Multiscale Deepspectra Network: Detection of Pyrethroid Pesticide Residues on the Hami Melon
Abstract
1. Introduction
2. Materials and Methods
2.1. Sample Preparation
2.2. Spectral Data Acquisition and Preprocessing
2.2.1. Instrument and Software for Acquisition
2.2.2. Spectral Acquisition Position
2.2.3. Spectral Data Preprocessing
2.3. Reference Measurement of the Pesticide Residue Contents
2.4. Deepspectra Network Implementation
2.4.1. Environment
2.4.2. Architecture
2.4.3. Hyperparameters
2.5. Conventional Regression Models
2.6. Model Evaluation
3. Results
3.1. Statistics of the Reference Values
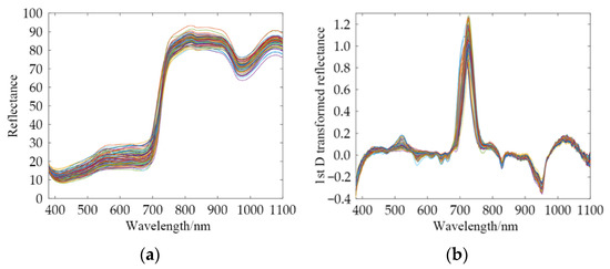
3.2. Spectral Characteristics
3.3. Impact of the Convolution Kernel Combination and Architecture on the Deepspectra Networks
3.4. Comparison of the Deepspectra Networks with Conventional Regression Models
4. Discussion
5. Conclusions
Author Contributions
Funding
Data Availability Statement
Acknowledgments
Conflicts of Interest
References
- Chen, Y.; Lai, J.; Zhang, M.; Zhao, T.; Wang, S.; Li, J.; Liu, S. Status of Pyrethroid Pesticide Pollution in Agricultural Products and Technologies for Its Removal: A Review. Food Sci. 2022, 43, 285–292. [Google Scholar] [CrossRef]
- NY/T 427—2016; Green Food—Watermelon and Muskmelon. China Agriculture Press: Beijing, China, 2016.
- GB/T 23398—2009; Product of Geographical Indications—Hami Melon. Standards Press of China: Beijing, China, 2009.
- Zhang, H.; Guo, F.; Jia, Z.; Li, P. Research progress of pyrethroid pesticide residues detection technology. Chin. J. Anal. Lab. 2022, 41, 1227–1233. [Google Scholar] [CrossRef]
- Yang, J.; Dong, G.; Ding, Z.; Li, L.; Zhang, X.; Feng, Q.; Guo, Y. Advances in application of detection techniques for pesticide residues in plant-derived foods. Chin. J. Anal. Lab. 2022, 41, 1504–1513. [Google Scholar] [CrossRef]
- Xu, L.; Abd El-Aty, A.M.; Eun, J.-B.; Shim, J.H.; Zhao, J.; Lei, X.; Gao, S.; She, Y.; Jin, F.; Wang, J.; et al. Recent Advances in Rapid Detection Techniques for Pesticide Residue: A Review. J. Agric. Food. Chem. 2022, 70, 13093–13117. [Google Scholar] [CrossRef] [PubMed]
- Ndung’u, C.N.; Kaniu, M.I.; Wanjohi, J.M. Optimization of diffuse reflectance spectroscopy measurements for direct and rapid screening of pesticides: A case study of spinach. Spectrochim. Acta Part A 2022, 280, 121556. [Google Scholar] [CrossRef] [PubMed]
- Chen, S.; Zhao, Q.; Dong, D. Application of Near Infrared Spectroscopy Combined with Comparative Principal Component Analysis for Pesticide Residue Detection in Fruit. Spectrosc. Spectr. Anal. 2020, 40, 917–921. [Google Scholar] [CrossRef]
- Li, W.; Zhang, X.; Su, Q.; Zhao, R.; Song, H. Qualitative Analysis of Chlorpyrifos Pesticide Residues in Cabbage Leaves Based on Visible Near Infrared Spectroscopy. Spectrosc. Spectr. Anal. 2022, 42, 80–85. [Google Scholar] [CrossRef]
- Nazarloo, A.S.; Sharabiani, V.R.; Gilandeh, Y.A.; Taghinezhad, E.; Szymanek, M.; Sprawka, M. Feasibility of Using VIS/NIR Spectroscopy and Multivariate Analysis for Pesticide Residue Detection in Tomatoes. Processes 2021, 9, 196. [Google Scholar] [CrossRef]
- Yazici, A.; Tiryaki, G.Y.; Ayvaz, H. Determination of pesticide residual levels in strawberry (Fragaria) by near-infrared spectroscopy. J. Sci. Food Agric. 2020, 100, 1980–1989. [Google Scholar] [CrossRef]
- Nazarloo, A.S.; Sharabiani, V.R.; Gilandeh, Y.A.; Taghinezhad, E.; Szymanek, M. Evaluation of Different Models for Non-Destructive Detection of Tomato Pesticide Residues Based on Near-Infrared Spectroscopy. Sensors 2021, 21, 3032. [Google Scholar] [CrossRef]
- He, W.; He, H.; Wang, F.; Wang, S.; Lyu, R. Non-destructive detection and recognition of pesticide residues on garlic chive (Allium tuberosum) leaves based on short wave infrared hyperspectral imaging and one-dimensional convolutional neural network. J. Food Meas. Charact. 2021, 15, 4497–4507. [Google Scholar] [CrossRef]
- Yu, G.; Ma, B.; Chen, J.; Li, X.; Li, Y.; Li, C. Nondestructive identification of pesticide residues on the Hami melon surface using deep feature fusion by Vis/NIR spectroscopy and 1D-CNN. J. Food Process Eng. 2021, 44, e13602. [Google Scholar] [CrossRef]
- Yu, G.; Ma, B.; Li, H.; Hu, Y.; Li, Y. Discrimination of Pesticide Residue Levels on the Hami Melon Surface Using Multiscale Convolution. Foods 2022, 11, 3881. [Google Scholar] [CrossRef] [PubMed]
- Hu, R.; Zhang, L.; Yu, Z.; Zhai, Z.; Zhang, R. Optimization of soluble solids content prediction models in ‘Hami’ melons by means of Vis-NIR spectroscopy and chemometric tools. Infrared Phys. Technol. 2019, 102, 102999. [Google Scholar] [CrossRef]
- Ma, B.; Yu, G.; Wang, W.; Luo, X.; Li, Y.; Li, X.; Lei, S. Recent Advances in Spectral Analysis Techniques for Non-Destructive Detection of Internal Quality in Watermelon and Muskmelon: A Review. Spectrosc. Spectral Anal. 2020, 40, 2035–2041. [Google Scholar] [CrossRef]
- BS EN 15662: 2008; Foods of Plant Origin Determination of Pesticide Residues using GC-MS and/or LC-MS/MS Following Acetonitrile Extraction/Partitioning and Clean-Up by Dispersive SPE-QuEChERS-Method. British Standards Institution: London, UK, 2008.
- NY/T 761—2008; Pesticide Multiresidue Screen Methods for Determination of Organophosphorus Pesticides, Organochlorine Pesticides, Pyrethroid Pesticides and Carbamate Pesticides in Vegetables and Fruits. China Agriculture Press: Beijing, China, 2008.
- LeCun, Y.; Bengio, Y.; Hinton, G. Deep learning. Nature 2015, 521, 436–444. [Google Scholar] [CrossRef]
- Szegedy, C.; Liu, W.; Jia, Y.; Sermanet, P.; Reed, S.; Anguelov, D.; Erhan, D.; Vanhoucke, V.; Rabinovich, A. Going Deeper with Convolutions. In Proceedings of the IEEE Conference on Computer Vision and Pattern Recognition (CVPR), Boston, MA, USA, 7–12 June 2015; pp. 1–9. [Google Scholar]
- Zhang, X.; Lin, T.; Xu, J.; Luo, X.; Ying, Y. DeepSpectra: An end-to-end deep learning approach for quantitative spectral analysis. Anal. Chim. Acta 2019, 1058, 48–57. [Google Scholar] [CrossRef]
- Wang, D.; Tian, F.; Yang, S.X.; Zhu, Z.; Jiang, D.; Cai, B. Improved Deep CNN with Parameter Initialization for Data Analysis of Near-Infrared Spectroscopy Sensors. Sensors 2020, 20, 874. [Google Scholar] [CrossRef]
- Tian, S.; Wang, S.; Xu, H. Early detection of freezing damage in oranges by online Vis/NIR transmission coupled with diameter correction method and deep 1D-CNN. Comput. Electron. Agric. 2022, 193, 106638. [Google Scholar] [CrossRef]
- Liu, J.; Zhao, H.; Luo, X.; Xu, J. Research progress on batch normalization of deep learning and its related algorithms. Acta Autom. Sin. 2020, 46, 1090–1120. [Google Scholar] [CrossRef]
- Chu, X.; Li, H.; Yan, Z. Practical Manual of Near Infrared Spectral Analysis Techniques; China Machine Press: Beijing, China, 2016. [Google Scholar]
- Chu, X. Chemometric Methods in Modern Spectral Analysis; Chemical Industry Press: Beijing, China, 2022. [Google Scholar]
- Ozdogan, G.; Lin, X.; Sun, D. Rapid and noninvasive sensory analyses of food products by hyperspectral imaging: Recent application developments. Trends Food Sci. Technol. 2021, 111, 151–165. [Google Scholar] [CrossRef]
- Nicolai, B.M.; Beullens, K.; Bobelyn, E.; Peirs, A.; Saeys, W.; Theron, K.I.; Lammertyn, J. Nondestructive measurement of fruit and vegetable quality by means of NIR spectroscopy: A review. Postharvest Biol. Technol. 2007, 46, 99–118. [Google Scholar] [CrossRef]
- Li, X.; Wei, Y.; Xu, J.; Feng, X.; Wu, F.; Zhou, R.; Jin, J.; Xu, K.; Yu, X.; He, Y. SSC and pH for sweet assessment and maturity classification of harvested cherry fruit based on NIR hyperspectral imaging technology. Postharvest Biol. Technol. 2018, 143, 112–118. [Google Scholar] [CrossRef]
- Gao, Q.; Wang, P.; Niu, T.; He, D.; Wang, M.; Yang, H.; Zhao, X. Soluble solid content and firmness index assessment and maturity discrimination of Malus micromalus Makino based on near-infrared hyperspectral imaging. Food Chem. 2022, 370, 131013. [Google Scholar] [CrossRef] [PubMed]
- Li, M.; Han, D.; Liu, W. Non-destructive measurement of soluble solids content of three melon cultivars using portable visible/near infrared spectroscopy. Biosyst. Eng. 2019, 188, 31–39. [Google Scholar] [CrossRef]
- Sun, J.; Ma, B.; Dong, J.; Zhu, R.; Zhang, R.; Jiang, W. Detection of internal qualities of hami melons using hyperspectral imaging technology based on variable selection algorithms. J. Food Process Eng. 2017, 40, e12496. [Google Scholar] [CrossRef]
- Chen, Y.; Wang, Z. End-to-end quantitative analysis modeling of near-infrared spectroscopy based on convolutional neural network. J. Chemom. 2019, 33, e3122. [Google Scholar] [CrossRef]
- Zhang, X.; Yang, J.; Lin, T.; Ying, Y. Food and agro-product quality evaluation based on spectroscopy and deep learning: A review. Trends Food Sci. Technol. 2021, 112, 431–441. [Google Scholar] [CrossRef]
- Lin, Y.; Ma, J.; Wang, Q.; Sun, D. Applications of machine learning techniques for enhancing nondestructive food quality and safety detection. Crit. Rev. Food Sci. Nutr. 2022, 63, 1649–1669. [Google Scholar] [CrossRef]
- Sindhu, S.; Manickavasagan, A. Nondestructive testing methods for pesticide residue in food commodities: A review. Compr. Rev. Food Sci. Food Saf. 2023, 22, 1226–1256. [Google Scholar] [CrossRef]






| Pesticide | Dosage Form | Active Ingredient Content | Manufacturing Company |
|---|---|---|---|
| Lambda-cyhalothrin | Microemulsion | 2.5% | Shandong Caoda Chemical Co., Ltd., Heze, Shandong, China |
| Beta-cypermethrin | Emulsifiable concentrate | 4.5% | Jinan Yinong Chemical Co., Ltd., Jinan, Shandong, China |
| Acquisition Instrument and Software | Version | Manufacturing Company |
|---|---|---|
| Miniature fiber optic spectrograph | QE Pro-FL | Ocean Insight, Inc., Dunedin, FL, USA |
| Fiber optic probe | QP600-2-VIS-NIROOS-00-5172-11 | Ocean Insight, Inc., Dunedin, FL, USA |
| Halogen lamp | MR16 | Signify (China) Investment Co., Ltd., Shanghai, China |
| Spectrometer operating software | OceanView 1.6.7 | Ocean Insight, Inc., Dunedin, FL, USA |
| Instrument/Reagent | Specification | Manufacturing Company |
|---|---|---|
| Electronic balance | BSA4202S-CW | Sartorius Inc., Gottingen, Germany |
| Vortex shaker | MS 3 Control | IKA Inc., Staufen, Germany |
| High-speed centrifuge | TG16-WS | Xiangyi Centrifuge Instrument Co., Ltd., Changsha, China |
| Nitrogen evaporator | N-EVAP-112 | Organomation Associates, Inc., Burlington, VT, USA |
| GC–μECD | Agilent 7890A | Agilent Technologies Inc., Santa Clara, CA, USA |
| Certified pesticide standard solution | 1000 mg/L and purities greater > 98.0% | Agro-Environmental Quality Supervision and Testing Center, Ministry of Agriculture and Rural Affairs, Tianjin, China |
| n-hexane | chromatographically pure CAS 110-54-3 | Duksan Pure Chemicals Co., Ltd., Ansansi, Korea |
| Acetonitrile | chromatographically pure | ANPEL Laboratory Technologies (Shanghai) Inc., Shanghai, China |
| QuEChERS clean-up centrifuge tube | 5982-0029 400.1 mg PSA, 400.1 mg C18 EC, 45.0 mg bulk carbograph, and 1199.8 mg magnesium sulfate (purity from 98.5% to 101.5%) | Agilent Technologies Inc., Santa Clara, CA, USA |
| Parameters | Conditions |
|---|---|
| Analytical column | HP-5, 30 m × 0.320 mm × 0.25 μm |
| Injection volume | 1 μL |
| Injection mode | Spitless |
| Carrier gas | Nitrogen, constant flow, 2.0 mL/min |
| Septum purge | 3.0 mL/min |
| Makeup | 60 mL/min |
| Inlet temperature | 220 °C |
| Oven temperature | 100 °C for 1 min then 15 °C/min to 190 °C and hold for 2 min then 6 °C/min to 280 °C and hold for 2 min |
| Detector temperature | 320 °C |
| Pesticides | Dataset | Number of Samples | Residue Contents/(µg/g) | |||
|---|---|---|---|---|---|---|
| Max | Min | Mean | SD | |||
| Lambda-cyhalothrin | Calibration set | 60 | 32.36 | 0.96 | 10.91 | 8.83 |
| Validation set | 20 | 31.79 | 1.22 | 11.32 | 9.03 | |
| Prediction set | 20 | 31.31 | 1.14 | 10.97 | 8.79 | |
| Total samples | 100 | 32.36 | 0.96 | 11.00 | 8.86 | |
| Beta-cypermethrin | Calibration set | 60 | 12.74 | 0.37 | 3.72 | 3.37 |
| Validation set | 20 | 12.21 | 0.46 | 3.84 | 3.47 | |
| Prediction set | 20 | 12.19 | 0.42 | 3.76 | 3.44 | |
| Total samples | 100 | 12.74 | 0.37 | 3.75 | 3.41 | |
| Pesticides | Combination of Convolution Kernels | Calibration Set | Validation Set | Prediction Set | ||||
|---|---|---|---|---|---|---|---|---|
| RMSEC | RMSEV | RMSEP | RPD | |||||
| Lambda-cyhalothrin | 7 × 1 and 5 × 1 | 0.997 | 0.490 | 0.823 | 3.795 | 0.719 | 4.661 | 1.886 |
| 7 × 1 and 3 × 1 | 0.997 | 0.488 | 0.810 | 3.940 | 0.709 | 4.751 | 1.850 | |
| 5 × 1 and 3 × 1 | 0.996 | 0.471 | 0.828 | 3.742 | 0.725 | 4.606 | 1.909 | |
| Multiscale | 0.997 | 0.446 | 0.829 | 3.729 | 0.758 | 4.324 | 2.033 | |
| Beta-cypermethrin | 7 × 1 and 5 × 1 | 0.996 | 0.222 | 0.828 | 1.441 | 0.794 | 1.565 | 2.201 |
| 7 × 1 and 3 × 1 | 0.997 | 0.182 | 0.850 | 1.347 | 0.814 | 1.484 | 2.320 | |
| 5 × 1 and 3 × 1 | 0.997 | 0.190 | 0.832 | 1.426 | 0.805 | 1.520 | 2.265 | |
| Multiscale | 0.995 | 0.232 | 0.876 | 1.223 | 0.835 | 1.400 | 2.460 | |
Disclaimer/Publisher’s Note: The statements, opinions and data contained in all publications are solely those of the individual author(s) and contributor(s) and not of MDPI and/or the editor(s). MDPI and/or the editor(s) disclaim responsibility for any injury to people or property resulting from any ideas, methods, instructions or products referred to in the content. |
© 2023 by the authors. Licensee MDPI, Basel, Switzerland. This article is an open access article distributed under the terms and conditions of the Creative Commons Attribution (CC BY) license (https://creativecommons.org/licenses/by/4.0/).
Share and Cite
Yu, G.; Li, H.; Li, Y.; Hu, Y.; Wang, G.; Ma, B.; Wang, H. Multiscale Deepspectra Network: Detection of Pyrethroid Pesticide Residues on the Hami Melon. Foods 2023, 12, 1742. https://doi.org/10.3390/foods12091742
Yu G, Li H, Li Y, Hu Y, Wang G, Ma B, Wang H. Multiscale Deepspectra Network: Detection of Pyrethroid Pesticide Residues on the Hami Melon. Foods. 2023; 12(9):1742. https://doi.org/10.3390/foods12091742
Chicago/Turabian StyleYu, Guowei, Huihui Li, Yujie Li, Yating Hu, Gang Wang, Benxue Ma, and Huting Wang. 2023. "Multiscale Deepspectra Network: Detection of Pyrethroid Pesticide Residues on the Hami Melon" Foods 12, no. 9: 1742. https://doi.org/10.3390/foods12091742
APA StyleYu, G., Li, H., Li, Y., Hu, Y., Wang, G., Ma, B., & Wang, H. (2023). Multiscale Deepspectra Network: Detection of Pyrethroid Pesticide Residues on the Hami Melon. Foods, 12(9), 1742. https://doi.org/10.3390/foods12091742

