Thermal Desorption of 2,4,6-Trichloroanisole from Cork
Abstract
:1. Introduction
- Will TCA present a well-defined desorption peak before the cork starts to degrade?
- Can most TCA be released if the cork is heated at a well-defined temperature?
- Is TCA condensed in any form of crystals or strongly adsorbed on cork cells?
2. Material and Methods
2.1. Sample Preparation
2.2. Thermal Desorption Apparatus
2.3. Calibration of the TCA Flow
2.4. Experiments with Naturally Contaminated Samples
2.5. Statistical Analysis
3. Results and Discussion
3.1. Thermal Desorption of TCA
3.2. Quantification of Desorbed TCA
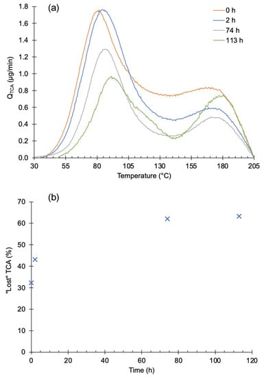
3.3. Effect of Elapsed Time after Sample Preparation
- Condensed TCA in the form of tiny crystals, mainly on the cork surface;
- TCA vapor enclosed inside the cork cells;
- TCA bonded to the cork cells, either on their surface or throughout the whole sample.
3.4. Experiments with Naturally Contaminated Samples
4. Conclusions
5. Patent
Author Contributions
Funding
Data Availability Statement
Conflicts of Interest
References
- Buser, H.-R.R.; Zanier, C.; Tanner, H. Identification of 2,4,6-Trichloroanisole as a potent compound causing cork taint in wine. J. Agric. Food Chem. 1982, 30, 359–362. [Google Scholar] [CrossRef]
- Sefton, M.A.; Simpson, R.F. Compounds causing cork taint and the factors affecting their transfer from natural cork closures to wine—A review. Aust. J. Grape Wine Res. 2005, 11, 226–240. [Google Scholar] [CrossRef]
- Álvarez-Rodríguez, M.L.; López-Ocaña, L.; López-Coronado, J.M.; Rodríguez, E.; Martínez, M.J.; Larriba, G.; Coque, J.-J.R. Cork Taint of Wines: Role of the Filamentous Fungi Isolated from Cork in the Formation of 2,4,6-Trichloroanisole by O Methylation of 2,4,6-Trichlorophenol. Appl. Environ. Microbiol. 2002, 68, 5860–5869. [Google Scholar] [CrossRef] [PubMed]
- Barker, D.A.; Capone, D.L.; Pollnitz, A.P.; McLean, H.J.; Francis, I.L.; Oakey, H.; Sefton, M.A. Absorption of 2,4,6-trichloroanisole by wine corks via the vapour phase in an enclosed environment. Aust. J. Grape Wine Res. 2001, 7, 40–46. [Google Scholar] [CrossRef]
- Monteiro, S.; Bundaleski, N.; Malheiro, A.; Cabral, M.; Teodoro, O.M.N.D. Cross Contamination of 2,4,6-Trichloroanisole in Cork Stoppers. J. Agric. Food Chem. 2022, 70, 6747–6754. [Google Scholar] [CrossRef] [PubMed]
- Tarasov, A.; Rauhut, D.; Jung, R. “Cork taint” responsible compounds. Determination of haloanisoles and halophenols in cork matrix: A review. Talanta 2017, 175, 82–92. [Google Scholar] [CrossRef] [PubMed]
- Tarasov, A.; Cabral, M.; Loisel, C.; Lopes, P.; Schuessler, C.; Jung, R. State-of-the-Art Knowledge about 2,4,6-trichloroanisole (TCA) and Strategies to Avoid Cork Taint in Wine. In Grapes and Wine [Working Title]; IntechOpen: Rijeka, Croatia, 2022. [Google Scholar]
- Materazzi, S.; Vecchio, S. Evolved Gas analysis by Mass spectrometry. Appl. Spectrosc. Rev. 2011, 46, 261–340. [Google Scholar] [CrossRef]
- Attard, G.; Barnes, C. Surfaces. In Oxford Chemistry Primers; Oxford Chemistry Primers: Oxford, UK, 1998. [Google Scholar]
- ISO 207522014; Cork Stoppers—Determination of Releasable 2,4,6-Trichloroanisole (TCA). ISO: Genève, Switzerland, 2014.
- Ionicon Introduction to PTR-TOF Real-Time Trace VOC Analysers. Available online: https://www.ionicon.com/blog/2022/introduction-to-ionicon-ptr-tof-real-time-trace-voc-analyzers (accessed on 21 February 2023).
- Cappellin, L.; Lopez-Hilfiker, F.D.; Pospisilova, V.; Ciotti, L.; Pastore, P.; Gonin, M.; Hutterli, M.A. Thermal Desorption-Vocus Enables Online Nondestructive Quantification of 2,4,6-Trichloroanisole in Cork Stoppers below the Perception Threshold. Anal. Chem. 2020, 92, 9823–9829. [Google Scholar] [CrossRef] [PubMed]
- Schroeder, S.L.M.; Gottfried, M. Temperature-Programmed Desorption (TPD) Thermal Desorption Spectroscopy (TDS). Available online: http://www.uhv.es/sites/marte/includes/doc/tds.pdf (accessed on 1 August 2023).
- Pereira, H. Cork: Biology, Production and Uses, 1st ed.; Elsevier: Amsterdam, The Netherlands, 2007. [Google Scholar]
- Fonseca, A.P.; Teodoro, O.M.N.D. Design and characterization of refrigerant reference leaks. Int. J. Refrig. 2019, 100, 463–470. [Google Scholar] [CrossRef]
- Pereira, H. The rationale behind cork properties: A review of structure and chemistry. BioResources 2015, 10, 6207–6229. [Google Scholar] [CrossRef]
- Pereira, H. Variability of the chemical composition of cork. BioResources 2013, 8, 2246–2256. [Google Scholar] [CrossRef]
- Oliveira, V.; Pereira, H. Cork and Cork Stoppers: Quality and Performance. In Chemistry and Biochemistry of Winemaking, Wine Stabilization and Aging; IntechOpen: Rijeka, Croatia, 2020. [Google Scholar]
- Şen, A.; Van Den Bulcke, J.; Defoirdt, N.; Van Acker, J.; Pereira, H. Thermal behaviour of cork and cork components. Thermochim. Acta 2014, 582, 94–100. [Google Scholar] [CrossRef]
- Salthammer, T.; Fuhrmann, F. Release of acetic acid and furfural from cork products. Indoor Air 2000, 10, 133–134. [Google Scholar] [CrossRef] [PubMed]
- Pereira, H. The thermochemical degradation of cork. Wood Sci. Technol. 1992, 26, 259–269. [Google Scholar] [CrossRef]
- Jousten, K. Handbook of Vacuum Technology, 2nd ed.; Wiley-VCH: Hoboken, NJ, USA, 2016. [Google Scholar]
- The Good Scents Company Information System. Available online: http://www.thegoodscentscompany.com/data/rw1162861.html (accessed on 20 December 2022).
- Bundaleski, N.; Fonseca, A.L.; Teodoro, O.M.N.D. Pressure evolution inside a cork stopper under vacuum. Vacuum 2019, 161, 375–382. [Google Scholar] [CrossRef]
- Redhead, P.A. Thermal desorption of gases. Vacuum 1962, 12, 203–211. [Google Scholar] [CrossRef]
- Teodoro, O.M.N.D. Processo de Extração de 2,4,6-Tricloroanisol (TCA) de Rolhas de Cortiça Natural Completas. EU Patent PT109878B, 2021. [Google Scholar]
- Teodoro, O.M.N.D. Process for the Extraction of Volatile Contaminants from Cork by Thermal Desorption. EU Patent WO/2018/138599 A1, 2018. [Google Scholar]






Disclaimer/Publisher’s Note: The statements, opinions and data contained in all publications are solely those of the individual author(s) and contributor(s) and not of MDPI and/or the editor(s). MDPI and/or the editor(s) disclaim responsibility for any injury to people or property resulting from any ideas, methods, instructions or products referred to in the content. |
© 2023 by the authors. Licensee MDPI, Basel, Switzerland. This article is an open access article distributed under the terms and conditions of the Creative Commons Attribution (CC BY) license (https://creativecommons.org/licenses/by/4.0/).
Share and Cite
Monteiro, S.; Bundaleski, N.; Lopes, P.; Cabral, M.; Teodoro, O.M.N.D. Thermal Desorption of 2,4,6-Trichloroanisole from Cork. Foods 2023, 12, 3450. https://doi.org/10.3390/foods12183450
Monteiro S, Bundaleski N, Lopes P, Cabral M, Teodoro OMND. Thermal Desorption of 2,4,6-Trichloroanisole from Cork. Foods. 2023; 12(18):3450. https://doi.org/10.3390/foods12183450
Chicago/Turabian StyleMonteiro, Susana, Nenad Bundaleski, Paulo Lopes, Miguel Cabral, and Orlando M.N.D. Teodoro. 2023. "Thermal Desorption of 2,4,6-Trichloroanisole from Cork" Foods 12, no. 18: 3450. https://doi.org/10.3390/foods12183450
APA StyleMonteiro, S., Bundaleski, N., Lopes, P., Cabral, M., & Teodoro, O. M. N. D. (2023). Thermal Desorption of 2,4,6-Trichloroanisole from Cork. Foods, 12(18), 3450. https://doi.org/10.3390/foods12183450

