Utilisation of Potassium Chloride in the Production of White Brined Cheese: Artificial Neural Network Modeling and Kinetic Models for Predicting Brine and Cheese Properties during Storage
Abstract
1. Introduction
2. Materials and Methods
2.1. Materials
2.2. White Brined Cheese Production
2.3. Brine Production
2.4. Brine and Cheese Analyses
2.5. Cheese Texture Analyses
2.6. Colour Measurements
2.7. Sensory Analyses
2.8. Statistical Analysis and Data Modelling
2.8.1. Basic Statistical Analysis and Analysis of the Variance
2.8.2. Kinetics of Brine Properties Change over the Time
2.8.3. Principal Component Analysis (PCA)
2.8.4. Artificial Neural Network (ANN) Modelling
- (i)
 - For prediction of brine properties (pH, conductivity, TDS and colour coordinates) based on NaCl concertation, KCl concentration and day of storage. The dataset for the construction of ANNs was 60 × 9, with 60 rows representing brine samples, 3 columns representing model inputs, and 6 columns representing model output;
 - (ii)
 - For prediction of physical properties of cheese (pH, °SH, L and colour coordinates) based on NaCl concertation, KCl concentration, day of storage, brine pH, brine conductivity and brine TDS. The dataset for the construction of ANNs was 60 × 9, with 60 rows representing brine samples, 6 columns representing model inputs, and 3 columns representing model outputs;
 - (iii)
 - For prediction of cheese total colour change based on NaCl concertation, KCl concentration and day of storage, brine pH, brine conductivity and brine TDS. The dataset for the construction of ANNs was 60 × 7, with 60 rows representing brine samples, 6 columns representing model inputs, and 1 column representing model output;
 - (iv)
 - For the prediction of cheese hardness based on NaCl concertation, KCl concentration, day of storage, brine pH, brine conductivity and brine TDS, the dataset for the construction of ANNs was 60 × 7, with 60 rows representing brine samples, 6 columns representing model inputs, and 1 column representing model output.
 
3. Results and Discussion
3.1. Physicochemical Properties of Brine
3.2. Physicochemical Properties of Cheese
3.3. Textural Properties of Cheese
3.4. Sensory Properties
3.5. Principal Component Analysis
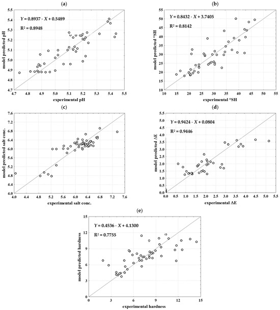
3.6. Artificial Neural Network Modelling
4. Conclusions
Author Contributions
Funding
Institutional Review Board Statement
Informed Consent Statement
Data Availability Statement
Conflicts of Interest
References
- Cook, N.R.; Appel, L.J.; Whelton, P.K. Sodium intake and all-cause mortality over 20 years in the Trials of Hypertension Prevention. J. Am. Coll. Cardiol. 2016, 68, 1609–1617. [Google Scholar] [CrossRef]
 - Cohen, A.J.; Roe, F.J. Review of risk factors for osteoporosis with particular reference to a possible aetiological role of dietary salt. Food Chem. Toxicol. 2000, 38, 237–253. [Google Scholar] [CrossRef] [PubMed]
 - Massey, L.K. Effect of dietary salt intake on circadian calcium metabolism, bone turnover, and calcium oxalate kidney stone risk in postmenopausal women. Nutr. Res. 2005, 25, 891–903. [Google Scholar] [CrossRef]
 - Hong, S.; Choi, J.W.; Park, J.S.; Lee, C.H. The association between dietary sodium intake and osteoporosis. Sci. Rep. 2022, 26, 14594. [Google Scholar] [CrossRef] [PubMed]
 - Hosohata, K. Biomarkers of high salt intake. Adv. Clin. Chem. 2021, 74, 104–106. [Google Scholar]
 - Karimi, R.; Mortazavian, A.M.; Karami, M. Incorporation of Lactobacillus casei in Iranian ultrafiltered Feta cheese made by partial replacement of NaCl with KCl. J. Dairy Sci. 2012, 95, 4209–4222. [Google Scholar] [CrossRef]
 - Cirila, I.A.A.; Laudiane, J.S.A.; Moreira, E.D.S.; Paula, M.C.; Della Lucia, S.M.; Carvalho, R.V.; Saraiva, S.H.; Lima, R.M.; Filho, T.L. How much can sodium chloride be substituted for potassium chloride without affecting the sensory acceptance of cracker-type biscuits? Food Res. Int. 2021, 150, 110798. [Google Scholar]
 - Ferroukhi, I.; Bord, C.; Lavigne, R.; Chassard, C.; Mardon, J. Exploring alternative salting methods to reduce sodium content in blue-veined cheeses. Int. Dairy J. 2023, 138, 105555. [Google Scholar] [CrossRef]
 - Bassett, M.N.; Pérez-Palacios, T.; Cipriano, I.; Cardoso, P.; Ferreira, I.M.P.; Samman, N. Development of bread with NaCl reduction and calcium fortification: Study of its quality characteristics. J. Food Qual. 2014, 37, 107–116. [Google Scholar] [CrossRef]
 - D’Elia, L. Potassium Intake and Human Health. Nutrients 2024, 16, 833. [Google Scholar] [CrossRef]
 - Katsiari, M.C.; Voutsinas, L.P.; Alichanidis, E.; Roussis, I.G. Reduction of sodium content in Feta cheese by partial substitution of NaCl by KCl. Int. Dairy J. 1997, 7, 465–472. [Google Scholar] [CrossRef]
 - Golin Bueno Costa, R.; Caiafa Junior, A.; Gomes da Cruz, A.; Sobral, D.; Gonçalves Costa Júnior, L.C.; Jacinto de Paula, J.C.; Magalhães Machado Moreira, G.; Aglaê Martins Teodoro, V. Effect of partial replacement of sodium chloride with potassium chloride on the characteristics of Minas Padrão cheese. Int. Dairy J. 2019, 91, 48–54. [Google Scholar] [CrossRef]
 - Ebrahimpour, M.; Yu, W.; Young, B. Artificial neural network modelling for cream cheese fermentation pH prediction at lab and industrial scales. Food Bioprod. Process. 2021, 126, 81–89. [Google Scholar] [CrossRef]
 - Lisak Jakopović, K.; Barukčić Jurina, I.; Marušić Radovčić, N.; Božanić, R.; Jurinjak Tušek, A. Reduced Sodium in White Brined Cheese Production: Artificial Neural Network Modeling for the Prediction of Specific Properties of Brine and Cheese during Storage. Fermentation 2023, 9, 783. [Google Scholar] [CrossRef]
 - Lisak Jakopović, K.; Repajić, M.; Rumora Samarin, I.; Božanić, R.; Blažić, M.; Barukčić Jurina, I. Fortification of Cow Milk with Moringa oleifera Extract: Influence on Physicochemical Characteristics, Antioxidant Capacity and Mineral Content of Yoghurt. Fermentation 2022, 8, 545. [Google Scholar] [CrossRef]
 - ISO 1738-2004 (IDF 12:2004); Butter—Determination of Salt Content. ISO: Geneva, Switzerland, 2004.
 - Rako, A.; Tudor Kalit, M.; Rako, Z.; Zamberlin, Š.; Kalit, S. Contribution of salt content to the ripening process of Croatian hard sheep milk cheese (Brač cheese). LWT 2022, 162, 113506. [Google Scholar] [CrossRef]
 - Marušić Radovčić, N.; Poljanec, I.; Petričević, S.; Mora, L.; Medić, H. Influence of Muscle Type on Physicochemical Parameters, Lipolysis, Proteolysis, and Volatile Compounds throughout the Processing of Smoked Dry-Cured Ham. Foods 2021, 10, 1228. [Google Scholar] [CrossRef]
 - ISO 22935-3:2009 (IDF 99-3:2009); Milk and Milk Products—Sensory Analysis—Part 3: Guidance on a Method for Evaluation of Compliance with Product Specifications for Sensory Properties by Scoring. ISO: Geneva, Switzerland, 2023.
 - Molnar, P.; Örsi, F. Determination of weighting factors for the sensory evaluation of food. Nahr. Food 1982, 26, 661–667. [Google Scholar] [CrossRef]
 - ISO 8589:2007; Sensory Analysis—General Guidance for the Design of Test Rooms. ISO: Geneva, Switzerland, 2007.
 - Norberg, E. Electrical conductivity of milk as a phenotypic and genetic indicator of bovine mastitis: A review. Livest. Prod. Sci. 2005, 96, 129–139. [Google Scholar] [CrossRef]
 - Peinado-Guevara, H.; Green-Ruíz, C.; Herrera-Barrientos, J.; Escolero-Fuentes, O.; Delgado-Rodríguez, O.; Belmonte-Jiménez, S.; Ladrón de Guevara, M. Relationship between chloride concentration and electrical conductivity in groundwater and its estimation from vertical electrical soundings (VESs) in Guasave, Sinaloa, Mexico. Cienc. Investig. Agrar. 2012, 39, 229–239. [Google Scholar] [CrossRef]
 - Melilli, C.; Barbano, D.M.; Licitra, G.; Tumino, G.; Farina, G.; Carpino, S. Influence of presalting and brine concentration on salt uptake by Ragusano cheese. J. Dairy Sci. 2003, 86, 1083–1100. [Google Scholar] [CrossRef] [PubMed]
 - Luo, J.; Pan, T.; Guo, H.Y.; Ren, F.Z. Effect of calcium in brine on salt diffusion and water distribution of Mozzarella cheese during brining. J. Dairy Sci. 2013, 96, 824–831. [Google Scholar] [CrossRef] [PubMed]
 - Pandiselvam, R.; Mitharwal, S.; Rani, P.; Shanker, M.A.; Kumar, A.; Aslam, R.; Barut, Y.T.; Kothakota, A.; Rustagi, S.; Bhati, D.; et al. The influence of non-thermal technologies on color pigments of food materials: An updated review. Curr. Res. Food Sci. 2023, 6, 100529. [Google Scholar] [CrossRef] [PubMed]
 - Guinee, T.P.; Fox, P.F. Salt in Cheese: Physical, Chemical, and Biological Aspects. In Cheese: Chemistry, Physics and Microbiology; Fox, P.F., McSweeney, P.L.H., Cogan, T.M., Guinee, T.P., Eds.; Elsevier Academic Press: Cambridge, MA, USA, 2004; pp. 207–259. [Google Scholar]
 - Kamleh, R.; Olabi, A.; Toufeili, I.; Daroub, H.; Younis, T.; Ajib, R. The effect of partial substitution of NaCl with KCl on the physicochemical, microbiological and sensory properties of Akkawi cheese. J. Sci. Food Agric. 2015, 95, 1940–1948. [Google Scholar] [CrossRef] [PubMed]
 - Igoshi, A.; Sato, Y.; Kameyama, K.; Murata, M. Galactose Is the Limiting Factor for the Browning or Discoloration of Cheese during Storage. J. Nutr. Sci. Vitaminol. 2017, 63, 412–418. [Google Scholar] [CrossRef] [PubMed]
 - Soltani, M.; Say, D.; Guzeler, N. Changes in texture profile and mineral content of ultrafiltered white cheese produced using different salt concentrations. Mljekarstvo 2024, 74, 64–74. [Google Scholar] [CrossRef]
 - Guinee, T.P. Salting and the role of salt in cheese. Int. J. Dairy Technol. 2004, 57, 99–109. [Google Scholar] [CrossRef]
 - Wang, L.F.; Zhang, X.W. Effects of potassium chloride on the quality characteristics of reduced-sodium cheese. J. Dairy Sci. 2012, 95, 7348–7355. [Google Scholar]
 - Da Silva, T.; De Souza, V.R.; Pinheiro, C.M.; Nunes, C.A.; Freire, T.V.M. Equivalence salting and temporal dominance of sensations analysis for different sodium chloride substitutes in cream cheese. Int. J. Dairy Technol. 2014, 67, 31–38. [Google Scholar] [CrossRef]
 - Silva Matins, N.; Ferreira, E.B.; Piedade, S.M.S.; Lucia, F.D. Shelf life prediction for non-accelerated studies (shenon) appliedto minimally processed eggplant. J. Food Nutr. Res. 2016, 4, 592–595. [Google Scholar]
 - Soodam, K.; Ong, L.; Powell, I.B.; Kentish, S.E.; Gras, S.L. Effect of calcium chloride addition and draining pH on the microstructure and texture of full fat Cheddar cheese during ripening. Food Chem. 2015, 15, 111–118. [Google Scholar] [CrossRef] [PubMed]
 - Almeida, J.S. Predictive non-linear modelling of complex data by artificial neural networks. Curr. Opin. Biotechnol. 2002, 13, 72–76. [Google Scholar] [CrossRef] [PubMed]
 






| Variable | Day of Storage | Samples | |||
|---|---|---|---|---|---|
| BC | BK1 | BK2 | BK3 | ||
| pH | 0 | 4.70 ± 0.00 A,a | 4.70 ± 0.00 A,a | 4.70 ± 0.00 A,a | 4.70 ± 0.00 A,a | 
| 7 | 4.77 ± 0.02 A,a | 4.83 ± 0.01 A,b | 4.87 ± 0.03 B,b | 5.07 ± 0.05 C,b | |
| 14 | 4.88 ± 0.09 A,b | 4.87 ± 0.02 A,c | 4.88 ± 0.02 A,c | 5.08 ± 0.03 B,c | |
| 21 | 4.91 ± 0.06 A,c | 4.92 ± 0.00 A,d | 5.03 ± 0.07 B,d | 5.05 ± 0.01 C,d | |
| 28 | 4.99 ± 0.06 A,d | 5.07 ± 0.00 A,e | 5.20 ± 0.04 B,e | 5.23 ± 0.00 C,e | |
| TDS (g/L) | 0 | 52.27 ± 2.89 A,a | 55.33 ± 1.81 A,a | 55.63 ± 0.06 A,a | 47.70 ± 0.00 A,a | 
| 7 | 44.13 ± 2.53 A,b | 45.97 ± 0.31 A,b | 47.27 ± 0.55 A,b | 40.17 ± 1.11 A,b | |
| 14 | 42.27 ± 2.48 A,c | 42.97 ± 0.74 A,c | 45.07 ± 2.15 A,c | 33.90 ± 0.20 B,c | |
| 21 | 38.37 ± 5.87 A,d | 41.50 ± 3.83 A,d | 41.90 ± 3.29 A,d | 36.23 ± 0.91 A,d | |
| 28 | 33.93 ± 3.35 A,e | 36.77 ± 0.42 A,e | 37.93 ± 0.56 A,e | 29.57 ± 1.37 A,e | |
| S (mS/cm) | 0 | 103.97 ± 2.89 A,a | 110.83 ± 3.50 A,a | 111.23 ± 0.12 A,a | 96.60 ± 0.00 A,a | 
| 7 | 86.57 ± 2.57 A,b | 91.07 ± 0.61 A,b | 93.83 ± 0.61 A,b | 80.13 ± 1.33 A,b | |
| 14 | 83.93 ± 2.37 A,c | 87.37 ± 2.28 A,c | 90.70 ± 3.75 A,c | 68.37 ± 0.23 B,c | |
| 21 | 78.07 ± 4.10 A,d | 83.77 ± 7.09 A,d | 85.63 ± 6.51 A,d | 66.50 ± 1.40 B,d | |
| 28 | 67.75 ± 3.85 A,e | 74.07 ± 0.72 A,e | 76.70 ± 0.87 A,e | 59.10 ± 1.85 A,e | |
| L* | 0 | 99.84 ± 0.11 A,a | 99.71 ± 0.00 A,a | 99.67 ± 0.22 A,a | 99.45 ± 0.00 A,a | 
| 7 | 96.77 ± 0.13 A,a | 92.99 ± 5.11 A,b | 93.33 ± 5.47 A,a | 82.67 ± 5.95 A,a | |
| 14 | 91.94 ± 1.77 A,a | 78.94 ± 10.37 A,a | 87.66 ± 1.20 A,a | 75.19 ± 17.71 A,b | |
| 21 | 92.64 ± 0.42 A,a | 81.26 ± 5.35 A,a | 78.47 ± 1.87 A,b | 77.73 ± 11.11 A,c | |
| 28 | 92.36 ± 0.60 A,a | 82.13 ± 8.51 A,a | 48.62 ± 3.26 B,c | 51.70 ± 7.85 C,d | |
| a* | 0 | 0.03 ± 0.00 A,a | 0.05 ± 0.04 A,a | 0.08 ± 0.02 A,a | 0.07 ± 0.00 A,a | 
| 7 | −0.31 ± 0.04 A,b | 0.17 ± 0.09 B,a | 0.16 ± 0.04 C,a | 0.33 ± 0.18 D,b | |
| 14 | −0.29 ± 0.08 A,c | 0.32 ± 0.07 B,b | 0.20 ± 0.05 C,a | 0.54 ± 0.15 D,c | |
| 21 | −0.24 ± 0.07 A,d | 0.26 ± 0.07 B,a | 0.31 ± 0.11 C,a | 0.51 ± 0.18 D,d | |
| 28 | −0.12 ± 0.03 A,a | 0.36 ± 0.02 B,c | 0.55 ± 0.03 C,b | 0.82 ± 0.09 D,e | |
| b* | 0 | 0.08 ± 0.02 A,a | 0.17 ± 0.08 A,a | 0.23 ± 0.04 A,a | 0.45 ± 0.00 A,a | 
| 7 | 3.77 ± 0.14 A,b | 4.38 ± 0.69 A,b | 4.56 ± 1.16 A,b | 6.07 ± 0.64 A,b | |
| 14 | 4.93 ± 0.34 A,c | 6.96 ± 0.42 A,c | 6.85 ± 0.62 A,c | 6.19 ± 1.58 A,c | |
| 21 | 5.96 ± 0.59 A,d | 7.07 ± 0.57 A,d | 8.02 ± 1.05 A,d | 7.43 ± 0.97 A,d | |
| 28 | 6.33 ± 0.03 A,e | 7.48 ± 0.30 A,e | 12.31 ± 2.21 B,e | 10.30 ± 0.97 C,e | |
| Sample | Brine Property | Kinetic Model | Model Parameters | R2 | R2adj | SEE | 
|---|---|---|---|---|---|---|
| BC | pH | Exponential growth | a = 4.7073 ± 0.0230 b = 0.0021 ± 0.0003 1/day  | 0.8157 | 0.8016 | 0.0519 | 
| TDS | Exponential decay | a = 51.1753 ± 0.7624 g/L b = 0.0145 ± 0.0010 1/day  | 0.9422 | 0.9378 | 1.6041 | |
| S | Exponential decay | a = 101.1718 ± 2.0028 mS/cm b = 0.0139 ± 0.0013 1/day  | 0.8954 | 0.8874 | 4.2236 | |
| L* | Exponential decay | a = 98.6112 ± 0.8040 b = 0.0029 ± 0.0005 1/day  | 0.7300 | 0.7092 | 1.7740 | |
| a* | Exponential growth | a = 6.4137 ± 0.2273 b = 0.1163 ± 0.0125 1/day  | 0.9818 | 0.9804 | 0.3243 | |
| b* | Quadratic model | a = −0.426 ± 0.0063  b = 0.0014 ± 0.0002 c = −0.0037 ± 0.0371  | 0.7933 | 0.7588 | 0.0683 | |
| BK1 | pH | Exponential growth | a = 4.7133 ± 0.0135 b = 0.0021 ± 0.0002 1/day  | 0.9444 | 0.9401 | 0.0306 | 
| TDS | Exponential decay | a = 53.3946 ± 1.1653 g/L b = 0.0137 ± 0.0015 1/day  | 0.8709 | 0.8610 | 2.4597 | |
| S | Exponential decay | a = 106.6447 ± 2.4210 mS/cm b = 0.0132 ± 0.0015 1/day  | 0.8545 | 0.8433 | 5.1194 | |
| L* | Exponential decay | a = 96.9774 ± 3.5023 b = 0.0080 ± 0.0023 1/day  | 0.4791 | 0.4390 | 7.5614 | |
| a* | Exponential growth | a = 7.7399 ± 0.3032 b = 0.1310 ± 0.0171 1/day  | 0.9725 | 0.9704 | 0.4943 | |
| b* | Exponential growth to maximum | a = 0.3479 ± 0.0504 b = 0.1140 ± 0.0495 1/day  | 0.7109 | 0.6887 | 0.0702 | |
| BK2 | pH | Exponential growth | a = 4.7075 ± 0.0179 b = 0.0034 ± 0.0002 1/day  | 0.9492 | 0.9453 | 0.0407 | 
| TDS | Exponential decay | a = 54.1919 ± 0.9700 g/L b = 0.0130 ± 0.0012 1/day  | 0.9023 | 0.8948 | 2.0528 | |
| S | Exponential decay | a = 107.9383 ± 2.0431 mS/cm b = 0.0122 ± 0.0012 1/day  | 0.8814 | 0.8723 | 4.3365 | |
| L* | Exponential decay | a = 104.9552 ± 4.3242 b = 0.0192 ± 0.0029 1/day  | 0.7871 | 0.7707 | 8.9459 | |
| a* | Exponential growth | a = 0.0799 ± 0.0145 b = 0.0681 ± 0.0073 1/day  | 0.9101 | 0.9032 | 0.0545 | |
| b* | Exponential growth to maximum | a = 24.3896 ± 14.8288 b = 0.0230 ± 0.0018 1/day  | 0.9008 | 0.8932 | 1.3897 | |
| BK3 | pH | Exponential growth | a = 4.8219 ± 0.0466 b = 0.0029 ± 0.0005 1/day  | 0.6891 | 0.6652 | 0.1057 | 
| TDS | Exponential decay | a = 46.1769 ± 1.1605 g/L b = 0.0157 ± 0.0017 1/day  | 0.8661 | 0.8558 | 2.4311 | |
| S | Exponential decay | a = 93.5068 ± 1.6409 mS/cm b = 0.0177 ± 0.0012 1/day  | 0.9415 | 0.9370 | 3.4129 | |
| L* | Exponential decay | a = 98.4078 ± 5.2847 b = 0.0183 ± 0.0039 1/day  | 0.6481 | 0.6210 | 11.1738 | |
| a* | Exponential growth to maximum | a = 0.9947 ± 0.3790 b = 0.0497 ± 0.0330 1/day  | 0.7453 | 0.7257 | 0.1472 | |
| b* | Exponential growth to maximum | a = 9.8673 ± 1.2965 b = 0.0943 ± 0.0322 1/day  | 0.8419 | 0.8297 | 1.1406 | 
| Variable | Day of Storage | Samples | |||
|---|---|---|---|---|---|
| C | K1 | K2 | K3 | ||
| pH | 0 | 4.85 ± 0.10 A,a | 4.85 ± 0.10 A,a | 4.85 ± 0.10 A,a | 5.04 ± 0.00 A,a | 
| 7 | 4.87 ± 0.13 A,a | 4.85 ± 0.03 A,a | 4.93 ± 0.03 A,a | 5.16 ± 0.06 B,a | |
| 14 | 5.00 ± 0.11 A,a | 5.06 ± 0.14 A,a | 4.88 ± 0.01 A,b | 5.18 ± 0.05 A,a | |
| 21 | 5.13 ± 0.11 A,b | 5.02 ± 0.07 A,a | 5.14 ± 0.01 A,c | 5.21 ± 0.0 A,a | |
| 28 | 5.25 ± 0.16 A,c | 5.15 ± 0.04 A,b | 5.32 ± 0.12 A,a | 5.39 ± 0.0 A,b | |
| °SH | 0 | 83.20 ± 0.00 A,a | 83.20 ± 0.00 A,a | 83.20 ± 0.00 A,a | 63.20 ± 0.00 B,a | 
| 7 | 46.50 ± 7.60 A,b | 43.30 ± 9.11 A,b | 42.80 ± 15.30 A,b | 21.60 ± 1.10 B,b | |
| 14 | 34.80 ± 5.40 A,c | 30.40 ± 9.10 A,c | 31.53 ± 10.70 A,c | 20.30 ± 0.40 A,c | |
| 21 | 30.00 ± 4.00 A,d | 31.33 ± 1.62 A,d | 16.50 ± 1.60 A,d | 24.00 ± 0.00 A,d | |
| 28 | 35.90 ± 1.40 A,e | 28.40 ± 0.60 A,e | 22.20 ± 1.50 A,e | 26.40 ± 0.40 A,e | |
| Salt concentration  | 7 | 5.46 ± 0.26 A,a | 6.37 ± 0.06 B,a | 6.24 ± 0.08 C,a | 5.11 ± 0.27 A,a | 
| 14 | 6.39 ± 0.25 A,b | 6.33 ± 0.06 A,a | 6.42 ± 0.17 A,a | 4.75 ± 0.62 A,a | |
| 21 | 6.21 ± 0.26 A,a | 5.88 ± 0.22 A,a | 6.06 ± 0.20 A,a | 5.94 ± 0.32 A,a | |
| 28 | 6.83 ± 0.51 A,c | 6.70 ± 0.02 A,a | 6.36 ± 0.13 A,a | 6.12 ± 0.37 A,b | |
| L* | 0 | 92.45 ± 0.13 A,a | 93.45 ± 0.58 A,a | 92.01 ± 0.51 A,a | 93.16 ± 0.40 A,a | 
| 7 | 93.52 ± 0.93 A,a | 93.52 ± 0.93 A,a | 93.52 ± 0.93 A,a | 92.46 ± 0.01 A,a | |
| 14 | 92.13 ± 0.77 A,a | 94.35 ± 0.37 B,a | 92.46 ± 0.01 A,a | 93.40 ± 0.18 A,a | |
| 21 | 91.49 ± 0.26 A,a | 92.17 ± 0.76 A,a | 93.40 ± 0.18 B,a | 93.27 ± 0.30 C,a | |
| 28 | 90.37 ± 0.99 A,b | 90.61 ± 0.59 A,b | 93.27 ± 0.30 B,a | 93.16 ± 0.42 C,a | |
| a* | 0 | −0.49 ± 0.40 A,a | −0.49 ± 0.40 A,a | −0.49 ± 0.40 A,a | −0.49 ± 0.40 A,a | 
| 7 | −0.33 ± 0.24 A,a | −0.44 ± 0.22 A,a | −0.50 ± 0.39 A,a | −0.72 ± 0.11 A,a | |
| 14 | −0.47 ± 0.43 A,a | −0.96 ± 0.14 A,a | −0.53 ± 0.33 A,a | −0.55 ± 0.11 A,a | |
| 21 | −0.50 ± 0.25 A,a | −0.18 ± 0.86 A,a | −0.54 ± 0.23 A,a | −0.21 ± 0.19 A,a | |
| 28 | −0.93 ± 0.43 A,a | −0.41 ± 0.64 A,a | −0.35 ± 0.26 A,a | −0.16 ± 0.26 A,a | |
| b* | 0 | 13.68 ± 1.46 A,a | 13.68 ± 1.46 A,a | 13.68 ± 1.46 A,a | 13.68 ± 1.46 A,a | 
| 7 | 9.76 ± 0.41 A,a | 12.73 ± 0.55 A,a | 11.80 ± 0.42 A,a | 12.58 ± 0.44 A,a | |
| 14 | 13.11 ± 2.18 A,a | 12.73 ± 1.44 A,a | 11.68 ± 1.87 A,a | 12.53 ± 0.30 A,a | |
| 21 | 11.71 ± 1.69 A,a | 12.35 ± 0.98 A,a | 11.08 ± 2.52 A,a | 12.40 ± 0.16 A,a | |
| 28 | 10.45 ± 0.96 A,a | 10.74 ± 0.29 A,a | 11.13 ± 1.22 A,a | 11.85 ± 0.15 A,a | |
| Variable | Day of Storage | Samples | |||
|---|---|---|---|---|---|
| C | K1 | K2 | K3 | ||
| Hardness (N) | 7 | 10.35 ± 3.26 A,a | 14.46 ± 4.95 A,a | 9.42 ± 1.31 A,a | 8.42 ± 1.27 A,a | 
| 14 | 8.18 ± 3.39 A,a | 8.11 ± 1.64 A,a | 8.96 ± 3.57 A,a | 7.26 ± 1.38 A,a | |
| 21 | 8.64 ± 3.13 A,a | 7.44 ± 0.70 A,a | 7.74 ± 0.74 A,a | 6.82 ± 4.91 A,a | |
| 28 | 5.21 ± 0.80 A,a | 4.27 ± 0.57 B,a | 4.90 ± 2.21 A,a | 3.92 ± 0.22 A,a | |
| Adhesive force (N) | 7 | −0.15 ± 0.04 A,a | −0.17 ± 0.03 A,a | −0.11 ± 0.04 A,a | −0.14 ± 0.04 A,a | 
| 14 | −0.11 ± 0.05 A,a | −0.14 ± 0.06 A,a | −0.18 ± 0.08 A,a | −0.18 ± 0.05 A,a | |
| 21 | −0.16 ± 0.06 A,a | −0.12 ± 0.02 A,a | −0.15 ± 0.03 A,a | −0.19 ± 0.03 A,a | |
| 28 | −0.13 ± 0.04 A,a | −0.09 ± 0.02 B,a | −0.13 ± 0.05 A,a | −0.15 ± 0.05 A,a | |
| Adhesiveness (N mm) | 7 | 0.51 ± 0.11 A,a | 0.39 ± 0.29 A,a | 0.37 ± 0.15 A,a | 0.77 ± 0.25 A,a | 
| 14 | 0.44 ± 0.45 A,a | 0.50 ± 0.10 A,a | 0.56 ± 0.23 A,a | 0.76 ± 0.13 A,a | |
| 21 | 0.53 ± 0.07 A,a | 0.43 ± 0.09 A,a | 0.68 ± 0.18 A,a | 0.47 ± 0.20 A,a | |
| 28 | 0.46 ± 0.19 A,a | 0.38 ± 0.05 A,a | 0.35 ± 0.02 A,a | 0.71 ± 0.25 A,a | |
| Cohesiveness (N/m) | 7 | 0.28 ± 0.05 A,a | 0.27 ± 0.01 A,a | 0.24 ± 0.01 A,a | 0.22 ± 0.04 A,a | 
| 14 | 0.24 ± 0.03 A,a | 0.26 ± 0.02 A,a | 0.28 ± 0.05 A,a | 0.24 ± 0.02 A,a | |
| 21 | 0.25 ± 0.02 A,a | 0.24 ± 0.04 A,a | 0.24 ± 0.04 A,a | 0.21 ± 0.02 A,a | |
| 28 | 0.22 ± 0.02 A,a | 0.23 ± 0.03 A,a | 0.25 ± 0.02 A,a | 0.23 ± 0.02 A,a | |
| Gumminess (N) | 7 | 3.00 ± 1.27 A,a | 3.93 ± 1.40 A,a | 1.77 ± 0.34 A,a | 1.47 ± 0.50 A,a | 
| 14 | 1.98 ± 0.95 A,a | 2.14 ± 0.54 A,a | 2.53 ± 1.12 A,a | 1.97 ± 0.40 A,a | |
| 21 | 2.14 ± 0.71 A,a | 1.76 ± 0.40 A,a | 1.90 ± 0.47 A,a | 1.45 ± 1.17 A,a | |
| 28 | 1.17 ± 0.27 A,a | 0.96 ± 0.16 B,a | 1.20 ± 0.44 A,a | 0.92 ± 0.12 A,a | |
| Postponed elasticity (mm) | 7 | −3.01 ± 2.28 A,a | −2.02 ± 1.39 A,a | −1.47 ± 0.83 A,a | −3.86 ± 1.19 A,a | 
| 14 | −3.70 ± 1.02 B,a | −4.51 ± 0.89 B,a | −4.09 ± 1.25 B,a | −4.88 ± 0.60 A,a | |
| 21 | −0.99 ± 1.09 A,a | −3.36 ± 1.75 A,a | −3.87 ± 1.36 A,a | −4.20 ± 1.92 A,a | |
| 28 | −5.69 ± 0.98 A,a | −4.75 ± 1.14 A,a | −3.38 ± 1.47 A,a | −5.57 ± 0.38 A,a | |
| Chewiness (N mm) | 7 | 15.92 ± 8.47 A,a | 10.82 ± 9.20 A,a | 10.41 ± 3.78 A,a | 6.49 ± 2.59 A,a | 
| 14 | 7.89 ± 5.46 A,a | 8.49 ± 3.37 A,a | 7.71 ± 6.89 A,a | 4.54 ± 1.99 A,a | |
| 21 | 10.73 ± 5.03 A,a | 7.18 ± 3.07 A,a | 6.98 ± 2.07 A,a | 4.11 ± 4.49 A,a | |
| 28 | 3.00 ± 1.08 B,a | 2.13 ± 0.85 B,a | 2.92 ± 2.21 B,a | 2.09 ± 0.83 B,a | |
| Resistance (N) | 7 | 0.27 ± 0.07 A,a | 0.28 ± 0.08 A,a | 0.36 ± 0.05 A,a | 0.24 ± 0.08 A,a | 
| 14 | 0.24 ± 0.07 A,a | 0.22 ± 0.02 A,a | 0.24 ± 0.06 A,a | 0.20 ± 0.01 A,a | |
| 21 | 0.38 ± 0.04 A,a | 0.27 ± 0.08 A,a | 0.24 ± 0.06 A,a | 0.22 ± 0.10 A,a | |
| 28 | 0.18 ± 0.02 A,a | 0.22 ± 0.04 A,a | 0.24 ± 0.13 A,a | 0.20 ± 0.02 A,a | |
| Breakage (N) | 7 | 10.05 ± 3.35 A,a | 7.56 ± 4.72 A,a | 7.28 ± 1.26 A,a | 5.93 ± 1.15 A,a | 
| 14 | 7.37 ± 2.80 A,a | 5.98 ± 2.87 A,a | 5.60 ± 2.31 A,a | 5.09 ± 2.18 A,a | |
| 21 | 8.46 ± 3.05 A,a | 5.94 ± 2.67 A,a | 5.80 ± 2.22 A,a | 6.24 ± 4.95 A,a | |
| 28 | 4.58 ± 0.57 B,a | 4.03 ± 0.62 A,a | 4.43 ± 2.46 A,a | 3.23 ± 0.65 A,a | |
| Fibrousness (mm) | 7 | 8.04 ± 2.55 A,a | 4.72 ± 3.21 A,a | 7.35 ± 1.28 A,a | 10.22 ± 0.43 A,a | 
| 14 | 7.43 ± 4.40 A,a | 6.20 ± 1.52 A,a | 5.67 ± 1.54 A,a | 11.74 ± 1.30 A,a | |
| 21 | 5.61 ± 1.47 A,a | 6.80 ± 2.61 A,a | 7.91 ± 2.77 A,a | 6.12 ± 2.82 A,a | |
| 28 | 8.69 ± 3.00 A,a | 8.15 ± 2.39 A,a | 7.68 ± 5.57 A,a | 9.63 ± 3.53 A,a | |
| Property | Day of Storage | Samples | |||
|---|---|---|---|---|---|
| C | K1 | K2 | K3 | ||
| Appearance | 7 | 1.9 ± 0.1 A,a | 1.9 ± 0.08 A,a | 1.9 ± 0.1 A,a | 1.9 ± 0.2 A,a | 
| 14 | 1.9 ± 0.1 A,a | 1.7 ± 0.3 A,a | 1.8 ± 0.3 A,a | 1.9 ± 0.1 A,a | |
| 21 | 1.9 ± 0.3 A,a | 1.8 ± 0.2 A,a | 1.8 ± 0.5 A,a | 1.7 ± 0.3 A,a | |
| 28 | 1.9 ± 0.2 A,a | 1.9 ± 0.2 A,a | 1.7 ± 0.5 A,a | 1.8 ± 0.3 A,a | |
| Colour | 7 | 1.1 ± 0.4 A,a | 0.9 ± 0.1 A,a | 1.1 ± 0.3 A,a | 1.0 ± 0.1 A,a | 
| 14 | 1.0 ± 0.1 A,a | 0.9 ± 0.1 A,a | 0.9 ± 0.1 A,a | 0.9 ± 0.1 A,a | |
| 21 | 1.4 ± 1.9 A,a | 0.9 ± 0.2 B,a | 0.9 ± 0.2 B,a | 0.8 ± 0.2 B,a | |
| 28 | 0.9 ± 0.2 A,b | 0.9 ± 0.5 A,a | 0.8 ± 0.2 A,b | 0.9 ± 0.1 A,a | |
| Consistency | 7 | 1.9 ± 0.3 A,a | 1.1 ± 0.3 B,a | 2.0 ± 0.1 A,a | 1.9 ± 0.2 A,a | 
| 14 | 2.0 ± 0.0 A,a | 0.9 ± 0.1 B,a | 2.0 ± 0.1 A,a | 1.8 ± 0.3 B,a | |
| 21 | 1.9 ± 0.1 A,a | 0.9 ± 0.2 B,a | 1.9 ± 0.2 A,a | 1.8 ± 0.4 A,a | |
| 28 | 1.9 ± 0.2 A,a | 0.8 ± 0.2 B,b | 1.8 ± 0.4 A,a | 1.7 ± 0.6 A,a | |
| Cut | 7 | 3.0 ± 3.8 A,a | 2.9 ± 0.2 A,a | 3.0 ± 0.1 A,a | 2.9 ± 0.1 A,a | 
| 14 | 3.0 ± 0.0 A,a | 3.0 ± 0.1 A,a | 3.0 ± 0.1 A,a | 2.9 ± 0.3 A,a | |
| 21 | 3.0 ± 0.0 A,a | 2.9 ± 0.2 A,a | 2.9 ± 0.2 A,a | 3.0 ± 0.1 A,a | |
| 28 | 2.8 ± 0.4 A,a | 2.8 ± 0.5 A,a | 2.8 ± 0.4 A,a | 2.8 ± 0.3 A,a | |
| Odour | 7 | 2.0 ± 0.1 A,a | 1.9 ± 0.2 A,a | 1.9 ± 0.2 A,a | 1.9 ± 0.2 A,a | 
| 14 | 1.9 ± 0.3 A,a | 1.9 ± 0.1 A,a | 1.9 ± 0.1 A,a | 1.8 ± 0.2 A,a | |
| 21 | 2.0 ± 0.0 A,a | 1.9 ± 0.1 A,a | 1.9 ± 0.2 A,a | 1.9 ± 0.1 A,a | |
| 28 | 2.0 ± 0.0 A,a | 1.9 ± 0.3 A,a | 1.9 ± 0.3 A,a | 2.0 ± 0.1 A,a | |
| Taste | 7 | 9.0 ± 4.0 A,b | 9.1 ± 1.1 A,a | 9.3 ± 0.8 A,a | 7.8 ± 2.7 B,a, | 
| 14 | 9.5 ± 0.4 A,a | 9.3 ± 0.8 A,a | 9.3 ± 0.8 A,a | 5.8 ± 2.7 B,b | |
| 21 | 8.9 ± 1.1 A,b | 8.7 ± 2.2 A,b | 8.1 ± 2.2 B,b | 5.0 ± 3.5 C,c | |
| 28 | 9.2 ± 0.6 A,a | 8.4 ± 0.8 B,b | 8.3 ± 1.2 B,b | 4.6 ± 2.8 C,d | |
| Sample | Network Structure | Hidden  Activation Function  | Output Activation Function | Training Perf. Training Error  | Test Perf. Test Error  | Validation Perf. Validation Error  | 
|---|---|---|---|---|---|---|
| Brine | MLP 3-9-6 (physical properties)  | Tanh | Logistic | 0.9722 0.0107  | 0.9398 0.0184  | 0.9048 0.0373  | 
| Output variable | ||||||
| pH | 0.9892 | 0.9883 | 0.9782 | |||
| S | 0.9901 | 0.9813 | 0.8861 | |||
| TDS | 0.9847 | 0.9777 | 0.8738 | |||
| L* | 0.9551 | 0.8069 | 0.7651 | |||
| a* | 0.9626 | 0.9605 | 0.9030 | |||
| b* | 0.9785 | 0.9650 | 0.9456 | |||
| Cheese | MLP 6-4-3 (physical properties)  | Tanh | Identity | 0.8779 0.0295  | 0.8744 0.0299  | 0.8770 0.0468  | 
| Output variable | ||||||
| pH | 0.8751 | 0.8370 | 0.8189 | |||
| °SH | 0.8574 | 0.8539 | 0.8049 | |||
| Salt conc. | 0.9012 | 0.8525 | 0.8425 | |||
| MLP 6-7-1 (total colour change)  | Tanh | Identity | 0.9974 0.0041  | 0.9687 0.0096  | 0.9486 0.0112  | |
| MLP 6-8-1  (hardness)  | Exponential | Logistic | 0.9987 0.0001  | 0.9985 0.0134  | 0.8178 0.0175  | |
Disclaimer/Publisher’s Note: The statements, opinions and data contained in all publications are solely those of the individual author(s) and contributor(s) and not of MDPI and/or the editor(s). MDPI and/or the editor(s) disclaim responsibility for any injury to people or property resulting from any ideas, methods, instructions or products referred to in the content.  | 
© 2024 by the authors. Licensee MDPI, Basel, Switzerland. This article is an open access article distributed under the terms and conditions of the Creative Commons Attribution (CC BY) license (https://creativecommons.org/licenses/by/4.0/).
Share and Cite
Lisak Jakopović, K.; Barukčić Jurina, I.; Marušić Radovčić, N.; Božanić, R.; Jurinjak Tušek, A. Utilisation of Potassium Chloride in the Production of White Brined Cheese: Artificial Neural Network Modeling and Kinetic Models for Predicting Brine and Cheese Properties during Storage. Foods 2024, 13, 3031. https://doi.org/10.3390/foods13193031
Lisak Jakopović K, Barukčić Jurina I, Marušić Radovčić N, Božanić R, Jurinjak Tušek A. Utilisation of Potassium Chloride in the Production of White Brined Cheese: Artificial Neural Network Modeling and Kinetic Models for Predicting Brine and Cheese Properties during Storage. Foods. 2024; 13(19):3031. https://doi.org/10.3390/foods13193031
Chicago/Turabian StyleLisak Jakopović, Katarina, Irena Barukčić Jurina, Nives Marušić Radovčić, Rajka Božanić, and Ana Jurinjak Tušek. 2024. "Utilisation of Potassium Chloride in the Production of White Brined Cheese: Artificial Neural Network Modeling and Kinetic Models for Predicting Brine and Cheese Properties during Storage" Foods 13, no. 19: 3031. https://doi.org/10.3390/foods13193031
APA StyleLisak Jakopović, K., Barukčić Jurina, I., Marušić Radovčić, N., Božanić, R., & Jurinjak Tušek, A. (2024). Utilisation of Potassium Chloride in the Production of White Brined Cheese: Artificial Neural Network Modeling and Kinetic Models for Predicting Brine and Cheese Properties during Storage. Foods, 13(19), 3031. https://doi.org/10.3390/foods13193031
        
