Effect of Pretreatment Methods on the Formation of Advanced Glycation End Products in Fried Shrimp
Abstract
1. Introduction
2. Materials and Methods
2.1. Materials and Chemicals
2.2. Preparation of Fried Shrimps
2.3. Measurement of AGEs
2.4. Determination of Water, Oil, and Protein Contents
2.5. Determination of Thiobarbituric Acid Reactive Substances (TBARSs)
2.6. Determination of Carbonyl Content
2.7. Determination of Free Amino Groups
2.8. Determination of Browning Intensity
2.9. Determination of Color
2.10. Statistical Analysis
3. Results and Discussion
3.1. Analysis of AGEs
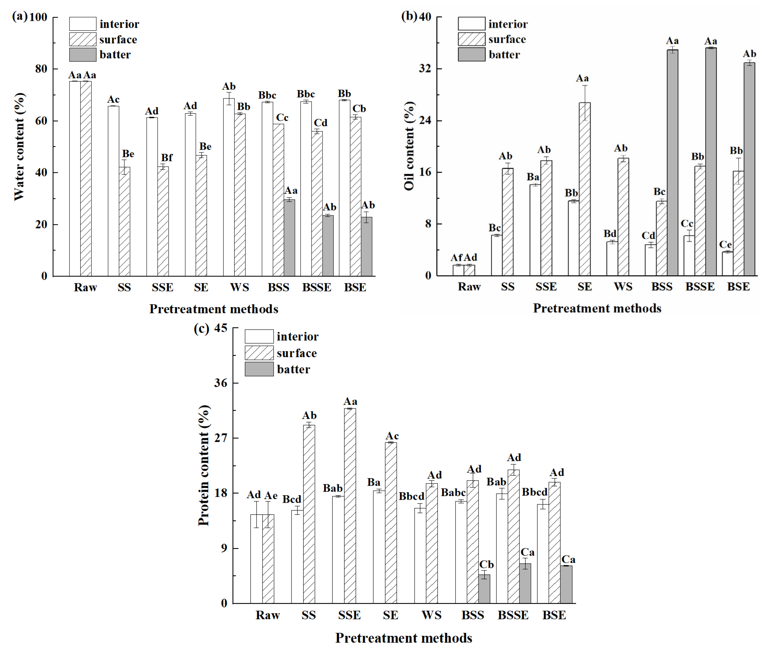
3.2. Analysis of Water, Oil, and Protein Contents
3.3. Analysis of Lipid and Protein Oxidation
3.4. Analysis of Free Amino Groups
3.5. Analysis of Browning Intensity
3.6. Analysis of Color
3.7. Correlation Analysis
4. Conclusions
Author Contributions
Funding
Data Availability Statement
Conflicts of Interest
Abbreviations
References
- Gomez-Estaca, J.; Fernandez-Martin, F.; Montero, P. The effect of high-pressure treatment on functional components of shrimp (Litopenaeus vannamei) cephalothorax. Innov. Food Sci. Emerg. 2016, 34, 154–160. [Google Scholar] [CrossRef][Green Version]
- Yang, S.; Zhou, Q.X.; Yang, L.; Xue, Y.; Xu, J.; Xue, C.H. Effect of thermal processing on astaxanthin and astaxanthin esters in pacific white shrimp (Litopenaeus vannamei). J. Oleo Sci. 2015, 64, 243–253. [Google Scholar] [CrossRef] [PubMed]
- Nasiri, F.D.; Mohebbi, M.; Yazdi, F.T.; Khodaparast, M.H.H. Effects of soy and corn flour addition on batter rheology and quality of deep fat-fried shrimp nuggets. Food Bioprocess. Technol. 2012, 5, 1238–1245. [Google Scholar] [CrossRef]
- Pankaj, S.K.; Keener, K.M. A review and research trends in alternate frying technologies. Curr. Opin. Food Sci. 2017, 16, 74–79. [Google Scholar] [CrossRef]
- Zhang, Q.; Zha, F.C.; Dong, S.Y.; Zhao, Y.H. Formation of glycated products and quality attributes of shrimp patties affected by different cooking conditions. J. Aquat. Food Prod. Technol. 2020, 29, 175–185. [Google Scholar] [CrossRef]
- Khazaei, N.; Esmailli, M.; Emam-Djomeh, Z. Effect of active edible coatings made by basil seed gum and thymol on oil uptake and oxidation in shrimp during deep-fat frying. Carbohyd Polym. 2016, 137, 249–254. [Google Scholar] [CrossRef]
- Jiang, Y.; Qin, R.K.; Jia, C.H.; Rong, J.H.; Hu, Y.; Liu, R. Hydrocolloid effects on Nε-carboxymethyllysine and acrylamide of deep-fried fish nuggets. Food Biosci. 2020, 39, 100797. [Google Scholar] [CrossRef]
- Hu, X.F.; Jiang, Q.N.; Wang, H.; Li, J.L.; Tu, Z.C. Insight into the effect of traditional frying techniques on glycosylated hazardous products, quality attributes and flavor characteristics of grass carp fillets. Food Chem. 2023, 421, 136111. [Google Scholar] [CrossRef]
- Uribarri, J.; Woodruff, S.; Goodman, S.; Cai, W.; Chen, X.; Pyzik, R.; Yong, A.; Striker, G.E.; Vlassara, H. Advanced glycation end products in foods and a practical guide to their reduction in the diet. J. Am. Diet. Assoc. 2010, 110, 911–916. [Google Scholar] [CrossRef]
- Wu, R.L.; Jiang, Y.; Qin, R.K.; Shi, H.N.; Jia, C.H.; Rong, J.H.; Liu, R. Study of the formation of food hazard factors in fried fish nuggets. Food Chem. 2022, 373, 131562. [Google Scholar] [CrossRef]
- Chen, G.; Smith, J.S. Determination of advanced glycation end products in cooked meat products. Food Chem. 2015, 168, 190–195. [Google Scholar] [CrossRef] [PubMed]
- Tavares, W.P.S.; Dong, S.Y.; Jin, W.Y.; Yang, Y.H.; Han, K.N.; Zha, F.C.; Zhao, Y.H.; Zeng, M.Y. Effect of different cooking conditions on the profiles of Maillard reaction products and nutrient composition of hairtail (Thichiurus lepturus) fillets. Food Res. Int. 2018, 103, 390–397. [Google Scholar] [CrossRef] [PubMed]
- Scheijen, J.L.J.M.; Clevers, E.; Engelen, L.; Dagnelie, P.C.; Brouns, F.; Stehouwer, C.D.A.; Schalkwijk, C.G. Analysis of advanced glycation endproducts in selected food items by ultra-performance liquid chromatography tandem mass spectrometry: Presentation of a dietary AGE database. Food Chem. 2016, 190, 1145–1150. [Google Scholar] [CrossRef] [PubMed]
- Srey, C.; Hull, G.L.J.; Connolly, L.; Elliott, C.T.; Del Castillo, M.D.; Ames, J.M. Effect of inhibitor compounds on Nε-(Carboxymethyl)lysine (CML) and Nε-(Carboxyethyl)lysine (CEL) formation in model foods. J. Agric. Food Chem. 2010, 58, 12036–12041. [Google Scholar] [CrossRef] [PubMed]
- Maasen, K.; Scheijen, J.L.J.M.; Opperhuizen, A.; Stehouwer, C.D.A.; Van Greevenbroek, M.M.; Schalkwijk, C.G. Quantification of dicarbonyl compounds in commonly consumed foods and drinks; presentation of a food composition database for dicarbonyls. Food Chem. 2021, 339, 128063. [Google Scholar] [CrossRef]
- Izadi, S.; Ojagh, S.M.; Rahmanifarah, K.; Shabanpour, B.; Sakhale, B.K. Production of low-fat shrimps by using hydrocolloid coatings. J. Food Sci. Tech. 2015, 52, 6037–6042. [Google Scholar] [CrossRef] [PubMed]
- Pan, G.K.; Ji, H.W.; Liu, S.C.; He, X.Q. Vacuum frying of breaded shrimps. LWT Food Sci. Technol. 2015, 62, 734–739. [Google Scholar] [CrossRef]
- Shan, J.H.; Chen, J.W.; Xie, D.; Xia, W.S.; Xu, W.; Xiong, Y.L. Effect of xanthan gum/soybean fiber ratio in the batter on oil absorption and quality attributes of fried breaded fish nuggets. J. Food Sci. 2018, 83, 1832–1838. [Google Scholar] [CrossRef]
- Qin, R.K.; Wu, R.L.; Shi, H.N.; Jia, C.H.; Rong, J.H.; Liu, R. Formation of ages in fish cakes during air frying and other traditional heating methods. Food Chem. 2022, 391, 133213. [Google Scholar] [CrossRef]
- AOAC. AOAC Official Methods of Analysis Association of Official Analytical Chemists; AOAC: Arlington, VA, USA, 2005. [Google Scholar]
- Hayes, M. Measuring protein content in food: An overview of methods. Foods 2020, 9, 1340. [Google Scholar] [CrossRef]
- Cofrades, S.; Serrano, A.; Ayo, J.; Carballo, J.; Jiménez-Colmenero, F. Characteristics of meat batters with added native and preheated defatted walnut. Food Chem. 2008, 107, 1506–1514. [Google Scholar] [CrossRef]
- Mesquita, C.S.; Oliveira, R.; Bento, F.; Geraldo, D.; Rodrigues, J.V.; Marcos, J.C. Simplified 2,4-dinitrophenylhydrazine spectrophotometric assay for quantification of carbonyls in oxidized proteins. Anal. Biochem. 2014, 458, 69–71. [Google Scholar] [CrossRef]
- Sun, W.W.; Yu, S.J.; Yang, X.Q.; Wang, J.M.; Zhang, J.B.; Zhang, Y.; Zheng, E.L. Study on the rheological properties of heat-induced whey protein isolate–dextran conjugate gel. Food Res. Int. 2011, 44, 3259–3263. [Google Scholar] [CrossRef]
- Lund, M.N.; Ray, C.A. Control of maillard reactions in foods: Strategies and chemical mechanisms. J. Agric. Food Chem. 2017, 65, 4537–4552. [Google Scholar] [CrossRef] [PubMed]
- Poulsen, M.W.; Hedegaard, R.V.; Andersen, J.M.; de Courten, B.; Bügel, S.; Nielsen, J.; Skibstedb, L.H.; Dragsted, L.O. Advanced glycation endproducts in food and their effects on health. Food Chem. Toxicol. 2013, 60, 10–37. [Google Scholar] [CrossRef] [PubMed]
- Vistoli, G.; De Maddis, D.; Cipak, A.; Zarkovic, N.; Carini, M.; Aldini, G. Advanced glycoxidation and lipoxidation end products (AGEs and ALEs): An overview of their mechanisms of formation. Free Radical Res. 2013, 47, 3–27. [Google Scholar] [CrossRef]
- Wu, S.; Huang, Y.Q.; Chen, M.; Li, X.F.; Xiang, X.L.; Lai, K.Q. Protein-bound Nε-carboxymethyllysine and Nε-carboxyethyllysine in raw and heat treated whites and yolks of hen eggs. J. Food Compos. Anal. 2020, 90, 103491. [Google Scholar] [CrossRef]
- Han, P.; Zhang, Q.; Wang, X.Y.; Zhou, P.C.; Dong, S.Y.; Zha, F.C.; Zeng, M.Y. Formation of advanced glycation end products in sturgeon patties affected by pan-fried and deep-fried conditions. Food Res. Int. 2022, 162, 112105. [Google Scholar] [CrossRef]
- Koerten, K.; Schutyser, M.; Somsen, D.; Boom, R.M. A pore inactivation model for describing oil uptake of French fries during pre-frying. J. Food Eng. 2015, 146, 92–98. [Google Scholar] [CrossRef]
- Sioen, I.; Haak, L.; Raes, K.; Hermans, C.; De Henauw, S.; De Smet, S.; Van Camp, J. Effects of pan-frying in margarine and olive oil on the fatty acid composition of cod and salmon. Food Chem. 2006, 98, 609–617. [Google Scholar] [CrossRef]
- Armenteros, M.; Heinonen, M.; Ollilainen, V.; Toldrá, F.; Estévez, M. Analysis of protein carbonyls in meat products by using the DNPH-method, fluorescence spectroscopy and liquid chromatography–electrospray ionisation–mass spectrometry (LC–ESI–MS). Meat Sci. 2009, 83, 104–112. [Google Scholar] [CrossRef] [PubMed]
- Estévez, M.; Ventanas, S.; Heinonen, M. Formation of strecker aldehydes between protein carbonyls—α-aminoadipic and γ-glutamic semialdehydes—And leucine and isoleucine. Food Chem. 2011, 128, 1051–1057. [Google Scholar] [CrossRef]
- Estévez, M. Protein carbonyls in meat systems: A review. Meat Sci. 2011, 89, 259–279. [Google Scholar] [CrossRef] [PubMed]
- Sharman, E.H. Reactive oxygen species and protein oxidation in neurodegenerative disease. In Inflammation, Aging, and Oxidative Stress; Springer: Cham, Switzerland, 2016; pp. 199–212. [Google Scholar] [CrossRef]
- Delgado-andrade, C.; Rufián-henares, J.A.; Morales, F.J. Study on fluorescence of Maillard reaction compounds in breakfast cereals. Mol. Nutr. Food Res. 2006, 50, 799–804. [Google Scholar] [CrossRef] [PubMed]
- Armenta, R.; Guerrero-legarreta, I. Stability studies on astaxanthin extracted from fermented shrimp byproducts. J. Agric. Food Chem. 2009, 57, 6095–6100. [Google Scholar] [CrossRef] [PubMed]
- Choubert, G.; Baccaunaud, M. Effect of moist or dry heat cooking procedures on carotenoid retention and colour of fillets of rainbow trout (Oncorhynchus mykiss) fed astaxanthin or canthaxanthin. Food Chem. 2010, 119, 265–269. [Google Scholar] [CrossRef]
- Bosch, L.; Alegría, A.; Farré, R.; Clemente, G. Fluorescence and color as markers for the Maillard reaction in milk–Cereal based infant foods during storage. Food Chem. 2007, 105, 1135–1143. [Google Scholar] [CrossRef]
- Yu, L.G.; Chai, M.; Zeng, M.M.; He, Z.Y.; Chen, J. Effect of lipid oxidation on the formation of Nε-carboxymethyllysine and Nε-carboxyethyllysine in Chinese-style sausage during storage. Food Chem. 2018, 269, 466–472. [Google Scholar] [CrossRef]
- Li, C.; Xiong, Y.L.; Chen, J. Oxidation-induced unfolding facilitates myosin cross-linking in myofifibrillar protein by microbial transglutaminase. J. Agric. Food Chem. 2012, 60, 8020–8027. [Google Scholar] [CrossRef]
- Wooster, T.J.; Augustin, M.A. Rheology of whey protein-dextran conjugate films at the air/water interface. Food Hydrocolloid 2007, 21, 1072–1080. [Google Scholar] [CrossRef]








| Time (min) | 0 | 1 | 6.5 | 9 | 10 |
|---|---|---|---|---|---|
| A | 15% | 15% | 35% | 35% | 15% |
| B | 85% | 85% | 65% | 65% | 85% |
| Analyte | Precursor Ion (m/z) | Product Ion (m/z) | Collision Energy (eV) | Cone (V) | Collision (V) |
|---|---|---|---|---|---|
| CML | 205 | 130 | 20 | 20 | 15 |
| 84 * | 30 | 20 | 20 | ||
| CEL | 219 | 130 | 20 | 20 | 15 |
| 84 * | 30 | 20 | 20 | ||
| MG-H1 | 229 | 114 | 20 | 20 | 15 |
| 70 * | 30 | 20 | 20 |
| Pretreatment Methods | Change Rate of CML/% | Change Rate of CEL/% | Change Rate of MG-H1/% | Change Rate of F-AGEs/% | |
|---|---|---|---|---|---|
| Surface layer | SS | 851.83 ± 48.52 a | −1.49 ± 0.86 b | 1248.41 ± 146.06 b | 298.74 ± 26.15 b |
| SSE | 936.61 ± 38.92 a | 65.95 ± 17.19 a | 1584.86 ± 121.57 a | 344.89 ± 1.11 a | |
| SE | 613.05 ± 50.78 b | −51.4 ± 2.15 c | 786.05 ± 71.03 cd | 328.57 ± 15.77 a | |
| WS | 491.44 ± 47.15 cd | −61.3 ± 3.91 c | 672.81 ± 64.55 d | 212.82 ± 5.18 c | |
| BSS | 447.39 ± 53.27 cd | −58.26 ± 1.34 c | 740.7 ± 104.5 d | 76.71 ± 8.46 d | |
| BSSE | 433.77 ± 75.57 d | −61.37 ± 6.49 c | 946.68 ± 82.45 c | 74.07 ± 0.38 d | |
| BSE | 542.22 ± 15.63 bc | −59.89 ± 3.24 c | 761.46 ± 94.66 cd | 71.43 ± 1.97 d | |
| Interior layer | SS | 474.02 ± 79.4 a | −54.29 ± 1.91 bc | 532.32 ± 71.63 a | 43.07 ± 5.19 c |
| SSE | 399.94 ± 41.44 ab | −54.91 ± 4.86 bc | 605.53 ± 131.76 a | 76.29 ± 5.95 b | |
| SE | 408.36 ± 51.45 ab | −52.19 ± 3.55 bc | 583.8 ± 117.11 a | 115.4 ± 14.23 a | |
| WS | 320.37 ± 15.39 b | −50.17 ± 7.3 b | 478.77 ± 4.5 a | 61.82 ± 10.12 b | |
| BSS | 354.45 ± 44.99 b | −42.8 ± 0.2 a | 467.06 ± 97.84 a | 15.34 ± 0.57 cd | |
| BSSE | 342.42 ± 36.74 b | −60.05 ± 2.57 c | 530.97 ± 46.67 a | 8.79 ± 2.67 d | |
| BSE | 468.07 ± 65.36 a | −52.23 ± 0.59 bc | 559.46 ± 67.38 a | 29.36 ± 6.96 cd | |
| Interior layer | BSS | 56.66 ± 5.57 b | −95.97 ± 0.63 a | 139.64 ± 22.68 a | 76.71 ± 8.46 a |
| BSSE | 95.1 ± 4.09 a | −96.52 ± 1.25 a | 169.82 ± 11.25 a | 74.07 ± 0.38 a | |
| BSE | 87.62 ± 9.28 a | −95.96 ± 1.78 a | 129.63 ± 11.75 a | 71.43 ± 1.97 a | |
| Pretreatment Methods | L* | a* | b* | |
|---|---|---|---|---|
| Surface/batter layer | Raw | 45.15 ± 0.93 e | −1.01 ± 0.2 e | 1.63 ± 0.58 e |
| SS | 69.38 ± 1.04 b | 6.03 ± 1.02 b | 25.13 ± 1.35 c | |
| SSE | 65.79 ± 1.97 c | 5.62 ± 1.13 b | 26.53 ± 2.28 c | |
| SE | 69.13 ± 1.06 b | 7.63 ± 1.89 a | 34.11 ± 2.7 a | |
| WS | 72.6 ± 1.19 a | 7.55 ± 1.43 a | 29.37 ± 3.33 b | |
| BSS | 63.05 ± 1.69 d | 2.59 ± 0.47 d | 22.37 ± 1.4 d | |
| BSSE | 62.22 ± 1.36 d | 1.92 ± 0.54 d | 21.84 ± 1.18 d | |
| BSE | 62.18 ± 1.76 d | 4.25 ± 0.55 c | 22.42 ± 0.95 d | |
| Interior layer | Raw | 45.15 ± 0.93 e | −1.01 ± 0.2 ab | 1.63 ± 0.58 c |
| SS | 79.76 ± 1.57 cd | −0.72 ± 0.28 ab | 6.01 ± 1.27 b | |
| SSE | 78.06 ± 2.23 d | 0.07 ± 0.01 a | 10.58 ± 3.07 a | |
| SE | 82.04 ± 1.05 bc | −1.44 ± 0.14 b | 10.03 ± 0.7 a | |
| WS | 83.87 ± 3.17 ab | −0.63 ± 0.07 ab | 7.58 ± 1.96 a | |
| BSS | 85.92 ± 0.94 a | −1.03 ± 0.23 ab | 7.2 ± 1.69 b | |
| BSSE | 82.53 ± 1.83 b | −0.29 ± 0.08 ab | 5.17 ± 0.63 b | |
| BSE | 84.54 ± 0.56 ab | −1.11 ± 0.18 ab | 5.92 ± 0.33 b | |
Disclaimer/Publisher’s Note: The statements, opinions and data contained in all publications are solely those of the individual author(s) and contributor(s) and not of MDPI and/or the editor(s). MDPI and/or the editor(s) disclaim responsibility for any injury to people or property resulting from any ideas, methods, instructions or products referred to in the content. |
© 2023 by the authors. Licensee MDPI, Basel, Switzerland. This article is an open access article distributed under the terms and conditions of the Creative Commons Attribution (CC BY) license (https://creativecommons.org/licenses/by/4.0/).
Share and Cite
Wu, R.; Jia, C.; Rong, J.; Xiong, S.; Liu, R. Effect of Pretreatment Methods on the Formation of Advanced Glycation End Products in Fried Shrimp. Foods 2023, 12, 4362. https://doi.org/10.3390/foods12234362
Wu R, Jia C, Rong J, Xiong S, Liu R. Effect of Pretreatment Methods on the Formation of Advanced Glycation End Products in Fried Shrimp. Foods. 2023; 12(23):4362. https://doi.org/10.3390/foods12234362
Chicago/Turabian StyleWu, Runlin, Caihua Jia, Jianhua Rong, Shanbai Xiong, and Ru Liu. 2023. "Effect of Pretreatment Methods on the Formation of Advanced Glycation End Products in Fried Shrimp" Foods 12, no. 23: 4362. https://doi.org/10.3390/foods12234362
APA StyleWu, R., Jia, C., Rong, J., Xiong, S., & Liu, R. (2023). Effect of Pretreatment Methods on the Formation of Advanced Glycation End Products in Fried Shrimp. Foods, 12(23), 4362. https://doi.org/10.3390/foods12234362

