Application of Three-Dimensional Digital Photogrammetry to Quantify the Surface Roughness of Milk Powder
Abstract
1. Introduction
2. Materials and Methods
2.1. Milk Powder Samples
2.2. Sample Preparation
2.3. 3D Digital Models Building
3. Three-Dimensional Image Analysis
3.1. Contour Slice Analysis
3.2. Frequency Analysis of the Deviations
3.3. Support Vector Machine (SVM)
4. Results and Discussion
4.1. Milk Powder Cones
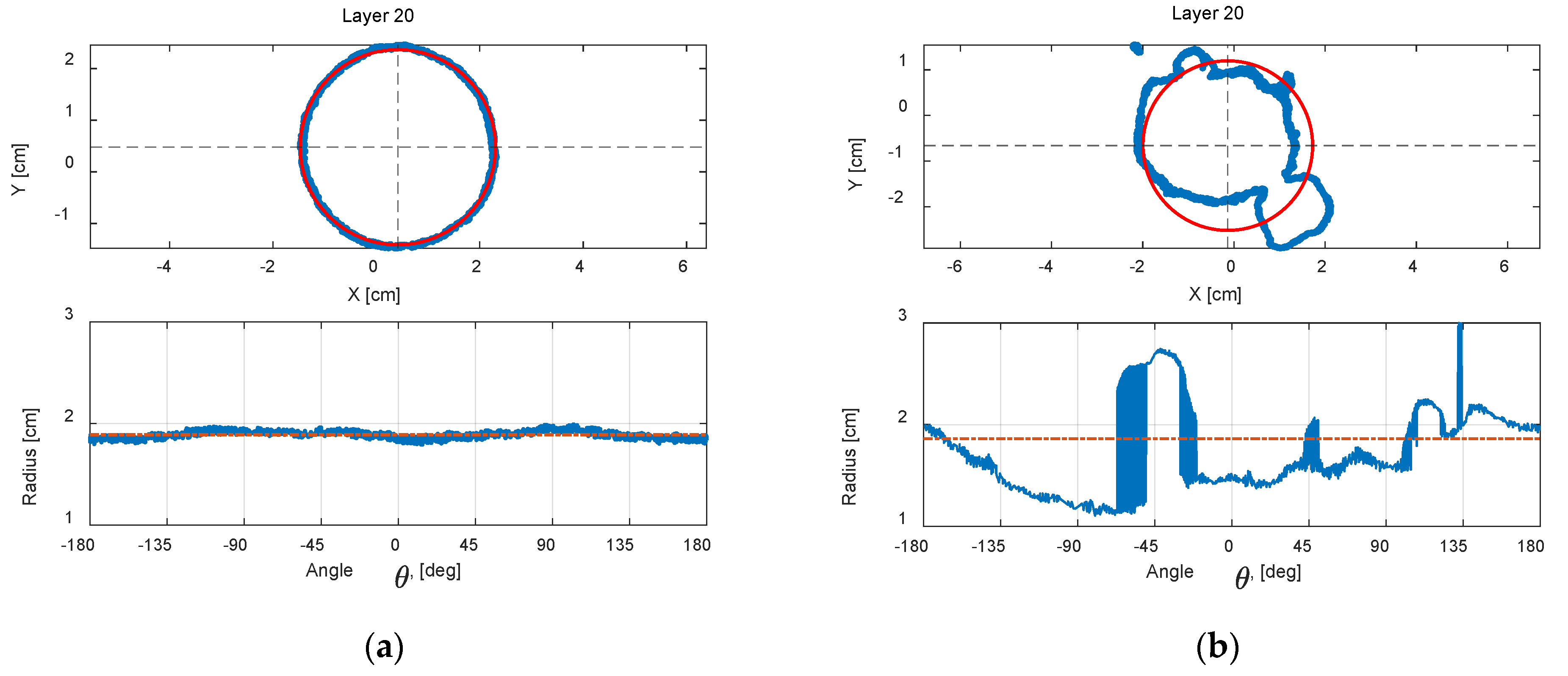
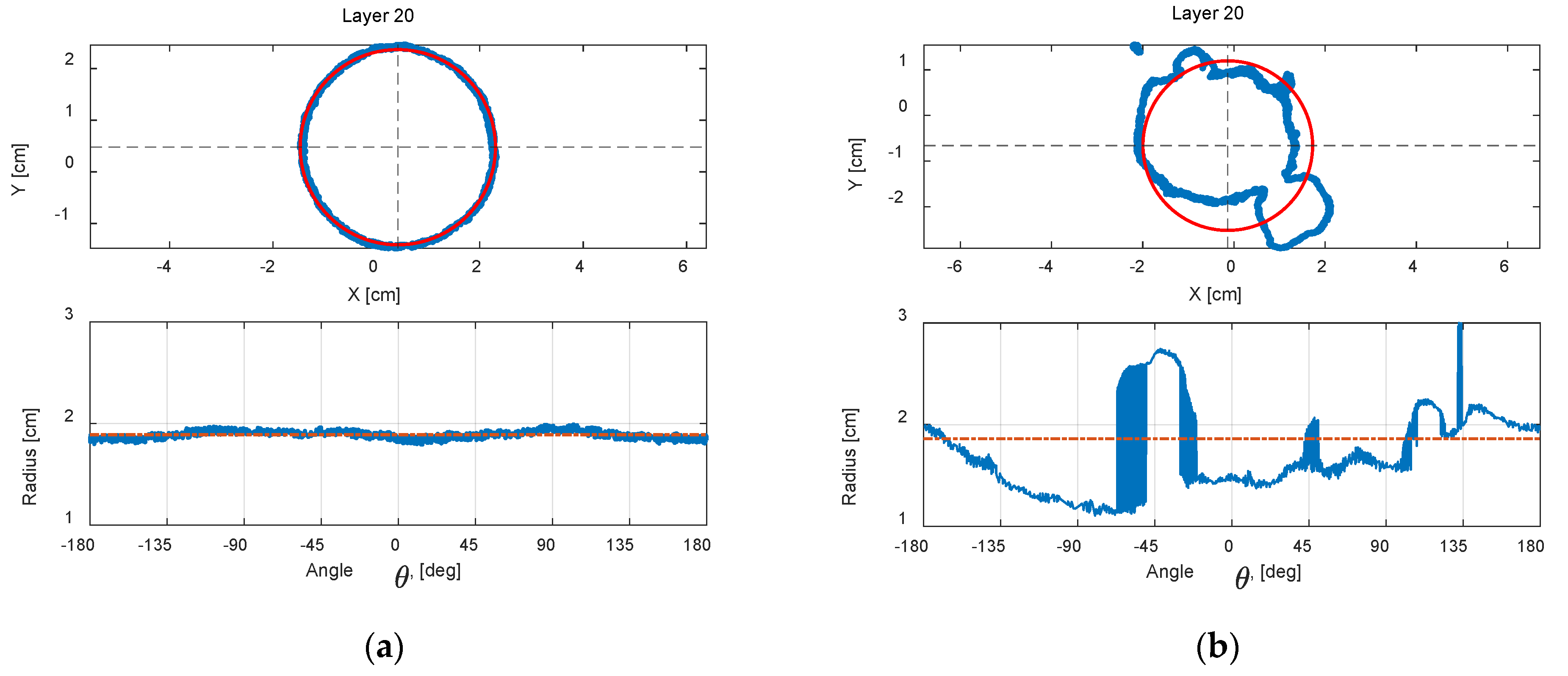
4.2. Contour Slice Analysis
4.3. Variance of the Contours
4.4. Comparing the Frequency Responses
4.5. Classification of the Surface Roughness
5. Conclusions
Author Contributions
Funding
Institutional Review Board Statement
Informed Consent Statement
Data Availability Statement
Acknowledgments
Conflicts of Interest
References
- Ding, H.; Li, B.; Boiarkina, I.; Wilson, D.I.; Yu, W.; Young, B.R. Effects of Morphology on the Bulk Density of Instant Whole Milk Powder. Foods 2020, 9, 1024. [Google Scholar] [CrossRef] [PubMed]
- Traill, R.; Thomasen, L.; Turnbull, R.; Coolbear, T. The visual measurement of the degree of clumping of dairy powders using photo standards. Int. Dairy J. 2022, 127, 105198. [Google Scholar] [CrossRef]
- Traill, R.M.; Luckman, M.S.; Fisk, N.A.; Peng, M. Application of the Rate-All-That-Apply (RATA) method to differentiate the visual appearance of milk powders using trained sensory panels. Int. Dairy J. 2019, 97, 230–237. [Google Scholar] [CrossRef]
- Ding, H.; Yu, W.; Boiarkina, I.; Depree, N.; Young, B.R. Effects of morphology on the dispersibility of instant whole milk powder. J. Food Eng. 2020, 276, 109841. [Google Scholar] [CrossRef]
- Písecký, J. Handbook of Milk Powder Manufacture; GEA Process Engineering A/S: Skanderborg, Denmark, 2012. [Google Scholar]
- Crowley, S.V.; Desautel, B.; Gazi, I.; Kelly, A.L.; Huppertz, T.; O’Mahony, J.A. Rehydration characteristics of milk protein concentrate powders. J. Food Eng. 2015, 149, 105–113. [Google Scholar] [CrossRef]
- Massot-Campos, M.; Oliver-Codina, G.; Ruano-Amengual, L.; Miró-Juliá, M. Texture analysis of seabed images: Quantifying the presence of posidonia oceanica at palma bay. In Proceedings of the 2013 MTS/IEEE OCEANS-Bergen, Bergen, Norway, 10–13 June 2013; pp. 1–6. [Google Scholar]
- Garcıa, P.; Petrou, M.; Kamata, S.-I. The use of Boolean model for texture analysis of grey images. Comput. Vis. Image Underst. 1999, 74, 227–235. [Google Scholar] [CrossRef]
- Tsai, D.-M.; Hsieh, C.-Y. Automated surface inspection for directional textures. Image Vis. Comput. 1999, 18, 49–62. [Google Scholar] [CrossRef]
- Weszka, J.S.; Rosenfeld, A. An application of texture analysis to materials inspection. Pattern Recognit. 1976, 8, 195–200. [Google Scholar] [CrossRef]
- Al-Kindi, G.; Baul, R.; Gill, K. An application of machine vision in the automated inspection of engineering surfaces. Int. J. Prod. Res. 1992, 30, 241–253. [Google Scholar] [CrossRef]
- Gupta, M.; Raman, S. Machine vision assisted characterization of machined surfaces. Int. J. Prod. Res. 2001, 39, 759–784. [Google Scholar] [CrossRef]
- Kiran, M.; Ramamoorthy, B.; Radhakrishnan, V. Evaluation of surface roughness by vision system. Int. J. Mach. Tools Manuf. 1998, 38, 685–690. [Google Scholar] [CrossRef]
- Lee, B.; Juan, H.; Yu, S. A study of computer vision for measuring surface roughness in the turning process. Int. J. Adv. Manuf. Technol. 2002, 19, 295–301. [Google Scholar] [CrossRef]
- Liang, J.; Gu, X.; Deng, H.; Ni, F. Detecting device and technology of pavement texture depth based on high precision 3D laser scanning technology. In IOP Conference Series: Materials Science and Engineering; IOP Publishing: Bristol, UK, 2019; p. 012063. [Google Scholar]
- Hoła, J.; Sadowski, Ł.; Reiner, J.; Stach, S. Usefulness of 3D surface roughness parameters for nondestructive evaluation of pull-off adhesion of concrete layers. Constr. Build. Mater. 2015, 84, 111–120. [Google Scholar] [CrossRef]
- Li, K.; Wang, J.; Qi, D. Damage Diagnosis of Reactive Powder Concrete under Fatigue Loading Using 3D Laser Scanning Technology. Algorithms 2019, 12, 260. [Google Scholar] [CrossRef]
- Ohno, K.; Date, H.; Kanai, S. Study on Real-Time Point Cloud Superimposition on Camera Image to Assist Environmental Three-Dimensional Laser Scanning. Int. J. Autom. Technol. 2021, 15, 324–333. [Google Scholar] [CrossRef]
- Schenk, T. Introduction to photogrammetry. Ohio State Univ. Columb. 2005, 106, 2005. [Google Scholar]
- Waltenberger, L.; Rebay-Salisbury, K.; Mitteroecker, P. Three-dimensional surface scanning methods in osteology: A topographical and geometric morphometric comparison. Am. J. Phys. Anthropol. 2021, 174, 846–858. [Google Scholar] [CrossRef] [PubMed]
- James, M.R.; Robson, S.; Smith, M.W. 3-D uncertainty-based topographic change detection with structure-from-motion photogrammetry: Precision maps for ground control and directly georeferenced surveys. Earth Surf. Process. Landf. 2017, 42, 1769–1788. [Google Scholar] [CrossRef]
- Abadie, A.; Boissery, P.; Viala, C. Georeferenced underwater photogrammetry to map marine habitats and submerged artificial structures. Photogramm. Rec. 2018, 33, 448–469. [Google Scholar] [CrossRef]
- Stathopoulou, E.; Remondino, F. Semantic photogrammetry: Boosting image-based 3D reconstruction with semantic labeling. Int. Arch. Photogramm. Remote Sens. Spat. Inf. Sci. 2019, 42, W9. [Google Scholar] [CrossRef]
- Caravaca, G.; Le Mouélic, S.; Rapin, W.; Dromart, G.; Gasnault, O.; Fau, A.; Newsom, H.E.; Mangold, N.; Le Deit, L.; Maurice, S. Long-Distance 3D Reconstructions Using Photogrammetry with Curiosity’s ChemCam Remote Micro-Imager in Gale Crater (Mars). Remote Sens. 2021, 13, 4068. [Google Scholar] [CrossRef]
- Bertin, S.; Friedrich, H. Field application of close-range digital photogrammetry (CRDP) for grain-scale fluvial morphology studies. Earth Surf. Process. Landf. 2016, 41, 1358–1369. [Google Scholar] [CrossRef]
- Peter Heng, B.; Chandler, J.H.; Armstrong, A. Applying close range digital photogrammetry in soil erosion studies. Photogramm. Rec. 2010, 25, 240–265. [Google Scholar] [CrossRef]
- Rieke-Zapp, D.H.; Nearing, M.A. Digital close range photogrammetry for measurement of soil erosion. Photogramm. Rec. 2005, 20, 69–87. [Google Scholar] [CrossRef]
- Moret-Fernández, D.; Latorre, B.; Peña, C.; González-Cebollada, C.; López, M. Applicability of the photogrammetry technique to determine the volume and the bulk density of small soil aggregates. Soil Res. 2016, 54, 354–359. [Google Scholar] [CrossRef]
- Merel, A.; Farres, P. The monitoring of soil surface development using analytical photogrammetry. Photogramm. Rec. 1998, 16, 331–345. [Google Scholar] [CrossRef]
- Belmonte, A.; Biong, M.; Macatulad, E. DEM generation from close-range photogrammetry using extended python photogrammetry toolbox. Int. Arch. Photogramm. Remote Sens. Spat. Inf. Sci. 2017, 42, 11–19. [Google Scholar] [CrossRef]
- Omar, H.; Mahdjoubi, L.; Kheder, G. Towards an automated photogrammetry-based approach for monitoring and controlling construction site activities. Comput. Ind. 2018, 98, 172–182. [Google Scholar] [CrossRef]
- Fabris, M.; Pesci, A. Automated DEM extraction in digital aerial photogrammetry: Precisions and validation for mass movement monitoring. Ann. Geophys. 2005, 48. Available online: http://hdl.handle.net/2122/1126 (accessed on 12 February 2023). [CrossRef]
- Geladi, P. Some special topics in multivariate image analysis. Chemom. Intell. Lab. Syst. 1992, 14, 375–390. [Google Scholar] [CrossRef]
- Indahl, U.G.; Naes, T. Evaluation of alternative spectral feature extraction methods of textural images for multivariate modelling. J. Chemom. A J. Chemom. Soc. 1998, 12, 261–278. [Google Scholar] [CrossRef]
- Tomita, F.; Tsuji, S. Computer Analysis of Visual Textures; Springer Science & Business Media: Berlin, Germany, 2013; Volume 102. [Google Scholar]
- Pugliese, A.; Cabassi, G.; Chiavaro, E.; Paciulli, M.; Carini, E.; Mucchetti, G. Physical characterization of whole and skim dried milk powders. J. Food Sci. Technol. 2017, 54, 3433–3442. [Google Scholar] [CrossRef] [PubMed]
- Sharma, A.; Jana, A.H.; Chavan, R.S. Functionality of milk powders and milk-based powders for end use applications—A review. Compr. Rev. Food Sci. Food Saf. 2012, 11, 518–528. [Google Scholar] [CrossRef]
- Davenel, A.; Schuck, P.; Mariette, F.; Brulé, G. NMR relaxometry as a non-invasive tool to characterize milk powders. Le Lait 2002, 82, 465–473. [Google Scholar] [CrossRef]
- Nijdam, J.; Langrish, T. An investigation of milk powders produced by a laboratory-scale spray dryer. Dry. Technol. 2005, 23, 1043–1056. [Google Scholar] [CrossRef]
- Lee, J.; Chai, C.; Park, D.J.; Lim, K.; Imm, J.-Y. Novel convenient method to determine wettability and dispersibility of dairy powders. Korean J. Food Sci. Anim. Resour. 2014, 34, 852. [Google Scholar] [CrossRef]
- Carrasco, A.; Siebert, K.J. Human visual perception of haze and relationships with instrumental measurements of turbidity. Thresholds, magnitude estimation and sensory descriptive analysis of haze in model systems. Food Qual. Prefer. 1999, 10, 421–436. [Google Scholar] [CrossRef]
- Jeon, S.-S.; Ganesan, P.; Lee, Y.-S.; Yoo, S.-H.; Kwak, H.-S. Texture and sensory properties of cream cheese and cholesterol-removed cream cheese made from whole milk powder. Food Sci. Anim. Resour. 2012, 32, 49–53. [Google Scholar] [CrossRef]
- Gosselin, R.; Duchesne, C.; Rodrigue, D. On the characterization of polymer powders mixing dynamics by texture analysis. Powder Technol. 2008, 183, 177–188. [Google Scholar] [CrossRef]
- Lille, M.; Kortekangas, A.; Heiniö, R.-L.; Sozer, N. Structural and textural characteristics of 3D-printed protein-and dietary fibre-rich snacks made of milk powder and wholegrain rye flour. Foods 2020, 9, 1527. [Google Scholar] [CrossRef]
- Gemmi, M.; Voltolini, M.; Ferretti, A.M.; Ponti, A. Quantitative texture analysis from powder-like electron diffraction data. J. Appl. Crystallogr. 2011, 44, 454–461. [Google Scholar] [CrossRef]
- Oghazi, P.; Pålsson, B.; Tano, K. Applying traceability to grinding circuits by using Particle Texture Analysis (PTA). Miner. Eng. 2009, 22, 710–718. [Google Scholar] [CrossRef]
- Pang, Z.; Deeth, H.; Sopade, P.; Sharma, R.; Bansal, N. Rheology, texture and microstructure of gelatin gels with and without milk proteins. Food Hydrocoll. 2014, 35, 484–493. [Google Scholar] [CrossRef]
- Ding, H.; Wilson, D.I.; Yu, W.; Young, B.R. Assessing and Quantifying the Surface Texture of Milk Powder Using Image Processing. Foods 2022, 11, 1519. [Google Scholar] [CrossRef] [PubMed]
- De Knegt, R.; Van Den Brink, H. Improvement of the drying oven method for the determination of the moisture content of milk powder. Int. Dairy J. 1998, 8, 733–738. [Google Scholar] [CrossRef]
- Yang, J.; Huang, M.; Peng, J.; Shi, J. Rapid determination of the moisture content of milk powder by microwave sensor. Measurement 2016, 87, 83–86. [Google Scholar] [CrossRef]
- Reljić, I.; Dunđer, I. Application of Photogrammetry in 3D Scanning of Physical Objects. TEM J. 2019, 8, 94. [Google Scholar]
- Fritsch, D.; Klein, M. 3D preservation of buildings–Reconstructing the past. Multimed. Tools Appl. 2018, 77, 9153–9170. [Google Scholar] [CrossRef]
- Hellmuth, R.; Wehner, F.; Giannakidis, A. Datasets of captured images of three different devices for photogrammetry calculation comparison and integration into a laserscan point cloud of a built environment. Data Brief 2020, 33, 106321. [Google Scholar] [CrossRef]
- Reljić, I.; Dunđer, I.; Seljan, S. Photogrammetric 3D scanning of physical objects: Tools and workflow. TEM J. 2019, 8, 383. [Google Scholar]
- Huang, M.-W.; Chen, C.-W.; Lin, W.-C.; Ke, S.-W.; Tsai, C.-F. SVM and SVM ensembles in breast cancer prediction. PLoS ONE 2017, 12, e0161501. [Google Scholar] [CrossRef] [PubMed]
- Pavithra, S.; Janakiraman, S. Enhanced polynomial kernel (EPK)-based support vector machine (SVM) (EPK-SVM) classification technique for speech recognition in hearing-impaired listeners. Concurr. Comput. Pract. Exp. 2021, 33, e5210. [Google Scholar] [CrossRef]
- Kohavi, R.; Provost, F. Glossary of terms journal of machine learning. Mach. Learn 1998, 30, 271–274. [Google Scholar]
- Jiang, N.; Liu, H. Understand system’s relative effectiveness using adapted confusion matrix. In Proceedings of the International Conference of Design, User Experience, and Usability, Las Vegas, NV, USA, 21–26 July 2013; pp. 294–302. [Google Scholar]
- Ding, H.; Wilson, D.I.; Yu, W.; Young, B.R. An investigation of the relative impact of process and shape factor variables on milk powder quality. Food Bioprod. Process. 2021, 126, 62–72. [Google Scholar] [CrossRef]
- Khan, A.; Munir, M.T.; Yu, W.; Young, B. Wavelength Selection FOR Rapid Identification of Different Particle Size Fractions of Milk Powder Using Hyperspectral Imaging. Sensors 2020, 20, 4645. [Google Scholar] [CrossRef] [PubMed]















| Milk Powder Type | Class 0 | Class 1 | Class 2 | Class 3 | 
|---|---|---|---|---|
| Instant Trim Milk Powder | 5.91 ± 0.27% | 8.19 ± 0.45% | 9.79 ± 0.66% | 11.98 ± 0.96% | 
| Instant Whole Milk Powder | 5.18 ± 0.23% | 7.74 ± 0.51% | 9.44 ± 0.64% | 11.02 ± 0.87% | 
| Class | Sensitivity | Specificity | 
|---|---|---|
| Class 0 | 100% | 75% | 
| Class 1 | 83.3% | 83.3% | 
| Class 2 | 66.7% | 100% | 
| Class 3 | 100% | 100% | 
| Disclaimer/Publisher’s Note: The statements, opinions and data contained in all publications are solely those of the individual author(s) and contributor(s) and not of MDPI and/or the editor(s). MDPI and/or the editor(s) disclaim responsibility for any injury to people or property resulting from any ideas, methods, instructions or products referred to in the content. | 
© 2023 by the authors. Licensee MDPI, Basel, Switzerland. This article is an open access article distributed under the terms and conditions of the Creative Commons Attribution (CC BY) license (https://creativecommons.org/licenses/by/4.0/).
Share and Cite
Ding, H.; Wilson, D.I.; Yu, W.; Young, B.R.; Cui, X. Application of Three-Dimensional Digital Photogrammetry to Quantify the Surface Roughness of Milk Powder. Foods 2023, 12, 967. https://doi.org/10.3390/foods12050967
Ding H, Wilson DI, Yu W, Young BR, Cui X. Application of Three-Dimensional Digital Photogrammetry to Quantify the Surface Roughness of Milk Powder. Foods. 2023; 12(5):967. https://doi.org/10.3390/foods12050967
Chicago/Turabian StyleDing, Haohan, David I. Wilson, Wei Yu, Brent R. Young, and Xiaohui Cui. 2023. "Application of Three-Dimensional Digital Photogrammetry to Quantify the Surface Roughness of Milk Powder" Foods 12, no. 5: 967. https://doi.org/10.3390/foods12050967
APA StyleDing, H., Wilson, D. I., Yu, W., Young, B. R., & Cui, X. (2023). Application of Three-Dimensional Digital Photogrammetry to Quantify the Surface Roughness of Milk Powder. Foods, 12(5), 967. https://doi.org/10.3390/foods12050967
 
        



 
       