Optimization of the Microwave-Assisted Extraction of Caffeine from Roasted Coffee Beans
Abstract
1. Introduction
2. Materials and Methods
2.1. Chemicals and Reagents
2.2. Caffeine Extraction from Roasted Coffee Beans
2.3. Caffeine Sample FTIR Analysis
2.4. UHPLC-ESI-MS/MS Analysis
3. Results and Discussion
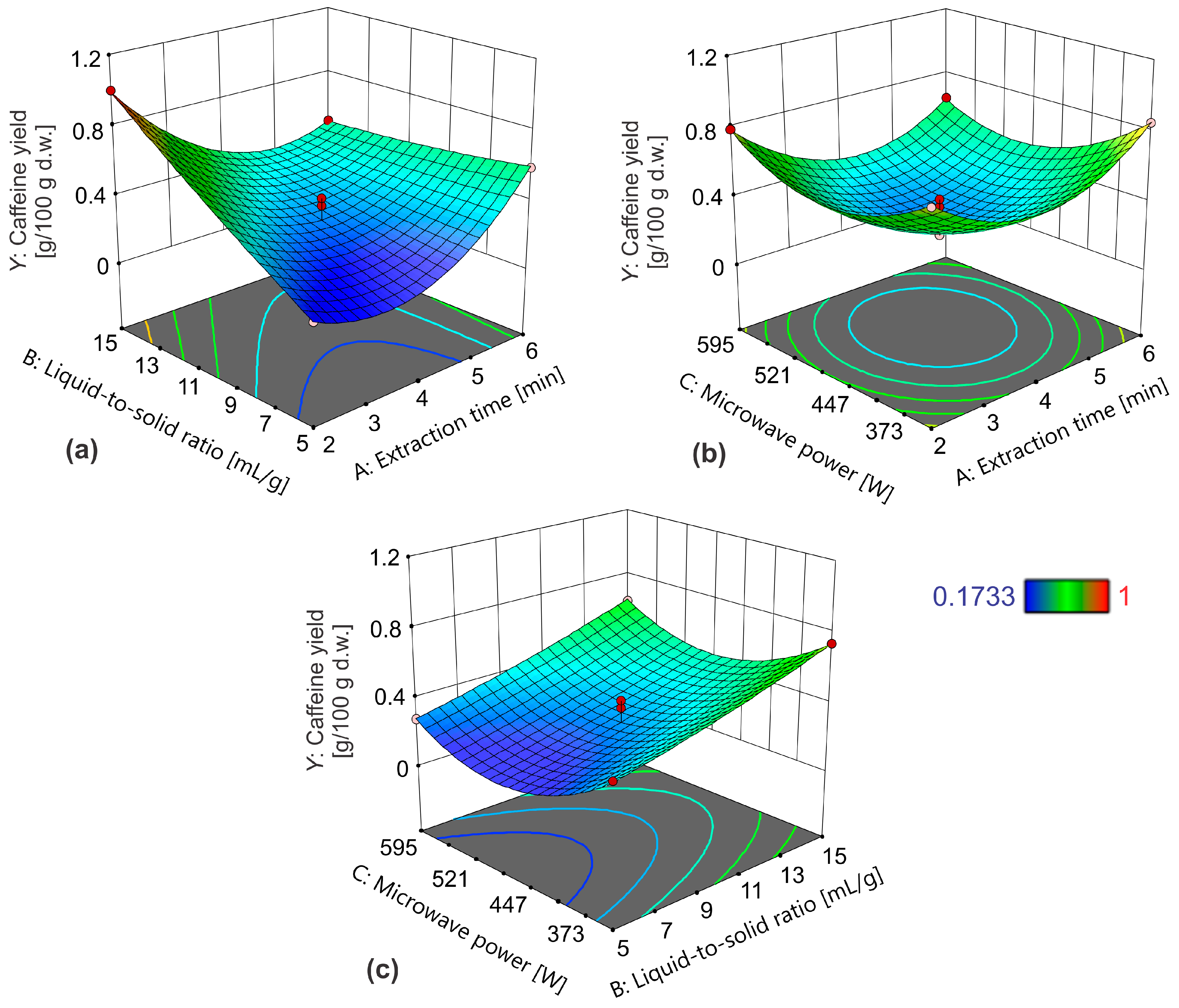
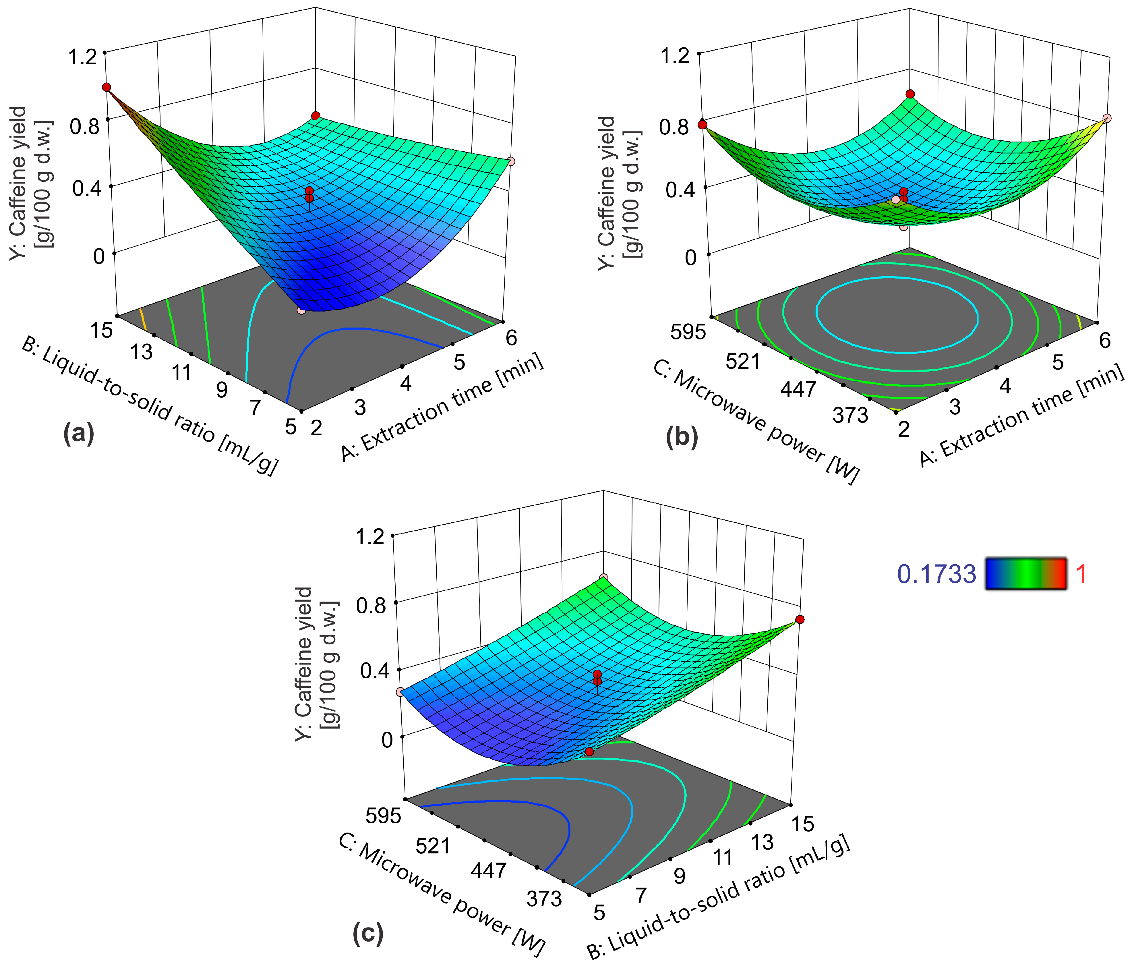
3.1. Modeling of Microwave-Assisted Extraction of Caffeine from Roasted Coffee Beans
3.2. Optimization and Validation of Microwave-Assisted Extraction of Caffeine from Roasted Coffee Beans
3.3. Structural Characterization and Purity of Isolated Caffeine
4. Conclusions
Author Contributions
Funding
Institutional Review Board Statement
Informed Consent Statement
Data Availability Statement
Conflicts of Interest
References
- The Foreign Agricultural Service (FAS). Available online: https://apps.fas.usda.gov/psdonline/circulars/coffee.pdf (accessed on 13 June 2024).
- Olechno, E.; Puścion-Jakubik, A.; Zujko, M.E.; Socha, K. Influence of various factors on caffeine content in coffee brews. Foods 2021, 10, 1208–1236. [Google Scholar] [CrossRef] [PubMed]
- Safe, S.; Kothari, J.; Hailemariam, A.; Upadhyay, S.; Davidson, L.A.; Chapkin, R.S. Health benefits of coffee consumption for cancer and other diseases and mechanisms of action. Int. J. Mol. Sci. 2023, 24, 2706. [Google Scholar] [CrossRef] [PubMed]
- Esquivel, P.; Jiménez, V.M. Functional properties of coffee and coffee by-products. Food Res. Int. 2012, 46, 488–495. [Google Scholar] [CrossRef]
- Chaugule, A.; Patil, H.; Pagariya, S.; Ingle, P. Extraction of caffeine. J. Adv. Chem. Sci. 2019, 6, 11–19. [Google Scholar]
- Gajewska, M.; Paini, A.; Benito, J.V.S.; Burton, J.; Worth, A.; Urani, C.; Briesen, H.; Schramm, K.-W. In vitro-to-in vivo correlation of the skin penetration, liver clearance and hepatotoxicity of caffeine. Food Chem. Toxicol. 2015, 75, 39–49. [Google Scholar] [CrossRef]
- Samoggia, A.; Landuzzi, P.; Vicién, C.E. Market expansion of caffeine-containing products: Italian and argentinian yerba mate consumer behavior and health perception. Int. J. Environ. Res. Public Health 2021, 18, 8117. [Google Scholar] [CrossRef]
- Bouhzam, I.; Cantero, R.; Balcells, M.; Margallo, M.; Aldaco, R.; Bala, A.; Fullana-I-Palmer, P.; Puig, R. Environmental and yield comparison of quick extraction methods for caffeine and chlorogenic acid from spent coffee grounds. Foods 2023, 12, 779–797. [Google Scholar] [CrossRef] [PubMed]
- Sivrikaya, S. A deep eutectic solvent based liquid phase microextraction for the determination of caffeine in Turkish coffee samples by HPLC-UV. Food Addit. Contam. Part A 2020, 37, 488–495. [Google Scholar] [CrossRef]
- Vandeponseele, A.; Draye, M.; Piot, C.; Chatel, G. Study of influential parameters of the caffeine extraction from spent coffee grounds: From brewing coffee method to the waste treatment conditions. Clean Technol. 2021, 3, 335–350. [Google Scholar] [CrossRef]
- Chatzimitakos, T.; Athanasiadis, V.; Kotsou, K.; Palaiogiannis, D.; Bozinou, E.; Lalas, S.I. Optimized isolation procedure for the extraction of bioactive compounds from spent coffee grounds. Appl. Sci. 2023, 13, 2819. [Google Scholar] [CrossRef]
- Ferreira, A.M.; Gomes, H.M.D.; Coutinho, J.A.P.; Freire, M.G. Valorization of spent coffee by caffeine extraction using aqueous solutions of cholinium-based ionic liquids. Sustainability 2021, 13, 7509–7521. [Google Scholar] [CrossRef]
- Lopes, G.R.; Passos, C.P.; Rodrigues, C.; Teixeira, J.A.; Coimbra, M.A. Impact of microwave-assisted extraction on roasted cof2fee carbohydrates, caffeine, chlorogenic acids and coloured compounds. Food Res. Int. 2020, 129, 108864. [Google Scholar] [CrossRef] [PubMed]
- Menzio, J.; Binello, A.; Barge, A.; Cravotto, G. Highly-efficient caffeine recovery from green coffee beans under ultrasound-assisted SC–CO2 extraction. Processes 2020, 8, 1062–1067. [Google Scholar] [CrossRef]
- Montenegro, J.; Dos Santos, L.S.; de Souza, R.G.G.; Lima, L.G.B.; Mattos, D.S.; Viana, B.P.P.B.; Bastos, A.C.S.F.; Muzzi, L.; Conte-Júnior, C.A.; Gimba, E.R.P.; et al. Bioactive compounds, antioxidant activity and antiproliferative effects in prostate cancer cells of green and roasted coffee extracts obtained by microwave-assisted extraction (MAE). Food Res. Int. 2021, 140, 110014. [Google Scholar] [CrossRef]
- Pradeep, S.; Rameshaiah, G.N.; Ashoka, H. Caffeine extraction and characterization. Int. J. Curr. Res. Rev. 2015, 7, 16–19. [Google Scholar]
- Zhong, J.; Tang, N.; Asadzadeh, B.; Yan, W. Measurement and correlation of solubility of theobromine, theophylline, and caffeine in water and organic solvents at various temperatures. J. Chem. Eng. Data 2017, 62, 2570–2577. [Google Scholar] [CrossRef]
- Wong, J.C.J.; Nillian, E. Microwave-assisted extraction of bioactive compounds from Sarawak liberica sp. coffee pulp: Statistical optimization and comparison with conventional methods. Food Sci. Nutr. 2023, 11, 5364–5378. [Google Scholar] [CrossRef]
- Coelho, J.P.; Robalo, M.P.; Boyadzhieva, S.; Stateva, R.P. Microwave-assisted extraction of phenolic compounds from spent coffee grounds. Process optimization applying design of experiments. Molecules 2021, 26, 7320. [Google Scholar] [CrossRef] [PubMed]
- Serna-Jiménez, J.A.; Torres-Valenzuela, L.S.; Villarreal, A.S.; Roldan, C.; Martín, M.A.; Siles, J.A.; Chica, A.F. Advanced extraction of caffeine and polyphenols from coffee pulp: Comparison of conventional and ultrasound-assisted methods. LWT—Food Sci. Technol. 2023, 177, 114571. [Google Scholar] [CrossRef]
- European Directorate for the Quality of Medicines & HealthCare. European Pharmacopoeia 10.0, 10th ed.; Council of Europe: Strasbourg, France, 2020. [Google Scholar]
- Alam, P.; Siddiqui, N.A.; Rehman, M.T.; Hussain, A.; Akhtar, A.; Mir, S.R.; Alajmi, M.F. Box–Behnken Design (BBD)-Based optimization of microwave-assisted extraction of parthenolide from the stems of Tarconanthus camphoratus and cytotoxic analysis. Molecules 2021, 26, 1876. [Google Scholar] [CrossRef]
- Tran, T.M.K.; Akanbi, T.; Kirkman, T.; Nguyen, M.H.; Van Vuong, Q. Maximising recovery of bioactive compounds from coffee pulp waste using microwave-assisted extraction. Eur. J. Eng. Sci. Tech. 2022, 7, 1–6. [Google Scholar] [CrossRef]
- Pettinato, M.; Casazza, A.A.; Ferrari, P.F.; Palombo, D.; Perego, P. Eco-sustainable recovery of antioxidants from spent coffee grounds by microwave-assisted extraction: Process optimization, kinetic modeling and biological validation. Food Bioprod. Process. 2019, 114, 31–42. [Google Scholar] [CrossRef]
- Ahmad, A.; Rehman, M.U.; Wali, A.F.; El-Serehy, H.A.; Al-Misned, F.A.; Maodaa, S.N.; Aljawdah, H.M.; Mir, T.M.; Ahmad, P. Box–Behnken response surface design of polysaccharide extraction from Rhododendron arboreum and the evaluation of its antioxidant potential. Molecules 2020, 25, 3835. [Google Scholar] [CrossRef] [PubMed]
- Tsegay, Z.T.; Agriopoulou, S.; Chaari, M.; Smaoui, S.; Varzakas, T. Statistical tools to optimize the recovery of bioactive compounds from marine byproducts. Mar. Drugs 2024, 22, 182. [Google Scholar] [CrossRef] [PubMed]
- Ghasemzadeh, A.; Jaafar, H.Z.; Rahmat, A.; Swamy, M.K. Optimization of microwave-assisted extraction of zerumbone from Zingiber zerumbet L. rhizome and evaluation of antiproliferative activity of optimized extracts. Chem. Cent. J. 2017, 11, 5. [Google Scholar] [CrossRef] [PubMed]
- Andrade, K.S.; Gonçalvez, R.T.; Maraschin, M.; Ribeiro-do-Valle, R.M.; Martínez, J.; Ferreira, S.R. Supercritical fluid extraction from spent coffee grounds and coffee husks: Antioxidant activity and effect of operational variables on extract composition. Talanta 2012, 88, 544–552. [Google Scholar] [CrossRef] [PubMed]
- Rajam, K.; Rajendran, S.; Banu, N.N. Effect of caffeine-Zn2+ system in preventing corrosion of carbon steel in well water. J. Chem. 2013, 2013, 521951. [Google Scholar] [CrossRef]
- Tello, J.; Viguera, M.; Calvo, L. Extraction of caffeine from Robusta coffee (Coffea canephora var. Robusta) husks using supercritical carbon dioxide. J. Supercrit. Fluids 2011, 59, 53–60. [Google Scholar] [CrossRef]




| Factors | Coded Value | ||
|---|---|---|---|
| −1 | 0 | +1 | |
| Actual Value | |||
| Extraction time [min] | 2 | 4 | 6 |
| Liquid-to-solid ratio [mL/g] | 5 | 10 | 15 |
| Microwave power [W] | 336 | 465.5 | 595 |
| Std. | Run | A: Extraction Time [min] | B: Liquid-to-Solid Ratio [mL/g] | C: Microwave Power [W] | Y: Caffeine Yield [g/100 g d.w.] | |
|---|---|---|---|---|---|---|
| Experimental a | Predicted | |||||
| 16 | 1 * | 4 (0) | 10 (0) | 465.5 (0) | 0.23 ± 0.01 | 0.27 |
| 4 | 2 | 6 (+1) | 15 (+1) | 465.5 (0) | 0.50 ± 0.02 | 0.49 |
| 7 | 3 | 2 (−1) | 10 (0) | 595.0 (+1) | 0.79 ± 0.03 | 0.78 |
| 14 | 4 * | 4 (0) | 10 (0) | 465.5 (0) | 0.19 ± 0.01 | 0.27 |
| 6 | 5 | 6 (+1) | 10 (0) | 336.0 (−1) | 0.85 ± 0.02 | 0.85 |
| 1 | 6 | 2 (−1) | 5 (−1) | 465.5 (0) | 0.17 ± 0.01 | 0.17 |
| 12 | 7 | 4 (0) | 15 (+1) | 595.0 (+1) | 0.64 ± 0.03 | 0.65 |
| 5 | 8 | 2 (−1) | 10 (0) | 336.0 (−1) | 0.77 ± 0.03 | 0.78 |
| 10 | 9 | 4 (0) | 15 (+1) | 336.0 (−1) | 0.74 ± 0.02 | 0.74 |
| 8 | 10 | 6 (+1) | 10 (0) | 595.0 (+1) | 0.65 ± 0.04 | 0.64 |
| 9 | 11 | 4 (0) | 5 (−1) | 336.0 (−1) | 0.40 ± 0.02 | 0.39 |
| 13 | 12 * | 4 (0) | 10 (0) | 465.5 (0) | 0.19 ± 0.01 | 0.27 |
| 15 | 13 * | 4 (0) | 10 (0) | 465.5 (0) | 0.36 ± 0.01 | 0.27 |
| 2 | 14 | 6 (+1) | 5 (−1) | 465.5 (0) | 0.59 ± 0.02 | 0.60 |
| 11 | 15 | 4 (0) | 5 (−1) | 595 (+1) | 0.28 ± 0.01 | 0.28 |
| 17 | 16 * | 4 (0) | 10 (0) | 465.5 (0) | 0.40 ± 0.02 | 0.27 |
| 3 | 17 | 2 (−1) | 15 (+1) | 465.5 (0) | 1.00 ± 0.07 | 0.99 |
| Model | Lack of Fit | Adjusted R2 | Predicted R2 |
|---|---|---|---|
| Linear model | 0.02565 | 0.083 | −0.269 |
| A model with two-factor interactions | 0.024206 | 0.136 | −0.570 |
| Second-order model | 0.996154 | 0.917 | 0.936 |
| Cubic model | 0.856 |
| Sum of Squares | Degree of Freedom | Mean Value of Sum of Squares | F-Value | p-Value | |
|---|---|---|---|---|---|
| Model | 1.0552 | 9 | 0.1172 | 20.5956 | 0.00031 * |
| A—Extraction time | 0.0026 | 1 | 0.0026 | 0.4617 | 0.51867 |
| B—Liquid-to-solid ratio | 0.2553 | 1 | 0.2553 | 44.8502 | 0.00028 * |
| C—Microwave power | 0.0213 | 1 | 0.0213 | 3.7363 | 0.09451 |
| AB | 0.2124 | 1 | 0.2124 | 37.3058 | 0.00049 * |
| AC | 0.0117 | 1 | 0.0117 | 2.0616 | 0.19419 |
| BC | 9.18 × 10−5 | 1 | 9.18 × 10−5 | 0.0161 | 0.90250 |
| A2 | 0.3103 | 1 | 0.3103 | 54.5127 | 0.00015 * |
| B2 | 0.0018 | 1 | 0.0018 | 0.3089 | 0.59564 |
| C2 | 0.2038 | 1 | 0.2038 | 35.8057 | 0.00055 * |
| Residual | 0.0398 | 7 | 0.0057 | ||
| Lack-of-fit | 0.0005 | 3 | 0.0002 | 0.0181 | 0.99615 |
| Pure error | 0.0393 | 4 | 0.0098 | ||
| Corrected sum of squares | 1.0950 | 16 | |||
| Standard deviation | 0.0754 | R2 | 0.9636 | ||
| Mean value | 0.5136 | Adjusted R2 | 0.9168 | ||
| Coefficient of variation (%) | 14.7 | Predicted R2 | 0.9361 | ||
| Adequate precision | 14.14 |
| Parameters | Values |
|---|---|
| Slope | 2485.90 ± 138.03 |
| Intercept | −1952.17 ± 3181.42 |
| R2 | 0.994 |
| Adjusted R2 | 0.991 |
| LOD (μg/mL) | 4.22 |
| LOQ (μg/mL) | 12.66 |
Disclaimer/Publisher’s Note: The statements, opinions and data contained in all publications are solely those of the individual author(s) and contributor(s) and not of MDPI and/or the editor(s). MDPI and/or the editor(s) disclaim responsibility for any injury to people or property resulting from any ideas, methods, instructions or products referred to in the content. |
© 2024 by the authors. Licensee MDPI, Basel, Switzerland. This article is an open access article distributed under the terms and conditions of the Creative Commons Attribution (CC BY) license (https://creativecommons.org/licenses/by/4.0/).
Share and Cite
Savić, I.M.; Savić Gajić, I.M.; Gajić, D.G. Optimization of the Microwave-Assisted Extraction of Caffeine from Roasted Coffee Beans. Foods 2024, 13, 2333. https://doi.org/10.3390/foods13152333
Savić IM, Savić Gajić IM, Gajić DG. Optimization of the Microwave-Assisted Extraction of Caffeine from Roasted Coffee Beans. Foods. 2024; 13(15):2333. https://doi.org/10.3390/foods13152333
Chicago/Turabian StyleSavić, Ivan M., Ivana M. Savić Gajić, and Dragoljub G. Gajić. 2024. "Optimization of the Microwave-Assisted Extraction of Caffeine from Roasted Coffee Beans" Foods 13, no. 15: 2333. https://doi.org/10.3390/foods13152333
APA StyleSavić, I. M., Savić Gajić, I. M., & Gajić, D. G. (2024). Optimization of the Microwave-Assisted Extraction of Caffeine from Roasted Coffee Beans. Foods, 13(15), 2333. https://doi.org/10.3390/foods13152333

