Subzero Temperature Storage to Preserve the Quality Attributes of Veiled Virgin Olive Oil
Abstract
1. Introduction
2. Materials and Methods
2.1. Samples
2.2. Storage Conditions
2.3. Analytical Methods
2.3.1. Trade Quality Indices
2.3.2. Moisture and Volatile Matter
2.3.3. Oxidative Stability Index (OSI)
2.3.4. Fatty Acids
2.3.5. Polar and Lipophilic Phenolic Compounds
2.3.6. Volatile Compounds
2.4. Statistical Analysis
3. Results and Discussion
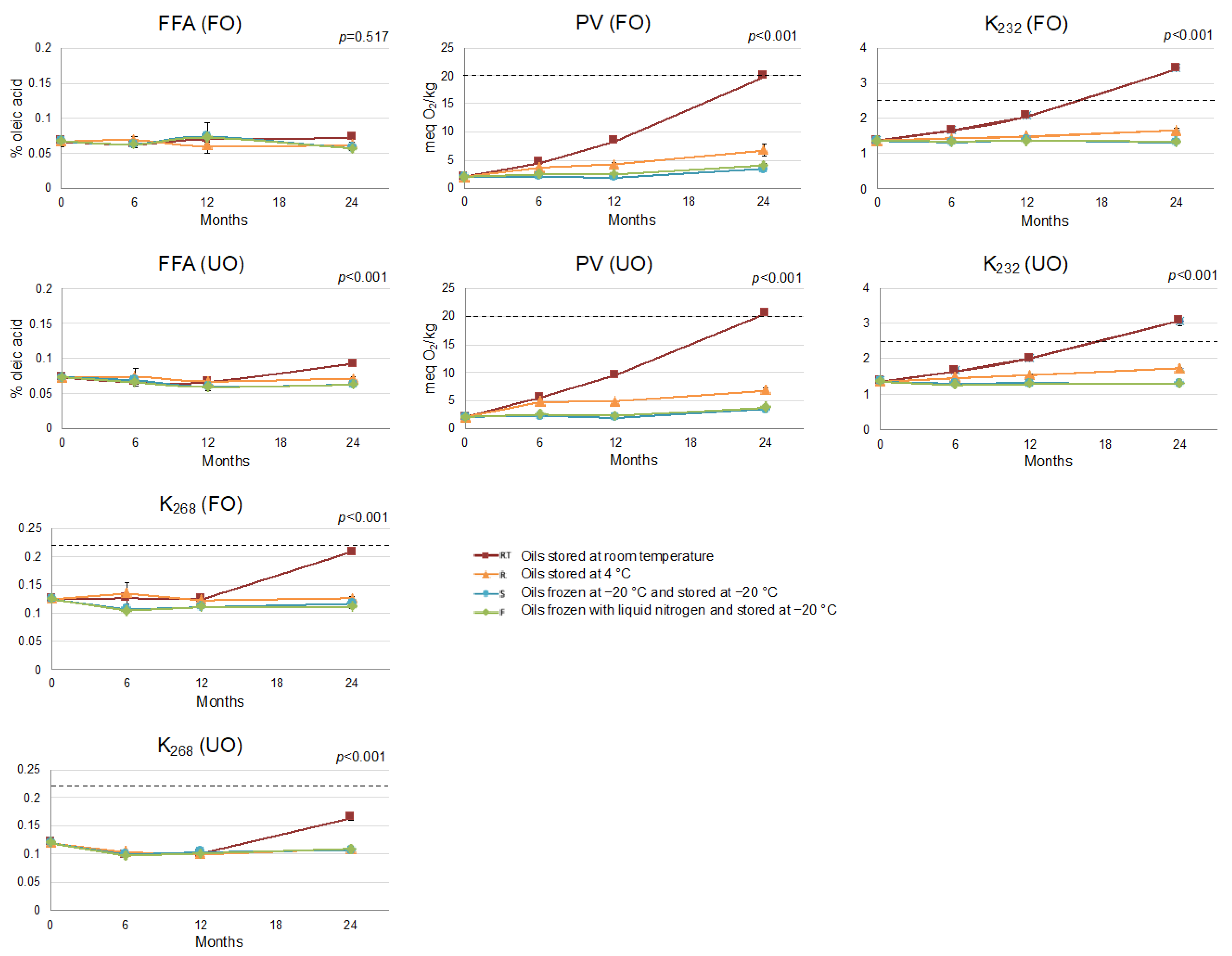
3.1. Trade Quality Indices and Oxidative Stability Index (OSI)
3.2. Phenolic Compounds
3.3. Volatile Compounds
3.4. Sensory Assessment
3.5. Effect of Storing at Room Temperature after Thawing
4. Conclusions
Supplementary Materials
Author Contributions
Funding
Data Availability Statement
Acknowledgments
Conflicts of Interest
References
- Guerrini, L.; Parenti, A. Stabilization of Extra Virgin Olive Oil. In Products from Olive Tree; Boskou, D., Ed.; InTech: London, UK, 2016; pp. 55–65. [Google Scholar]
- Lozano-Sánchez, J.; Cerretani, L.; Bendini, A.; Segura-Carretero, A.; Fernández-Gutiérrez, A. Filtration Process of Extra Virgin Olive Oil: Effect on Minor Components, Oxidative Stability and Sensorial and Physicochemical Characteristics. Trends Food Sci. Technol. 2010, 21, 201–211. [Google Scholar] [CrossRef]
- Gordillo, B.; Ciaccheri, L.; Heredia, F.J. Influence of Turbidity Grade on Color and Appearance of Virgin Olive Oil. J. Am. Oil Chem. Soc. 2011, 88, 1317–1327. [Google Scholar] [CrossRef]
- Cayuela-Sánchez, J.A.; Caballero-Guerrero, B. Fresh Extra Virgin Olive Oil, with or without Veil. Trends Food Sci. Technol. 2019, 83, 78–85. [Google Scholar] [CrossRef]
- Brkic Bubola, K.; Koprivnjak, O.; Sladonja, B. Influence of Filtration on Volatile Compounds and Sensory Profile of Virgin Olive Oils. Food Chem. 2011, 132, 98–103. [Google Scholar] [CrossRef]
- Andrewes, P.; Busch, J.L.H.C.; de Joode, T.; Groenewegen, A.; Alexandre, H. Sensory Properties of Virgin Olive Oil Polyphenols: Identification of Deacetoxy-Ligstroside Aglycon as a Key Contributor to Pungency. J. Agric. Food Chem. 2003, 51, 1415–1420. [Google Scholar] [CrossRef]
- Tura, D.; Gigliotti, C.; Pedò, S.; Failla, O.; Bassi, D.; Serraiocco, A. Influence of Cultivar and Site of Cultivation on Levels of Lipophilic and Hydrophilic Antioxidants in Virgin Olive Oils (Olea europea L.) and Correlations with Oxidative Stability. Sci. Hortic. 2007, 112, 108–119. [Google Scholar] [CrossRef]
- Medina-Remón, A.; Tresserra-Rimbau, A.; Pons, A.; Tur, J.A.; Martorell, M.; Ros, E.; Buil-Cosiales, P.; Sacanella, E.; Covas, M.I.; Corella, D.; et al. Effects of Total Dietary Polyphenols on Plasma Nitric Oxide and Blood Pressure in a High Cardiovascular Risk Cohort. The PREDIMED Randomized Trial. Nutr. Metab. Cardiovasc. Dis. 2015, 25, 60–67. [Google Scholar] [CrossRef] [PubMed]
- Bongiorno, D.; di Stefano, V.; Indelicato, S.; Avellone, G.; Ceraulo, L. Bio-Phenols Determination in Olive Oils: Recent Mass Spectrometry Approaches. Mass Spectrom. Rev. 2021, e21744. [Google Scholar] [CrossRef] [PubMed]
- Angerosa, F.; Mostallino, R.; Basti, C.; Vito, R. Virgin Olive Oil Odour Notes: Their Relationships with Volatile Compounds from the Lipoxygenase Pathway and Secoiridoid Compounds. Food Chem. 2000, 68, 283–287. [Google Scholar] [CrossRef]
- Caponio, F.; Leone, A.; Squeo, G.; Tamborrino, A.; Summo, C. Innovative Technologies in Virgin Olive Oil Extraction Process: Influence on Volatile Compounds and Organoleptic Characteristics. J. Sci. Food Agric. 2019, 99, 5594–5600. [Google Scholar] [CrossRef]
- Fregapane, G.; Lavelli, V.; León, S.; Kapuralin, J.; Salvador, M.D. Effect of Filtration on Virgin Olive Oil Stability during Storage. Eur. J. Lipid Sci. Technol. 2006, 108, 134–142. [Google Scholar] [CrossRef]
- Tsimidou, M.Z.; Georgiou, A.; Koidis, A.; Boskou, D. Loss of Stability of “Veiled” (Cloudy) Virgin Olive Oils in Storage. Food Chem. 2005, 93, 377–383. [Google Scholar] [CrossRef]
- Trade Standard Applying to Olive Oils and Olive Pomace Oils; COI/T.15/NC No 3/Rev. 19; Intenational Olive Oil Council: Madrid, Spain, 2019.
- Breschi, C.; Guerrini, L.; Domizio, P.; Ferraro, G.; Calamai, L.; Canuti, V.; Masella, P.; Parenti, A.; Fratini, E.; Fia, G.; et al. Physical, Chemical, and Biological Characterization of Veiled Extra Virgin Olive Oil Turbidity for Degradation Risk Assessment. Eur. J. Lipid Sci. Technol. 2019, 121, 1900195. [Google Scholar] [CrossRef]
- Zullo, B.A.; Ciafardini, G. Changes in Physicochemical and Microbiological Parameters of Short and Long-Lived Veiled (Cloudy) Virgin Olive Oil Upon Storage in the Dark. Eur. J. Lipid Sci. Technol. 2018, 120, 1700309. [Google Scholar] [CrossRef]
- Zullo, B.A.; Venditti, G.; Ciafardini, G. Effects of the Filtration on the Biotic Fraction of Extra Virgin Olive Oil. Foods 2021, 10, 1677. [Google Scholar] [CrossRef]
- Bendini, A.; Cerretani, L.; Salvador, M.D.; Fregapane, G.; Lercker, G. Stability of the Sensory Quality of Virgin Olive Oil during Storage: An Overview. Ital. J. Food Sci. 2009, 21, 389–406. [Google Scholar]
- Guerrini, L.; Zanoni, B.; Breschi, C.; Angeloni, G.; Masella, P.; Calamai, L.; Parenti, A. Understanding Olive Oil Stability Using Filtration and High Hydrostatic Pressure. Molecules 2020, 25, 420. [Google Scholar] [CrossRef]
- Rotondi, A.; Mari, M. Tra Oli Filtrati e Velati Il Tempo Fa La Differenza. Olivo Olio 2006, 9, 12–15. [Google Scholar]
- Brenes, M.; García, A.; García, P.; Garrido, A. Acid Hydrolysis of Secoiridoid Aglycons during Storage of Virgin Olive Oil. J. Agric. Food Chem. 2001, 49, 5609–5614. [Google Scholar] [CrossRef]
- Sinesio, F.; Moneta, E.; Raffo, A.; Lucchetti, S.; Peparaio, M.; D’Aloise, A.; Pastore, G. Effect of Extraction Conditions and Storage Time on the Sensory Profile of Monovarietal Extra Virgin Olive Oil (Cv Carboncella) and Chemical Drivers of Sensory Changes. LWT Food Sci. Technol. 2015, 63, 281–288. [Google Scholar] [CrossRef]
- Guerrini, L.; Breschi, C.; Zanoni, B.; Calamai, L.; Angeloni, G.; Masella, P.; Parenti, A. Filtration Scheduling: Quality Changes in Freshly Produced Virgin Olive Oil. Foods 2020, 9, 1067. [Google Scholar] [CrossRef]
- Breschi, C.; Guerrini, L.; Corti, F.; Calamai, L.; Domizio, P.; Parenti, A.; Zanoni, B. Quality of Veiled Olive Oil: Role of Turbidity Components. Ital. J. Food Sci. 2021, 33, 33–46. [Google Scholar] [CrossRef]
- Valli, E.; Ayyad, Z.; Garcia-Salas, P.; Cevoli, C.; Afaneh, I.A.; Bendini, A.; Gallina Toschi, T. Influence of an Innovative and Promising Gas Clarification Process on the Quality of Stored Extra Virgin Olive Oils. Food Res. Int. 2019, 116, 30–36. [Google Scholar] [CrossRef] [PubMed]
- Stefanoudaki, E.; Williams, M.; Harwood, J. Changes in Virgin Olive Oil Characteristics during Different Storage Conditions. Eur. J. Lipid Sci. Technol. 2010, 112, 906–914. [Google Scholar] [CrossRef]
- Macaluso, M.; Taglieri, I.; Venturi, F.; Sanmartin, C.; Bianchi, A.; de Leo, M.; Braca, A.; Quartacci, M.F.; Zinnai, A. Influence of the Atmosphere Composition during Malaxation and Storage on the Shelf Life of an Unfiltered Extra Virgin Olive Oil: Preliminary Results. Eur. J. Lipid Sci. Technol. 2020, 123, 2000122. [Google Scholar] [CrossRef]
- Jukić Špika, M.; Žanetić, M.; Kraljić, K.; Soldo, B.; Ljubenkov, I.; Politeo, O.; Škevin, D. Differentiation Between Unfiltered and Filtered Oblica and Leccino Cv. Virgin Olive Oils. J. Food Sci. 2019, 84, 877–885. [Google Scholar] [CrossRef]
- Veneziani, G.; Esposto, S.; Minnocci, A.; Taticchi, A.; Urbani, S.; Selvaggini, R.; Sordini, B.; Sebastiani, L.; Servili, M. Compositional Differences between Veiled and Filtered Virgin Olive Oils during a Simulated Shelf Life. LWT Food Sci. Technol. 2018, 94, 87–95. [Google Scholar] [CrossRef]
- Cerretani, L.; Bendini, A.; Biguzzi, B.; Lercker, G.; Toschi, T.G. Freezing Storage Can Affect the Oxidative Stability of Not Filtered Extra-Virgin Olive Oils. J. Commod. Sci. 2005, 44, 3–15. [Google Scholar] [CrossRef]
- Gutiérrez, F.; Fernández, J.L. Determinant Parameters and Components in the Storage of Virgin Olive Oil. Prediction of Storage Time beyond Which the Oil Is No Longer of “Extra” Quality. J. Agric. Food Chem. 2002, 50, 571–577. [Google Scholar] [CrossRef]
- Krichene, D.; Salvador, M.D.; Fregapane, G. Stability of Virgin Olive Oil Phenolic Compounds during Long-Term Storage (18 Months) at Temperatures of 5–50 °C. J. Agric. Food Chem. 2015, 63, 6779–6786. [Google Scholar] [CrossRef]
- Serrano, L.; Cruz, A.; Sousa, S.; Morais, Z. Alterations in Monovarietal, Blended and Aromatized Portuguese Virgin Olive Oils under Four Storage Conditions for 12 Months. Eur. Food Res. Technol. 2016, 242, 1041–1055. [Google Scholar] [CrossRef]
- Li, X.; Zhu, H.; Shoemaker, C.F.; Wang, S.C. The Effect of Different Cold Storage Conditions on the Compositions of Extra Virgin Olive Oil. J. Am. Oil Chem. Soc. 2014, 91, 1559–1570. [Google Scholar] [CrossRef]
- Brkic Bubola, K.; Koprivnjak, O.; Sladonja, B.; Belobrajić, I. Influence of Storage Temperature on Quality Parameters, Phenols and Volatile Compounds of Croatian Virgin Olive Oils. Grasas Aceites 2014, 65, e034. [Google Scholar] [CrossRef]
- Mulinacci, N.; Ieri, F.; Ignesti, G.; Romani, A.; Michelozzi, M.; Creti, D.; Innocenti, M.; Calamai, L. The Freezing Process Helps to Preserve the Quality of Extra Virgin Olive Oil over Time: A Case Study up to 18 Months. Food Res. Int. 2013, 54, 2008–2015. [Google Scholar] [CrossRef]
- Díez-Betriu, A.; Romero, A.; Ninot, A.; Tres, A.; Vichi, S.; Guardiola, F. Effect of Freezing, Fast-Freezing by Liquid Nitrogen or Refrigeration to Preserve Premium Extra Virgin Olive Oil during Storage. Eur. Food Res. Technol. 2022, 248, 2651–2663. [Google Scholar] [CrossRef]
- Calligaris, S.; Manzocco, L.; Conte, L.S.; Nicoli, M.C. Application of a Modified Arrhenius Equation for the Evaluation of Oxidation Rate of Sunflower Oil at Subzero Temperatures. J. Food Sci. 2004, 69, 361–366. [Google Scholar] [CrossRef]
- Calligaris, S.; Sovrano, S.; Manzocco, L.; Nicoli, M.C. Influence of Crystallization on the Oxidative Stability of Extra Virgin Olive Oil. J. Agric. Food Chem. 2006, 54, 529–535. [Google Scholar] [CrossRef] [PubMed]
- Jansen, M.; Birch, J. Composition and Stability of Olive Oil Following Partial Crystallization. Food Res. Int. 2009, 42, 826–831. [Google Scholar] [CrossRef]
- EEC. Commission Regulation No. 2568/91 on the Characteristics of Olive Oil and Olive-Residue Oil and on the Relevant Methods of Analysis. Brussels, Belgium: European Union. Off. J. Eur. Communities 1991, L248, 83. [Google Scholar]
- Guerrero, L.; Romero, A.; Tous, J. Importance of Generalised Procrustes Analysis in Sensory Characterisation of Virgin Olive Oil. Food Qual. Prefer. 2001, 12, 515–520. [Google Scholar] [CrossRef]
- AOCS. Moisture and Volatile Matter, Vacuum Oven Method. In Offical Method Ca 2d-25; AOCS Press: Champaign, IL, USA, 2017. [Google Scholar]
- AOCS. Oil Stability Index (OSI); Official Method Cd 12b-92; AOCS Press: Champaign, IL, USA, 2017. [Google Scholar]
- Vichi, S.; Cortés-Francisco, N.; Caixach, J. Insight into Virgin Olive Oil Secoiridoids Characterization by High-Resolution Mass Spectrometry and Accurate Mass Measurements. J. Chromatogr. A 2013, 1301, 48–59. [Google Scholar] [CrossRef] [PubMed]
- IOC. Determination of Biophenols in Olive Oils by HPLC; COI/T.20/Doc No 29.; Review International Olive Oil Council: Madrid, Spain, 2009. [Google Scholar]
- Nenadis, N.; Mastralexi, A.; Tsimidou, M.Z.; Vichi, S.; Quintanilla-Casas, B.; Donarski, J.; Bailey-Horne, V.; Butinar, B.; Miklavčič, M.; García González, D.L.; et al. Toward a Harmonized and Standardized Protocol for the Determination of Total Hydroxytyrosol and Tyrosol Content in Virgin Olive Oil (VOO). Extraction Solvent. Eur. J. Lipid Sci. Technol. 2018, 120, 1800099. [Google Scholar] [CrossRef]
- Mateos, R.; Espartero, J.L.; Trujillo, M.; Ríos, J.J.; León-Camacho, M.; Alcudia, F.; Cert, A. Determination of Phenols, Flavones, and Lignans in Virgin Olive Oils by Solid-Phase Extraction and High-Performance Liquid Chromatography with Diode Array Ultraviolet Detection. J. Agric. Food Chem. 2001, 49, 2185–2192. [Google Scholar] [CrossRef]
- AOCS. Determination of Tocopherols and Tocotrienols in Vegetable Oils and Fats by HPLC; Official Method Ce 8–89; AOCS Press: Champaign, IL, USA, 2017. [Google Scholar]
- Vichi, S.; Pizzale, L.; Conte, L.S.; Buxaderas, S.; López-Tamames, E. Solid-Phase Microextraction in the Analysis of Virgin Olive Oil Volatile Fraction: Modifications Induced by Oxidation and Suitable Markers of Oxidative Status. J. Agric. Food Chem. 2003, 51, 6564–6571. [Google Scholar] [CrossRef] [PubMed]
- Xenakis, A.; Papadimitriou, V.; Sotiroudis, T.G. Colloidal Structures in Natural Oils. Curr. Opin. Colloid. Interface Sci. 2010, 15, 55–60. [Google Scholar] [CrossRef]
- Cinelli, G.; Cofelice, M.; Venditti, F. Veiled Extra Virgin Olive Oils: Role of Emulsion, Water and Antioxidants. Colloids Interfaces 2020, 4, 0038. [Google Scholar] [CrossRef]
- Zullo, B.A.; Ciafardini, G. Differential Microbial Composition of Monovarietal and Blended Extra Virgin Olive Oils Determines Oil Quality during Storage. Microorganisms 2020, 8, 402. [Google Scholar] [CrossRef]
- Angerosa, F.; Servili, M.; Selvaggini, R.; Taticchi, A.; Esposto, S.; Montedoro, G. Volatile Compounds in Virgin Olive Oil: Occurrence and Their Relationship with the Quality. J. Chromatogr. A 2004, 1054, 17–31. [Google Scholar] [CrossRef]
- Üçüncüoğlu, D.; Sivri-Özay, D. Geographical Origin Impact on Volatile Composition and Some Quality Parameters of Virgin Olive Oils Extracted from the “Ayvalık” Variety. Heliyon 2020, 6, e04919. [Google Scholar] [CrossRef]
- Vichi, S.; Pizzale, L.; Conte, L.; Buxaderas, S.; López-Tamames, E. Solid-Phase Microextraction in the Analysis of Virgin Olive Oil Volatile Fraction: Modifications Induced by Oxidation and Suitable Markers of Oxidative Status. J. Agric. Food Chem. 2003, 51, 6564–6571. [Google Scholar] [CrossRef]
- Morales, M.T.; Alonso, M.V.; Rios, J.J.; Aparicio, R. Virgin Olive Oil Aroma: Relationship between Volatile Compounds and Sensory Attributes by Chemometrics. J. Agric. Food Chem. 1995, 43, 2925–2931. [Google Scholar] [CrossRef]
- Sanmartin, C.; Venturi, F.; Sgherri, C.; Nari, A.; Macaluso, M.; Flamini, G.; Quartacci, M.F.; Taglieri, I.; Andrich, G.; Zinnai, A. The Effects of Packaging and Storage Temperature on the Shelf-Life of Extra Virgin Olive Oil. Heliyon 2018, 4, e00737. [Google Scholar] [CrossRef] [PubMed]
- Malheiro, R.; Casal, S.; Rodrigues, N.; Renard, C.M.G.C.; Pereira, J.A. Volatile Changes in Cv. Verdeal Transmontana Olive Oil: From the Drupe to the Table, Including Storage. Food Res. Int. 2018, 106, 374–382. [Google Scholar] [CrossRef] [PubMed]
- Ciafardini, G.; Zullo, B.A. Microbiological Activity in Stored Olive Oil. Int. J. Food Microbiol. 2002, 75, 111–118. [Google Scholar] [CrossRef]
- Gutiérrez-Rosales, F.; Ríos, J.J.; Gómez-Rey, M. Main Polyphenols in the Bitter Taste of Virgin Olive Oil. Structural Confirmation by on-Line High-Performance Liquid Chromatography Electrospray Ionization Mass Spectrometry. J. Agric. Food Chem. 2003, 51, 6021–6025. [Google Scholar] [CrossRef]
- Mateos, R.; Cert, A.; Pérez-Camino, M.C.; García, J.M. Evaluation of Virgin Olive Oil Bitterness by Quantification of Secoiridoid Derivatives. J. Am. Oil. Chem. Soc. 2004, 81, 71–75. [Google Scholar] [CrossRef]
- Romero, A. Caracterización y diferenciación de los aceites vírgenes de oliva de la comarca del Priorat (Tarragona) dentro del mercado global de aceites de la variedad ’Arbequina’. Tesis doctoral, UdL. 2011. Available online: https://tdx.cat/handle/10803/77835#page=70 (accessed on 9 March 2023).






| FO | UO | |
|---|---|---|
| FFA% | 0.067 | 0.073 |
| PV (meq O2/kg) | 2.0 | 2.1 |
| K232 | 1.37 | 1.35 |
| K268 | 0.13 | 0.12 |
| Moisture and volatile matter (%) | 0.036 | 0.376 |
| OSI (h) | 23.3 | 25.3 |
| Polar and lipophilic phenolic compounds(mg/kg) | ||
| α-Tocopherol | 504 | 444.5 |
| Hydroxytyrosol (3,4-DHPEA) | 1.17 | 7.24 |
| Tyrosol (p-HPEA) | 2.61 | 4.67 |
| ΣSEC | 405.2 | 337.9 |
| ΣOL | 248.6 | 188.6 |
| ΣLIG | 156.6 | 149.3 |
| Σox SEC | 3.02 | 5.88 |
| Volatile compounds (mg IS/kg oil) | ||
| ΣLOX VOC | 16.1 | 12.7 |
| Σox VOC | 0.11 | 0.2 |
| Total volatile compounds | 17.9 | 16.2 |
| Sensory analysis1 | ||
| Fruity | 6.6 | 5.1 |
| Bitter | 4.9 | 4.4 |
| Pungent | 5.4 | 4.9 |
| Green | 4.3 | 3.3 |
| Astringency | 3.0 | 2.6 |
| FO | UO | |||||||||
|---|---|---|---|---|---|---|---|---|---|---|
| CT0 1 | CT6 1 | THT0 1 | THT6 1 | TH*T | CT0 1 | CT6 1 | THT0 1 | THT6 1 | TH*T | |
| FFA (% oleic acid) | 0.07 | 0.06 | 0.07 | 0.06 | 0.830 | 0.07 | 0.07 | 0.06 | 0.08 | 0.027 |
| PV (meq O2/kg) | 2.0 | 4.5 | 1.8 | 4.8 | 0.031 | 2.1 | 5.5 | 2.0 | 5.3 | 0.389 |
| K232 | 1.37 | 1.65 | 1.38 | 1.65 | 0.727 | 1.35 | 1.64 | 1.32 | 1.57 | 0.546 |
| K268 | 0.13 | 0.13 | 0.11 | 0.13 | 0.005 | 0.12 | 0.10 | 0.10 | 0.10 | 0.479 |
| Positive sensory attributes 2 | ||||||||||
| Fruity | 6.6 | 6.0 | 5.8 | 5.9 | 0.016 | 5.1 | 2.3 | 5.0 | 4.0 | 0.001 |
| Bitter | 4.9 | 5.2 | 4.9 | 4.9 | 0.109 | 4.4 | 3.6 | 4.4 | 4.1 | 0.203 |
| Pungent | 5.4 | 5.1 | 4.9 | 5.1 | 0.003 | 4.9 | 3.9 | 4.8 | 4.4 | 0.019 |
| Green | 4.3 | 3.8 | 4.0 | 3.8 | 0.103 | 3.3 | 0.1 | 3.4 | 2.7 | <0.001 |
| Astringency | 3.0 | 2.9 | 2.8 | 3.0 | 0.204 | 2.6 | 1.3 | 2.4 | 2.1 | 0.150 |
| Global sensory score 3 | 7.8 | 7.5 | 7.5 | 7.6 | 0.007 | 7.2 | 4.9 | 7.2 | 6.4 | <0.001 |
Disclaimer/Publisher’s Note: The statements, opinions and data contained in all publications are solely those of the individual author(s) and contributor(s) and not of MDPI and/or the editor(s). MDPI and/or the editor(s) disclaim responsibility for any injury to people or property resulting from any ideas, methods, instructions or products referred to in the content. |
© 2023 by the authors. Licensee MDPI, Basel, Switzerland. This article is an open access article distributed under the terms and conditions of the Creative Commons Attribution (CC BY) license (https://creativecommons.org/licenses/by/4.0/).
Share and Cite
Díez-Betriu, A.; Romero, A.; Ninot, A.; Tres, A.; Vichi, S.; Guardiola, F. Subzero Temperature Storage to Preserve the Quality Attributes of Veiled Virgin Olive Oil. Foods 2023, 12, 1228. https://doi.org/10.3390/foods12061228
Díez-Betriu A, Romero A, Ninot A, Tres A, Vichi S, Guardiola F. Subzero Temperature Storage to Preserve the Quality Attributes of Veiled Virgin Olive Oil. Foods. 2023; 12(6):1228. https://doi.org/10.3390/foods12061228
Chicago/Turabian StyleDíez-Betriu, Anna, Agustí Romero, Antonia Ninot, Alba Tres, Stefania Vichi, and Francesc Guardiola. 2023. "Subzero Temperature Storage to Preserve the Quality Attributes of Veiled Virgin Olive Oil" Foods 12, no. 6: 1228. https://doi.org/10.3390/foods12061228
APA StyleDíez-Betriu, A., Romero, A., Ninot, A., Tres, A., Vichi, S., & Guardiola, F. (2023). Subzero Temperature Storage to Preserve the Quality Attributes of Veiled Virgin Olive Oil. Foods, 12(6), 1228. https://doi.org/10.3390/foods12061228

