Modulatory Effects of the Kuwanon-Rich Fraction from Mulberry Root Bark on the Renin–Angiotensin System
Abstract
1. Introduction
2. Materials and Methods
2.1. Sample Preparation
2.2. Crude Polyphenol and Flavonoid Quantification
2.3. Analysis of the Inhibition Rate of Angiotensin-Converting Enzyme
2.4. Quantification of Kuwanon G and Kuwanon H in Extracts of Mulberry Root Bark
2.5. Animal Study
2.6. Mouse Serum Analysis
2.7. Statistical Analysis
3. Results and Discussion
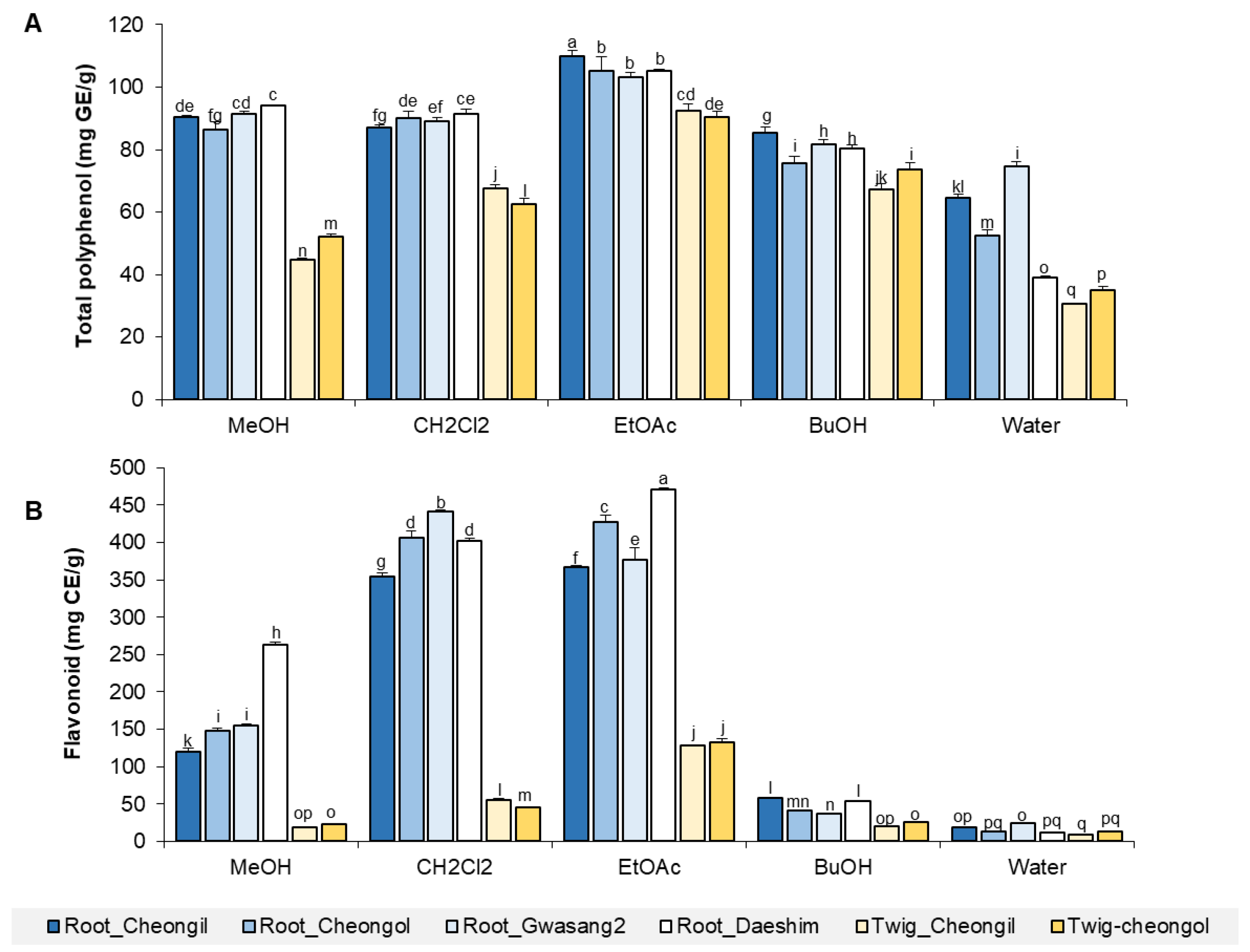
3.1. Comparison of Crude Polyphenol and Flavonoid Contents of Mulberry Root Bark and Twig Extracts
3.2. Inhibitory Effect of Mulberry Twig and Root Bark Extract on ACE Activity
3.3. Comparison of Single Compounds in ACE Inhibition
3.4. Quantification of Kuwanon G and Kuwanon H in Root Bark and Twig Fraction with ACE Inhibitory Effect
3.5. Effect of Root Bark Extract and Ethyl Acetate Fraction on High-Salt-Diet-Fed Mice
4. Conclusions
Supplementary Materials
Author Contributions
Funding
Institutional Review Board Statement
Informed Consent Statement
Data Availability Statement
Conflicts of Interest
References
- Mills, K.T.; Stefanescu, A.; He, J. The global epidemiology of hypertension. Nat. Rev. Nephrol. 2020, 16, 223–237. [Google Scholar] [CrossRef]
- Papadopoulos, D.P.; Mourouzis, I.; Thomopoulos, C.; Makris, T.; Papademetriou, V. Hypertension crisis. Blood Press 2010, 19, 328–336. [Google Scholar] [CrossRef]
- Santos, R.A.; Campagnole-Santos, M.J.; Andrade, S.P. Angiotensin-(1–7): An update. Regul. Pept. 2000, 91, 45–62. [Google Scholar] [CrossRef]
- Higuchi, S.; Ohtsu, H.; Suzuki, H.; Shirai, H.; Frank, G.D.; Eguchi, S. Angiotensin II signal transduction through the AT1 receptor: Novel insights into mechanisms and pathophysiology. Clin. Sci. 2007, 112, 417–428. [Google Scholar] [CrossRef]
- Kanaide, H.; Ichiki, T.; Nishimura, J.; Hirano, K. Cellular mechanism of vasoconstriction induced by angiotensin II: It remains to be determined. Circ. Res. 2003, 93, 1015–1017. [Google Scholar] [CrossRef]
- Yuan, Q.; Zhao, L. The Mulberry (Morus alba L.) Fruit: A review of characteristic components and health benefits. J. Agric. Food Chem. 2017, 65, 10383–10394. [Google Scholar]
- Zhang, R.; Zhang, Q.; Zhu, S.; Liu, B.; Liu, F.; Xu, Y. Mulberry leaf (Morus alba L.): A review of its potential influences in mechanisms of action on metabolic diseases. Pharmacol. Res. 2022, 175, 106029. [Google Scholar] [CrossRef]
- Yang, N.C.; Jhou, K.Y.; Tseng, C.Y. Antihypertensive effect of mulberry leaf aqueous extract containing γ-aminobutyric acid in spontaneously hypertensive rats. Food Chem. 2012, 132, 1796–1801. [Google Scholar] [CrossRef]
- Hayakawa, K.; Kimura, M.; Kamata, K. Mechanism underlying γ-aminobutyric acid-induced antihypertensive effect in spontaneously hypertensive rats. Eur. J. Pharmacol. 2002, 438, 107–113. [Google Scholar] [CrossRef] [PubMed]
- Kim, Y.J.; Kim, K.; Kweon, H.; Kim, H.B.; Lee, J.H. Inhibitory effect of mulberry root bark extract and its derived compounds on cholesterol regulation, inflammation, and platelet aggregation. J. Korea Soc. Food Sci. Nutr. 2022, 51, 633–639. [Google Scholar] [CrossRef]
- Yu, Q.; Larson, D.F.; Slayback, D.; Lundeen, T.F.; Baxter, J.H.; Watson, R.R. Characterization of high-salt and high-fat diets on cardiac and vascular function in mice. Cardiovasc. Toxicol. 2004, 4, 37–46. [Google Scholar] [CrossRef]
- Jan, B.; Parveen, R.; Zahiruddin, S.; Khan, M.U.; Mohapatra, S.; Ahmad, S. Nutritional constituents of mulberry and their potential applications in food and pharmaceuticals: A review. Saudi J. Biol. Sci. 2021, 28, 3909–3921. [Google Scholar] [CrossRef]
- Liu, C.H.; Liu, F.; Xiong, L. Medicinal parts of mulberry (leaf, twig, root bark, and fruit) and compounds thereof are excellent traditional Chinese medicines and foods for diabetes mellitus. J. Funct. Foods 2023, 106, 105619. [Google Scholar] [CrossRef]
- Lee, S.; Kim, S.H.; Jo, Y.Y.; Kim, S.W.; Kim, H.B.; Kweon, H.; Ju, W.T. Characterization of Mulberry Root Bark Extracts (Morus alba L.) Based on the Extraction Temperature and Solvent. Int. J. Ind. Entomol. 2020, 41, 36–44. [Google Scholar]
- Di Palo, K.E.; Barone, N.J. Hypertension and heart failure: Prevention, targets, and treatment. Heart Fail. Clin. 2020, 16, 99–106. [Google Scholar] [CrossRef]
- Brouwers, S.; Sudano, I.; Kokubo, Y.; Sulaica, E.M. Arterial hypertension. Lancet 2021, 398, 249–261. [Google Scholar] [CrossRef]
- Wierzejska, E.; Giernaś, B.; Lipiak, A.; Karasiewicz, M.; Cofta, M.; Staszewski, R. A global perspective on the costs of hypertension: A systematic review. Arch. Med. Sci. 2020, 16, 1078–1091. [Google Scholar] [CrossRef]
- Savage, R.D.; Visentin, J.D.; Bronskill, S.E.; Wang, X.; Gruneir, A.; Giannakeas, V.; Guan, J.; Lam, K.; Luke, M.J.; Read, S.H.; et al. Evaluation of a common prescribing cascade of calcium channel blockers and diuretics in older adults with hypertension. JAMA Int. Med. 2020, 180, 643–651. [Google Scholar] [CrossRef]
- Lopes, H.F. New Perspectives in the Treatment of Hypertension. ABC Cardiol. 2021, 116, 452–453. [Google Scholar] [CrossRef]
- Cativo, E.H.; Lopez, P.D.; Cativo, D.P.; Atlas, S.A.; Rosendorff, C. The effect of calcium channel blockers on moderate or severe albuminuria in diabetic, hypertensive patients. Am. J. Med. 2021, 134, 104–113. [Google Scholar] [CrossRef]
- Arora, P.K.; Chauhan, A. ACE inhibitors: A comprehensive review. Int. J. Pharm. Sci. Res. 2013, 4, 532. [Google Scholar]
- Cutrell, S.; Alhomoud, I.S.; Mehta, A.; Talasaz, A.H.; Tassell, B.V.; Dixon, D.L. ACE-Inhibitors in Hypertension: A Historical Perspective and Current Insights. Curr. Hypertens. Rep. 2023, 25, 243–250. [Google Scholar] [CrossRef] [PubMed]
- Bakhle, Y.S. How ACE inhibitors transformed the renin–angiotensin system. British J. pharmacol. 2020, 177, 2657–2665. [Google Scholar] [CrossRef]
- Ferrari, R.; Boersma, E. The impact of ACE inhibition on all-cause and cardiovascular mortality in contemporary hypertension trials: A review. Expert Rev. Cardiovasc. Ther. 2013, 11, 705–717. [Google Scholar] [CrossRef]
- Lv, H.W.; Wang, Q.L.; Luo, M.; Zhu, M.D.; Liang, H.M.; Li, W.J.; Cai, H.; Zhou, Z.; Wang, H.; Tong, S.; et al. Phytochemistry and pharmacology of natural prenylated flavonoids. Arch. Pharm. Res. 2023, 46, 207–272. [Google Scholar] [CrossRef] [PubMed]
- Osorio, M.; Carvajal, M.; Vergara, A.; Butassi, E.; Zacchino, S.; Mascayano, C.; Montoya, M.; Mejías, S.; Martín, M.C.; Vásquez-Martínez, Y. Prenylated flavonoids with potential antimicrobial activity: Synthesis, biological activity, and in silico study. Int. J. Mol. Sci. 2021, 22, 5472. [Google Scholar] [CrossRef] [PubMed]
- Nago, R.D.T.; Nayim, P.; Mbaveng, A.T.; Mpetga, J.D.S.; Bitchagno, G.T.M.; Garandi, B.; Tane, P.; Lenta, B.N.; Sewald, N.; Tene, M.; et al. Prenylated flavonoids and C-15 isoprenoid analogues with antibacterial properties from the whole plant of Imperata cylindrica (L.) Raeusch (Gramineae). Molecules 2021, 26, 4717. [Google Scholar] [CrossRef]
- Morimoto, R.; Matsubara, C.; Hanada, A.; Omoe, Y.; Ogata, T.; Isegawa, Y. Effect of structural differences in naringenin, prenylated naringenin, and their derivatives on the anti-influenza virus activity and cellular uptake of their flavanones. Pharmaceuticals 2022, 15, 1480. [Google Scholar] [CrossRef]
- Liu, Y.P.; Yan, G.; Xie, Y.T.; Lin, T.C.; Zhang, W.; Li, J.; Wu, Y.J.; Zhou, J.Y.; Fu, Y.H. Bioactive prenylated coumarins as potential anti-inflammatory and anti-HIV agents from Clausena lenis. Bioorg. Chem. 2020, 97, 103699. [Google Scholar] [CrossRef]
- Santos, C.M.; Silva, A.M. The antioxidant activity of prenylflavonoids. Molecules 2020, 25, 696. [Google Scholar] [CrossRef]
- Bo, S.; Chang, S.K.; Shan, Y.; Chen, Y.; Liu, H.; Li, B.; Jiang, Y.; Zhu, H.; Yang, B. The bioactivity of prenylated stilbenoids and their structure-activity relationship. Food Res. Int. 2022, 157, 111275. [Google Scholar] [CrossRef] [PubMed]
- Shi, S.; Li, J.; Zhao, X.; Liu, Q.; Song, S.J. A comprehensive review: Biological activity, modification and synthetic methodologies of prenylated flavonoids. Phytochemistry 2021, 191, 112895. [Google Scholar] [CrossRef] [PubMed]
- Seo, C.-S.; Shin, H.-K. Simultaneous quantification of two flavonoids in Morus alba by high-performance liquid chromatography coupled with a photodiode array detector. Nat. Prod. Commun. 2018, 13, 1493–1496. [Google Scholar] [CrossRef]
- Ko, W.; Liu, Z.; Kim, K.-W.; Dong, L.; Lee, H.; Kim, N.Y.; Lee, D.S.; Woo, E.R. Kuwanon T and sanggenon A isolated from Morus alba exert anti-inflammatory effects by regulating NF-KB and HO-1/Nrf2 signaling pathways in BV2 and RAW264.7 cells. Molecules 2021, 26, 7642. [Google Scholar] [CrossRef] [PubMed]
- Kwon, O.; Ju, W.T.; Kim, H.B.; Sung, G.B.; Kim, Y.S. UPLC-DAD-QTOF/MS analysis of flavonoids from 12 varieties of Korean mulberry fruit. J. Food Qual. 2019, 2019, 1528917. [Google Scholar] [CrossRef]
- Huang, C.Y.; Nithiyanantham, S.; Liao, J.Y.; Lin, W.T. Bioactive peptides attenuate cardiac hypertrophy and fibrosis in spontaneously hypertensive rat hearts. J. Food Drug Anal. 2020, 28, 94–102. [Google Scholar] [CrossRef] [PubMed]
- Nwabuo, C.C.; Vasan, R.S. Pathophysiology of hypertensive heart disease: Beyond left ventricular hypertrophy. Curr. Hypertens. Rep. 2020, 22, 11. [Google Scholar] [CrossRef]
- Tadic, M.; Cuspidi, C.; Plein, S.; Milivojevic, I.G.; Wang, D.W.; Grassi, G.; Mancia, G. Comprehensive assessment of hypertensive heart disease: Cardiac magnetic resonance in focus. Heart Fail. Rev. 2021, 26, 1383–1390. [Google Scholar] [CrossRef] [PubMed]
- Su, C.; Xue, J.; Ye, C.; Chen, A. Role of the central renin-angiotensin system in hypertension. Int. J. Mol. Med. 2021, 47, 95. [Google Scholar] [CrossRef]
- Nakagawa, P.; Gomez, J.; Grobe, J.L.; Sigmund, C.D. The renin-angiotensin system in the central nervous system and its role in blood pressure regulation. Curr. Hypertens. Rep. 2020, 22, 7. [Google Scholar] [CrossRef]
- Seravalle, G.; Grassi, G. Renin–angiotensin–aldosterone system and blood pressure regulation. In Endocrine Hypertension; Academic Press: Cambridge, MA, USA, 2023; pp. 63–75. [Google Scholar]





| Peak NO. | Flavonoid | Cheongol | Cheongil | Daeshim | Gwasang2 |
|---|---|---|---|---|---|
| 1 | Kuwanon G | 173.3 ± 8.9 | 140.4 ± 5.1 | 16.2 ± 1.5 | 165.4 ± 7.3 |
| (95% CI) | (151.17–195.52) | (127.82–152.94) | (12.59–19.86) | (147.35–183.39) | |
| 2 | Kuwanon H | 82.2 ± 4.2 | 80.5 ± 3.9 | 12.9 ± 1.4 | 55.6 ± 2.7 |
| (95% CI) | (71.87–92.62) | (70.78–90.23) | (9.48–16.40) | (48.77–62.35) |
Disclaimer/Publisher’s Note: The statements, opinions and data contained in all publications are solely those of the individual author(s) and contributor(s) and not of MDPI and/or the editor(s). MDPI and/or the editor(s) disclaim responsibility for any injury to people or property resulting from any ideas, methods, instructions or products referred to in the content. |
© 2024 by the authors. Licensee MDPI, Basel, Switzerland. This article is an open access article distributed under the terms and conditions of the Creative Commons Attribution (CC BY) license (https://creativecommons.org/licenses/by/4.0/).
Share and Cite
Lee, J.-H.; Kim, H.-W.; Kim, S.-A.; Ju, W.-T.; Kim, S.-R.; Kim, H.-B.; Cha, I.-S.; Kim, S.-W.; Park, J.-W.; Kang, S.-K. Modulatory Effects of the Kuwanon-Rich Fraction from Mulberry Root Bark on the Renin–Angiotensin System. Foods 2024, 13, 1547. https://doi.org/10.3390/foods13101547
Lee J-H, Kim H-W, Kim S-A, Ju W-T, Kim S-R, Kim H-B, Cha I-S, Kim S-W, Park J-W, Kang S-K. Modulatory Effects of the Kuwanon-Rich Fraction from Mulberry Root Bark on the Renin–Angiotensin System. Foods. 2024; 13(10):1547. https://doi.org/10.3390/foods13101547
Chicago/Turabian StyleLee, Ji-Hae, Heon-Woong Kim, So-Ah Kim, Wan-Taek Ju, Seong-Ryul Kim, Hyun-Bok Kim, Ik-Seob Cha, Seong-Wan Kim, Jong-Woo Park, and Sang-Kuk Kang. 2024. "Modulatory Effects of the Kuwanon-Rich Fraction from Mulberry Root Bark on the Renin–Angiotensin System" Foods 13, no. 10: 1547. https://doi.org/10.3390/foods13101547
APA StyleLee, J.-H., Kim, H.-W., Kim, S.-A., Ju, W.-T., Kim, S.-R., Kim, H.-B., Cha, I.-S., Kim, S.-W., Park, J.-W., & Kang, S.-K. (2024). Modulatory Effects of the Kuwanon-Rich Fraction from Mulberry Root Bark on the Renin–Angiotensin System. Foods, 13(10), 1547. https://doi.org/10.3390/foods13101547

