RSM-Based Optimization Analysis for Cold Plasma and Ultrasound-Assisted Drying of Caraway Seed
Abstract
1. Introduction
2. Materials and Methods
2.1. Material
2.2. CP Pretreatment
2.3. Main Drying Procedure
2.4. Drying Kinetics and Physical Characterization
2.4.1. Drying Time (DT) Determination
2.4.2. Determination of Effective Moisture Diffusivity (Deff)
2.4.3. Determination of Specific Energy Consumption (SEC)
2.4.4. Determination of Color Change (ΔE)
2.4.5. Determintion of Rupture Force (RF)
2.5. Biochemical Characterization
2.5.1. Extract Preparation
2.5.2. Determination of Total Phenolic Content (TPC)
2.5.3. Determination of Total Flavonoid Content (TFC)
2.5.4. DPPH Assay
2.6. Response Surface Methodology (RSM)
2.6.1. Experimental Design and Data Collection
2.6.2. The Regression Analysis for the Experimental Data
2.6.3. Modeling and Optimization
- The responses (dependent variables) are a function of the independent variables, often represented by a polynomial model, typically a second-order polynomial.
- The independent variables are continuous and can take on any value within a specified range. They are also assumed to be independent of each other, meaning the effect of one factor does not depend on the levels of other factors.
- The error term (residuals) is normally distributed with a mean of zero and constant variance.
- The model typically includes linear and quadratic terms to capture the curvature in the response surface, and interaction terms may also be included to account for the combined effect of two or more input variables.
2.6.4. Validation
2.7. Statistical Analysis
3. Results and Discussion
3.1. Statistical Analysis Results
3.2. Drying Time (DT)
3.3. Effective Moisture Diffusivity (Deff)
3.4. Specific Energy Consumption (SEC)
3.5. Total Color Change (ΔE)
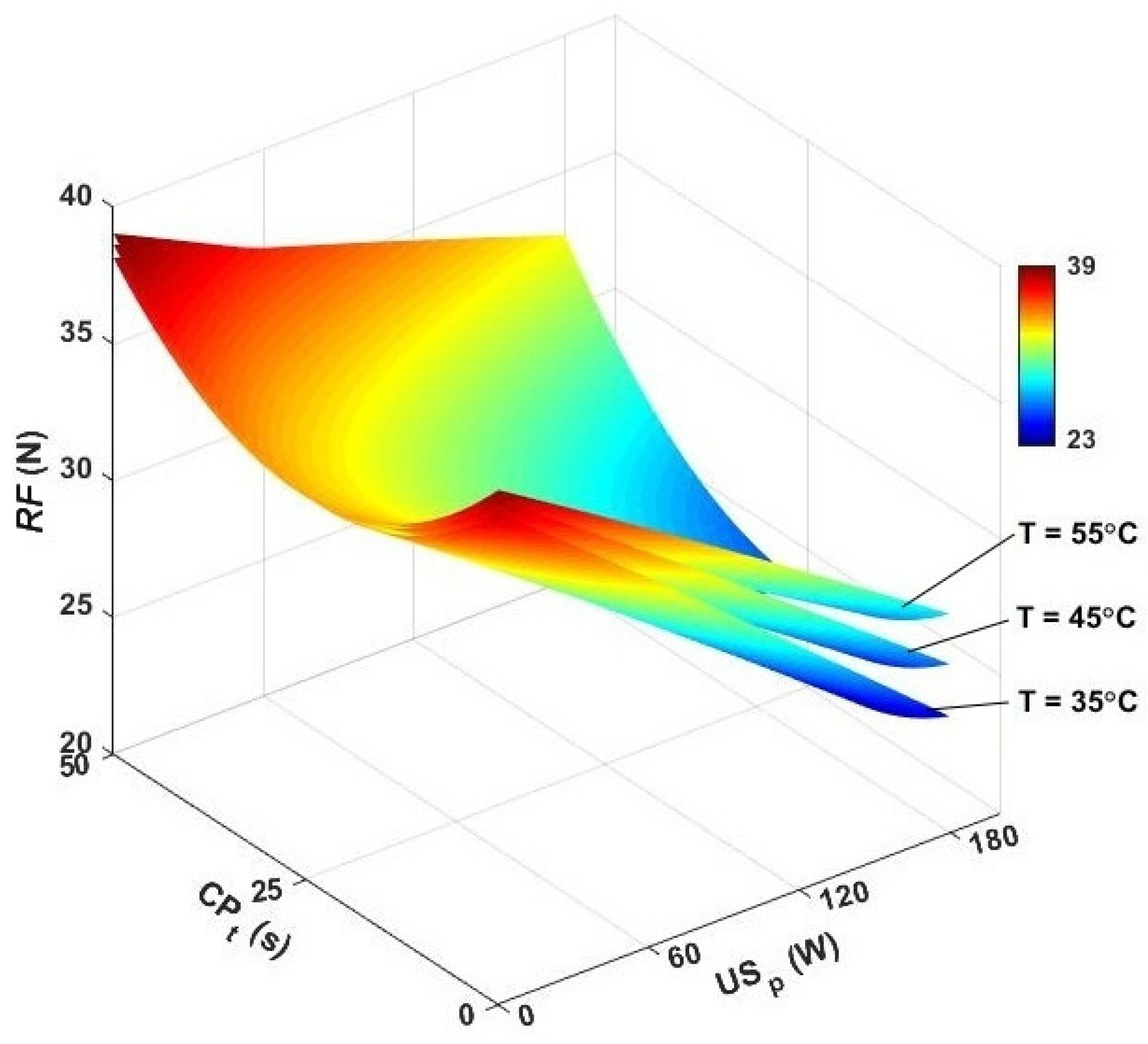
3.6. Rupture Force (RF)
3.7. Total Phenolic Content (TPC)
3.8. Total Flavonoid Content (TFC)
3.9. Antioxidant Activity
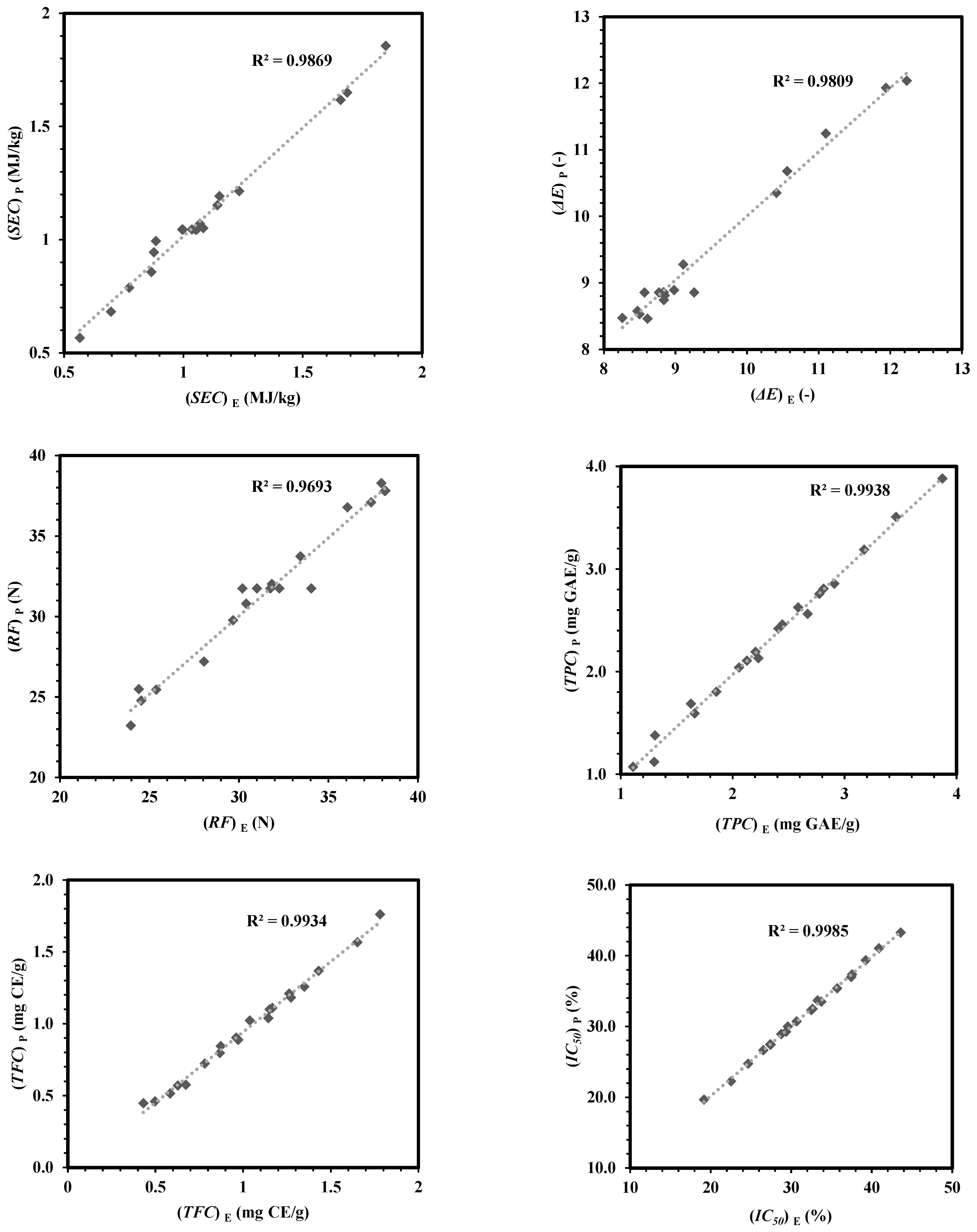
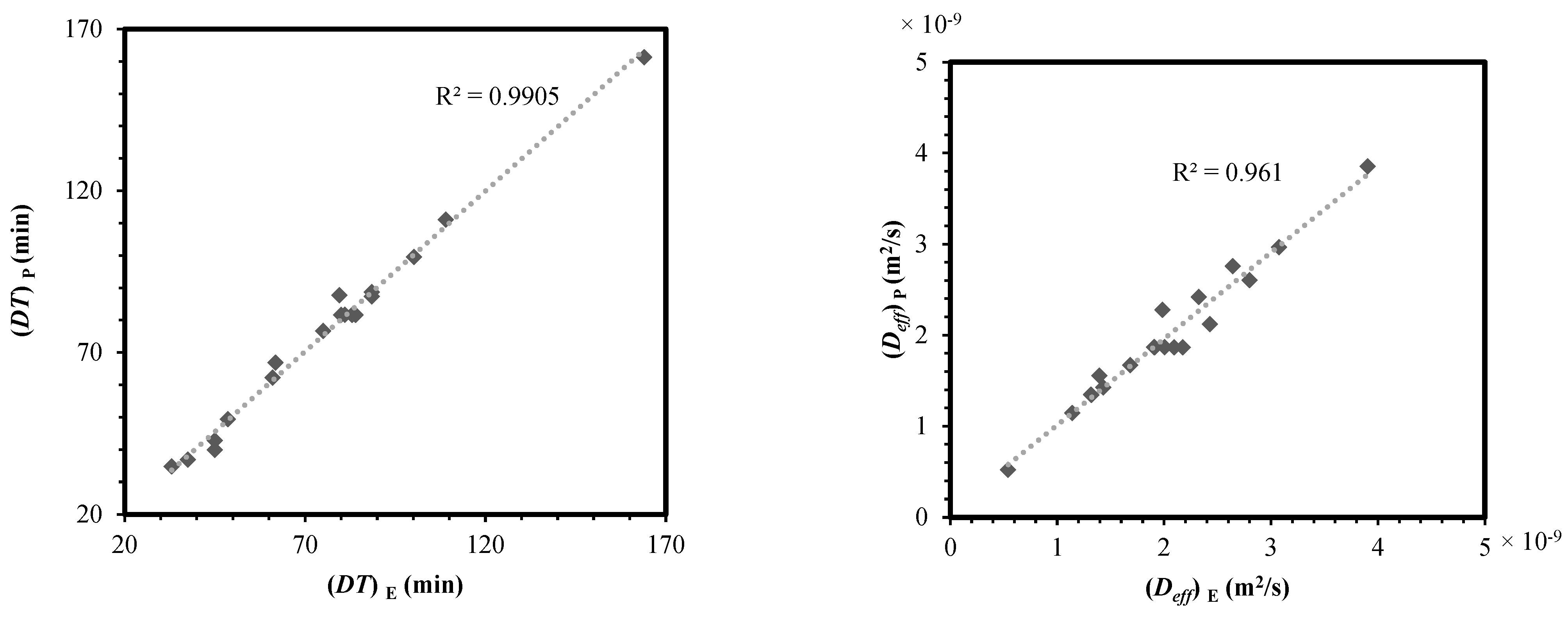
3.10. RSM-Based Modeling and Optimization
4. Conclusions
Author Contributions
Funding
Institutional Review Board Statement
Informed Consent Statement
Data Availability Statement
Conflicts of Interest
References
- Choudhary, A.K.; Chakraborty, S.; Kumari, S.; Hazarika, M.K. Feed forward neural network and its reverse mapping aspects for the simulation of ginger drying kinetics. Agric. Eng. Int. CIGR J. 2022, 24, 1–7. [Google Scholar]
- Siddiqui, S.I.; Chaudhry, S.A. Nigella sativa plant based nanocomposite-MnFe2O4/BC: An antibacterial material for water purification. J. Clean. Prod. 2018, 200, 996–1008. [Google Scholar] [CrossRef]
- Fatima, T.; Beenish, N.B.; Gani, G.; Qadri, T.; Bhat, T.A. Antioxidant potential and health benefits of cumin. J. Med. Plants Stud. 2018, 6, 232–236. [Google Scholar]
- Nadeem, M.; Riaz, A. Cumin (Cuminum cyminum) as a potential source of antioxidants. Pak. J. Food Sci. 2012, 22, 101–107. [Google Scholar]
- Namjoo, M.; Moradi, M.; Niakousari, M. Evaluation of the effect of high-power ultrasound waves on conventional air drying of cumin seeds. Sustain. Energy Technol. Assess. 2022, 52, 102262. [Google Scholar] [CrossRef]
- Jin, W.; Zhang, M.; Shi, W.; Mujumdar, A.S. Recent Developments in High-Quality Drying of Herbs and Spices. Herbs Spices Med. Plants Process. Health Benefits Saf. 2020, 13, 45–68. [Google Scholar]
- El-Ghorab, A.H.; Nauman, M.; Anjum, F.M.; Hussain, S.; Nadeem, M. A comparative study on chemical composition and antioxidant activity of ginger (Zingiber officinale) and cumin (Cuminum cyminum). J. Agric. Food Chem. 2010, 58, 8231–8237. [Google Scholar] [CrossRef]
- Guo, Y.-R.; An, Y.-M.; Jia, Y.-X.; Xu, J.-G. Effect of drying methods on chemical composition and biological activity of essential oil from cumin (Cuminum cyminum L.). J. Essent. Oil Bear. Plants 2018, 21, 1295–1302. [Google Scholar] [CrossRef]
- Sarkar, T.; Salauddin, M.; Hazra, S.K.; Chakraborty, R. Artificial neural network modelling approach of drying kinetics evolution for hot air oven, microwave, microwave convective and freeze dried pineapple. SN Appl. Sci. 2020, 2, 1621. [Google Scholar] [CrossRef]
- Nwankwo, C.S.; Okpomor, E.O.; Dibagar, N.; Wodecki, M.; Zwierz, W.; Figiel, A. Recent developments in the hybridization of the freeze-drying technique in food dehydration: A review on chemical and sensory qualities. Foods 2023, 12, 3437. [Google Scholar] [CrossRef]
- Alaei, B.; Dibagar, N.; Chayjan, R.A.; Kaveh, M.; Taghinezhad, E. The effect of short and medium infrared radiation on some drying and quality characteristics of quince slices under vacuum condition. Qual. Assur. Saf. Crops Foods 2018, 10, 371–381. [Google Scholar] [CrossRef]
- Balbay, A.; Kaya, Y.; Şahin, Ö. Drying of black cumin (Nigella sativa) in a microwave assisteddrying system and modeling using extreme learning machine. Energy 2012, 44, 352–357. [Google Scholar] [CrossRef]
- Junka, N.; Rattanamechaiskul, C. Mathematical modelling to control fungal growth in paddy dried using fluidisation. Biosyst. Eng. 2021, 204, 312–325. [Google Scholar] [CrossRef]
- Moreno, Á.H.; Aguirre, Á.J.; Maqueda, R.H.; Jiménez, G.J.; Miño, C.T. Effect of temperature on the microwave drying process and the viability of amaranth seeds. Biosyst. Eng. 2022, 215, 49–66. [Google Scholar] [CrossRef]
- Musielak, G.; Mierzwa, D.; Kroehnke, J. Food drying enhancement by ultrasound—A review. Trends Food Sci. Technol. 2016, 56, 126–141. [Google Scholar] [CrossRef]
- Bao, T.; Hao, X.; Shishir, M.R.I.; Karim, N.; Chen, W. Cold plasma: An emerging pretreatment technology for the drying of jujube slices. Food Chem. 2021, 337, 127783. [Google Scholar] [CrossRef]
- Hertwig, C.; Meneses, N.; Mathys, A. Cold atmospheric pressure plasma and low energy electron beam as alternative nonthermal decontamination technologies for dry food surfaces: A review. Trends Food Sci. Technol. 2018, 77, 131–142. [Google Scholar] [CrossRef]
- Gavahian, M.; Nayi, P.; Masztalerz, K.; Szumny, A.; Figiel, A. Cold plasma as an emerging energy-saving pretreatment to enhance food drying: Recent advances, mechanisms involved, and considerations for industrial applications. Trends Food Sci. Technol. 2023, 143, 104210. [Google Scholar] [CrossRef]
- Namjoo, M.; Moradi, M.; Dibagar, N.; Taghvaei, M.; Niakousari, M. Effect of green technologies of cold plasma and airborne ultrasound wave on the germination and growth indices of cumin (Cuminum cyminum L.) seeds. J. Food Process Eng. 2022, 45, e14166. [Google Scholar] [CrossRef]
- Shi, H.; Ileleji, K.; Stroshine, R.L.; Keener, K.; Jensen, J.L. Reduction of aflatoxin in corn by high voltage atmospheric cold plasma. Food Bioprocess. Technol. 2017, 10, 1042–1052. [Google Scholar] [CrossRef]
- Dong, X.Y.; Yang, Y.L. A novel approach to enhance blueberry quality during storage using cold plasma at atmospheric air pressure. Food Bioprocess. Technol. 2019, 12, 1409–1421. [Google Scholar] [CrossRef]
- Wang, H.; Guo, X.; Hu, X.; Li, T.; Fu, X.; Liu, R.H. Comparison of phytochemical profiles, antioxidant and cellular antioxidant activities of different varieties of blueberry (Vaccinium spp.). Food Chem. 2017, 217, 773–781. [Google Scholar] [CrossRef]
- Loureiro, A.d.C.; Souza, F.d.C.d.A.; Sanches, E.A.; Bezerra, J.d.A.; Lamarão, C.V.; Rodrigues, S.; Fernandes, F.A.; Campelo, P.H. Cold plasma technique as a pretreatment for drying fruits: Evaluation of the excitation frequency on drying process and bioactive compounds. Food Res. Int. 2021, 147, 110462. [Google Scholar] [CrossRef]
- Miraei Ashtiani, S.-H.; Rafiee, M.; Mohebi Morad, M.; Khojastehpour, M.; Khani, M.R.; Rohani, A.; Shokri, B.; Martynenko, A. Impact of gliding arc plasma pretreatment on drying efficiency and physicochemical properties of grape. Innov. Food Sci. Emerg. Technol. 2020, 63, 102381. [Google Scholar] [CrossRef]
- Li, S.; Chen, S.; Han, F.; Xv, Y.; Sun, H.; Ma, Z.; Chen, J.; Wu, W. Development and optimization of cold plasma pretreatment for drying on corn kernels. J. Food Sci. 2019, 84, 2181–2189. [Google Scholar] [CrossRef] [PubMed]
- Shishir, M.R.I.; Karim, N.; Bao, T.; Gowd, V.; Ding, T.; Sun, C.; Chen, W. Cold plasma pretreatment—A novel approach to improve the hot air drying characteristics, kinetic parameters, and nutritional attributes of shiitake mushroom. Dry. Technol. 2020, 38, 2134–2150. [Google Scholar] [CrossRef]
- Ebadi, M.T.; Abbasi, S.; Harouni, A.; Sefidkon, F. Effect of cold plasma on essential oil content and composition of Lemon verbena. Food Sci. Nutr. 2019, 7, 1166–1171. [Google Scholar] [CrossRef] [PubMed]
- Huang, C.C.; Wu, J.S.B.; Wu, J.S.; Ting, Y. Effect of novel atmospheric-pressure jet pretreatment on the drying kinetics and quality of white grapes. J. Sci. Food Agric. 2019, 99, 5102–5111. [Google Scholar] [CrossRef]
- Tabibian, S.A.; Labbafi, M.; Askari, G.H.; Rezaeinezhad, A.R.; Ghomi, H. Effect of gliding arc discharge plasma pretreatment on drying kinetic, energy consumption and physico-chemical properties of saffron. J. Food Eng. 2020, 270, 109–117. [Google Scholar] [CrossRef]
- Zhang, X.-L.; Zhong, C.-S.; Mujumdar, A.S.; Yang, X.-H.; Deng, L.-Z.; Wang, J.; Xiao, H.-W. Cold plasma pretreatment enhances drying kinetics and quality attributes of chili pepper (Capsicum annuum L.). J. Food Eng. 2019, 241, 51–57. [Google Scholar] [CrossRef]
- Zhou, Y.-H.; Vidyarthi, S.K.; Zhong, C.-S.; Zheng, Z.-A.; An, Y.; Wang, J.; Wei, Q.; Xiao, H.-W. Cold plasma enhances drying and color, rehydration ratio and polyphenols of wolfberry via microstructure and ultrastructure alteration. LWT 2020, 134, 110173. [Google Scholar] [CrossRef]
- Huang, D.; Men, K.; Li, D.; Wen, T.; Gong, Z.; Sunden, B.; Wu, Z. Application of ultrasound technology in the drying of food products. Ultrason. Sonochemistry 2020, 63, 104950. [Google Scholar] [CrossRef] [PubMed]
- Miraei Ashtiani, S.-H.; Rafiee, M.; Mohebi Morad, M.; Martynenko, A. Cold plasma pretreatment improves the quality and nutritional value of ultrasound-assisted convective drying: The case of goldenberry. Dry. Technol. 2022, 40, 1639–1657. [Google Scholar] [CrossRef]
- Namjoo, M.; Moradi, M.; Dibagar, N.; Niakousari, M. Cold plasma pretreatment prior to ultrasound-assisted air drying of cumin seeds. Food Bioprocess. Technol. 2022, 15, 2065–2083. [Google Scholar] [CrossRef]
- Namjoo, M.; Golbakhshi, H.; Kamandar, M.R.; Beigi, M. Multi-Objective Investigation and Optimization of Paddy Processing in a Hot Air Dryer. Period. Polytech. Chem. Eng. 2024, 68, 470–478. [Google Scholar] [CrossRef]
- Šumić, Z.; Vakula, A.; Tepić, A.; Čakarević, J.; Vitas, J.; Pavlić, B. Modeling and optimization of red currants vacuum drying process by response surface methodology (RSM). Food Chem. 2016, 203, 465–475. [Google Scholar] [CrossRef] [PubMed]
- Park, G. The Mathematics of Diffusion, 2nd ed.; J. Crank Clarendon Press: Oxford, UK, 1975; p. 414. [Google Scholar]
- Namjoo, M.; Moradi, M.; Niakousari, M.; Karparvarfard, S.H. Ultrasound-assisted air drying of cumin seeds: Modeling and optimization by response surface method. Heat Mass Transf. 2022, 59, 1073–1091. [Google Scholar] [CrossRef]
- Mohsenin, N.N. Physical Properties of Plant and Animal Materials: V. 1: Physical Characteristics and Mechanical Properties; Routledge: London, UK, 2020. [Google Scholar]
- Mau, J.-L.; Chao, G.-R.; Wu, K.-T. Antioxidant Properties of Methanolic Extracts from Several Ear Mushrooms. J. Agric. Food Chem. 2001, 49, 5461–5467. [Google Scholar] [CrossRef]
- Falleh, H.; Ksouri, R.; Chaieb, K.; Karray-Bouraoui, N.; Trabelsi, N.; Boulaaba, M.; Abdelly, C. Phenolic composition of Cynara cardunculus L. organs, and their biological activities. Comptes Rendus. Biol. 2008, 331, 372–379. [Google Scholar] [CrossRef]
- Faudale, M.; Viladomat, F.; Bastida, J.; Poli, F.; Codina, C. Antioxidant Activity and Phenolic Composition of Wild, Edible, and Medicinal Fennel from Different Mediterranean Countries. J. Agric. Food Chem. 2008, 56, 1912–1920. [Google Scholar] [CrossRef]
- Ksouri, R.; Falleh, H.; Megdiche, W.; Trabelsi, N.; Mhamdi, B.; Chaieb, K.; Bakrouf, A.; Magné, C.; Abdelly, C. Antioxidant and antimicrobial activities of the edible medicinal halophyte Tamarix gallica L. and related polyphenolic constituents. Food Chem. Toxicol. 2009, 47, 2083–2091. [Google Scholar] [CrossRef] [PubMed]
- Daneshmandi, M.S.; Dostegan, A.H.; Mirzaeei, A.; Naseh, R. The different drying method can be change some qualitative and quantitative of essential oils characteristics at florence fennel (Foeniculum vulgare var. azoricum). Technol. Med. Aromat. Plants Iran 2022, 4, 84–95. [Google Scholar] [CrossRef]
- Zomorodian, A.; Moradi, M. Mathematical modeling of forced convection thin layer solar drying for Cuminum cyminum. J. Agric. Sci. Technol. 2010, 12, 401–408. [Google Scholar]
- Dibagar, N.; Chayjan, R.A.; Kowalski, S.J.; Peyman, S.H. Deep bed rough rice air-drying assisted with airborne ultrasound set at 21 kHz frequency: A physicochemical investigation and optimization. Ultrason. Sonochemistry 2019, 53, 25–43. [Google Scholar] [CrossRef] [PubMed]
- Kowalski, S.J. Intensification of drying processes due to ultrasound enhancement. Chem. Process Eng. 2018, 39, 251–262. [Google Scholar] [CrossRef]
- Nishime, T.; Borges, A.; Koga-Ito, C.; Machida, M.; Hein, L.; Kostov, K. Non-thermal atmospheric pressure plasma jet applied to inactivation of different microorganisms. Surf. Coat. Technol. 2017, 312, 19–24. [Google Scholar] [CrossRef]
- Sarangapani, C.; Scally, L.; Gulan, M.; Cullen, P. Dissipation of pesticide residues on grapes and strawberries using plasma-activated water. Food Bioprocess. Technol. 2020, 13, 1728–1741. [Google Scholar] [CrossRef]
- Babaki, A.; Askari, G.; Emam-Djomeh, Z. Drying behavior, diffusion modeling, and energy consumption optimization of Cuminum cyminum L. undergoing microwave-assisted fluidized bed drying. Dry. Technol. 2019, 38, 224–234. [Google Scholar] [CrossRef]
- Dibagar, N.; Kowalski, S.J.; Chayjan, R.A.; Figiel, A. Accelerated convective drying of sunflower seeds by high-power ultrasound: Experimental assessment and optimization approach. Food Bioprod. Process. 2020, 123, 42–59. [Google Scholar] [CrossRef]
- Kowalski, S.; Mierzwa, D.; Stasiak, M. Ultrasound-assisted convective drying of apples at different process conditions. Dry. Technol. 2017, 35, 939–947. [Google Scholar] [CrossRef]
- Vallespir, F.; Crescenzo, L.; Rodríguez, Ó.; Marra, F.; Simal, S. Intensification of low-temperature drying of mushroom by means of power ultrasound: Effects on drying kinetics and quality parameters. Food Bioprocess. Technol. 2019, 12, 839–851. [Google Scholar] [CrossRef]
- Vallespir, F.; Cárcel, J.A.; Marra, F.; Eim, V.S.; Simal, S. Improvement of mass transfer by freezing pre-treatment and ultrasound application on the convective drying of beetroot (Beta vulgaris L.). Food Bioprocess. Technol. 2018, 11, 72–83. [Google Scholar] [CrossRef]
- Wang, Y.; Li, X.; Chen, X.; Li, B.; Mao, X.; Miao, J.; Zhao, C.; Huang, L.; Gao, W. Effects of hot air and microwave-assisted drying on drying kinetics, physicochemical properties, and energy consumption of chrysanthemum. Chem. Eng. Process. Process. Intensif. 2018, 129, 84–94. [Google Scholar] [CrossRef]
- Kowalski, S.; Mierzwa, D. US-assisted convective drying of biological materials. Dry. Technol. 2015, 33, 1601–1613. [Google Scholar] [CrossRef]
- Masztalerz, K.; Łyczko, J.; Lech, K. Effect of filtrated osmotic solution based on concentrated chokeberry juice and mint extract on the drying kinetics, energy consumption and physicochemical properties of dried apples. Molecules 2021, 26, 3274. [Google Scholar] [CrossRef]
- Calín-Sanchez, Á.; Figiel, A.; Szarycz, M.; Lech, K.; Nuncio-Jáuregui, N.; Carbonell-Barrachina, Á.A. Drying kinetics and energy consumption in the dehydration of pomegranate (Punica granatum L.) arils and rind. Food Bioprocess Technol. 2014, 7, 2071–2083. [Google Scholar] [CrossRef]
- Szadzińska, J.; Łechtańska, J.; Kowalski, S.J.; Stasiak, M. The effect of high power airborne ultrasound and microwaves on convective drying effectiveness and quality of green pepper. Ultrason. Sonochem. 2017, 34, 531–539. [Google Scholar] [CrossRef]
- Pankaj, S.K.; Keener, K.M. Cold plasma: Background, applications and current trends. Curr. Opin. Food Sci. 2017, 16, 49–52. [Google Scholar] [CrossRef]
- Singh, K.; Goswami, T. Thermal properties of cumin seed. J. Food Eng. 2000, 45, 181–187. [Google Scholar] [CrossRef]
- Banaszak, J.; Pawłowski, A. Influence of ultrasound assist during hot air drying on properties of dried apple crisps. Chem. Process Eng. 2018, 13, 263–270. [Google Scholar]
- Santacatalina, J.V.; Contreras, M.; Simal, S.; Cárcel, J.; Garcia-Perez, J.V. Impact of applied ultrasonic power on the low temperature drying of apple. Ultrason. Sonochemistry 2016, 28, 100–109. [Google Scholar] [CrossRef] [PubMed]
- Ozuna, C.; Cárcel, J.A.; Walde, P.M.; Garcia-Perez, J.V. Low-temperature drying of salted cod (Gadus morhua) assisted by high power ultrasound: Kinetics and physical properties. Innov. Food Sci. Emerg. Technol. 2014, 23, 146–155. [Google Scholar] [CrossRef]
- Poomanee, W.; Wattananapakasem, I.; Panjan, W.; Kiattisin, K. Optimizing anthocyanins extraction and the effect of cold plasma treatment on the anti-aging potential of purple glutinous rice (Oryza sativa L.) extract. Cereal Chem. 2021, 98, 571–582. [Google Scholar] [CrossRef]
- Hou, Y.; Wang, R.; Gan, Z.; Shao, T.; Zhang, X.; He, M.; Sun, A. Effect of cold plasma on blueberry juice quality. Food Chem. 2019, 290, 79–86. [Google Scholar] [CrossRef] [PubMed]
- Abedelmaksoud, T.G.; Hesarinejad, M.A.; Shokrollahi Yancheshmeh, B. The effect of cold plasma on the enzymatic activity and quality characteristics of mango pulp. Res. Innov. Food Sci. Technol. 2022, 10, 341–350. [Google Scholar]
- Dasan, B.G.; Boyaci, I.H. Effect of cold atmospheric plasma on inactivation of Escherichia coli and physicochemical properties of apple, orange, tomato juices, and sour cherry nectar. Food Bioprocess Technol. 2018, 11, 334–343. [Google Scholar] [CrossRef]
- Sarangapani, C.; Thirumdas, R.; Devi, Y.; Trimukhe, A.; Deshmukh, R.R.; Annapure, U.S. Effect of low-pressure plasma on physico–chemical and functional properties of parboiled rice flour. LWT Food Sci. Technol. 2016, 69, 482–489. [Google Scholar] [CrossRef]
- Garofulić, I.E.; Jambrak, A.R.; Milošević, S.; Dragović-Uzelac, V.; Zorić, Z.; Herceg, Z. The effect of gas phase plasma treatment on the anthocyanin and phenolic acid content of sour cherry Marasca (Prunus cerasus var. Marasca) juice. LWT Food Sci. Technol. 2015, 62, 894–900. [Google Scholar] [CrossRef]
- Misra, N.; Pankaj, S.; Segat, A.; Ishikawa, K. Cold plasma interactions with enzymes in foods and model systems. Trends Food Sci. Technol. 2016, 55, 39–47. [Google Scholar] [CrossRef]
- Llavata, B.; Femenia, A.; Clemente, G.; Cárcel, J. Combined effect of airborne ultrasound and temperature on the drying kinetics and quality properties of kiwifruit (Actinidia Deliciosa). Food Bioprocess Technol. 2024, 17, 440–451. [Google Scholar] [CrossRef]
- Bao, Y.; Reddivari, L.; Huang, J.-Y. Development of cold plasma pretreatment for improving phenolics extractability from tomato pomace. Innov. Food Sci. Emerg. Technol. 2020, 65, 102445. [Google Scholar] [CrossRef]
- Pogorzelska-Nowicka, E.; Hanula, M.M.; Brodowska-Trębacz, M.; Górska-Horczyczak, E.; Jankiewicz, U.; Mazur, T.; Marcinkowska-Lesiak, M.; Półtorak, A.; Wierzbicka, A. The effect of cold plasma pretreatment on water-suspended herbs measured in the content of bioactive compounds, antioxidant activity, volatile compounds and microbial count of final extracts. Antioxidants 2021, 10, 1740. [Google Scholar] [CrossRef] [PubMed]













| Independent Variables | Dependent Variables | |||||||||
|---|---|---|---|---|---|---|---|---|---|---|
| CPt (s) | T (°C) | USp (W) | DT (min) | Deff (m2/s) | SEC (MJ/kg) | ∆E (-) | RF (N) | TPC (mg GAE/g) | TFC (mg CE/g) | IC50 (%) |
| 0 | 35 | 0 | 292 | 6.55 × 10−10 | 582.47 | 10.79 | 38.02 | 2.19 | 0.95 | 32.33 |
| 0 | 35 | 60 | 273 | 7.03 × 10−10 | 551.58 | 10.07 | 34.01 | 2.04 | 0.84 | 33.69 |
| 0 | 35 | 120 | 245 | 7.85 × 10−10 | 502.29 | 9.22 | 28.35 | 2.45 | 1.10 | 29.97 |
| 0 | 35 | 180 | 207 | 8.4 × 10−10 | 446.99 | 8.47 | 25.38 | 2.59 | 1.15 | 29.26 |
| 0 | 45 | 0 | 254 | 7.58 × 10−10 | 535.17 | 11.32 | 38.15 | 1.36 | 0.50 | 39.36 |
| 0 | 45 | 60 | 242 | 7.95 × 10−10 | 500.36 | 11.15 | 34.24 | 1.61 | 0.62 | 37.33 |
| 0 | 45 | 120 | 225 | 8.6 × 10−10 | 458.97 | 10.39 | 29.29 | 2.10 | 0.87 | 33.50 |
| 0 | 45 | 180 | 181 | 9.2 × 10−10 | 432.66 | 9.49 | 27.31 | 2.83 | 1.24 | 27.43 |
| 0 | 55 | 0 | 215 | 9.02 × 10−10 | 457.79 | 11.42 | 38.16 | 1.22 | 0.45 | 43.26 |
| 0 | 55 | 60 | 218 | 8.87 × 10−10 | 461.49 | 11.11 | 35.37 | 1.11 | 0.56 | 41.06 |
| 0 | 55 | 120 | 196 | 9.94 × 10−10 | 401.10 | 10.83 | 30.38 | 1.68 | 0.65 | 37.01 |
| 0 | 55 | 180 | 192 | 1.02 × 10−9 | 407.59 | 10.55 | 29.17 | 2.19 | 0.93 | 32.49 |
| 25 | 35 | 0 | 264 | 7.26 × 10−10 | 544.39 | 8.44 | 33.21 | 2.63 | 1.15 | 28.91 |
| 25 | 35 | 60 | 241 | 8.01 × 10−10 | 493.35 | 8.09 | 31.29 | 2.90 | 1.32 | 26.65 |
| 25 | 35 | 120 | 192 | 9.01 × 10−10 | 422.00 | 7.17 | 27.62 | 3.15 | 1.42 | 24.72 |
| 25 | 35 | 180 | 156 | 9.75 × 10−10 | 361.85 | 6.40 | 20.21 | 3.50 | 1.63 | 22.29 |
| 25 | 45 | 0 | 229 | 8.45 × 10−10 | 482.61 | 9.07 | 34.33 | 1.85 | 0.77 | 35.37 |
| 25 | 45 | 60 | 208 | 9.35 × 10−10 | 428.30 | 8.64 | 31.70 | 2.42 | 1.04 | 30.73 |
| 25 | 45 | 120 | 184 | 1.06 × 10−9 | 384.48 | 7.76 | 28.58 | 2.80 | 1.24 | 27.46 |
| 25 | 45 | 180 | 135 | 1.13 × 10−9 | 323.85 | 7.25 | 22.32 | 3.86 | 1.79 | 19.66 |
| 25 | 55 | 0 | 197 | 9.9 × 10−10 | 409.03 | 9.50 | 35.12 | 1.38 | 0.50 | 39.33 |
| 25 | 55 | 60 | 180 | 1.09 × 10−9 | 383.37 | 9.33 | 32.51 | 1.86 | 0.76 | 35.34 |
| 25 | 55 | 120 | 169 | 1.16 × 10−9 | 357.89 | 9.02 | 29.37 | 2.56 | 1.15 | 29.23 |
| 25 | 55 | 180 | 141 | 1.21 × 10−9 | 303.47 | 8.35 | 24.72 | 3.15 | 1.43 | 24.97 |
| 50 | 35 | 0 | 272 | 7.04 × 10−10 | 564.57 | 12.05 | 39.10 | 2.41 | 1.02 | 31.10 |
| 50 | 35 | 60 | 248 | 7.75 × 10−10 | 517.43 | 11.66 | 36.02 | 2.27 | 1.00 | 31.93 |
| 50 | 35 | 120 | 225 | 8.59 × 10−10 | 457.61 | 11.23 | 33.45 | 2.52 | 1.10 | 30.13 |
| 50 | 35 | 180 | 220 | 8.81 × 10−10 | 403.89 | 10.93 | 31.63 | 2.21 | 0.93 | 32.57 |
| 50 | 45 | 0 | 233 | 8.31 × 10−10 | 488.78 | 12.18 | 38.40 | 1.97 | 0.81 | 34.22 |
| 50 | 45 | 60 | 222 | 8.73 × 10−10 | 464.40 | 12.02 | 36.07 | 2.14 | 0.90 | 32.81 |
| 50 | 45 | 120 | 205 | 9.46 × 10−10 | 449.57 | 11.73 | 34.04 | 2.36 | 0.98 | 31.46 |
| 50 | 45 | 180 | 205 | 9.48 × 10−10 | 452.57 | 11.49 | 32.86 | 2.31 | 1.01 | 31.50 |
| 50 | 55 | 0 | 203 | 9.59 × 10−10 | 410.16 | 12.33 | 38.02 | 0.99 | 0.52 | 42.44 |
| 50 | 55 | 60 | 209 | 9.28 × 10−10 | 413.09 | 12.10 | 35.71 | 1.47 | 0.54 | 38.40 |
| 50 | 55 | 120 | 200 | 9.75 × 10−10 | 422.77 | 11.89 | 33.34 | 2.09 | 0.89 | 33.15 |
| 50 | 55 | 180 | 209 | 9.27 × 10−10 | 409.88 | 11.80 | 33.53 | 2.15 | 0.87 | 33.43 |
| Sum of Squares | |||||||
|---|---|---|---|---|---|---|---|
| Input Variable | df | DT (min) | Deff (m2/s) | SEC (MJ/kg) | TPC (mg GAE/g) | TFC (mg CE/g) | IC50 (%) |
| Model | 9 | 1.225 × 105 ** | 1.613 × 10−18 ** | 44,263.66 ** | 4.37 ** | 9.39 ** | 2779.43 ** |
| X1 | 1 | 960.68 ** | 3.012 × 10−20 ** | 43,415.50 ** | 0.2983 * | 0.0632 * | 22.94 ** |
| X2 | 1 | 32,004.50 ** | 7.379 × 10−19 ** | 6130.04 ** | 10.14 ** | 2.40 ** | 732.96 ** |
| X3 | 1 | 50,189.70 ** | 4.452 × 10−19 ** | 1.525 × 105 | 15.16 ** | 3.65 ** | 1037.27 ** |
| X1 X2 | 1 | 481.33 ns | 1.145 × 10−20 * | 684.67 ns | 0.0243 ns | 0.0097 ns | 8.88 ns |
| X1 X3 | 1 | 2918.40 ** | 1.072 × 10−20 * | 2603.65 * | 0.6357 ** | 0.2183 ** | 61.91 ** |
| X2 X3 | 1 | 8256.04 ** | 2.341 × 10−20 ** | 28,740.04 ** | 2.23 ** | 0.3769 ** | 183.75 ** |
| X12 | 1 | 26,555.67 ** | 3.520 × 10−19 ** | 65,793.34 ** | 10.47 ** | 2.63 ** | 709.81 ** |
| X22 | 1 | 573.63 * | 1.016 × 10−21 ns | 574.36 ns | 0.2586 * | 0.0183 ns | 20.12 ** |
| X32 | 1 | 533.33 * | 1.162 × 10−21 ns | 227.93 ns | 0.1265 ns | 0.0339 ns | 1.78 ns |
| R-Squared | 0.9061 | 0.8786 | 0.9083 | 0.8912 | 0.8598 | 0.9174 | |
| Adj. R-Squared | 0.8975 | 0.8675 | 0.8998 | 0.8812 | 0.8469 | 0.9098 | |
| C.V.% | 5.33 | 5.28 | 4.83 | 9.93 | 12.99 | 4.94 | |
| Response Variable | Second-Order Polynomial Equations with Significant Coefficients |
|---|---|
| DT (min) | DT = 533.04 − 3.72X1 − 8.262X2 − 1.02X3 + 0.01X1X2 +0.02X2X3 + 0.05X12 + 0.05X22 |
| Deff (m2/s) | Deff = (−2.40 + 1.39X1 + 1.99X2 + 0.25X3 − 0.02X12) e−11 |
| SEC (MJ/kg) | SEC = 771.69 − 6.27X1 − 2.91X2 − 1.95X3 + 0.02X1X2 + 0.03X2X3 + 0.09X12 − 0.05X22 |
| ∆E (-) | ∆E = 7.18 − 0.17X1 + 0.13X2 − 0.02X3 |
| RF (N) | RF = 35.80 − 0.28X1 + 0.08X2 − 0.10X3 |
| TPC (mg GAE/g) | TPC = 2.17 + 0.06X1 + 0.03X2 − 0.01X3 − 0.001X12 − 0.001X22 |
| TFC (mg CE/g) | TFC = 1.30 + 0.03X1 − 0.005X2 − 0.002X3 |
| IC50 (%) | IC50 = 32.0 − 0.43X1 − 0.25X2 + 0.05X3 − 0.002X1X2 + 0.001X1X3 + 0.01X12 + 0.01X22 |
| Response Variable | Statistical Indicators | |||
|---|---|---|---|---|
| RMSE | MAPE | MAE | R2 | |
| DT (min) | 2.8148 | 3.1566 | 2.0756 | 0.9974 |
| Deff (m2/s) | 1.5 × 10−10 | 5.3189 | 1.11 × 10−10 | 0.9790 |
| SEC (MJ/kg) | 0.1291 | 2.8359 | 0.1365 | 0.9876 |
| ∆E (-) | 0.1658 | 1.4387 | 0.1316 | 0.9932 |
| RF (N) | 0.7920 | 1.9026 | 0.5842 | 0.9947 |
| TPC (mg GAE/g) | 0.0629 | 2.5613 | 0.0465 | 0.9923 |
| TFC (mg CE/g) | 0.0659 | 6.4305 | 0.0604 | 0.9677 |
| IC50 (%) | 0.2546 | 0.7075 | 0.2140 | 0.9983 |
| No. | T (°C) | CPt (s) | USp (W) | DT (min) | Deff (m2/s) | SEC (MJ/kg) | ΔE (-) | RF (N) | TPC (mg GAE/g) | TFC (mg CE/g) | IC50 (%) | Desirability |
|---|---|---|---|---|---|---|---|---|---|---|---|---|
| 1 | 39.08 | 23.07 | 180 | 162.61 | 9.67 × 10−10 | 365.24 | 6.98 | 23.34 | 3.32 | 1.51 | 23.49 | 0.78 |
| 2 | 39.17 | 23.04 | 180 | 162.5 | 9.66 × 10−10 | 365.18 | 6.99 | 23.35 | 3.32 | 1.51 | 23.49 | 0.78 |
| 3 | 39.01 | 23.05 | 180 | 162.7 | 9.65 × 10−10 | 365.32 | 6.97 | 23.33 | 3.32 | 1.51 | 23.49 | 0.78 |
Disclaimer/Publisher’s Note: The statements, opinions and data contained in all publications are solely those of the individual author(s) and contributor(s) and not of MDPI and/or the editor(s). MDPI and/or the editor(s) disclaim responsibility for any injury to people or property resulting from any ideas, methods, instructions or products referred to in the content. |
© 2024 by the authors. Licensee MDPI, Basel, Switzerland. This article is an open access article distributed under the terms and conditions of the Creative Commons Attribution (CC BY) license (https://creativecommons.org/licenses/by/4.0/).
Share and Cite
Namjoo, M.; Dibagar, N.; Golbakhshi, H.; Figiel, A.; Masztalerz, K. RSM-Based Optimization Analysis for Cold Plasma and Ultrasound-Assisted Drying of Caraway Seed. Foods 2024, 13, 3084. https://doi.org/10.3390/foods13193084
Namjoo M, Dibagar N, Golbakhshi H, Figiel A, Masztalerz K. RSM-Based Optimization Analysis for Cold Plasma and Ultrasound-Assisted Drying of Caraway Seed. Foods. 2024; 13(19):3084. https://doi.org/10.3390/foods13193084
Chicago/Turabian StyleNamjoo, Moslem, Nesa Dibagar, Hossein Golbakhshi, Adam Figiel, and Klaudia Masztalerz. 2024. "RSM-Based Optimization Analysis for Cold Plasma and Ultrasound-Assisted Drying of Caraway Seed" Foods 13, no. 19: 3084. https://doi.org/10.3390/foods13193084
APA StyleNamjoo, M., Dibagar, N., Golbakhshi, H., Figiel, A., & Masztalerz, K. (2024). RSM-Based Optimization Analysis for Cold Plasma and Ultrasound-Assisted Drying of Caraway Seed. Foods, 13(19), 3084. https://doi.org/10.3390/foods13193084

