Sign in to use this feature.

Years

Between: -

Subjects

remove_circle_outline
remove_circle_outline
remove_circle_outline
remove_circle_outline
remove_circle_outline
remove_circle_outline
remove_circle_outline
remove_circle_outline
remove_circle_outline

Journals

remove_circle_outline
remove_circle_outline
remove_circle_outline
remove_circle_outline
remove_circle_outline
remove_circle_outline
remove_circle_outline
remove_circle_outline
remove_circle_outline
remove_circle_outline
remove_circle_outline
remove_circle_outline
remove_circle_outline
remove_circle_outline
remove_circle_outline
remove_circle_outline
remove_circle_outline
remove_circle_outline
remove_circle_outline

Article Types

Countries / Regions

remove_circle_outline
remove_circle_outline
remove_circle_outline
remove_circle_outline
remove_circle_outline
remove_circle_outline

Search Results (3,320)

Search Parameters:
Keywords = RSM

Order results
Result details
Results per page
Select all
Export citation of selected articles as:
20 pages, 2312 KB  
Article
Effect-Directed Extraction of Grape Pomace: Optimizing Antioxidant and Antibrowning Efficacy
by Ignacio Cabezudo, Maximiliano Campero, Andrea M. Escalante and Ricardo L. E. Furlan
Processes 2026, 14(6), 925; https://doi.org/10.3390/pr14060925 (registering DOI) - 14 Mar 2026
Abstract
The increasing interest in valorizing agricultural by-products has positioned grape pomace as a rich source of bioactive compounds. This study developed an effect-directed extraction (EDE) approach guided by bioactivity quantification on thin layer chromatography (TLC). Twelve grape pomaces were screened based on antioxidant [...] Read more.
The increasing interest in valorizing agricultural by-products has positioned grape pomace as a rich source of bioactive compounds. This study developed an effect-directed extraction (EDE) approach guided by bioactivity quantification on thin layer chromatography (TLC). Twelve grape pomaces were screened based on antioxidant and tyrosinase inhibitory properties. Using hydroalcoholic solvent (ethanol:water, 1:1), the two most promising sources (Malbec from San Rafael) were subjected to response surface methodology (RSM) to optimize extraction of anti-browning and antioxidant compounds visualized as TLC spots. Temperature and time were optimized (76 °C, 45 min), and samples were analyzed using TLC coupled with DPPH and laccase inhibition bioautography. Antioxidant compounds showed retention factor values on TLC plates of 0.37 and 0.75 (DPPH/ABTS-active), while laccase inhibition occurred at Rf 0.35, coinciding with the primary tyrosinase inhibition zone. However, subsequent bioassay-guided HPLC fractionation and HRMS/MS analysis revealed that tyrosinase and laccase inhibitions are mediated by distinct compounds within this bioactive zone, highlighting a synergistic multi-target effect in the optimized extract that is retained throughout the process. The primary tyrosinase inhibitor at Rf ~0.35 was tentatively elucidated as an acylated anthocyanin, consistent with malvidin-3-O-(p-coumaroyl)glucoside. Optimized extracts were evaluated on Pink Lady apple slices at different timepoints. The browning index was reduced by 25% versus the control at 15 h, confirmed by significantly lower ΔE values (p < 0.05). The process requires only food-grade solvents and conventional equipment, facilitating scale-up for grape pomace generated worldwide. Validating the EDE strategy, this TLC-guided approach successfully tracked and preserved the primary anti-tyrosinase activity from the crude waste matrix down to the tentatively identified molecule, contributing to circular economy objectives in the wine industry. Full article
Show Figures

Figure 1

29 pages, 1438 KB  
Article
Low-Voltage Blood Component Separation for Implantable Kidneys Using a Sawtooth Electrode and Negative Dielectrophoresis
by Hasan Mhd Nazha, Mhd Ayham Darwich, Al-Hasan Ali and Basem Ammar
Appl. Sci. 2026, 16(6), 2785; https://doi.org/10.3390/app16062785 - 13 Mar 2026
Abstract
Implantable artificial kidneys represent a promising alternative for patients with end-stage renal disease (ESRD), aiming to overcome the limitations of conventional dialysis through the integration of microfluidic and electrokinetic technologies. In this study, we present a sawtooth electrode microfluidic chamber that achieves blood [...] Read more.
Implantable artificial kidneys represent a promising alternative for patients with end-stage renal disease (ESRD), aiming to overcome the limitations of conventional dialysis through the integration of microfluidic and electrokinetic technologies. In this study, we present a sawtooth electrode microfluidic chamber that achieves blood cell separation via negative dielectrophoresis at a record-low operating voltage of 1.4 V, representing a fivefold reduction compared with rectangular electrode designs and supporting potential integration into implantable artificial kidney systems. A microfluidic chip incorporating an asymmetric sawtooth electrode geometry was developed to enhance local electric field gradients while reducing power consumption. Device performance was investigated using COMSOL Multiphysics simulations. Response Surface Methodology (RSM) based on a Box–Behnken design was employed to optimize the number of teeth per unit length (N), sawtooth height (H), and applied voltage (V), while excitation frequency was fixed at 1 MHz and flow velocity was maintained constant at 0.1 µL·min−1. Statistical analysis was conducted using analysis of variance (ANOVA) in Minitab (Version 27; Minitab, LLC, State College, PA, USA, 2024) . The optimization model showed strong predictive capability (R2 = 95.8%) and identified applied voltage (59.45% contribution) and sawtooth height (33%) as the dominant factors affecting separation efficiency, with a significant H × V interaction (p = 0.023). Comprehensive voltage-response mapping over the range of 0.8–4.0 V revealed four operational regimes, including a previously unreported high-voltage failure zone above 2.8 V, where electrothermal flow and electroporation degrade performance. Under physiological conductivity conditions, the optimized design maintained a separation efficiency of 78.3% at 1.4 V with a tip temperature rise of only 1.2 °C, while full recovery of performance was achieved at 2.2 V. Cell-specific separation efficiencies reached 97.3% for white blood cells, 95.8% for red blood cells, and 84.7% for platelets, reducing the downstream cellular load by 92.6%. These findings demonstrate that the proposed low-voltage, high-efficiency separation platform has strong potential as a cellular pre-filtration module in implantable artificial kidney systems and other lab-on-chip biomedical devices. Full article
(This article belongs to the Special Issue Advances in Materials for Biosensing and Biomedical Applications)
17 pages, 7304 KB  
Article
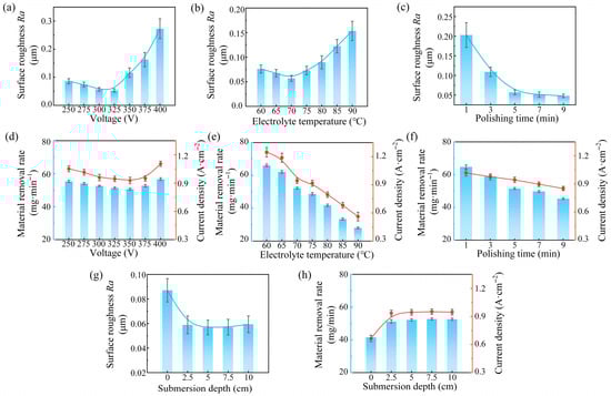
Precision Plasma Electrolytic Polishing of GH3536 Superalloy for Effective Surface Performance Improvement
by Chengtao Peng, Siqi Wu, Xinming Wang, Chen Zhang, Jing Sun and Jinlong Song
Materials 2026, 19(6), 1127; https://doi.org/10.3390/ma19061127 - 13 Mar 2026
Abstract
GH3536 superalloy is widely used in the high-temperature components of aerospace applications for its excellent high-temperature strength and corrosion resistance. However, under such a harsh environment, surface defects can make the superalloy prone to corrosion and fatigue fractures. Therefore, it is important to [...] Read more.
GH3536 superalloy is widely used in the high-temperature components of aerospace applications for its excellent high-temperature strength and corrosion resistance. However, under such a harsh environment, surface defects can make the superalloy prone to corrosion and fatigue fractures. Therefore, it is important to eliminate surface defects through polishing. However, the existing polishing methods usually suffer from some issues such as surface integrity damage, low efficiency, and poor environmental sustainability. More importantly, these methods fail to account for the requirement of surface roughness below 0.05 μm in some high-precision aerospace components. Herein, the plasma electrolytic polishing (PEP) of GH3536 superalloy is systematically investigated and optimized through single-factor experiments and response surface methodology (RSM). A minimum surface roughness Ra of 0.044 μm with a mirror-like surface was achieved at a voltage of 303.8 V, electrolyte temperature of 66.2 °C, polishing time of 5 min, and submersion depth of 7.5 cm. At the same optimized condition, the material removal rate was 59.12 mg·min−1. After polishing, the surface composition of GH3536 superalloy varied negligibly, while its corrosion resistance improved markedly, with a 53.72% increase in polarization resistance and a 43.46% decrease in corrosion current density. Meanwhile, the microhardness slightly decreased due to the removal of the work-hardened layer and the compressive residual stress exhibited a more uniform distribution across the surface, contributing to improved near-surface mechanical stability. This study establishes an optimized PEP parameter for improving the surface quality of GH3536 superalloy, offering a practical method for the precision finishing of aerospace-grade superalloy components. Full article
(This article belongs to the Special Issue New Advances in High-Temperature Structural Materials)
Show Figures

Graphical abstract

17 pages, 1877 KB  
Article
Design and Optimization of a Hybrid Microwave–Soxhlet Extraction Process for Bioactive Lipid Recovery from Shrimp Waste
by Zahra Mousavi, Seyed Fakhreddin Hosseini, Anan Yaghmur and Ahmed Al-Alawi
Processes 2026, 14(6), 915; https://doi.org/10.3390/pr14060915 - 12 Mar 2026
Abstract
Seafood processing generates large volumes of by-products that are often underutilized despite their potential as sources of high-value bioactive lipids. In this study, a hybrid process integrating microwave (MW) pretreatment with Soxhlet (SOX) extraction was developed and optimized to intensify the recovery of [...] Read more.
Seafood processing generates large volumes of by-products that are often underutilized despite their potential as sources of high-value bioactive lipids. In this study, a hybrid process integrating microwave (MW) pretreatment with Soxhlet (SOX) extraction was developed and optimized to intensify the recovery of astaxanthin (ASX)- and ω-3 PUFA-rich oil from green tiger shrimp (Penaeus semisulcatus) residues. Response surface methodology (RSM) comprising 22 experimental runs was applied to optimize key MW process variables, including power (100–400 W) and irradiation time (30–90 s). Both factors significantly influenced oil yield, with optimal operating conditions identified at 400 W and 75 s. MW pretreatment promoted structural disruption of shrimp shells, as confirmed by scanning electron microscopy, thereby enhancing solvent penetration and mass transfer. Solvent selection further affected extraction performance: hexane:isopropanol (1:1, v/v) achieved the highest oil yield (3.86 g/100 g dry weight), while hexane:acetone produced extracts with the highest ASX concentration (1032.24 µg/g oil), ω-3 PUFA content (29.85%), and antioxidant activity (93.30% DPPH scavenging). Colorimetric analysis supported these results, with increased redness (a* = 18.12) correlating with ASX enrichment. Overall, this integrated MW-SOX process represents an effective process-intensification strategy for sustainable shrimp waste valorization and production of bioactive lipid fractions. Full article
(This article belongs to the Section Separation Processes)
Show Figures

Figure 1

19 pages, 2631 KB  
Article
Optimization of Flocculation/Coagulation Conditions of Coal Preparation Plant Tailings Using Chitosan and FeCl3 Through Experimental Design
by Hasan Ali Taner and Augustino Henry Nyanswe
Polymers 2026, 18(6), 687; https://doi.org/10.3390/polym18060687 - 12 Mar 2026
Viewed by 37
Abstract
Coal preparation plants generate large volumes of fine tailings containing negatively charged colloidal particles that remain stable in suspension and hinder efficient water recovery. In this study, the flocculation performance of coal tailings was statistically evaluated using inorganic and organic reagents, namely ferric [...] Read more.
Coal preparation plants generate large volumes of fine tailings containing negatively charged colloidal particles that remain stable in suspension and hinder efficient water recovery. In this study, the flocculation performance of coal tailings was statistically evaluated using inorganic and organic reagents, namely ferric chloride (FeCl3) and chitosan. The effects of chitosan dosage, FeCl3 dosage, pH, stirring speed, and pulp density on turbidity and water recovery were investigated through Response Surface Methodology (RSM). Zeta potential measurements revealed that the sample exhibited a negative surface charge over the entire pH range. In contrast, chitosan effectively shifted the surface charge toward positive values under acidic and near-neutral conditions, indicating charge neutralization and polymer bridging mechanisms. ANOVA results revealed that pH, chitosan dosage, and pulp density were the most significant parameters influencing turbidity and water recovery. Under optimized conditions, turbidity was reduced to 9.86 NTU with a water recovery of 76.92%. Using chitosan alone provided an effective and statistically validated strategy for dewatering samples by enhancing floc formation through combined charge neutralization and interparticle bridging mechanisms, resulting in minimal turbidity. Although chitosan alone was sufficient to achieve effective flocculation, its synergistic combination with FeCl3 resulted in the highest water recovery values under optimized conditions. Full article
(This article belongs to the Section Polymer Applications)
Show Figures

Figure 1

18 pages, 7205 KB  
Article
Synergistic Enhancement of Hydrophobicity and Wear Resistance on 65Mn Steel via Bionic Texturing and Nanocomposite Coating
by Ying Zhang, Zhengda Li, Zhulin Gao, Xing Wang, Zihao Zhao, Yueyan Wang, Rui Li and Haitao Chen
Coatings 2026, 16(3), 356; https://doi.org/10.3390/coatings16030356 - 12 Mar 2026
Viewed by 53
Abstract
Engineering surfaces operating in harsh environments frequently require simultaneous resistance to abrasive wear and the minimization of interfacial adhesion. Achieving this dual functionality through a single surface modification strategy remains challenging. This study presents a novel hybrid approach combining bionic laser surface texturing [...] Read more.
Engineering surfaces operating in harsh environments frequently require simultaneous resistance to abrasive wear and the minimization of interfacial adhesion. Achieving this dual functionality through a single surface modification strategy remains challenging. This study presents a novel hybrid approach combining bionic laser surface texturing with a polytetrafluoroethylene/polydimethylsiloxane/TiO2 nanocomposite coating to synergistically enhance both wear resistance and hydrophobicity of 65Mn steel. Crescent-shaped micro-dimples, inspired by the exoskeleton of Procambarus clarkii, were fabricated via a femtosecond laser. A composite coating containing hydrophobically modified TiO2 nanoparticles was subsequently deposited. Single-factor experiments identified effective parameter ranges. A four-factor, five-level central composite rotatable design combined with response surface methodology was employed to systematically optimize texture depth, texture spacing, TiO2 mass fraction, and coating thickness. The results demonstrate that textures with a depth of less than 100 μm and spacing less than 400 μm effectively homogenize surface stress distribution. RSM analysis revealed that TiO2 content and texture depth predominantly influence hydrophobicity, while texture spacing overwhelmingly controls wear mass loss. Significant interactions between coating and texture parameters were identified. The optimal parameter combination was determined as: 6% TiO2, 40 μm coating thickness, 50 μm texture depth, and 250 μm texture spacing. Under these conditions, the surface achieved a superhydrophobic contact angle of 152.1° and a low-wear mass loss of 8.9 mg. Validation tests yielded values of 150.8° and 9.3 mg, respectively, confirming model reliability. The synergistic mechanism involves textures acting as debris reservoirs and stress distributors, while the coating provides a low-surface-energy, hardened top layer that minimizes adhesion and facilitates a rolling–sliding contact mode. This work provides a robust, optimized framework for designing multifunctional surfaces for demanding tribological applications. Full article
(This article belongs to the Section Surface Characterization, Deposition and Modification)
Show Figures

Figure 1

20 pages, 8463 KB  
Article
Optimization of Emulsification Parameters for Preparing Hydrogel Beads Based on an Enzymatically Cross-Linkable Poly(aspartamide) Derivative
by Danqing Liu and Guangyan Zhang
Gels 2026, 12(3), 230; https://doi.org/10.3390/gels12030230 - 11 Mar 2026
Viewed by 169
Abstract
In this study, phenolic hydroxyl-functionalized poly(α,β-[N-(2-hydroxyethyl)-D, L-aspartamide]) (PHEA-HP) was used to prepare hydrogel beads via an emulsion-enzymatic gelation process. The effects of the preparation conditions on the size and size distribution span of the hydrogel beads were investigated. Initially, single-factor experiments [...] Read more.
In this study, phenolic hydroxyl-functionalized poly(α,β-[N-(2-hydroxyethyl)-D, L-aspartamide]) (PHEA-HP) was used to prepare hydrogel beads via an emulsion-enzymatic gelation process. The effects of the preparation conditions on the size and size distribution span of the hydrogel beads were investigated. Initially, single-factor experiments were conducted to determine the range of preparation conditions for hydrogel beads. Subsequently, a Box–Behnken design combined with response surface methodology (BBD–RSM) was employed to optimize the emulsification parameters for preparing hydrogel beads, with three numerical independent variables (oil-to-water ratio, homogenization rate, and Span 80 dosage) and two responses (size and size distribution span). The results indicated that the size distribution span fit the quadratic model well and was more sensitive to the three independent variables than size. The optimal preparation conditions were validated to be an oil-to-water ratio of 10.3, a homogenization rate of 2930 rpm, and a Span 80 dosage of 2.0%. At the optimum point, the prepared PHEA-HP hydrogel beads were spherical, with an average size of 14.0 ± 0.2 μm and a size distribution span of 0.185 ± 0.010. Full article
Show Figures

Figure 1

22 pages, 3560 KB  
Article
Removal of Heavy Metal Ions from Water Using Quercus robur Leaves as a Natural Coagulant: Experimental Study and Modeling
by Abderrezzaq Benalia, Kerroum Derbal, Amel Khalfaoui, Ouiem Baatache, Zahra Amrouci, Aya Khebatti, Antonio Pizzi, Gennaro Trancone and Antonio Panico
Water 2026, 18(6), 663; https://doi.org/10.3390/w18060663 - 11 Mar 2026
Viewed by 139
Abstract
This study investigates the potential of Quercus robur leaves as a bio-coagulant for the removal of heavy metal ions, including zinc (II), iron (III), copper (II), and chromium (VI), from water. The Quercus robur leaves were used in two forms: Quercus robur powder [...] Read more.
This study investigates the potential of Quercus robur leaves as a bio-coagulant for the removal of heavy metal ions, including zinc (II), iron (III), copper (II), and chromium (VI), from water. The Quercus robur leaves were used in two forms: Quercus robur powder (QRP) and Quercus robur extract (QRE). The extract was prepared using distilled water to extract the active compounds responsible for coagulation, such as proteins, polysaccharides, and total phenolics. The QRP was characterized by Fourier transform infrared spectroscopy (FTIR), scanning electron microscopy (SEM), X-ray diffraction (XRD), and zeta potential analysis to identify the active functional groups, surface morphology, crystallinity, and surface charge, all of which are key factors influencing its performance in the coagulation–flocculation process. In this work, the Response Surface Methodology (RSM)-based Central Composite Design (CCD), with two factors (bio-coagulant dosage and initial metal concentration), was used examine the effects of each factor and their interaction, while the responses were zinc (II) removal, iron (III) removal, copper (II) removal, and chromium (VI). The results revealed high removal efficiency for these metal ions, reaching up to 100% for all metal ions treated with QRP and QRE. The quality of the model predictions was evaluated using analysis of variance (ANOVA). For all metal ions, the R2 (≥97%), R2 adjusted (≥95%), and p-values (<0.05), indicating an excellent model accuracy. These results show that bio-coagulants (QRP and QRE) based a Quercus robur leaves are a promising, effective, and reliable option for removing heavy metal ions from water, and that the models developed can be used to optimize the coagulation-flocculation process. Full article
(This article belongs to the Section Wastewater Treatment and Reuse)
Show Figures

Figure 1

26 pages, 3911 KB  
Article
Parametric Optimization of VLM Panel Discretization Using Bio-Inspired Crayfish and Aquila Algorithms Coupled with Hybrid RSM-Based Ensemble Machine Learning Surrogate Models: A Case Study
by Yüksel Eraslan and Esmanur Şengün
Biomimetics 2026, 11(3), 204; https://doi.org/10.3390/biomimetics11030204 - 11 Mar 2026
Viewed by 88
Abstract
Fast and reliable aerodynamic predictions are crucial in the early phases of aircraft design, where a quick assessment of various configurations is required. In this context, the Vortex Lattice Method (VLM) is widely adopted due to its computational efficiency; however, its predictive accuracy [...] Read more.
Fast and reliable aerodynamic predictions are crucial in the early phases of aircraft design, where a quick assessment of various configurations is required. In this context, the Vortex Lattice Method (VLM) is widely adopted due to its computational efficiency; however, its predictive accuracy is highly sensitive to panel discretization strategies, which are often determined heuristically. This study proposes a bio-inspired optimization framework for VLM panel discretization and evaluates it through a systematic case study on a representative wing geometry. A grid-convergence analysis was initially carried out to ensure solution independence across various spanwise-to-chordwise panel ratios. Subsequently, a novel Hybrid Response Surface Methodology (HRSM), integrating Box–Behnken and Central Composite experimental designs, was employed to enable a more comprehensive exploration of the factor space while quantifying the effects of clustering parameters at the leading-edge, trailing-edge, root, and tip regions of the wing. The HRSM dataset was further utilized to train Ensemble Machine-Learning surrogate models, which were coupled with bio-inspired Crayfish and Aquila optimization algorithms, alongside a classical Genetic Algorithm (GA) as a performance benchmark, to identify the optimal discretization strategy and to enable a comparative assessment of their convergence behavior and robustness against the numerical noise of the ensemble-based landscape. Compared to base (i.e., uniform) panel distribution, the optimally clustered discretization enhanced overall aerodynamic prediction accuracy by approximately 33%, particularly at low angles of attack, while maintaining robust performance at higher angles. Both algorithms converged to similar minima; however, the Aquila algorithm achieved higher solution consistency, whereas the Crayfish algorithm exhibited greater dispersion despite faster convergence, revealing a multimodal optimization landscape. The variance decomposition revealed that trailing-edge clustering dominated aerodynamic accuracy at low angles of attack, contributing up to 90% of the total variance, whereas tip clustering became increasingly influential at higher angles, exceeding 30%, highlighting the need for adaptive discretization strategies to ensure reliable VLM-based aerodynamic analyses. Full article
Show Figures

Figure 1

19 pages, 3170 KB  
Article
Response Surface Optimization of High-Durability Fly Ash–Slag Blended Concrete as an Eco-Friendly Repair Material
by Hua Wei, Anyi Chen, Chunhe Li, Jiaming Zhang and Hao Lu
Materials 2026, 19(6), 1058; https://doi.org/10.3390/ma19061058 - 10 Mar 2026
Viewed by 132
Abstract
To address the durability deficiencies and limited service life of concrete structures exposed to complex service environments such as chloride attack in marine and underground engineering, this study employs fly ash (FA) and ground granulated blast-furnace slag (GGBS), typical eco-friendly materials, as functional [...] Read more.
To address the durability deficiencies and limited service life of concrete structures exposed to complex service environments such as chloride attack in marine and underground engineering, this study employs fly ash (FA) and ground granulated blast-furnace slag (GGBS), typical eco-friendly materials, as functional mineral admixtures to systematically investigate the effects of their combined incorporation on the mechanical properties, durability, drying shrinkage, and microstructural characteristics of concrete. The objective is to develop a concrete material that achieves high durability while maintaining structural safety and service performance, with the additional benefit of improved resource utilization efficiency. Single-factor tests were first conducted to determine the sensitivity ranges of FA and GGBS within 10–30% for slump, compressive strength, chloride migration coefficient (RCM), and drying shrinkage. Subsequently, response surface methodology (RSM) was employed to establish quadratic regression models using FA and GGBS as independent variables and compressive strength, RCM, and drying shrinkage as response indicators. The models exhibited high fitting accuracy, and their reliability was validated through analysis of variance (ANOVA), residual analysis, and predictive performance indices. Multi-objective optimization based on the desirability function identified the optimal mix proportion as FA = 14.8% and SL = 29.3%, yielding predicted values of 56.2 MPa for 28-day compressive strength, 6.03 × 10−12 m2/s for RCM, and 639 με for 90-day drying shrinkage. Microstructural analysis using SEM and MIP further revealed that the binary-blended system promotes the formation of a dense C–S–H/C–A–S–H gel network, refines pore-size distribution, and reduces pore connectivity, thereby improving long-term mechanical and durability performance. The findings provide quantitative guidance for designing high-durability, environmentally friendly concrete suitable for marine and underground engineering applications. Full article
Show Figures

Figure 1

34 pages, 4213 KB  
Article
Valorization of Textile Cotton Waste and Textile Sludge into High-Quality Torrefied Biofuel Pellets: Fuel Characteristics and Optimization
by Irfan Ansari, Asad A. Zaidi, Abdul Hameed Memon, Ahmad Hussain and Asad Bilal Haleem
Energies 2026, 19(6), 1401; https://doi.org/10.3390/en19061401 - 10 Mar 2026
Viewed by 218
Abstract
This study investigates the conversion of textile wastewater sludge (TWS) and textile cotton waste (TCW) into solid biofuels through pelletization and torrefaction, addressing the growing need for sustainable waste management and alternative fuels in the textile sector. Blended feedstocks were conditioned to ~10% [...] Read more.
This study investigates the conversion of textile wastewater sludge (TWS) and textile cotton waste (TCW) into solid biofuels through pelletization and torrefaction, addressing the growing need for sustainable waste management and alternative fuels in the textile sector. Blended feedstocks were conditioned to ~10% moisture, pelletized into 8 mm cylinders, and thermally upgraded at 200–240 °C for 30–90 min. Proximate and ultimate analyses, calorific value measurements, compressive strength testing, bulk and true density assessment, and TGA–DTG were used to evaluate fuel properties, while response surface methodology (RSM) optimized torrefaction parameters. The TCW-rich 20:80 (TWS:TCW) blend with 5% starch exhibited the most favorable overall performance, achieving a calorific value of 3377 kcal kg−1, ash of 10.3%, bulk density of 554 kg m−3, and maximum compressive strength of 14.9 N mm−2. Torrefaction at 200 °C for 60 min increased the GCV to 4083 kcal kg−1 with a high mass yield of 92%, indicating mild thermal decomposition and good energy retention. Further Torrefaction at 220–240 °C increased GCV to 4362–4565 kcal kg−1, accompanied by expected mass-yield reductions due to increased devolatilization. TGA–DTG confirmed faster and cleaner decomposition for TCW-rich pellets and higher residues for sludge-rich blends. RSM indicated temperature as the dominant factor governing mass and energy yields. These findings demonstrate that optimized co-pelletization and mild-to-moderate torrefaction can effectively transform textile residues into energy-dense, mechanically stable biofuels suitable for industrial heat applications. Full article
Show Figures

Figure 1

24 pages, 3211 KB  
Article
Reinforcement of Novel PLA/17-4 PH Stainless Steel Hybrid Structures Fabricated by FDM: The Effects of Layer Configuration, Infill Density and Pattern
by Ramazan Ötüken, Cem Alparslan, Muhammed Furkan Erhan and Şenol Bayraktar
Polymers 2026, 18(6), 672; https://doi.org/10.3390/polym18060672 - 10 Mar 2026
Viewed by 170
Abstract
Fused deposition modeling/fused filament fabrication (FDM/FFF) enables architectural tailoring of mechanical response through layer configuration and multi-material manufacturing strategies. However, the combined effects of layer arrangement, infill ratio, and packing geometry in polymer–metal hybrid structures and interfacial load transfer mechanisms are still not [...] Read more.
Fused deposition modeling/fused filament fabrication (FDM/FFF) enables architectural tailoring of mechanical response through layer configuration and multi-material manufacturing strategies. However, the combined effects of layer arrangement, infill ratio, and packing geometry in polymer–metal hybrid structures and interfacial load transfer mechanisms are still not sufficiently elucidated. In this study, the tensile behavior of single- and multi-material structures produced using PLA and 17-4 PH stainless steel filaments was systematically investigated. A total of 24 experimental parameter sets were created with four-layer configurations (PLA, 17-4 PH, PLA/17-4 PH/PLA, and 17-4 PH/PLA/17-4 PH), three infill ratios (20%, 60%, and 100%), and two packing patterns (linear and hexagonal); the samples were tested according to the ASTM D638 standard. Mechanical data were modeled using Response Surface Methodology (RSM) and ANOVA, and the developed regression models showed high accuracy (R2 > 0.95). The findings showed that tensile and yield strength are primarily controlled by the layer arrangement, while infill ratio and infill pattern have a secondary effect. The highest strength was measured in 100% infill linear PLA samples (≈10.35 MPa), and the lowest value was measured in 17-4 PH “green part” samples without sintering (≈0.92 MPa). Hybrid structures exhibited intermediate performance in the range of 2.9–4.9 MPa. ANOVA results showed that the majority of the mechanical variance was explained by the layer arrangement (70–85% contribution), while infill ratio and infill pattern had a secondary effect. Fracture surface analyses showed that high performance was associated with homogeneous filament fusion and low porosity; Studies have confirmed that poor performance is associated with delamination and interfacial separation. Full article
(This article belongs to the Section Polymer Processing and Engineering)
Show Figures

Figure 1

17 pages, 2215 KB  
Article
AI-Assisted Optimization and Sustainable Production of the Natural Pigment Prodigiosin by Serratia marcescens
by Sura Jasem Mohammed Breig, Saja Mohsen Alardhi, Khalid Jaber Kadhum Luti, Ahmed Jasim Mohammed Al-Obaidy, Aymen J Al-Obaidy and Aparna Banerjee
Bacteria 2026, 5(1), 17; https://doi.org/10.3390/bacteria5010017 - 10 Mar 2026
Viewed by 81
Abstract
Prodigiosin, a red pigment with diverse biotechnological applications, is produced as a secondary metabolite by Gram-negative bacilli Serratia marcescens. In this study, we implemented an AI-guided hybrid optimization framework combining Response Surface Methodology (RSM) using a Circumscribed Central Composite Design (CCCD) and [...] Read more.
Prodigiosin, a red pigment with diverse biotechnological applications, is produced as a secondary metabolite by Gram-negative bacilli Serratia marcescens. In this study, we implemented an AI-guided hybrid optimization framework combining Response Surface Methodology (RSM) using a Circumscribed Central Composite Design (CCCD) and Artificial Neural Network (ANN) modeling to enhance prodigiosin pigment production. Across 34 experimental runs, we optimized sucrose and peptone concentrations along with inoculum size. The RSM-derived model exhibited a strong correlation (R2 = 0.953), while the ANN, trained using a backpropagation algorithm, demonstrated superior predictive power (R2 = 0.998; MSE = 0.000414), underscoring the potential of artificial intelligence in modeling complex bioprocesses. Beyond statistical optimization, an induction strategy using 1% of various natural additives (vegetable oils and egg components) identified egg white, rich in albumin, as the most effective enhancer, tripling prodigiosin yield. Further investigation revealed that a 2% egg white concentration maximized production to 1070 mg L−1, a substantial increase compared to the optimized yield of 359.2 ± 12 mg L−1 and predicted value of 391.86 mg L−1. These results highlight the value of integrating machine learning with experimental design and protein-rich inducers to strengthen sustainable microbial pigment production in a cost-effective and scalable manner. Full article
Show Figures

Figure 1

23 pages, 6109 KB  
Article
SLEC-Based Tunnel Lighting Design: A Sustainable Engineering Approach Through RSM
by Nazım İmal and Burak Öztürk
Machines 2026, 14(3), 312; https://doi.org/10.3390/machines14030312 - 10 Mar 2026
Viewed by 94
Abstract
Tunnel lighting systems serving pedestrian and vehicular traffic must simultaneously satisfy visual performance requirements and energy efficiency constraints. This study investigates the optimization of tunnel lighting design using a sustainable engineering approach based on Response Surface Methodology (RSM) and Specific Lighting Energy Consumption [...] Read more.
Tunnel lighting systems serving pedestrian and vehicular traffic must simultaneously satisfy visual performance requirements and energy efficiency constraints. This study investigates the optimization of tunnel lighting design using a sustainable engineering approach based on Response Surface Methodology (RSM) and Specific Lighting Energy Consumption (SLEC). Software-assisted lighting simulations were performed for two tunnel geometries—straight and double-curved—and horizontal (Eh) and vertical (Ev) illuminance levels were evaluated at five representative locations. The resulting data were used to construct RSM-based predictive models and to assess energy performance through SLEC. The effects of mounting height, luminaire spacing, luminous flux, number of luminaires, and tunnel type were systematically analyzed. The results demonstrate that luminaire spacing is the dominant parameter influencing illuminance levels and energy consumption. An optimal configuration consisting of a 12 m luminaire spacing, 5 m mounting height, and 10,000–12,000 lm luminous flux achieved a favorable balance between lighting quality and energy efficiency. Additionally, straight tunnels exhibited higher illuminance uniformity at shorter spacings, whereas curved tunnels showed improved performance under wider spacing conditions. The proposed RSM–SLEC framework provides a robust, data-driven methodology for sustainable tunnel lighting design without compromising safety or visual comfort. Full article
(This article belongs to the Special Issue Intelligent Propulsion Systems and Energy Control)
Show Figures

Figure 1

30 pages, 6670 KB  
Article
Application of Quercus pubescens Acorn Flour and Xanthan Gum in Gluten-Free Cookies: RSM Optimization and Quality Evaluation
by Jasmina Lukinac, Dragana Medaković, Daliborka Koceva Komlenić, Ana Šušak and Marko Jukić
Foods 2026, 15(5), 966; https://doi.org/10.3390/foods15050966 - 9 Mar 2026
Viewed by 202
Abstract
Despite the growing demand for functional gluten-free (GF) foods, the application of Quercus pubescens acorn flour remains largely underexplored. This study addresses this gap by optimizing GF cookies using response surface methodology (RSM) and prepared with Q. pubescens acorn flour and xanthan gum [...] Read more.
Despite the growing demand for functional gluten-free (GF) foods, the application of Quercus pubescens acorn flour remains largely underexplored. This study addresses this gap by optimizing GF cookies using response surface methodology (RSM) and prepared with Q. pubescens acorn flour and xanthan gum to balance technological quality, sensory acceptability, and functional value. A three-level full factorial design (FFD) evaluated the effects of acorn flour proportion (0, 50 and 100%), and xanthan gum level (1, 2 and 3%) on physicochemical properties (moisture, water activity, color, texture, and dimensions), sensory attributes using a 9-point hedonic scale, proximate composition, and bioactive and antioxidant properties (total polyphenols, tannins, DPPH, ABTS, FRAP). Linear and quadratic polynomial models adequately described the experimental data (R2 = 0.86–0.99; non-significant lack of fit). Increasing acorn flour content significantly intensified cookie darkening, reduced snapping force and bending stiffness, reduced spread factor, and affected sensory perception, while xanthan gum improved structural integrity and dimensional stability. Multi-response optimization identified an optimal formulation containing 41.05% acorn flour and 1.46% xanthan gum, achieving balanced color development (darkness index ≈ 62), bending stiffness (~38 N/mm), and high overall sensory acceptability (~7.8). The optimized GF cookies exhibited a favorable nutritional profile and antioxidant properties, characterized by elevated total polyphenol content and antioxidant capacity, confirming the functional potential of acorn flour. The optimized cookies (containing 41.05% acorn flour) exhibited a six-fold increase in total phenolic content (from 1.63 to 10.08 mg GAE/g) and 8–10 times higher antioxidant capacity (DPPH, ABTS, and FRAP assays) compared to the control, confirming the substantial functional potential of Q. pubescens in gluten-free systems. Full article
Show Figures

Graphical abstract

Back to TopTop