Gender-Disaggregated Consumer Testing and Descriptive Sensory Analysis of Local and New Yam Varieties
Abstract
1. Introduction
2. Materials and Method
2.1. Population Characteristics and Sample for Consumer Testing
2.2. Acquisition of Yam
2.3. Preparation of Boiled and Pounded Yam
2.4. Panel Training and Descriptive Testing
2.5. Consumer Testing
2.6. Statistical Analysis
2.7. Ethical Considerations
3. Results and Discussion
3.1. Descriptors of Quality of Boiled and Pounded Yam as Identified by Descriptive Sensory Panel
3.2. Principal Component Analysis (PCA) of Descriptors of Quality of Boiled and Pounded Yam Samples
3.3. Effect of Sex of Respondents on Descriptor Preferences for Boiled D. alata and D. rotundata Yam Varieties
3.4. Kruskal–Wallis Test Statistic of the Effects of Age on the Liking of Descriptors of Boiled and Pounded D. alata and D. rotundata Yam Varieties
3.5. Multiple Comparison for D. alata Yam Varieties and Descriptors of Boiled and Pounded Yam
3.6. Multiple Comparison for D. rotundata Yam Varieties and Descriptors of Boiled and Pounded Yam
3.7. Descriptive Statistics of Variations in Quality Descriptors of Pounded D. rotundata Varieties
3.8. Relative Importance Index (RII) of D. alata and D. rotundata Yam Varieties
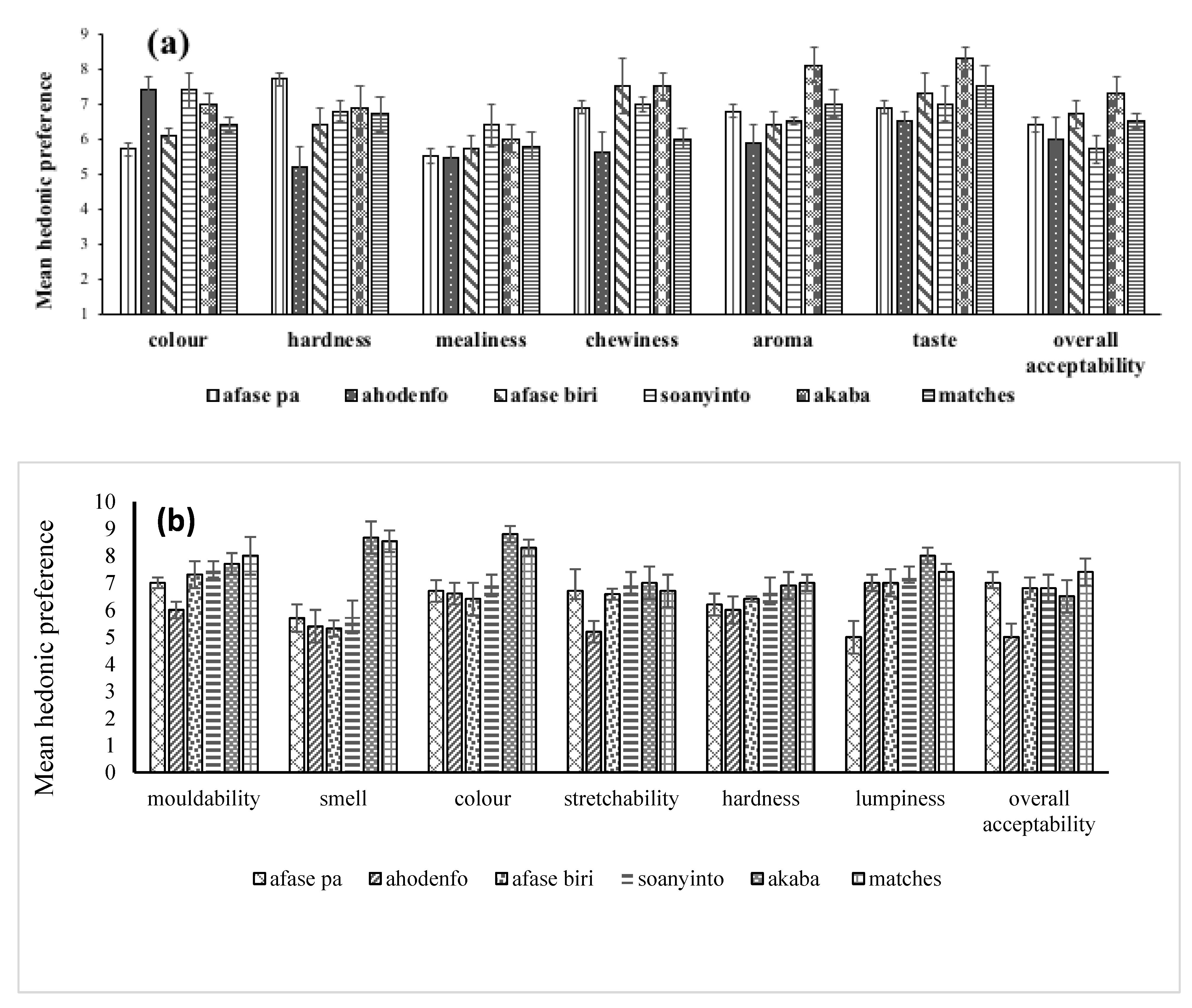
3.9. Sex and Descriptor Preferences for Boiled and Pounded Yam
3.10. Preferences by Urban and Rural Consumers for Quality Descriptors of ampesi and fufu
3.11. Limitations of Work
4. Conclusions
Supplementary Materials
Author Contributions
Funding
Informed Consent Statement
Data Availability Statement
Acknowledgments
Conflicts of Interest
References
- Maroya, N.; Balogun, M.; Asiedu, R. Seed Yam Production in an Aeroponics System: A Novel Technology; YIIFSWA Working Paper Series No 2 (Revised); International Institute of Tropical Agriculture: Ibadan, Nigeria, 2014; p. 20. [Google Scholar]
- Etim, N.A.A.; Thompson, D.; Onyenweaku, C.E. Measuring efficiency of yam (Dioscorea spp) production among resource poor farmers in rural Nigeria. J. Agric. Food Sci. 2013, 1, 42–47. [Google Scholar]
- Stone, H.; Herbert, S.; Sidel, J.L. Introduction to Sensory Evaluation; Elsevier: Amsterdam, The Netherlands, 2004; Available online: https://www.sciencedirect.com/book/9780126724820/sensory-evaluation-practices (accessed on 16 December 2020).
- Stone, H.; Sidel, J.L. Sensory Evaluation by Quantitative Descriptive Analysis. In Descriptive Sensory Analysis in Practice; Wiley-Blackwell: Hoboken, NJ, USA, 2008. [Google Scholar] [CrossRef]
- Hampson, C.R.; Quamme, H.A.; Hall, J.W.; MacDonald, R.A.; King, M.C.; Cliff, M.A. Sensory evaluation as a selection tool in apple breeding. Euphytica 2020, 111, 79–90. [Google Scholar] [CrossRef]
- Köster, E.P. Diversity in the determinants of food choice: A psychological perspective. J. Food Qual. Prefer. 2009, 20, 70–82. [Google Scholar] [CrossRef]
- Rappoport, L.; Peters, G.R.; Downey, R.; McCann, T.; Huff-Corzine, L. Gender and age differences in food cognition. Appetite 1993, 20, 33–52. [Google Scholar] [CrossRef] [PubMed]
- Kittler, P.G.; Sucher, K.P.; Nelms, M. Food and Culture; Cengage Learning: Boston, MA, USA, 2016. [Google Scholar]
- Lestringant, P.; Delarue, J.; Heymann, H. 2010–2015: How have conventional descriptive analysis methods really been used? A systematic review of publications. Food Qual. Prefer. 2019, 71, 1–7. [Google Scholar] [CrossRef]
- Mudege, N.N.; Mayanja, S.; Nyaga, J.; Nakitto, M.; Tinyiro, S.E.; Magala, D.B.; Achora, J.C.; Kisakye, S.; Bamwirire, D.; Mendes, T.; et al. Prioritising quality traits for gender-responsive breeding for boiled potato in Uganda. Int. J. Food Sci. Technol. 2021, 56, 1362–1375. [Google Scholar] [CrossRef] [PubMed]
- SRID. 2011. Available online: http://www.e-agriculture.gov.gh/index.php/about-mofa/extensions/srid (accessed on 20 September 2021).
- Ghana Statistical Service. 2010 Population and Housing Census Final Results Ghana Statistical Service. 2012; pp. 1–11. Available online: http://www.statsghana.gov.gh/docfiles/2010pc/2010_Population_And_Housing_Census_Final_Results.pdf (accessed on 20 September 2021).
- Effah-Manu, L.; Wireko-Manu, F.D.; Agbenorhevi, J.K.; Maziya-Dixon, B.; Oduro, I.N.; Baah-Ennum, T.Y. The effect of gender on end-user preferences for yam quality Descriptors. Food Sci. Nutr. 2016, 4, 364–369. [Google Scholar] [CrossRef]
- Kwame Nkrumah University of Science and Technology. Humanities and Social Sciences Research Ethics Committee (HuSSREC) Standard Operating Procedures. In Research Policy; QAPU, KNUST: Kumasi, Ghana, 2018; ISBN 978-9988-2-8487-9. [Google Scholar]
- Otegbayo, B.; Aina, J.; Asiedu, R.; Bokanga, M. Sensory profile of pounded yam. J. Texture Stud. 2005, 36, 478–488. [Google Scholar] [CrossRef]
- Akissoe, N.; Mestres, C.; Hounhouigan, J.; Nago, M. Sensory and physicochemical quality of pounded yam: Varietal and storage effects. J. Food Process. Preserv. 2009, 33, 75–90. [Google Scholar] [CrossRef]
- Effah-Manu, L.; Maziya-Dixon, B.; Wireko-Manu, F.D.; Agbenorhevi, J.K.; Oduro, I. Yam pectin and textural characteristics: A preliminary study. Int. J. Food Prop. 2022, 25, 1591–1603. [Google Scholar] [CrossRef]
- Otegbayo, B.; Oguniyan, D.; Akinwumi, O. Physicochemical and functional characterization of yam starch for potential industrial applications. Starch-Stärke 2014, 66, 235–250. [Google Scholar] [CrossRef]
- Effah-Manu, L.; Wireko-Manu, F.D.; Agbenorhevi, J.K.; Maziya-Dixon, B.; Oduro, I. Chemical, functional and pasting properties of starches and flours from new yam compared to local varieties. CyTA J. Food 2022, 20, 120–127. [Google Scholar] [CrossRef]
- Lombardo, M.; Aulisa, G.; Padua, E.; Annino, G.; Iellamo, F.; Pratesi, A.; Caprio, M.; Bellia, A. Gender differences in taste and foods habits. Nutr. Food Sci. 2020, 50, 229–239. [Google Scholar] [CrossRef]
- Koehler, J.; Leonhaeuser, I. Changes in food preferences during aging. Ann. Nutr. Metab. 2008, 52 (Suppl. 1), 15–19. [Google Scholar] [CrossRef] [PubMed]
- Uchendu, K.; Njoku, D.N.; Rabbi, I.Y.; Dzidzienyo, D.; Tongoona, P.; Offei, S.; Egesi, C. Genome-Wide Association Study of Root Mealiness and Other Texture-Associated Traits in Cassava. Front. Plant Sci. 2021, 12, 770434. [Google Scholar] [CrossRef] [PubMed]
- Xu, X.; Xu, Z.; Matsue, Y.; Xu, Q. Effects of Genetic Background and Environmental Conditions on Texture Properties in a Recombinant Inbred Population of an Inter-Subspecies Cross. Rice 2019, 12, 32. [Google Scholar] [CrossRef] [PubMed]
- Heo, H.; Kang, C.; Woo, S.; Park, C. Characteristics of Yellow Alkaline Noodles Prepared from Korean Wheat Cultivar. Food Sci. Biotechnol. 2012, 21, 69–81. [Google Scholar] [CrossRef]
- Johnson, J.; LeBreton, J.M. History and Use of Relative Importance Indices in Organizational Research. Organ. Res. Methods 2004, 7, 238–257. [Google Scholar] [CrossRef]
- McKnight, P.E.; Najab, J. Mann-Whitney U Test. In The Corsini Encyclopedia of Psychology; John Wiley & Sons, Inc.: Hoboken, NJ, USA, 2010. [Google Scholar] [CrossRef]
- Qin, G.; Tao, S.; Cao, Y.; Wu, J.; Zhang, H.; Huang, W.; Zhang, S. Evaluation of the volatile profile of 33 Pyrus ussuriensis cultivars by HS–SPME with GC–MS. Food Chem. 2012, 134, 2367–2382. [Google Scholar] [CrossRef] [PubMed]
- Arsil, P.; Brindal, M.; Sularso, K.E.; Mulyani, A. Determinants of consumers’ preferences for local food: A comparison study from urban and rural areas in Indonesia. J. Bus. Retail. Manag. Res. 2018, 13, 184. [Google Scholar] [CrossRef]






| Attribute | Panel Definition | How to Measure | Scale |
|---|---|---|---|
| (a) | |||
| Sweet taste | The taste perceived when eating food rich in sugars | Chew and/or swallow to determine the intensity of sweetness | 0—bitter 5—bland 10—high sugar intensity like local pona |
| Smell/aroma | What is perceived in the nose when sample brought close to the nose/after chewing | Bring sample close to the nose/chew and swallow sample for aroma | 0—cocoyam/cassava aroma 10—yam aroma |
| Colour | Degree of whiteness | Visual inspection | 0—grey 5—cream 10—white |
| Hardness | Mechanical textural attribute relating to the force required to achieve a given deformation | Hand: pressing with fingers/taking a morsel Mouth: amount of time used in masticating to softness before swallowing | 0—soft like ripe pawpaw 5—slightly ripened avocado pear 10—apple |
| Mealiness/waxiness | Smoothness or roughness of sample Mealy: ease of disintegration of boiled yam Waxy: extent to which yam remains intact and does not disintegrate easily | Hand feel Mouth feel when masticating | 0—not mealy/waxy 10—mealy |
| Chewiness | A measure of energy required to masticate the food (gumminess × springiness) | Chew sample in the mouth | 0—highly chewy 10—less chewy |
| (b) | |||
| Smell | What is perceived in the nose when sample is served/opened | Bring sample close to the nose | 0—cocoyam 5—cassava 10—yam aroma |
| Colour | Degree of whiteness | Visual inspection | 0—light pink/grey 5—cream 10—white |
| Fracturability | Mechanical textural attribute associated with cohesiveness and hardness and with the force necessary to break a product into crumbs or pieces | Feel between the fingers/breaking off/tearing a portion of the sample | 0—like cake 10—banku with about 20% cassava dough |
| Mouldability | Ability to be made into a shape without separating. | By hand: mould sample in the palm and observe if there is disintegration | 0—like banku made from only corn dough (etew) 10—cassava fufu |
| Hardness | Mechanical textural attribute relating to the force required to achieve a given deformation | Hand: pressing with fingers/taking a morsel Throat: swallowing with water | 0—very soft TZ 10—cold koose |
| Lumpiness/consistency | Presence of lumps | Hand feel | 0—corn porridge with lumps 10—no lumps |
| Springiness/ Stretchability | The tendency of sample to return to its original state after it has been stretched/pressed | Stretch/press sample with fingers to determine how fast it will return to original position | 0—not springy/stretchy 10—springy/stretchy |
| Stickiness | Tendency of sample to bind to other surfaces | By mouth: initiate swallowing; sample dipped in water Bowl: visual inspection of sample in bowl/turn slightly to detect stickiness | 0—like Ga kenkey 10—cassava fufu |
| Yam Variety | Species | Whiteness | Aroma | Sweet Taste | Hardness | Mealiness | Chewiness |
|---|---|---|---|---|---|---|---|
| CRI afase ahodenfo | D. alata | 3.00 | 6.08 | 6.08 | 4.91 | 6.92 | 7.41 |
| CRI afas biri | D. alata | 2.50 | 4.5 | 4.375 | 6.42 | 6.00 | 5.25 |
| CRI afase pa | D. alata | 3.5 | 3.16 | 4.75 | 4.5 | 6.75 | 5.83 |
| CRI afase soanyinto | D. alata | 2.91 | 2.91 | 3.5 | 5.75 | 6.5 | 6.5 |
| akaba (local) | D. alata | 4.41 | 6.5 | 5.87 | 5.08 | 7.45 | 6.83 |
| matches (local) | D. alata | 8.00 | 5.5 | 5.67 | 3.08 | 6.41 | 6.33 |
| CRI kukrupa | D. rotundata | 5.67 | 6.42 | 5.91 | 6.58 | 5.67 | 5.58 |
| CRI pona | D. rotundata | 5.25 | 7.08 | 5.25 | 6.25 | 5.75 | 7.33 |
| CRI mankrong pona | D. rotundata | 4.91 | 7.5 | 5.5 | 5.91 | 5.58 | 5.33 |
| serwaa (local) | D. rotundata | 5.66 | 6.41 | 5.91 | 6.58 | 5.67 | 5.58 |
| pona (local) | D. rotundata | 6.08 | 7.00 | 6.08 | 4.25 | 5.91 | 6.16 |
| Yam Variety | Species | Aroma | Colour | Stretchability | Lumpiness | Hardness | Fracturability |
| CRI afase ahodenfo | D. alata | 4.25 | 2.08 | 1.41 | 3.92 | 3.75 | 3.25 |
| CRI afase soanyinto | D. alata | 5.00 | 7.00 | 1.58 | 4.58 | 3.41 | 4.08 |
| CRI afase biri | D. alata | 5.17 | 4.16 | 3.63 | 4.91 | 5.66 | 4.83 |
| CRI afase pa | D. alata | 6.12 | 3.16 | 1.17 | 3.91 | 3.25 | 3.83 |
| akaba (local) | D. alata | 6.58 | 2.41 | 3.25 | 4.83 | 5.5 | 6.83 |
| matches (local) | D. alata | 7.09 | 8.09 | 3.81 | 5.63 | 6.36 | 3.36 |
| CRI kukrupa | D. rotundata | 8.42 | 7.33 | 6.00 | 4.41 | 7.00 | 4.42 |
| CRI pona | D. rotundata | 8.91 | 6.5 | 4.92 | 8.5 | 8.25 | 6.92 |
| CRI Mankrong pona | D. rotundata | 8.33 | 5.92 | 5.41 | 7.66 | 7.42 | 4.75 |
| serwaa (local) | D. rotundata | 8.42 | 7.33 | 6.00 | 4.41 | 7.00 | 4.42 |
| pona local | D. rotundata | 8.08 | 6.25 | 7.00 | 8.66 | 7.66 | 6.41 |
| Varieties | RII | Ranking | Varieties | RII | Ranking |
|---|---|---|---|---|---|
| Boiled | Pounded | ||||
| Akaba | 0.22 | 1 | Matches | 0.22 | 1 |
| Afase biri | 0.25 | 2 | Soanyinto | 0.24 | 2 |
| Matches | 0.28 | 3 | Akaba | 0.24 | 2 |
| Afase pa | 0.28 | 4 | Afase pa | 0.26 | 3 |
| Afase soanyinto | 0.30 | 5 | Afase Biri | 0.28 | 4 |
| Afase ahodenfo | 0.32 | 6 | Ahodenfo | 0.36 | 5 |
| Varieties | RII | Ranking | Varieties | RII | Ranking |
|---|---|---|---|---|---|
| Boiled | Pounded | ||||
| Local pona | 0.22 | 1 | CRI pona | 0.22 | 1 |
| CRI pona | 0.25 | 2 | Local pona | 0.24 | 2 |
| Mankrong pona | 0.28 | 3 | Mankrong pona | 0.24 | 3 |
| serwaa | 0.28 | 4 | kukrupa | 0.26 | 4 |
| kukrupa | 0.30 | 5 | serwaa | 0.28 | 5 |
Disclaimer/Publisher’s Note: The statements, opinions and data contained in all publications are solely those of the individual author(s) and contributor(s) and not of MDPI and/or the editor(s). MDPI and/or the editor(s) disclaim responsibility for any injury to people or property resulting from any ideas, methods, instructions or products referred to in the content. |
© 2023 by the authors. Licensee MDPI, Basel, Switzerland. This article is an open access article distributed under the terms and conditions of the Creative Commons Attribution (CC BY) license (https://creativecommons.org/licenses/by/4.0/).
Share and Cite
Effah-Manu, L.; Wireko-Manu, F.D.; Agbenorhevi, J.K.; Maziya-Dixon, B.; Oduro, I.N. Gender-Disaggregated Consumer Testing and Descriptive Sensory Analysis of Local and New Yam Varieties. Foods 2023, 12, 537. https://doi.org/10.3390/foods12030537
Effah-Manu L, Wireko-Manu FD, Agbenorhevi JK, Maziya-Dixon B, Oduro IN. Gender-Disaggregated Consumer Testing and Descriptive Sensory Analysis of Local and New Yam Varieties. Foods. 2023; 12(3):537. https://doi.org/10.3390/foods12030537
Chicago/Turabian StyleEffah-Manu, Liticia, Faustina D. Wireko-Manu, Jacob K. Agbenorhevi, Busie Maziya-Dixon, and Ibok N. Oduro. 2023. "Gender-Disaggregated Consumer Testing and Descriptive Sensory Analysis of Local and New Yam Varieties" Foods 12, no. 3: 537. https://doi.org/10.3390/foods12030537
APA StyleEffah-Manu, L., Wireko-Manu, F. D., Agbenorhevi, J. K., Maziya-Dixon, B., & Oduro, I. N. (2023). Gender-Disaggregated Consumer Testing and Descriptive Sensory Analysis of Local and New Yam Varieties. Foods, 12(3), 537. https://doi.org/10.3390/foods12030537

