Effects of Lactic Acid Bacteria Fermentation on the Physicochemical Properties of Rice Flour and Rice Starch and on the Anti-Staling of Rice Bread
Abstract
:1. Introduction
2. Materials and Methods
2.1. Materials
2.2. Preparation of Fermented Rice Flour and Rice Starch
2.2.1. Microorganisms and Culture
2.2.2. Preparation of Fermented Rice Flour and Rice Starch
2.3. Production Process of Fermented Rice Bread
2.4. Determination of Amylose
2.5. Determination of RVA Viscosity Properties
2.6. Fourier Transform Infrared (FT-IR) Spectroscopy
2.7. Effect of Fermentation on Molecular Weight of Rice Starch
2.8. X-ray Diffraction
2.9. Differential Scanning Calorimetry (DSC)
2.10. Low Field NMR
2.11. Texture (TPA) Determination
2.12. Data Analysis
3. Results and Discussion
3.1. Effects of Fermentation on Physicochemical Properties of Rice Flour
3.1.1. Amylose Content
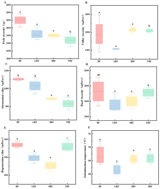
3.1.2. RVA Gelatinization Characteristics
3.2. Effects of Fermentation on Physicochemical Properties of Rice Starch
3.2.1. Molecular Weight of Starch
3.2.2. Fourier Transform Infrared Spectroscopy
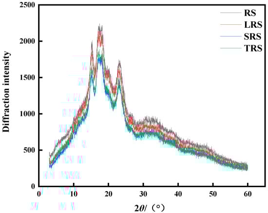
3.2.3. X-ray Diffraction
3.2.4. Differential Scanning Calorimetry (DSC)
3.3. Anti-Staling Properties of Fermented Rice Flour Bread
3.3.1. Moisture Migration of Fermented Rice Flour Mass
3.3.2. Texture Properties of Fermented Rice Flour Bread
4. Conclusions
Author Contributions
Funding
Data Availability Statement
Conflicts of Interest
References
- Gerten, D.; Heck, V.; Jägermeyr, J.; Bodirsky, B.L.; Fetzer, I.; Jalava, M.; Kummu, M.; Lucht, W.; Rockström, J.; Schaphoff, S.; et al. Feeding ten billion people is possible within four terrestrial planetary boundaries. Nat. Sustain. 2020, 3, 200–208. [Google Scholar] [CrossRef]
- Zhao, M.; Lin, Y.; Chen, H. Improving nutritional quality of rice for human health. Theor. Appl. Genet. 2020, 133, 1397–1413. [Google Scholar] [CrossRef]
- Carcea, M. Value of Wholegrain Rice in a Healthy Human Nutrition. Agriculture 2021, 11, 720. [Google Scholar] [CrossRef]
- Cock, J.H. Cassava: New Potential for A Neglected Crop; CRC Press: Boca Raton, FL, USA, 2019. [Google Scholar]
- Xie, J.; Wei, S.; Xu, X.; Xu, D.; Jin, Y.; Yang, N.; Wu, F. Preparation, Structure, and Properties of Enzymatically-Hydrolyzed Starch for Slowing Down the Retrogradation of High Starchy Foods. Starch 2021, 74, 2100213. [Google Scholar] [CrossRef]
- Jiang, Q.; Wei, X.; Liu, Q.; Zhang, T.; Chen, Q.; Yu, X.; Jiang, H. Rheo-fermentation properties of bread dough with different gluten contents processed by 3D printing. Food Chem. 2023, 433, 137318. [Google Scholar] [CrossRef] [PubMed]
- Meral, H.; Karaoğlu, M.M. The effect of the stale bread flour addition on flour and bread quality. Int. J. Food Eng. 2020, 16, 20190100. [Google Scholar] [CrossRef]
- Galoburda, R.; Straumite, E.; Sabovics, M.; Kruma, Z. Dynamics of Volatile Compounds in Triticale Bread with Sourdough: From Flour to Bread. Foods 2020, 9, 1837. [Google Scholar] [CrossRef]
- Amaral, O.; Guerreiro, C.S.; Gomes, A.; Cravo, M. Resistant starch production in wheat bread: Effect of ingredients, baking conditions and storage. Eur. Food Res. Technol. 2016, 242, 1747–1753. [Google Scholar] [CrossRef]
- Liu, X.; Chao, C.; Yu, J.; Copeland, L.; Wang, S. Mechanistic studies of starch retrogradation and its effects on starch gel properties. Food Hydrocoll. 2021, 120, 106914. [Google Scholar] [CrossRef]
- Kawai, K.; Takato, S.; Ueda, M.; Ohnishi, N.; Viriyarattanasak, C.; Kajiwara, K. Effects of fatty acid and emulsifier on the complex formation and in vitro digestibility of gelatinized potato starch. Int. J. Food Prop. 2016, 20, 1500–1510. [Google Scholar] [CrossRef]
- Fu, Z.; Chen, J.; Luo, S.; Liu, C.; Liu, W. Effect of food additives on starch retrogradation: A review. Starch 2014, 67, 69–78. [Google Scholar] [CrossRef]
- Ding, L.; Zhang, B.; Tan, C.P.; Fu, X.; Huang, Q. Effects of limited moisture content and storing temperature on retrogradation of rice starch. Int. J. Biol. Macromol. 2019, 137, 1068–1075. [Google Scholar] [CrossRef] [PubMed]
- Qiu, S.; Punzalan, M.E.; Abbaspourrad, A.; Padilla-Zakour, O.I. High water content, maltose and sodium dodecyl sulfate were effective in preventing the long-term retrogradation of glutinous rice grains—A comparative study. Food Hydrocoll. 2020, 98, 105247. [Google Scholar] [CrossRef]
- Niu, L.; Wu, L.; Xiao, J. Inhibition of gelatinized rice starch retrogradation by rice bran protein hydrolysates. Carbohydr. Polym. 2017, 175, 311–319. [Google Scholar] [CrossRef]
- Chen, L.; Ren, F.; Zhang, Z.; Tong, Q.; Rashed, M.M. Effect of pullulan on the short-term and long-term retrogradation of rice starch. Carbohydr. Polym. 2015, 115, 415–421. [Google Scholar] [CrossRef]
- Hu, Y.; He, C.; Zhang, M.; Zhang, L.; Xiong, H.; Zhao, Q. Inhibition from whey protein hydrolysate on the retrogradation of gelatinized rice starch. Food Hydrocoll. 2020, 108, 105840. [Google Scholar] [CrossRef]
- Ferreyra, L.S.; Verdini, R.A.; Soazo, M.; Piccirilli, G.N. Impact of whey protein addition on wheat bread fermented with a spontaneous sourdough. Int. J. Food Sci. Technol. 2021, 56, 4738–4745. [Google Scholar] [CrossRef]
- Tu, Y.; Huang, S.; Chi, C.; Lu, P.; Chen, L.; Li, L.; Li, X. Digestibility and structure changes of rice starch following co-fermentation of yeast and Lactobacillus strains. Int. J. Biol. Macromol. 2021, 184, 530–537. [Google Scholar] [CrossRef] [PubMed]
- Cizeikiene, D.; Jagelaviciute, J.; Stankevicius, M.; Maruska, A. Thermophilic lactic acid bacteria affect the characteristics of sourdough and whole-grain wheat bread. Food Biosci. 2020, 38, 100791. [Google Scholar] [CrossRef]
- Gharekhani, M.; Nami, Y.; Aalami, M.; Hejazi, M.A. Sourdoughs fermented by autochthonous Lactobacillus strains improve the quality of gluten-free bread. Food Sci. Nutr. 2021, 9, 6372–6381. [Google Scholar] [CrossRef]
- Gao, R.; Yang, C.; Wang, B.; Anguo, Y.; Lu, M. Optimization and Characteristic Analysis of Acid Production for a Lactobacillus rhamnosus Strain Induced by High Temperature. J. Chin. Inst. Food Sci. Technol. 2023, 22, 208–216. [Google Scholar] [CrossRef]
- Lu, Z.-H.; Li, L.-T.; Cao, W.; Li, Z.-G.; Tatsumi, E. Influence of natural fermentation on physico-chemical characteristics of rice noodles. Int. J. Food Sci. Technol. 2003, 38, 505–510. [Google Scholar] [CrossRef]
- Lei, V.; Friis, H.; Michaelsen, K.F. Spontaneously fermented millet product as a natural probiotic treatment for diarrhoea in young children: An intervention study in Northern Ghana. Int. J. Food Microbiol. 2006, 110, 246–253. [Google Scholar] [CrossRef] [PubMed]
- Li, Y.; Karim, H.; Wang, B.; Guzmán, C.; Harwood, W.; Xu, Q.; Zhang, Y.; Tang, H.; Jiang, Y.; Qi, P.; et al. Regulation of Amylose Content by Single Mutations at an Active Site in the Wx-B1 Gene in a Tetraploid Wheat Mutant. Int. J. Mol. Sci. 2022, 23, 8432. [Google Scholar] [CrossRef] [PubMed]
- Shi, S.; Wang, E.; Li, C.; Cai, M.; Cheng, B.; Cao, C.; Jiang, Y. Use of Protein Content, Amylose Content, and RVA Parameters to Evaluate the Taste Quality of Rice. Front. Nutr. 2022, 8, 758547. [Google Scholar] [CrossRef]
- Zhao, Y.; Dai, X.; Mackon, E.; Ma, Y.; Liu, P. Impacts of Protein from High-Protein Rice on Gelatinization and Retrogradation Properties in High- and Low-Amylose Reconstituted Rice Flour. Agronomy 2022, 12, 1431. [Google Scholar] [CrossRef]
- Zaidul, I.; Norulaini, N.N.; Omar, A.M.; Yamauchi, H.; Noda, T. RVA analysis of mixtures of wheat flour and potato, sweet potato, yam, and cassava starches. Carbohydr. Polym. 2007, 69, 784–791. [Google Scholar] [CrossRef]
- Lu, H.; Ma, R.; Chang, R.; Tian, Y. Evaluation of starch retrogradation by infrared spectroscopy. Food Hydrocoll. 2021, 120, 106975. [Google Scholar] [CrossRef]
- Reddy, C.K.; Suriya, M.; Vidya, P.; Vijina, K.; Haripriya, S. Effect of γ-irradiation on structure and physico-chemical properties of Amorphophallus paeoniifolius starch. Int. J. Biol. Macromol. 2015, 79, 309–315. [Google Scholar] [CrossRef]
- Cai, C.; Wei, B.; Tian, Y.; Ma, R.; Chen, L.; Qiu, L.; Jin, Z. Structural changes of chemically modified rice starch by one-step reactive extrusion. Food Chem. 2019, 288, 354–360. [Google Scholar] [CrossRef]
- Wu, N.-N.; Qiao, C.-C.; Tian, X.-H.; Tan, B.; Fang, Y. Retrogradation inhibition of rice starch with dietary fiber from extruded and unextruded rice bran. Food Hydrocoll. 2021, 113, 106488. [Google Scholar] [CrossRef]
- Banchathanakij, R.; Suphantharika, M. Effect of different β-glucans on the gelatinisation and retrogradation of rice starch. Food Chem. 2009, 114, 5–14. [Google Scholar] [CrossRef]
- Li, T.; Rui, X.; Wang, K.; Jiang, M.; Chen, X.; Li, W.; Dong, M. Study of the dynamic states of water and effects of high-pressure homogenization on water distribution in tofu by using low-field nuclear magnetic resonance. Innov. Food Sci. Emerg. Technol. 2015, 30, 61–68. [Google Scholar] [CrossRef]
- Chin, S.T.; Nazimah, S.A.H.; Quek, S.Y.; Man, Y.B.C.; Rahman, R.A.; Hashim, D.M. Changes of volatiles’ attribute in durian pulp during freeze- and spray-drying process. LWT 2008, 41, 1899–1905. [Google Scholar] [CrossRef]
- Xu, D.; Hu, Y.; Wu, F.; Jin, Y.; Xu, X.; Gänzle, M.G. Comparison of the Functionality of Exopolysaccharides Produced by Sourdough Lactic Acid Bacteria in Bread and Steamed Bread. J. Agric. Food Chem. 2020, 68, 8907–8914. [Google Scholar] [CrossRef] [PubMed]
- Lu, Z.-H.; Li, L.-T.; Min, W.-H.; Wang, F.; Tatsumi, E. The effects of natural fermentation on the physical properties of rice flour and the rheological characteristics of rice noodles. Int. J. Food Sci. Technol. 2005, 40, 985–992. [Google Scholar] [CrossRef]
- Abedi, E.; Hashemi, S.M.B. Lactic acid production—Producing microorganisms and substrates sources-state of art. Heliyon 2020, 6, e04974. [Google Scholar] [CrossRef]
- Yang, Y.; Tao, W.-Y. Effects of lactic acid fermentation on FT-IR and pasting properties of rice flour. Food Res. Int. 2008, 41, 937–940. [Google Scholar] [CrossRef]
- Yuan, M.-L.; Lu, Z.-H.; Cheng, Y.-Q.; Li, L.-T. Effect of spontaneous fermentation on the physical properties of corn starch and rheological characteristics of corn starch noodle. J. Food Eng. 2008, 85, 12–17. [Google Scholar] [CrossRef]
- Ohishi, K.; Kasai, M.; Shimada, A.; Hatae, K. Effects of acetic acid on the rice gelatinization and pasting properties of rice starch during cooking. Food Res. Int. 2007, 40, 224–231. [Google Scholar] [CrossRef]
- Lu, Z.; Yuan, M.; Sasaki, T.; Li, L.; Kohyama, K. Rheological Properties of Fermented Rice Flour Gel. Cereal Chem. 2007, 84, 620–625. [Google Scholar] [CrossRef]
- Han, X.Z.; Hamaker, B.R. Amylopectin Fine Structure and Rice Starch Paste Breakdown. J. Cereal Sci. 2001, 34, 279–284. [Google Scholar] [CrossRef]
- Li, M.; Dhital, S.; Wei, Y. Multilevel Structure of Wheat Starch and Its Relationship to Noodle Eating Qualities. Compr. Rev. Food Sci. Food Saf. 2017, 16, 1042–1055. [Google Scholar] [CrossRef]
- Zhao, T.; Li, X.; Zhu, R.; Ma, Z.; Liu, L.; Wang, X.; Hu, X. Effect of natural fermentation on the structure and physicochemical properties of wheat starch. Carbohydr. Polym. 2019, 218, 163–169. [Google Scholar] [CrossRef] [PubMed]
- Millan-Testa, C.E.; Mendez-Montealvo, M.G.; Ottenhof, M.-A.; Farhat, I.A.; Bello-Pérez, L.A. Determination of the Molecular and Structural Characteristics of Okenia, Mango, and Banana Starches. J. Agric. Food Chem. 2005, 53, 495–501. [Google Scholar] [CrossRef]
- Park, I.-M.; Ibáñez, A.M.; Zhong, F.; Shoemaker, C.F. Gelatinization and Pasting Properties of Waxy and Non-waxy Rice Starches. Starch 2007, 59, 388–396. [Google Scholar] [CrossRef]
- Reyes, I.; Cruz-Sosa, F.; Roman-Guerrero, A.; Vernon-Carter, E.J.; Alvarez-Ramirez, J. Structural changes of corn starch during Saccharomyces cerevisiae fermentation. Starch 2016, 68, 961–971. [Google Scholar] [CrossRef]
- Soest, J.J.G.V.; Tournois, H.; Wit, D.D.; Vliegenthart, J.F.G. Short-range structure in (partially) crystalline potato starch determined with attenuated total reflectance Fourier-transform IR spectroscopy. Carbohydr. Res. 1995, 279, 201–214. [Google Scholar] [CrossRef]
- Ye, F.; Xiao, L.; Liang, Y.; Zhou, Y.; Zhao, G. Spontaneous fermentation tunes the physicochemical properties of sweet potato starch by modifying the structure of starch molecules. Carbohydr. Polym. 2019, 213, 79–88. [Google Scholar] [CrossRef] [PubMed]
- Yang, Q.; Hui, X.-G.; Qiang, Y.; Hua, L.-X. Improvement in corn flour applicability using lactic acid fermentation: A mechanistic study. Starch 2017, 69, 1600219. [Google Scholar] [CrossRef]
- Lalush, I.; Bar, H.; Zakaria, I.; Eichler, S.; Shimoni, E. Utilization of Amylose−Lipid Complexes as Molecular Nanocapsules for Conjugated Linoleic Acid. Biomacromolecules 2004, 6, 121–130. [Google Scholar] [CrossRef]
- Li, N.; Zhang, B.; Zhao, S.; Niu, M.; Jia, C.; Huang, Q.; Liu, Y.; Lin, Q. Influence of Lactobacillus/Candida fermentation on the starch structure of rice and the related noodle features. Int. J. Biol. Macromol. 2019, 121, 882–888. [Google Scholar] [CrossRef]
- Tikapunya, T.; Zou, W.; Yu, W.; Powell, P.O.; Fox, G.P.; Furtado, A.; Henry, R.J.; Gilbert, R.G. Molecular structures and properties of starches of Australian wild rice. Carbohydr. Polym. 2017, 172, 213–222. [Google Scholar] [CrossRef] [PubMed]
- Pan, Q.; Zhou, J.; Shen, W.; Wang, Z.; Cai, H.; Jia, X. Effect of extruded wheat bran on volatile and physicochemical properties of bread during its shelf life. J. Cereal Sci. 2022, 107, 103525. [Google Scholar] [CrossRef]
- Marcoa, C.; Rosell, C.M. Effect of different protein isolates and transglutaminase on rice flour properties. J. Food Eng. 2008, 84, 132–139. [Google Scholar] [CrossRef]
- Chen, P.; Long, Z.; Ruan, R.; Labuza, T. Nuclear Magnetic Resonance Studies of Water Mobility in Bread during Storage. LWT 1997, 30, 178–183. [Google Scholar] [CrossRef]
- Lu, Z.; Seetharaman, K. 1H Nuclear Magnetic Resonance (NMR) and Differential Scanning Calorimetry (DSC) Studies of Water Mobility in Dough Systems Containing Barley Flour. Cereal Chem. 2013, 90, 120–126. [Google Scholar] [CrossRef]
- Ya-Meng, X.; Long, Z.; Bao-Guo, L.I. Moisture Migration and Ultrastructure of Hot-Water Dough as Studied with LF-NMR and SEM. Food Sci. 2014, 35, 95–100. [Google Scholar]
- Xingli, L.; Shuangli, Z.; Yanjun, J.; Hua, Z. Effect of Extruded Purple Sweet Potato Flour on the Pasting and Thermomechanical Properties of Wheat Dough. Food Sci. 2019, 40, 106–111. [Google Scholar]
- Doona, C.; Baik, M.-Y. Molecular mobility in model dough systems studied by time-domain nuclear magnetic resonance spectroscopy. J. Cereal Sci. 2007, 45, 257–262. [Google Scholar] [CrossRef]
- Umbach, S.L.; Davis, E.A.; Gordon, J.; Callaghan, P.T. Water self-diffusion coefficients and dielectric properties determined for starch-gluten-water mixtures heated by microwave and by conventional methods. Cereal Chem. 1992, 69, 637–642. [Google Scholar]
- Lu, X.; Brennan, M.A.; Serventi, L.; Brennan, C.S. Incorporation of mushroom powder into bread dough—Effects on dough rheology and bread properties. Cereal Chem. 2018, 95, 418–427. [Google Scholar] [CrossRef]
- Guo, L.; Xu, D.; Fang, F.; Jin, Z.; Xu, X. Effect of glutathione on wheat dough properties and bread quality. J. Cereal Sci. 2020, 96, 103116. [Google Scholar] [CrossRef]
- Gomes, J.F.; Rocha, S.; Pereira, M.D.C.; Peres, I.; Moreno, S.; Toca-Herrera, J.; Coelho, M.A. Lipid/particle assemblies based on maltodextrin–gum arabic core as bio-carriers. Colloids Surf. B Biointerfaces 2010, 76, 449–455. [Google Scholar] [CrossRef]
- Hadaegh, H.; Ardabili, S.M.S.; Ebrahimi, M.T.; Chamani, M.; Nezhad, R.A. The Impact of Different Lactic Acid Bacteria Sourdoughs on the Quality Characteristics of Toast Bread. J. Food Qual. 2017, 2017, 1–11. [Google Scholar] [CrossRef]
- Rizzello, C.G.; Lorusso, A.; Montemurro, M.; Gobbetti, M. Use of sourdough made with quinoa (Chenopodium quinoa) flour and autochthonous selected lactic acid bacteria for enhancing the nutritional, textural and sensory features of white bread. Food Microbiol. 2016, 56, 1–13. [Google Scholar] [CrossRef]
- Crowley, P.; Schober, T.J.; Clarke, C.I.; Arendt, E.K. The effect of storage time on textural and crumb grain characteristics of sourdough wheat bread. Eur. Food Res. Technol. 2002, 214, 489–496. [Google Scholar] [CrossRef]











| Material | Addition Levels (w/w) |
|---|---|
| wheat flour | 60% |
| rice flour | 40% |
| sugar | 18% |
| whole milk powder | 6% |
| eggs | 8% |
| water | 50% |
| butter | 8% |
| salt | 0.6% |
| yeast | 1.5% |
| Region | RF | LRF | SRF | TRF | |
|---|---|---|---|---|---|
| Mn (g/mol−1) | I | 50,836 | 58,444 | 44,032 | 38,811 |
| Mw (g/mol−1) | I | 111,560 | 109,662 | 90,334 | 72,034 |
| Mn (g/mol−1) | II | 2952 | 2776 | 2439 | 2091 |
| Mw (g/mol−1) | II | 5075 | 4557 | 4106 | 3403 |
| Mw/Mn | I | 2.19 | 1.88 | 2.05 | 1.86 |
| II | 1.72 | 1.64 | 1.68 | 1.63 |
| Peak Position/cm−1 | Corresponding Group | Corresponding Group Position Range/cm−1 | Peak Attribution |
|---|---|---|---|
| 1010 | V (C-O) | 1800–1000 | Symmetrical and asymmetric stretching vibration absorption peaks of C-O bond in glucose unit |
| 1150 | |||
| 1253 | |||
| 1372 | |||
| 1742 | |||
| 2956 | V (C-H) | 3100–2800 | C-H stretching vibration absorption peak |
| 3296 | V (O-H) | 3500–3200 | O-H stretching vibration absorption peaks in alcohol hydroxyl groups |
| Peak Number | RS | LRS | SRS | TRS | |
|---|---|---|---|---|---|
| Diffraction angle 2θ (°) | 1 | 15.269 ± 0.115 d | 15.162 ± 0.034 d | 15.263 ± 0.036 d | 15.247 ± 0.064 d |
| 2 | 17.339 ± 0.097 c | 17.363 ± 0.075 c | 17.245 ± 0.085 c | 17.387 ± 0.106 c | |
| 3 | 18.130 ± 0.068 b | 18.105 ± 0.082 b | 18.056 ± 0.008 b | 18.204 ± 0.037 b | |
| 4 | 23.262 ± 0.062 a | 23.129 ± 0.111 a | 22.946 ± 0.060 a | 23.188 ± 0.067 a | |
| Crystal plane distance/nm | 1 | 5.795 ± 0 d | 5.837 ± 0 d | 5.798 ± 0 d | 5.804 ± 0 d |
| 2 | 5.109 ± 0 c | 5.101 ± 0 c | 5.136 ± 0 c | 5.094 ± 0 c | |
| 3 | 4.887 ± 0 b | 4.894 ± 0 b | 4.907 ± 0 b | 4.867 ± 0 b | |
| 4 | 3.819 ± 0 a | 3.841 ± 0 a | 3.871 ± a | 3.831 ± 0 a | |
| Crystallinity | 17.08% | 11.64% | 13.31% | 15.13% |
| - | T2/ms | A/% | ||||
|---|---|---|---|---|---|---|
| - | T21/ms | T22/ms | T23/ms | A21/% | A22/% | A23/% |
| RF | 0.26 ± 0.02 b | 2.66 ± 0 a | 114.98 ± 0 a | 11.12 ± 0.41 a | 88.61 ± 0.40 c | 0.26 ± 0.02 a |
| LRF | 0.33 ± 0.02 ab | 1.75 ± 0 a | 43.29 ± 0 c | 18.93 ± 0.05 c | 80.36 ± 0.08 a | 0.74 ± 0.21 c |
| SRF | 0.28 ± 0 ab | 1.75 ± 0 a | 52.25 ± 4.30 b | 18.74 ± 0.05 c | 80.65 ± 0.11 a | 0.60 ± 0.11 b |
| TRF | 0.31 ± 0.02 a | 2.01 ± 0 a | 47.61 ± 3.74 bc | 17.32 ± 0.12 b | 81.91 ± 0.07 b | 0.76 ± 0.50 c |
Disclaimer/Publisher’s Note: The statements, opinions and data contained in all publications are solely those of the individual author(s) and contributor(s) and not of MDPI and/or the editor(s). MDPI and/or the editor(s) disclaim responsibility for any injury to people or property resulting from any ideas, methods, instructions or products referred to in the content. |
© 2023 by the authors. Licensee MDPI, Basel, Switzerland. This article is an open access article distributed under the terms and conditions of the Creative Commons Attribution (CC BY) license (https://creativecommons.org/licenses/by/4.0/).
Share and Cite
Dou, X.; Ren, X.; Zheng, Q.; He, Y.; Lv, M.; Liu, L.; Yang, P.; Hao, Y.; Chen, F.; Tang, X. Effects of Lactic Acid Bacteria Fermentation on the Physicochemical Properties of Rice Flour and Rice Starch and on the Anti-Staling of Rice Bread. Foods 2023, 12, 3818. https://doi.org/10.3390/foods12203818
Dou X, Ren X, Zheng Q, He Y, Lv M, Liu L, Yang P, Hao Y, Chen F, Tang X. Effects of Lactic Acid Bacteria Fermentation on the Physicochemical Properties of Rice Flour and Rice Starch and on the Anti-Staling of Rice Bread. Foods. 2023; 12(20):3818. https://doi.org/10.3390/foods12203818
Chicago/Turabian StyleDou, Xinlai, Xuyang Ren, Qiumei Zheng, Yinyuan He, Mingshou Lv, Linlin Liu, Ping Yang, Yanlin Hao, Fenglian Chen, and Xiaozhi Tang. 2023. "Effects of Lactic Acid Bacteria Fermentation on the Physicochemical Properties of Rice Flour and Rice Starch and on the Anti-Staling of Rice Bread" Foods 12, no. 20: 3818. https://doi.org/10.3390/foods12203818
APA StyleDou, X., Ren, X., Zheng, Q., He, Y., Lv, M., Liu, L., Yang, P., Hao, Y., Chen, F., & Tang, X. (2023). Effects of Lactic Acid Bacteria Fermentation on the Physicochemical Properties of Rice Flour and Rice Starch and on the Anti-Staling of Rice Bread. Foods, 12(20), 3818. https://doi.org/10.3390/foods12203818
