Study of the Fermentation Characteristics of Non-Conventional Yeast Strains in Sweet Dough
Abstract
1. Introduction
2. Materials and Methods
2.1. Materials
2.2. CO2 Production Analysis
2.3. Quantification of Mono-, Di- and Trisaccharides
2.4. Quantification of Ethanol, Glycerol and Organic Acids
2.5. Analysis of Volatile Compounds
2.6. Statistical Analysis
3. Results
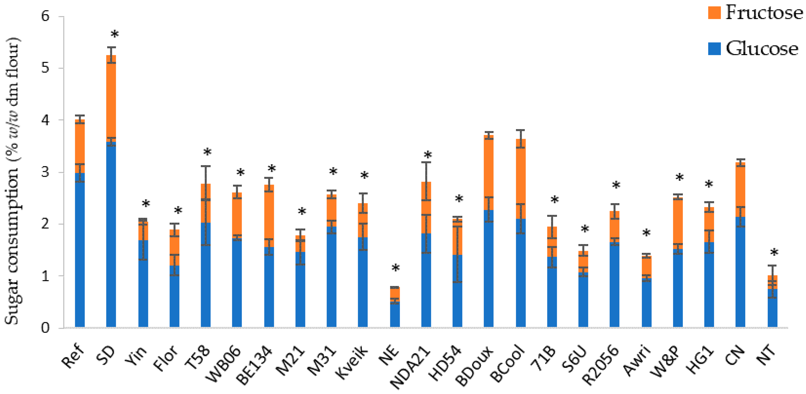
3.1. Sugar Consumption
3.2. Metabolite Production
3.3. Relation between Sugar Consumption and Metabolite Production
3.4. Volatile Compounds in Sweet Dough
4. Discussion
5. Conclusions
Author Contributions
Funding
Data Availability Statement
Acknowledgments
Conflicts of Interest
References
- Legras, J.L.; Merdinoglu, D.; Cornuet, J.M.; Karst, F. Bread, beer and wine: Saccharomyces cerevisiae diversity reflects human history. Mol. Ecol. 2007, 16, 2091–2102. [Google Scholar] [CrossRef] [PubMed]
- Sicard, D.; Legras, J.L. Bread, beer and wine: Yeast domestication in the Saccharomyces sensu stricto complex. Comptes Rendus Biol. 2011, 334, 229–236. [Google Scholar] [CrossRef] [PubMed]
- Aslankoohi, E.; Herrera-Malaver, B.; Rezaei, M.N.; Steensels, J.; Courtin, C.M.; Verstrepen, K.J. Non-conventional yeast strains increase the aroma complexity of bread. PLoS ONE 2016, 11, e0165126. [Google Scholar] [CrossRef] [PubMed]
- Steensels, J.; Verstrepen, K.J. Taming wild yeast: Potential of conventional and non-conventional yeasts in industrial fermentations. Annu. Rev. Microbiol. 2014, 68, 61–80. [Google Scholar] [CrossRef] [PubMed]
- Zhou, N.; Semumu, T.; Gamero, A. Non-conventional yeasts as alternatives in modern baking for improved performance and aroma enhancement. Fermentation 2021, 7, 102. [Google Scholar] [CrossRef]
- Randez-Gil, F.; Córcoles-Sáez, I.; Prieto, J.A. Genetic and Phenotypic Characteristics of Baker’s Yeast: Relevance to Baking. Annu. Rev. Food Sci. Technol. 2013, 4, 191–214. [Google Scholar] [CrossRef] [PubMed]
- Birch, A.N.; Petersen, M.A.; Arneborg, N.; Hansen, Å.S. Influence of commercial baker’s yeasts on bread aroma profiles. Food Res. Int. 2013, 52, 160–166. [Google Scholar] [CrossRef]
- Birch, A.N.; Petersen, M.A.; Hansen, Å.S. The aroma profile of wheat bread crumb influenced by yeast concentration and fermentation temperature. Food Sci. Technol. 2013, 50, 480–488. [Google Scholar] [CrossRef]
- Frasse, P.; Lambert, S.; Richard-Molard, D.; Chiron, H. The Influence of Fermentation on Volatile Compounds in French Bread Dough. Food Sci. Technol. 1993, 26, 126–132. [Google Scholar] [CrossRef]
- Purlis, E. Browning development in bakery products—A review. J. Food Eng. 2010, 99, 239–249. [Google Scholar] [CrossRef]
- Cho, I.H.; Peterson, D.G. Chemistry of Bread Aroma: A Review. Food Sci. Biotechnol. 2010, 19, 575–582. [Google Scholar] [CrossRef]
- Pico, J.; Martínez, M.M.; Bernal, J.; Gómez, M. Evolution of volatile compounds in gluten-free bread: From dough to crumb. Food Chem. 2017, 227, 179–186. [Google Scholar] [CrossRef] [PubMed]
- Jayaram, V.B.; Cuyvers, S.; Verstrepen, K.J.; Delcour, J.A.; Courtin, C.M. Succinic acid in levels produced by yeast (Saccharomyces cerevisiae) during fermentation strongly impacts wheat bread dough properties. Food Chem. 2014, 151, 421–428. [Google Scholar] [CrossRef]
- Jayaram, V.B.; Rezaei, M.N.; Cuyvers, S.; Verstrepen, K.J.; Delcour, J.A.; Courtin, C.M. Ethanol at levels produced by Saccharomyces cerevisiae during wheat dough fermentation has a strong impact on dough properties. J. Agric. Food Chem. 2014, 62, 9326–9335. [Google Scholar] [CrossRef] [PubMed]
- Rezaei, M.N.; Jayaram, V.B.; Verstrepen, K.J.; Courtin, C.M. The impact of yeast fermentation on dough matrix properties. J. Sci. Food Agric. 2016, 96, 3741–3748. [Google Scholar] [CrossRef] [PubMed]
- Aslankoohi, E.; Rezaei, M.N.; Vervoort, Y.; Courtin, C.M.; Verstrepen, K.J. Glycerol production by fermenting yeast cells is essential for optimal bread dough fermentation. PLoS ONE 2015, 10, e0119364. [Google Scholar] [CrossRef]
- Galal, A.M.; Varrianomarston, E.; Johnson, J.A. Rheological Dough Properties as Affected by Organic-Acids and Salt. Cereal Chem. 1978, 55, 683–691. [Google Scholar]
- Heitmann, M.; Zannini, E.; Arendt, E. Impact of Saccharomyces cerevisiae metabolites produced during fermentation on bread quality parameters: A review. Crit. Rev. Food Sci. Nutr. 2018, 58, 1152–1164. [Google Scholar] [CrossRef]
- Li, W.; Tsiami, A.; Bollecker, S.; Schofield, J. Glutathione and related thiol compounds II. The importance of protein bound glutathione and related protein-bound compounds in gluten proteins. J. Cereal Sci. 2004, 39, 213–224. [Google Scholar] [CrossRef]
- Oda, Y.; Tanizaki, S.; Yokoyama-Ohtsuka, M.; Sakurai, H. Interspecific Hybrid Between Saccharomyces mikatae and Saccharomyces cerevisiae as an Alternative Strain for Bread Making. J. Microbiol. Biotechnol. Food Sci. 2020, 10, 127–129. [Google Scholar] [CrossRef]
- Struyf, N.; Vandewiele, H.; Herrera-Malaver, B.; Verspreet, J.; Verstrepen, K.J.; Courtin, C.M. Kluyveromyces marxianus yeast enables the production of low FODMAP whole wheat breads. Food Microbiol. 2018, 76, 135–145. [Google Scholar] [CrossRef] [PubMed]
- Rezaei, M.N.; Verstrepen, K.J.; Courtin, C.M. Metabolite Analysis Allows Insight into the Differences in Functionality of 25 Saccharomyces cerevisiae Strains in Bread Dough Fermentation. Cereal Chem. 2015, 92, 588–597. [Google Scholar] [CrossRef]
- Laurent, J.; Struyf, N.; Bautil, A.; Bakeeva, A.; Chmielarz, M.; Lyly, M.; Herrera-Malaver, B.; Passoth, V.; Verstrepen, K.J.; Courtin, C.M. The Potential of Kluyveromyces marxianus to Produce Low-FODMAP Straight-Dough and Sourdough Bread: A Pilot-Scale Study. Food Bioprocess Technol. 2021, 14, 1920–1935. [Google Scholar] [CrossRef]
- Hagman, A.; Säll, T.; Compagno, C.; Piskur, J. Yeast “Make-Accumulate-Consume” Life Strategy Evolved as a Multi-Step Process That Predates the Whole Genome Duplication. PLoS ONE 2013, 8, e68734. [Google Scholar] [CrossRef]
- Zhou, N.; Schifferdecker, A.J.; Gamero, A.; Compagno, C.; Boekhout, T.; Piškur, J.; Knecht, W. Kazachstania gamospora and Wickerhamomyces subpelliculosus: Two alternative baker’s yeasts in the modern bakery. Int. J. Food Microbiol. 2017, 250, 45–58. [Google Scholar] [CrossRef] [PubMed]
- Shima, J.; Takagi, H. Stress-tolerance of baker’s-yeast (Saccharomyces cerevisiae) cells: Stress-protective molecules and genes involved in stress tolerance. Biotechnol. Appl. Biochem. 2009, 53, 155–164. [Google Scholar] [CrossRef]
- Takagi, H.; Shima, J. Stress Tolerance of Baker’s Yeast during Bread-Making Processes; Springer: Tokyo, Japan, 2015; pp. 23–42. [Google Scholar]
- Struyf, N.; Van der Maelen, E.; Hemdane, S.; Verspreet, J.; Verstrepen, K.J.; Courtin, C.M. Bread Dough and Baker’s Yeast: An Uplifting Synergy. Compr. Rev. Food Sci. Food Saf. 2017, 16, 850–867. [Google Scholar] [CrossRef] [PubMed]
- Takagi, H. Construction of Baker’s Yeast Strains with Enhanced Tolerance to Baking-Associated Stresses; Springer International Publishing: Cham, Switzerland, 2017; pp. 63–85. [Google Scholar]
- Bely, M.; Stoeckle, P.; Masneuf-Pomarède, I.; Dubourdieu, D. Impact of mixed Torulaspora delbrueckii—Saccharomyces cerevisiae culture on high-sugar fermentation. Int. J. Food Microbiol. 2008, 122, 312–320. [Google Scholar] [CrossRef]
- Laurent, J.; Timmermans, E.; Struyf, N.; Verstrepen, K.J.; Courtin, C.M. Variability in yeast invertase activity determines the extent of fructan hydrolysis during wheat dough fermentation and final FODMAP levels in bread. Int. J. Food Microbiol. 2020, 326, 108648. [Google Scholar] [CrossRef]
- Timmermans, E.; Bautil, A.; Brijs, K.; Scheirlinck, I.; Van der Meulen, R.; Courtin, C.M. Sugar Levels Determine Fermentation Dynamics during Yeast Pastry Making and Its Impact on Dough and Product Characteristics. Foods 2022, 11, 1388. [Google Scholar] [CrossRef]
- Birch, A.N.; Petersen, M.A.; Hansen, Å.S. Aroma of wheat bread crumb. Cereal Chem. 2014, 91, 105–114. [Google Scholar] [CrossRef]
- Yoshio, Y.; Nagata, E. Measurement of Odor Threshold by Triangular Odor Bag Method. J. Jpn. Assoc. Odor Environ. 2003, 43, 401–407. [Google Scholar] [CrossRef]
- Kreissl, J.; Mall, V.; Steinhaus, P.; Steinhaus, M. Leibniz-LSB@TUM Odorant Database, Version 1.2; Leibniz-LSB@TUM: Freising, Germany, 2022. [Google Scholar]
- The Good Scents Company. Aromatic Ingredients. Available online: http://www.thegoodscentscompany.com (accessed on 7 November 2022).
- Struyf, N. Carbohydrate Degradation and Consumption Dynamics during Bread Dough Fermentation and Yeast- and Enzyme-Based Strategies to Modulate It. Ph.D. Thesis, KU Leuven, Leuven, Belgium, December 2017. [Google Scholar]
- Laurent, J.; Aerts, A.; Gordon, J.; Gupta, P.; Voet, A.R.D.; Verstrepen, K.J.; Courtin, C.M. Small Differences in SUC Gene Sequences Impact Saccharomyces cerevisiae Invertase Activity and Specificity toward Fructans with Different Chain Lengths. J. Agric. Food Chem. 2021, 69, 1925–1935. [Google Scholar] [CrossRef] [PubMed]
- Berthels, N.J.; Cordero Otero, R.R.; Bauer, F.F.; Thevelein, J.M.; Pretorius, I.S. Discrepancy in glucose and fructose utilisation during fermentation by Saccharomyces cerevisiae wine yeast strains. FEMS Yeast Res. 2004, 4, 683–689. [Google Scholar] [CrossRef] [PubMed]
- Clemens, R.A.; Jones, J.M.; Kern, M.; Lee, S.Y.; Mayhew, E.J.; Slavin, J.L.; Zivanovic, S. Functionality of sugars in foods and health. Compr. Rev. Food Sci. Food Saf. 2016, 15, 433–470. [Google Scholar] [CrossRef]
- Rezaei, M.N.; Aslankoohi, E.; Verstrepen, K.J.; Courtin, C.M. Contribution of the tricarboxylic acid (TCA) cycle and the glyoxylate shunt in Saccharomyces cerevisiae to succinic acid production during dough fermentation. Int. J. Food Microbiol. 2015, 204, 24–32. [Google Scholar] [CrossRef] [PubMed]
- Poinot, P.; Arvisenet, G.; Grua-Priol, J.; Fillonneau, C.; Le-Bail, A.; Prost, C. Influence of inulin on bread: Kinetics and physico-chemical indicators of the formation of volatile compounds during baking. Food Chem. 2010, 119, 1474–1484. [Google Scholar] [CrossRef]
- Schieberle, P.; Grosch, W. Potent odorants of the wheat bread crumb Differences to the crust and effect of a longer dough fermentation. Z. Lebensm. Unters. Forsch. 1991, 192, 130–135. [Google Scholar] [CrossRef]
- Paraskevopoulou, A.; Chrysanthou, A.; Koutidou, M. Characterisation of volatile compounds of lupin protein isolate-enriched wheat flour bread. Food Res. Int. 2012, 48, 568–577. [Google Scholar] [CrossRef]
- Krause, S.; Asamoah, E.A.; Moulin, G.; Bonazzi, C.; Rega, B. Lipid oxidation during the beating of cake batter containing yellow pea (Pisum sativum L.) flour. Food Sci. Technol. 2022, 154, 112770. [Google Scholar] [CrossRef]
- Lee, S.J.; Noble, A.C. Characterization of Odor-Active Compounds in Californian Chardonnay Wines Using GC-Olfactometry and GC-Mass Spectrometry. J. Agric. Food Chem. 2003, 51, 8036–8044. [Google Scholar] [CrossRef] [PubMed]
- Saerens, S.M.G.; Delvaux, F.R.; Verstrepen, K.J.; Thevelein, J.M. Production and biological function of volatile esters in Saccharomyces cerevisiae. Microb. Biotechnol. 2010, 3, 165–177. [Google Scholar] [CrossRef] [PubMed]
- Garvey, E.C.; O’Sullivan, M.G.; Kerry, J.P.; Kilcawley, K.N. Factors influencing the sensory perception of reformulated baked confectionary products. Crit. Rev. Food Sci. Nutr. 2020, 60, 1160–1188. [Google Scholar] [CrossRef] [PubMed]




| Name | Code | Industry | Species | Origin |
|---|---|---|---|---|
| Instant (reference) | Ref | Bakery | S. cerevisiae | Algist Bruggeman (Gent, Belgium) |
| Instant SD | SD | Bakery | S. cerevisiae | Algist Bruggeman (Gent, Belgium) |
| Yeast-in | Yin | Bakery | S. cerevisiae | Algist Bruggeman (Gent, Belgium) |
| Florapan® Aromatic Yeast | Flor | Bakery | S. cerevisiae | Lallemand (Montréal, QC, Canada) |
| SafAle T-58 | T58 | Beer | S. cerevisiae | Fermentis (Marcq-en-Barœul, France) |
| SafAle WB-06 | WB06 | Beer | S. cerevisiae var. diastaticus | Fermentis (Marcq-en-Barœul, France) |
| LalBrew® New England | NE | Beer | S. cerevisiae | Lallemand (Montréal, QC, Canada) |
| Belgian Wit M21 | M21 | Beer | S. cerevisiae | Mangrove Jack’s (Auckland, New Zealand) |
| Belgian Tripel M31 | M31 | Beer | S. cerevisiae | Mangrove Jack’s (Auckland, New Zealand) |
| SafAle BE-134 | BE134 | Beer | S. cerevisiae var. diastaticus | Fermentis (Marcq-en-Barœul, France) |
| LalBrew® Voss Kveik Ale | Kveik | Beer | S. cerevisiae | Lallemand (Montréal, QC, Canada) |
| SafŒno NDA 21 | NDA21 | Wine | S. cerevisiae | Fermentis (Marcq-en-Barœul, France) |
| SafŒno HD54 | HD54 | Wine | S. cerevisiae x S. cerevisiae var. bayanus | Fermentis (Marcq-en-Barœul, France) |
| Awri ZEVII | Awri | Wine | S. cerevisiae x S. kudriavzevii | Maurivin (Hampton, UK) |
| Bioferm Doux | BDoux | Wine | S. cerevisiae var. bayanus | Vinoferm (Beverlo, Belgium) |
| Oeneferm Wild and Pure | W&P | Wine | Torulaspora delbrückii | Erbslöh (Geisenheim, Germany) |
| Lalvin® 71B | 71B | Wine | S. cerevisiae | Lallemand (Montréal, QC, Canada) |
| Lalvin® Rhône 2056 | R2056 | Wine | S. cerevisiae | Lallemand (Montréal, QC, Canada) |
| Bioferm Cool | BCool | Wine | S. cerevisiae var. bayanus | Vinoferm (Beverlo, Belgium) |
| Lalvin® S6U | S6U | Wine | S. cerevisiae var. uvarum | Lallemand (Montréal, QC, Canada) |
| SafSpirit HG-1 | HG1 | Spirits | S. cerevisiae | Fermentis (Marcq-en-Barœul, France) |
| Distillamax CN | CN | Spirits | S. cerevisiae | Lallemand (Montréal, QC, Canada) |
| Distillamax NT | NT | Spirits | S. cerevisiae | Lallemand (Montréal, QC, Canada) |
| Sample | CO2 (% w/w dm flour) 1 | Succinic Acid (% w/w dm flour) 1 | Glycerol (% w/w dm flour) 1 | Acetic Acid (% w/w dm flour) 1 | Ethanol (% w/w dm flour) 1 |
|---|---|---|---|---|---|
| Initial dough | 0.00 ± 0.00 | 0.02 ± 0.00 | 0.03 ± 0.01 | 0.01 ± 0.00 | 0.00 ± 0.00 |
| Ref | 2.61 ± 0.16 b | 0.16 ± 0.02 abc | 0.73 ± 0.07 a | 0.12 ± 0.02 ab | 0.98 ± 0.17 bc |
| SD | 3.01 ± 0.11 a | 0.19 ± 0.01 a | 0.80 ± 0.05 a | 0.10 ± 0.01 b | 1.26 ± 0.13 a |
| Yin | 1.70 ± 0.09 c | 0.16 ± 0.00 bc | 0.59 ± 0.04 b | 0.13 ± 0.01 a | 0.62 ± 0.11 def |
| Flor | 0.78 ± 0.03 jklm | 0.07 ± 0.01 gh | 0.29 ± 0.02 ghi | 0.04 ± 0.01 defgh | 0.37 ± 0.05 fghi |
| T58 | 2.45 ± 0.04 b | 0.17 ± 0.01 ab | 0.78 ± 0.03 a | 0.11 ± 0.02 ab | 1.17 ± 0.18 ab |
| WB06 | 1.64 ± 0.16 cd | 0.14 ± 0.01 cd | 0.40 ± 0.03 cdef | 0.06 ± 0.00 cd | 0.66 ± 0.03 de |
| BE134 | 1.03 ± 0.11 ghij | 0.07 ± 0.01 gh | 0.31 ± 0.01 efghi | 0.04 ± 0.00 defgh | 0.44 ± 0.02 efghi |
| M21 | 0.66 ± 0.13 klm | 0.08 ± 0.01 fgh | 0.24 ± 0.04 ij | 0.03 ± 0.00 efgh | 0.32 ± 0.09 ghi |
| M31 | 0.99 ± 0.04 hij | 0.08 ± 0.00 fgh | 0.33 ± 0.01 efghi | 0.03 ± 0.00 fgh | 0.49 ± 0.04 efgh |
| Kveik | 1.38 ± 0.02 def | 0.09 ± 0.00 fg | 0.49 ± 0.04 bc | 0.05 ± 0.00 cde | 0.62 ± 0.03 def |
| NE | 0.33 ± 0.02 n | 0.07 ± 0.00 gh | 0.17 ± 0.01 j | 0.02 ± 0.00 h | 0.20 ± 0.03 i |
| NDA21 | 1.64 ± 0.09 cd | 0.12 ± 0.02 de | 0.45 ± 0.08 cd | 0.06 ± 0.01 cd | 0.55 ± 0.08 defgh |
| HD54 | 0.85 ± 0.10 ijkl | 0.15 ± 0.00 bc | 0.29 ± 0.02 ghi | 0.05 ± 0.01 cdefg | 0.39 ± 0.09 fghi |
| BDoux | 1.21 ± 0.16 efgh | 0.08 ± 0.01 fgh | 0.36 ± 0.03 defgh | 0.05 ± 0.00 defgh | 0.55 ±0.11 defgh |
| BCool | 1.18 ± 0.13 efgh | 0.09 ±0.01 fg | 0.34 ± 0.03 efghi | 0.05 ± 0.01 cdefgh | 0.56 ± 0.10 defg |
| 71B | 0.86 ± 0.08 ijkl | 0.07 ± 0.00 gh | 0.32 ± 0.03 efghi | 0.04 ± 0.00 defgh | 0.39 ± 0.04 fghi |
| S6U | 0.88 ± 0.01 ijk | 0.08 ± 0.01 fgh | 0.29 ± 0.00 fghi | 0.03 ± 0.01 gh | 0.46 ± 0.03 efghi |
| R2056 | 1.30 ± 0.07 efg | 0.08 ± 0.01 fgh | 0.42 ± 0.02 cde | 0.07 ± 0.01 c | 0.56 ± 0.04 defg |
| Awri | 0.59 ± 0.05 lmn | 0.08 ± 0.01 fgh | 0.30 ± 0.03 fghi | 0.05 ± 0.00 cdefgh | 0.29 ± 0.03 hi |
| W&P | 1.09 ± 0.06 fghi | 0.06 ± 0.01 h | 0.27 ± 0.02 hij | 0.03 ± 0.01 efgh | 0.53 ± 0.02 defgh |
| HG1 | 1.38 ± 0.11 de | 0.07 ± 0.01 gh | 0.39 ± 0.03 cdefg | 0.05 ± 0.00 cdef | 0.60 ± 0.05 def |
| CN | 1.62 ± 0.08 cd | 0.10 ± 0.01 ef | 0.57 ± 0.06 b | 0.05 ± 0.01 cdefgh | 0.78 ± 0.14 cd |
| NT | 0.50 ± 0.03 mn | 0.07 ± 0.00 gh | 0.26 ± 0.01 hij | 0.04 ± 0.01 defgh | 0.30 ± 0.01 ghi |
| Sugar Consumption | CO2 | Ethanol | Glycerol | Succinic Acid | Acetic Acid | |
|---|---|---|---|---|---|---|
| Sugar consumption | 1.00 | 0.74 | 0.71 | 0.61 | 0.44 | 0.42 |
| CO2 | 0.74 | 1.00 | 0.95 | 0.94 | 0.80 | 0.81 |
| Ethanol | 0.71 | 0.95 | 1.00 | 0.92 | 0.74 | 0.72 |
| Glycerol | 0.61 | 0.94 | 0.92 | 1.00 | 0.82 | 0.86 |
| Succinic acid | 0.44 | 0.80 | 0.73 | 0.82 | 1.00 | 0.83 |
| Acetic acid | 0.42 | 0.81 | 0.72 | 0.86 | 0.83 | 1.00 |
| Chemical Group | Compound | Odor Threshold (µg/kg) * | Odor ** |
|---|---|---|---|
| Aldehydes | 2-Methyl-1-propanal | 0.35 | Unknown |
| 2-Methyl butanal | 1–13 | Malty | |
| 3-Methyl butanal | 0.1–17 | Malty | |
| E-2-Butenal | Pungent, suffocating | ||
| Hexanal | 0.28–25.5 | Green, grassy | |
| Heptanal | 0.18–3 | Fatty | |
| E-2-Heptenal | 13 | Green, fatty | |
| Nonanal | 0.08–0.19 | Soapy, citrus | |
| E-2-Octenal | 3 | Fatty, perfume-like | |
| Benzaldehyde | 350 | Bitter, almond-like | |
| E-2-Nonenal | 0.08–0.19 | Green, cucumber-like | |
| Esters | Ethyl acetate | 870–32,600 | Solvent-like, fruity |
| Ethyl propanoate | 7–19,000 | Sweet, fruity, grape, pineapple | |
| Ethyl isobutyrate | 0.022–57.5 | Sweet, ethereal, fruity, alcoholic | |
| Ethyl 3-methylbutanoate | 0.013–6.9 | Fruity, sweet, apple, pineapple | |
| Isoamyl acetate | 30–94 | Sweet, banana, fruity | |
| Isobutyl 2-methylbutanoate | Fruity, citrus, melon, ethereal | ||
| Ethyl hexanoate | 1–55.3 | Fruity | |
| Isopentyl 2-methylbutanoate | Sweet, creamy, fruity, apple, winey, cherry, raisin, berry | ||
| 2-Methylbutyl 2-methylbutanoate | Unknown | ||
| Ethyl octanoate | 5–3150 | Fruity, sweet | |
| Acids | Acetic acid | 22,000–2,000,000 | Pungent, sour, fruit |
| Isobutyric acid | 230 | Sour, cheesy, dairy, creamy | |
| 4-Hydroxybutanoic acid | Unknown | ||
| Butanoic acid | 173–6800 | Rancid, butter-like | |
| 2-Methylbutanoic acid | 12–1580 | Cheese, sweat, rancid | |
| Alcohols | 1-Propanol | 6600 | Pungent, fruity, fermented |
| Isobutanol | 38–40,000 | Malty | |
| 1-Butanol | 500–1240 | Malty, fruity, banana, oily | |
| 1-Penten-3-ol | 250 | Green, vegetable, fruity | |
| Isopentanol | 250 | Malty | |
| Oxitol | 100 | Unknown | |
| 1-Pentanol | Fermented, bready, cereal, fruity, ethereal | ||
| 2-Methyl-1-pentanol | Fruity | ||
| 2-Heptanol | 6 | Fruity, green, earthy, bitter, citrus-like | |
| 1-Hexanol | 5370–8000 | Green, flowery | |
| 2-Methyl-3-hexanol | Ethereal, fruity | ||
| 3-Ethoxy-1-propanol | Fruity | ||
| Cyclohexanol | 1 | Camphoreous, mentholic, fruity | |
| 1-Octen-3-ol | 3–4.8 | Mushroom, earthy, fungal, green, oily, vegetable, umami | |
| 1-Heptanol | 0.9–50 | Solvent, fermented, oily, nutty, fatty, green | |
| 1-Nonanol | 2.7 | Waxy, citrus, orange, oily, fatty, spicy | |
| 1-Octanol | 1100 | Waxy, orange, rose | |
| Ketones | 3-Pentanone | Ethereal, acetone, fruity | |
| 2,3-Butanedione | 0.05–6.5 | Sweet, buttery, creamy, milky | |
| 2-Heptanone | 6.8 | Soapy | |
| 3-Octanone | Mushroom, cheesy, moldy, fruity | ||
| 3-Hydroxy-2-butanone | 259–150,000 | Buttery, carrot-like | |
| Acetol | Sweet, green, burned | ||
| 6-Methyl-5- hepten-2-one | 50 | Green, vegetable, musty, apple, banana, green bean | |
| Other | γ-Nonalactone | 21–30 | Sweet, fruity |
Disclaimer/Publisher’s Note: The statements, opinions and data contained in all publications are solely those of the individual author(s) and contributor(s) and not of MDPI and/or the editor(s). MDPI and/or the editor(s) disclaim responsibility for any injury to people or property resulting from any ideas, methods, instructions or products referred to in the content. |
© 2023 by the authors. Licensee MDPI, Basel, Switzerland. This article is an open access article distributed under the terms and conditions of the Creative Commons Attribution (CC BY) license (https://creativecommons.org/licenses/by/4.0/).
Share and Cite
Timmermans, E.; Langie, I.; Bautil, A.; Brijs, K.; Buvé, C.; Van Loey, A.; Scheirlinck, I.; Van der Meulen, R.; Courtin, C.M. Study of the Fermentation Characteristics of Non-Conventional Yeast Strains in Sweet Dough. Foods 2023, 12, 830. https://doi.org/10.3390/foods12040830
Timmermans E, Langie I, Bautil A, Brijs K, Buvé C, Van Loey A, Scheirlinck I, Van der Meulen R, Courtin CM. Study of the Fermentation Characteristics of Non-Conventional Yeast Strains in Sweet Dough. Foods. 2023; 12(4):830. https://doi.org/10.3390/foods12040830
Chicago/Turabian StyleTimmermans, Evelyne, Ine Langie, An Bautil, Kristof Brijs, Carolien Buvé, Ann Van Loey, Ilse Scheirlinck, Roel Van der Meulen, and Christophe M. Courtin. 2023. "Study of the Fermentation Characteristics of Non-Conventional Yeast Strains in Sweet Dough" Foods 12, no. 4: 830. https://doi.org/10.3390/foods12040830
APA StyleTimmermans, E., Langie, I., Bautil, A., Brijs, K., Buvé, C., Van Loey, A., Scheirlinck, I., Van der Meulen, R., & Courtin, C. M. (2023). Study of the Fermentation Characteristics of Non-Conventional Yeast Strains in Sweet Dough. Foods, 12(4), 830. https://doi.org/10.3390/foods12040830

