Effect of Metal Ions on the Interaction of Condensed Tannins with Protein
Abstract
1. Introduction
2. Materials and Methods
3. Results and Discussion
3.1. Precipitation of CT and BSA
3.2. Amount of CT in CT–Protein Precipitate
3.3. Amount of BSA in CT–Protein Precipitate
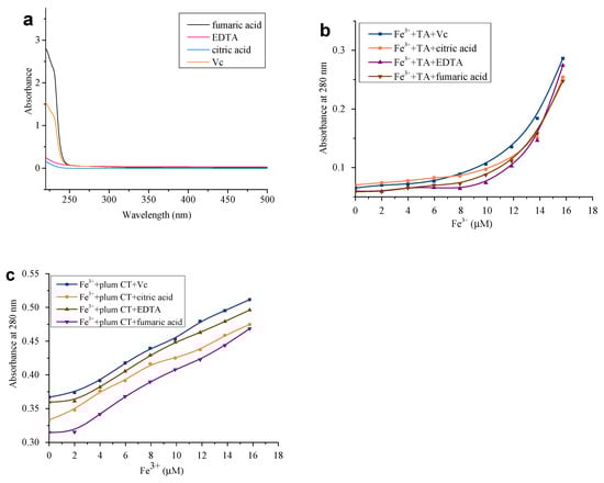
3.4. Effect of Acidifying Agents on Tannin–Metal Complexation
4. Conclusions
Supplementary Materials
Author Contributions
Funding
Data Availability Statement
Conflicts of Interest
References
- Haslam, E.; Haslam, E. Natural polyphenols (vegetable tannins) as drugs: Possible modes of action. J. Nat. Prod. 1996, 59, 205–215. [Google Scholar] [CrossRef] [PubMed]
- Kosińska, A.; Karamać, M.; Penkacik, K.; Urbalewicz, A.; Amarowicz, R. Interactions between tannins and proteins isolated from broad bean seeds (Vicia faba Major) yield soluble and non-soluble complexes. Eur. Food Res. Technol. 2011, 233, 213–222. [Google Scholar] [CrossRef]
- Hemingway, R.W.; Karchesy, J.J.; Branham, S.J. Chemistry and Significance of Condensed Tannins; Springer: Berlin/Heidelberg, Germany, 1989. [Google Scholar]
- Porter, L.J. Structure and chemical properties of the condensed tannins. Plant Polyphenol. 1992, 59, 245–258. [Google Scholar] [CrossRef]
- Hättenschwiler, S.; Vitousek, P.M. The role of polyphenols in terrestrial ecosystem nutrient cycling. Trends Ecol. Evol. 2000, 15, 238–243. [Google Scholar] [CrossRef]
- Oh, H.I.; Hoff, J.E.; Haff, L.A. Immobilized condensed tannins and their interaction with proteins. J. Food Sci. 2010, 50, 1652–1654. [Google Scholar] [CrossRef]
- Swain, T.; Bate-Smith, E.C. Flavonoid Compounds. In Comparative Biochemistry Vol. III: Constituents of Life. Part A; Academic Press: Cambridge, MA, USA, 1962; Volume 3, pp. 755–809. [Google Scholar]
- Bandyopadhyay, P.; Ghosh, A.K.; Ghosh, C. Recent developments on polyphenol-protein interactions: Effects on tea and coffee taste, antioxidant properties and the digestive system. Food Funct. 2012, 3, 592–605. [Google Scholar] [CrossRef]
- Huang, X.D.; Liang, J.B.; Tan, H.Y.; Yahya, R.; Long, R.; Ho, Y.W. Protein-binding affinity of leucaena condensed tannins of differing molecular weights. J. Agric. Food Chem. 2011, 59, 10677–10682. [Google Scholar] [CrossRef] [PubMed]
- Naumann, H.D.; Tedeschi, L.O.; Zeller, W.E.; Huntley, N.F. The role of condensed tannins in ruminant animal production advances, limitations and future directions. Rev. Bras. de Zootec. 2017, 46, 929–949. [Google Scholar] [CrossRef]
- Waghorn, G.C.; Mcnabb, W.C. Consequences of plant phenolic compounds for productivity and health of ruminants. Proc. Nutr. Soc. 2003, 62, 383–392. [Google Scholar] [CrossRef]
- Ramírez-Restrepo, C.A.; Barry, T.N.; Pomroy, W.E.; López-Villalobos, N.; Mcnabb, W.C.; Kemp, P.D. Use of Lotus corniculatus containing condensed tannins to increase summer lamb growth under commercial dryland farming conditions with minimal anthelmintic drench input. Anim. Feed Sci. Technol. 2005, 122, 197–217. [Google Scholar] [CrossRef]
- Asquith, T.N.; Butler, L.G. Interactions of condensed tannins with selected proteins. Phytochemistry 1986, 25, 1591–1593. [Google Scholar] [CrossRef]
- Quijada, J.; Drake, C.; Gaudin, E.; Korso, R.E.; Hoste, H.; Mueller-Harvey, I. Condensed tannin changes along the digestive tract in lambs fed with sainfoin pellets or hazelnut skins. J. Agric. Food Chem. 2018, 66, 2136–2142. [Google Scholar] [CrossRef] [PubMed]
- Zeller, W.E.; Sullivan, M.L.; Mueller-Harvey, I. Protein precipitation behavior of condensed tannins from lotus pedunculatus and trifolium repens with different mean degrees of polymerization. J. Agric. Food Chem. 2015, 63, 1160–1168. [Google Scholar] [CrossRef] [PubMed]
- Marina, A.D.; Richard, A.F.; Irene, M.H.; Luke, A.C. Binding of pentagalloyl glucose to two globular proteins occurs via multiple surface sites. Macromolecules 2011, 12, 710–715. [Google Scholar] [CrossRef]
- Karonen, M.; Oraviita, M.; Mueller-Harvey, I.; Salminen, J.P.; Green, R.J. Binding of an oligomeric ellagitannin series to bovine serum albumin (BSA): Analysis by isothermal titration calorimetry (ITC). J. Agric. Food Chem. 2015, 63, 10647–10654. [Google Scholar] [CrossRef]
- Hagerman, A.E.; Li, M. Interactions between plasma proteins and naturally occurring polyphenols. Curr. Drug Metab. 2013, 14, 432–445. [Google Scholar] [CrossRef]
- Hider, R.C.; Liu, Z.D.; Khodr, H.H. Metal chelation of polyphenols. Methods Enzymol. 2001, 335, 190–203. [Google Scholar] [CrossRef]
- Bloomfield, C.B. The possible significance of poly-phenols in soil formation. J. Sci. Food Agric. 2010, 8, 389–392. [Google Scholar] [CrossRef]
- Rice-Evans, C.A.; Miller, N.J.; Paganga, G. Structure-antioxidant activity relationships of flavonoids and phenolic acids. Free Radic. Biol. Med. 2019, 20, 933–956. [Google Scholar] [CrossRef]
- Luck, G.; Liao, H.; Murray, N.J.; Grimmer, H.R.; Warminski, E.E.; Williamson, M.P.; Lilley, T.H.; Haslam, E. Polyphenols, astringency and proline-rich proteins. Phytochemistry 1994, 37, 357–371. [Google Scholar] [CrossRef]
- Zhang, L.L.; Lin, Y.M. Tannins from Canarium album with potent antioxidant activity. J. Zhejiang Univ. Sci. B 2008, 9, 407–415. [Google Scholar] [CrossRef] [PubMed]
- Dalzell, S.A.; Kerven, G.L. A rapid method for the measurement of Leucaena spp. proanthocyanidins by the proanthocyanidin (butanol/HCl) assay. J. Sci. Food Agric. 1998, 78, 405–416. [Google Scholar] [CrossRef]
- Messman, M.A.; Weiss, B.P. Extraction of protein from forages and comparison of two methods to determine its concentration. J. Agric. Food Chem. 1993, 41, 1085–1089. [Google Scholar] [CrossRef]
- Zhang, H.; Zhang, L.; Tang, L.; Hu, X.; Xu, M. Effects of metal ions on the precipitation of penta-O-galloyl-β-d-glucopyranose by protein. J. Agric. Food Chem. 2021, 69, 5059–5066. [Google Scholar] [CrossRef] [PubMed]
- Hagerman, A.E.; Rice, M.E.; Ritchard, N.T. Mechanisms of protein precipitation for two tannins, pentagalloyl glucose and epicatechin 16 (4 leads to 8) catechin (procyanidin). J. Agric. Food Chem. 1998, 46, 2590–2595. [Google Scholar] [CrossRef]
- Engstrom, M.T.; Arvola, J.; Nenonen, S.; Virtanen, V.T.J.; Leppa, M.M.; Tahtinen, P.; Salminen, J.P. Structural features of hydrolyzable tannins determine their ability to form insoluble complexes with bovine serum albumin. J. Agric. Food Chem. 2019, 67, 6798–6808. [Google Scholar] [CrossRef]
- Khokhar, S. Iron binding characteristic of phenolic compounds: Some tentative structure-activity relations. Food Chem. 2003, 81, 133–140. [Google Scholar] [CrossRef]
- Andjelkovic, M.; Camp, J.V.; Meulenaer, B.D.; Depaemelaere, G.; Socaciu, C.; Verloo, M.; Verhe, R. Iron-chelation properties of phenolic acids bearing catechol and galloyl groups. Food Chem. 2006, 98, 23–31. [Google Scholar] [CrossRef]
- Harbertson, J.F.; Kilmister, R.L.; Kelm, M.A.; Downey, M.O. Impact of condensed tannin size as individual and mixed polymers on bovine serum albumin precipitation. Food Chem. 2014, 160, 16–21. [Google Scholar] [CrossRef]
- Wen, M.; Waffo-Teguo, P.; Jourdes, M.; Li, H.; Teissedre, P.L. Chemical affinity between tannin size and salivary protein binding abilities: Implications for wine astringency. PLoS ONE 2016, 11, e0161095. [Google Scholar] [CrossRef]
- Delimont, N.M.; Rosenkranz, S.K.; Haub, M.D.; Lindshield, B.L. Salivary proline-rich protein may reduce tannin-iron chelation: A systematic narrative review. Nutr. Metab. 2017, 14, 47. [Google Scholar] [CrossRef]
- Girard, A.L.; Bean, S.R.; Tilley, M.; Adrianos, S.L.; Awika, J.M. Interaction mechanisms of condensed tannins (proanthocyanidins) with wheat gluten proteins. Food Chem. 2018, 245, 1154–1162. [Google Scholar] [CrossRef] [PubMed]
- Zeng, X.; Du, Z.; Sheng, Z.; Jiang, W. Characterization of the interactions between banana condensed tannins and biologically important metal ions (Cu2+, Zn2+ and Fe2+). Food Res. Int. 2019, 123, 518–528. [Google Scholar] [CrossRef] [PubMed]
- Geibel, M.A.; Hagerman, A. Effects of metal ions on proanthocyanidin-protein interactions. FASEB J. 2015, 29, 887.2. [Google Scholar] [CrossRef]
- Liu, Y.; Zhang, L.; Xu, M.; Hu, X.; Wang, Y. Binding and precipitation of germanium by four hydrolyzable tannins. BioResources 2020, 15, 1205–1232. [Google Scholar] [CrossRef]
- Long-Sheng, Y.I.; Wang, W.Y.; Liu, Y.; Tao, Y. Removal effects of the citric acid, EDTA and saponin on heavy metal contaminated soil. J. Saf. Environ. 2014, 14, 225–228. [Google Scholar] [CrossRef]






Disclaimer/Publisher’s Note: The statements, opinions and data contained in all publications are solely those of the individual author(s) and contributor(s) and not of MDPI and/or the editor(s). MDPI and/or the editor(s) disclaim responsibility for any injury to people or property resulting from any ideas, methods, instructions or products referred to in the content. |
© 2023 by the authors. Licensee MDPI, Basel, Switzerland. This article is an open access article distributed under the terms and conditions of the Creative Commons Attribution (CC BY) license (https://creativecommons.org/licenses/by/4.0/).
Share and Cite
Zhang, L.; Guan, Q.; Zhang, H.; Tang, L. Effect of Metal Ions on the Interaction of Condensed Tannins with Protein. Foods 2023, 12, 829. https://doi.org/10.3390/foods12040829
Zhang L, Guan Q, Zhang H, Tang L. Effect of Metal Ions on the Interaction of Condensed Tannins with Protein. Foods. 2023; 12(4):829. https://doi.org/10.3390/foods12040829
Chicago/Turabian StyleZhang, Liangliang, Qinhao Guan, He Zhang, and Lihua Tang. 2023. "Effect of Metal Ions on the Interaction of Condensed Tannins with Protein" Foods 12, no. 4: 829. https://doi.org/10.3390/foods12040829
APA StyleZhang, L., Guan, Q., Zhang, H., & Tang, L. (2023). Effect of Metal Ions on the Interaction of Condensed Tannins with Protein. Foods, 12(4), 829. https://doi.org/10.3390/foods12040829

