nuts: Decomposition kinetics, control of Aspergillus flavus and the effect on color and on raw oil quality. LWT 2020, 123, 109106. [Google Scholar] [CrossRef]
- Mendez, F.; Maier, D.E.; Mason, L.J.; Woloshuk, C.P. Penetration of ozone into columns of stored grains and effects on chemical composition and processing performance. J. Stored Prod. Res. 2003, 39, 33–44. [Google Scholar] [CrossRef]
- Hardin, J.A.; Jones, C.L.; Bonjour, E.L.; Noyes, R.T.; Beeby, R.L.; Eltiste, D.A.; Decker, S. Ozone fumigation of stored grain; closed-loop recirculation and the rate of ozone consumption. J. Stored Prod. Res. 2010, 46, 149–154. [Google Scholar] [CrossRef]
- Silva, M.V.A.; Faroni, L.R.A.; Martins, M.A.; Sousa, A.H.; Bustos-Vanegas, J.D. CFD simulation of ozone gas flow for controlling Sitophilus zeamais in rice grains. J. Stored Prod. Res. 2020, 88, 101675. [Google Scholar] [CrossRef]
- EN, B 1-7: 2006; Eurocode 1: Actions on Structures: Part 1-7: General Actions-Accidental Actions. British Standards Institution: London, UK, 1991.
- Mehta, D.; Hawley, M.C. Wall effect in packed columns. Ind. Eng. Chem. Process Des. Dev. 1969, 8, 280–282. [Google Scholar] [CrossRef]
- Cohen, Y.; Metzner, A.B. Wall effects in laminar flow of fluids through packed beds. AIChE J. 1981, 27, 705–715. [Google Scholar] [CrossRef]
- Karababa, E. Physical properties of popcorn kernels. J. Food Eng. 2006, 72, 100–107. [Google Scholar] [CrossRef]
- Rakness, K.; Gordon, G.; Langlais, B.; Masschelein, W.; Matsumoto, N.; Richard, Y.; Robson, C.M.; Somiya, I. Guideline for measurement of ozone concentration in the process gas from an ozone generator. Ozone Sci. Eng. 1996, 18, 209–229. [Google Scholar] [CrossRef]
- Weber, É.A. Exelência em Beneficiamento e Armazenagem de Grãos; Salles: Canoas, Brazil, 2005. [Google Scholar]
- Kaliyan, N.; Morey, R.V.; Wilcke, W.F.; Carrillo, M.A.; Cannon, C.A. Low-temperature aeration to control Indianmeal moth, Plodia interpunctella (Hübner), in stored grain in twelve locations in the United States: A simulation study. J. Stored Prod. Res. 2007, 43, 177–192. [Google Scholar] [CrossRef]
- Olatunde, G.; Atungulu, G.G.; Sadaka, S. CFD modeling of air flow distribution in rice bin storage system with different grain mass configurations. Biosyst. Eng. 2016, 151, 286–297. [Google Scholar] [CrossRef]
- Jayas, D.S.; White, N.D. Storage and drying of grain in Canada: Low-cost approaches. Food Control 2003, 14, 255–261. [Google Scholar] [CrossRef]
- Van Leeuwen, J. Proposed OS&E requirement: Measuring ozone dosage. Ozone Sci. Eng. 2015, 37, 191–192. [Google Scholar] [CrossRef]
- Venegas, J.G.; Harris, R.S.; Simon, B.A. A comprehensive equation for the pulmonary pressure-volume curve. J. Appl. Physiol. 1998, 84, 389–395. [Google Scholar] [CrossRef]
- Pitt, J.I.; Hocking, A.D. Fungi and Food Spoilage; Springer: New York, NY, USA, 2009; Volume 519, p. 388. [Google Scholar]
- Pitt, J.I.; Hocking, A.D.; Glenn, D.R. An improved medium for the detection of Aspergillus flavus and A. parasiticus. J. Appl. Bacteriol. 1983, 54, 109–114. [Google Scholar] [CrossRef]
- Silva, M.V.D.A.; Faroni, L.R.D.A.; Alencar, E.R.; Sousa, A.H.; Cecon, P.R.; Nogueira, J.V.F.; Mason Filho, V. Ozone Injection at Low Pressure: Decomposition Kinetics, Control of Sitophilus zeamais, and Popcorn Kernel Quality. Ozone Sci. Eng. 2022, 44, 66–78. [Google Scholar] [CrossRef]
- García-Pinilla, S.; Gutiérrez-López, G.F.; Hernández-Sánchez, H.; Cáez-Ramírez, G.; García-Armenta, E.; Alamilla-Beltrán, L. Quality parameters and morphometric characterization of hot-air popcorn as related to moisture content. Dry. Technol. 2021, 39, 77–89. [Google Scholar] [CrossRef]
- ASAE-American Society of Agricultural Engineers. Moisture Measurement-Unground Grain and Seeds; Standards; ASAE-American Society of Agricultural Engineers: St. Joseph, MI, USA, 2000; p. 563. [Google Scholar]
- Vieira, R.D.; Tekrony, D.M.; Egli, D.B.; Rucker, M. Electrical conductivity of soybean seeds after storage in several environments. Seed Sci. Technol. 2001, 29, 599–608. [Google Scholar]
- Systat Software. SigmaPlot for Windows, Version 12.0.; Systat: Chicago, IL, USA, 2011. [Google Scholar]
- Silva, M.V.A.; Faroni, L.R.A.; Sousa, A.H.; Prates, L.H.F.; Abreu, A.O. Kinetics of the ozone gas reaction in popcorn kernels. J. Stored Prod. Res. 2019, 83, 168–175. [Google Scholar] [CrossRef]
- McKenzie, K.S.; Sarr, A.B.; Mayura, K.; Bailey, R.H.; Miller, D.R.; Rogers, T.D.; Norred, W.P.; Voss, K.A.; Plattner, R.D.; Kubena, L.F.; et al. Oxidative degradation and detoxification of mycotoxins using a novel source of ozone. Food Chem. Toxicol. 1997, 35, 807–820. [Google Scholar] [CrossRef]
- Rositano, J.; Nicholson, B.C.; Pieronne, P. Destruction of cyanobacterial toxins by ozone. Ozone Sci. Eng. 1998, 20, 223–238. [Google Scholar] [CrossRef]
- Parsons, S. Advanced Oxidation Processes for Water and Wastewater Treatment; IWA Publishing: London, UK, 2004. [Google Scholar]
- Ferreira, W.F.D.S.; Alencar, E.R.; Blum, L.E.B.; Ferreira, M.D.A.; Mendonca, M.A.; Racanicci, A.M.C.; Urruchi, W.M.I. Ozonation of Brazil nuts in aqueous media at different ph levels: Ozone decomposition, Aspergillus flavus inactivation, and effects on nut color and crude oil lipid profile. Ozone Sci. Eng. 2021, 43, 351–362. [Google Scholar] [CrossRef]
- Wu, J.; Doan, H.; Cuenca, M.A. Investigation of gaseous ozone as an anti-fungal fumigant for stored wheat. J. Chem. Technol. Biotechnol. Int. Res. Process Environ. Clean Technol. 2006, 81, 1288–1293. [Google Scholar] [CrossRef]
- Luz, S.R.; Villanova, F.A.; Rockembach, C.T.; Ferreira, C.D.; Dallagnol, L.J.; Monks, J.L.F.; Oliveira, M. Reduced of mycotoxin levels in parboiled rice by using ozone and its effects on technological and chemical properties. Food Chem. 2022, 372, 131174. [Google Scholar] [CrossRef]
- Wen, G.; Liang, Z.; Xu, X.; Cao, R.; Wan, Q.; Ji, G.; Lin, W.; Wang, J.; Yang, J.; Huang, T. Inactivation of fungal spores in water using ozone: Kinetics, influencing factors and mechanisms. Water Res. 2020, 185, 116218. [Google Scholar] [CrossRef]
- Liang, Z.; Xu, X.; Cao, R.; Wan, Q.; Xu, H.; Wang, J.; Lin, Y.; Huang, T.; Wen, G. Synergistic effect of ozone and chlorine on inactivating fungal spores: Influencing factors and mechanisms. J. Hazard. Mater. 2021, 420, 126610. [Google Scholar] [CrossRef]
- Gökmen, S. Effects of moisture content and popping method on popping characteristics of popcorn. J. Food Eng. 2004, 65, 357–362. [Google Scholar] [CrossRef]
- Pohndorf, R.S.; Lang, G.H.; Ferreira, C.D.; Ziegler, V.; Goebel, J.T.; Oliveira, M. Kinetic evaluation and optimization of red popcorn grain drying: Influence of the temperature and air velocity on the expansion properties and β-carotene content. J. Food Process Eng. 2019, 42, e13204. [Google Scholar] [CrossRef]
- MAPA. Normative Instruction Nº 61. Brazilian National Ministry of Agriculture, Livestock, and Supply MAPA (22 December 2011). Available online: https://sistemasweb.agricultura.gov.br/sislegis/action/detalhaAto.do?method=visualizarAtoPortalMapa&chave=263800632 (accessed on 20 August 2024).
- Sweley, J.C.; Rose, D.J.; Jackson, D.S. Quality traits and popping performance considerations for popcorn (Zea mays everta). Food Rev. Int. 2013, 29, 157–177. [Google Scholar] [CrossRef]
- Incropera, F.P.; DeWitt, D.P.; Bergman, T.L.; Lavine, A.S. Fundamentals of Heat and Mass Transfer; Wiley: New York, NY, USA, 1996; Volume 6. [Google Scholar]
- Uddin, Z.; Suppakul, P.; Boonsupthip, W. Effect of air temperature and velocity on moisture diffusivity in relation to physical and sensory quality of dried pumpkin seeds. Dry. Technol. 2016, 34, 1423–1433. [Google Scholar] [CrossRef]
- Fessel, A.S.; Vieira, R.D.; Cruz, M.C.P.D.; Paula, R.C.D.; Panobianco, M. Electrical conductivity testing of corn seeds as influenced by temperature and period of storage. Pesqui. Agropecu. Bras. 2006, 41, 1551–1559. [Google Scholar] [CrossRef]
- Paraginski, R.T.; Souza, N.L.; Alves, G.H.; Ziegler, V.; Oliveira, M.; Elias, M.C. Sensory and nutritional evaluation of popcorn kernels with yellow, white and red pericarps expanded in different ways. J. Cereal Sci. 2016, 69, 383–391. [Google Scholar] [CrossRef]
- Cañizares, L.D.C.C.; Silva Timm, N.; Ramos, A.H.; Neutzling, H.P.; Ferreira, C.D.; Oliveira, M. Effects of moisture content and expansion method on the technological and sensory properties of white popcorn. Int. J. Gastron. Food Sci. 2020, 22, 100282. [Google Scholar] [CrossRef]
- Marston, K.; Khouryieh, H.; Aramouni, F. Evaluation of sorghum flour functionality and quality characteristics of gluten-free bread and cake as influenced by ozone treatment. Food Sci. Technol. Int. 2015, 21, 631–640. [Google Scholar] [CrossRef]
- Zhu, F. Effect of ozone treatment on the quality of grain products. Food Chem. 2018, 264, 358–366. [Google Scholar] [CrossRef]







| Specific Flow Rate (m3 min−1 t−1) | Adjusted Equations | (min) | (h) | (mg L−1) | (g) | R2 | SEE |
|---|---|---|---|---|---|---|---|
| 0.15 | 6.72 | 3.59 | 8.59 | 18.43 | 0.96 | 0.59 | |
| 1.0 | 1.12 | 0.88 | 15.44 | 138.24 | 0.84 | 1.40 |
| Specific Flow Rate (m3 min−1 t−1) | Adjusted Equations | R2 | SEE |
|---|---|---|---|
| 0.15 | 0.99 | 0.15 | |
| 1.0 | 0.97 | 0.37 |
| Specific Flow Rate (m3 min−1 t−1) | With Surface Disinfection | Without Surface Disinfection | ||
|---|---|---|---|---|
| Adjusted Equations | R2 | Adjusted Equations | R2 | |
| 0.15 | 0.99 | 0.99 | ||
| 1.0 | 0.99 | 0.96 | ||
| Specific Flow Rate (m3 min−1 t−1) | Control (O2) | Ozone (O3) | ||||
|---|---|---|---|---|---|---|
| Adjusted Equations | R2 | SEE | Adjusted Equations | R2 | SEE | |
| Popcorn kernel expansion | ||||||
| Expansion volume | ||||||
| 0.15 | - | - | - | - | ||
| 1.0 | 0.85 | 0.96 | 0.93 | 1.26 | ||
| Flake volume | ||||||
| 0.15 | - | - | - | - | ||
| 1.0 | 0.90 | 0.12 | 0.90 | 0.26 | ||
| Percentage of unpopped kernels | ||||||
| 0.15 | - | - | - | - | ||
| 1.0 | - | - | - | - | ||
| Water content | ||||||
| 0.15 | - | - | - | - | ||
| 1.0 | 0.83 | 0.33 | 0.85 | 0.57 | ||
| Electrical conductivity | ||||||
| 0.15 | - | - | 0.96 | 2.18 | ||
| 1.0 | - | - | 0.91 | 2.16 | ||
| Popcorn kernel color | ||||||
| Color hue (h*) | ||||||
| 0.15 | - | - | - | - | ||
| 1.0 | - | - | - | - | ||
| Color saturation (C*) | ||||||
| 0.15 | - | - | - | - | ||
| 1.0 | - | - | - | - | ||
| Color difference (ΔE*) | ||||||
| 0.15 | - | - | - | - | ||
| 1.0 | - | - | - | - | ||
Disclaimer/Publisher’s Note: The statements, opinions and data contained in all publications are solely those of the individual author(s) and contributor(s) and not of MDPI and/or the editor(s). MDPI and/or the editor(s) disclaim responsibility for any injury to people or property resulting from any ideas, methods, instructions or products referred to in the content. |
© 2024 by the authors. Licensee MDPI, Basel, Switzerland. This article is an open access article distributed under the terms and conditions of the Creative Commons Attribution (CC BY) license (https://creativecommons.org/licenses/by/4.0/).
Share and Cite
Silva, M.V.A.; Faroni, L.R.D.; de Alencar, E.R.; Viana, J.M.S.; Sitoe, E.d.P.E.; Salvador, D.V.; Mason Filho, V.; Magalhães, C.G. Ozonation of Popcorn Kernels: Saturation Kinetics at Different Specific Flow Rates, Control of Aspergillus flavus Infection, and Grain Quality Analysis. Foods 2024, 13, 3301. https://doi.org/10.3390/foods13203301
Silva MVA, Faroni LRD, de Alencar ER, Viana JMS, Sitoe EdPE, Salvador DV, Mason Filho V, Magalhães CG. Ozonation of Popcorn Kernels: Saturation Kinetics at Different Specific Flow Rates, Control of Aspergillus flavus Infection, and Grain Quality Analysis. Foods. 2024; 13(20):3301. https://doi.org/10.3390/foods13203301
Chicago/Turabian StyleSilva, Marcus Vinícius Assis, Lêda Rita D’Antonino Faroni, Ernandes Rodrigues de Alencar, José Marcelo Soriano Viana, Eugénio da Piedade Edmundo Sitoe, Davi Vittorazzi Salvador, Vivaldo Mason Filho, and Carollayne Gonçalves Magalhães. 2024. "Ozonation of Popcorn Kernels: Saturation Kinetics at Different Specific Flow Rates, Control of Aspergillus flavus Infection, and Grain Quality Analysis" Foods 13, no. 20: 3301. https://doi.org/10.3390/foods13203301
APA StyleSilva, M. V. A., Faroni, L. R. D., de Alencar, E. R., Viana, J. M. S., Sitoe, E. d. P. E., Salvador, D. V., Mason Filho, V., & Magalhães, C. G. (2024). Ozonation of Popcorn Kernels: Saturation Kinetics at Different Specific Flow Rates, Control of Aspergillus flavus Infection, and Grain Quality Analysis. Foods, 13(20), 3301. https://doi.org/10.3390/foods13203301

