Combined Computer-Aided Predictors to Improve the Thermostability of Nattokinase
Abstract
1. Introduction
2. Materials and Methods
2.1. Plasmids, Strains, and Cultivation Conditions
2.2. Prediction of Point Mutation ΔΔG Values by Different Thermostability-Prediction Algorithms
2.3. Site-Directed Mutagenesis and Production of Nattokinase Variants
2.4. Bacterial Expression and Purification of rAprY and Its Variants
2.5. Assay of Thrombolytic Activity
2.6. Biochemical Characterization of rAprY and Its Variants
2.7. Determination of the Kinetic Parameters
2.8. Bioinformatics Analysis
3. Results and Discussion
3.1. Rational Design of AprY Variants
3.2. Screening for AprY Mutations Related to Improved Thermostability
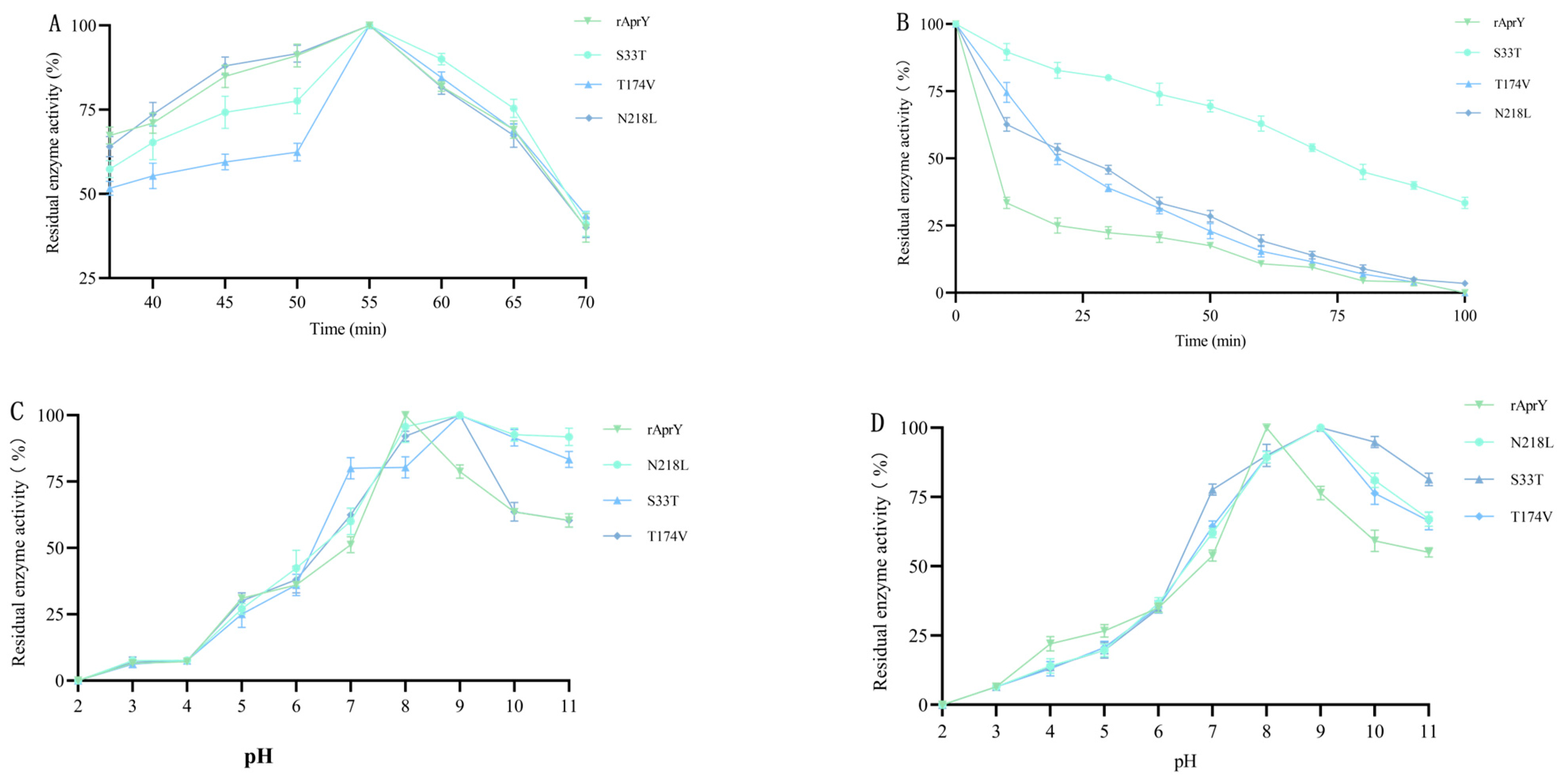
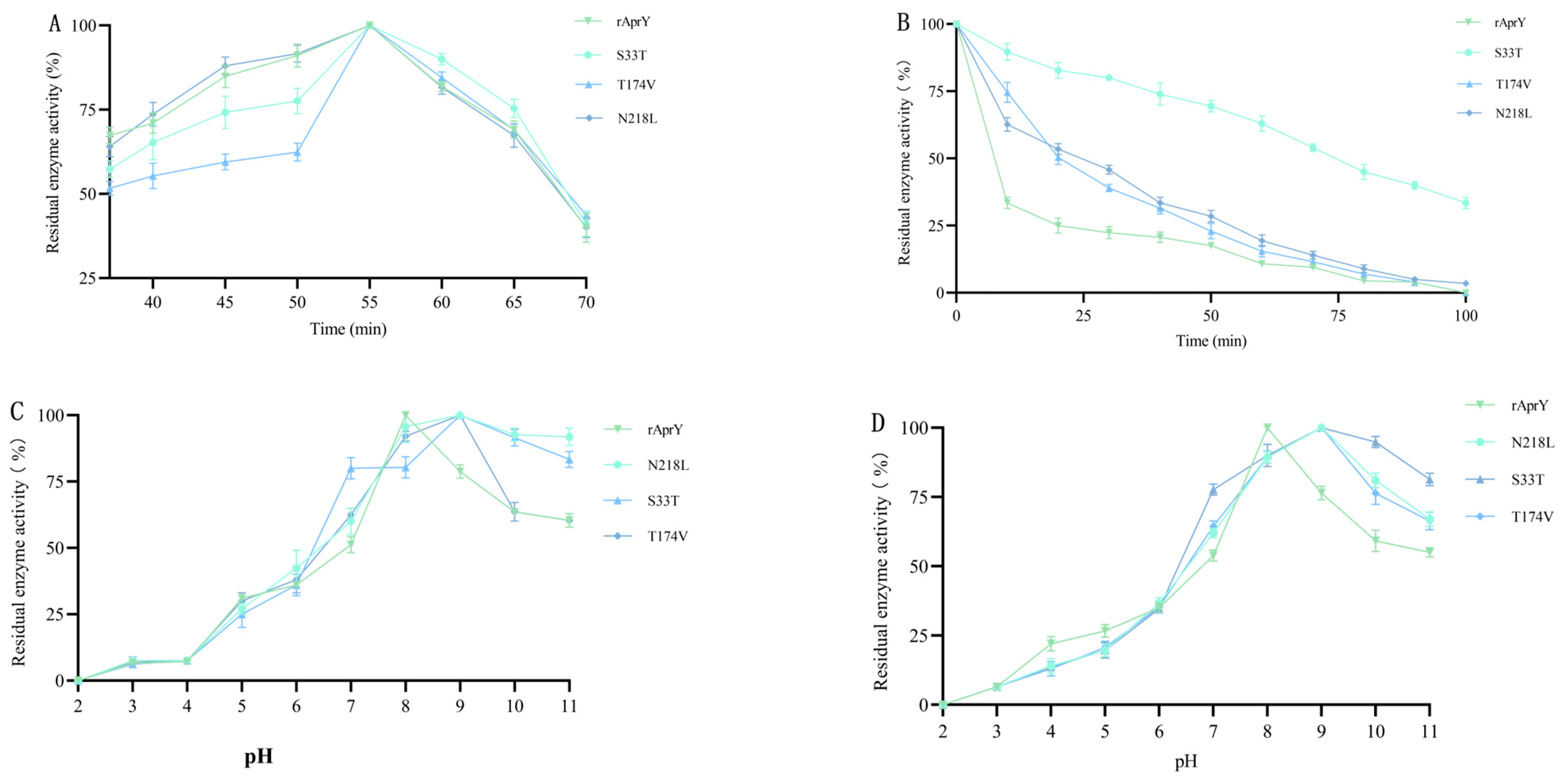
3.3. Purification and Characterization of Single-Point Variants
3.4. Biochemical Characterization of rAprY Variants with Multiple-Point Mutations
4. Understanding the Mechanism for Enhanced Thermostability and Catalytic Activity of Nattokinase Variants
5. Conclusions
Supplementary Materials
Author Contributions
Funding
Data Availability Statement
Conflicts of Interest
References
- Sumi, H.; Hamada, H.; Tsushima, H.; Mihara, H.; Muraki, H. A novel fibrinolytic enzyme (nattokinase) in the vegetable cheese Natto; a typical and popular soybean food in the Japanese diet. Experientia 1987, 43, 1110–1111. [Google Scholar] [CrossRef] [PubMed]
- Yuan, L.; Liangqi, C.; Xiyu, T.; Jinyao, L. Biotechnology, Bioengineering and Applications of Bacillus Nattokinase. Biomolecules 2022, 12, 980. [Google Scholar] [CrossRef] [PubMed]
- Sumi, H.; Hamada, H.; Nakanishi, K.; Hiratani, H. Enhancement of the fibrinolytic activity in plasma by oral administration of nattokinase. Acta Haematol. 1990, 84, 139–143. [Google Scholar] [CrossRef] [PubMed]
- Yatagai, C.; Maruyama, M.; Kawahara, T.; Sumi, H. Nattokinase-promoted tissue plasminogen activator release from human cells. Pathophysiol. Haemost. Thromb. 2008, 36, 227–232. [Google Scholar] [CrossRef]
- Urano, T.; Ihara, H.; Umemura, K.; Suzuki, Y.; Oike, M.; Akita, S.; Tsukamoto, Y.; Suzuki, I.; Takada, A. The profibrinolytic enzyme subtilisin NAT purified from Bacillus subtilis Cleaves and inactivates plasminogen activator inhibitor type 1. J. Biol. Chem. 2001, 276, 24690–24696. [Google Scholar] [CrossRef]
- Wu, H.; Wang, H.; Xu, F.; Chen, J.; Duan, L.; Zhang, F. Acute toxicity and genotoxicity evaluations of Nattokinase, a promising agent for cardiovascular diseases prevention. Regul. Toxicol. Pharmacol. 2019, 103, 205–209. [Google Scholar] [CrossRef]
- Nakamura, T.; Yamagata, Y.; Ichishima, E. Nucleotide sequence of the subtilisin NAT gene, aprN, of Bacillus subtilis (natto). Biosci. Biotechnol. Biochem. 1992, 56, 1869–1871. [Google Scholar] [CrossRef]
- Yanagisawa, Y.; Chatake, T.; Chiba-Kamoshida, K.; Naito, S.; Ohsugi, T.; Sumi, H.; Yasuda, I.; Morimoto, Y. Purification, crystallization and preliminary X-ray diffraction experiment of nattokinase from Bacillus subtilis natto. Acta Crystallogr. Sect. F Struct. Biol. Cryst. Commun. 2010, 66 Pt 12, 1670–1673. [Google Scholar] [CrossRef]
- Liang, X.; Zhang, L.; Zhong, J.; Huan, L. Secretory expression of a heterologous nattokinase in Lactococcus lactis. Appl. Microbiol. Biotechnol. 2007, 75, 95–101. [Google Scholar] [CrossRef]
- Nguyen, T.T.; Quyen, T.D.; Le, H.T. Cloning and enhancing production of a detergent- and organic-solvent-resistant nattokinase from Bacillus subtilis VTCC-DVN-12-01 by using an eight-protease-gene-deficient Bacillus subtilis WB800. Microb. Cell Factories 2013, 12, 79. [Google Scholar] [CrossRef]
- Guangbo, Y.; Min, S.; Wei, S.; Lixin, M.; Chao, Z.; Yaping, W.; Zunxi, H. Heterologous expression of nattokinase from B. subtilis natto using Pichia pastoris GS115 and assessment of its thrombolytic activity. BMC Biotechnol. 2021, 21, 49. [Google Scholar] [CrossRef] [PubMed]
- Modi, A.; Raval, I.; Doshi, P.; Joshi, M.; Joshi, C.; Patel, A.K. Heterologous expression of recombinant nattokinase in Escherichia coli BL21(DE3) and media optimization for overproduction of nattokinase using RSM. Protein Expr. Purif. 2023, 203, 106198. [Google Scholar] [CrossRef]
- Yongjun, C.; Wei, B.; Shujun, J.; Meizhi, W.; Yan, J.; Yan, Y.; Zhongliang, Z.; Goulin, Z. Directed evolution improves the fibrinolytic activity of nattokinase from Bacillus natto. FEMS Microbiol. Lett. 2011, 325, 155–161. [Google Scholar] [CrossRef] [PubMed]
- Weng, M.; Deng, X.; Bao, W.; Zhu, L.; Wu, J.; Cai, Y.; Jia, Y.; Zheng, Z.; Zou, G. Improving the activity of the subtilisin nattokinase by site-directed mutagenesis and molecular dynamics simulation. Biochem. Biophys. Res. Commun. 2015, 465, 580–586. [Google Scholar] [CrossRef] [PubMed]
- Liu, Z.; Zhao, H.; Han, L.; Cui, W.; Zhou, L.; Zhou, Z. Improvement of the acid resistance, catalytic efficiency, and thermostability of nattokinase by multisite-directed mutagenesis. Biotechnol. Bioeng. 2019, 116, 1833–1843. [Google Scholar] [CrossRef] [PubMed]
- Luo, J.; Song, C.; Cui, W.; Han, L.; Zhou, Z. Counteraction of stability-activity trade-off of Nattokinase through flexible region shifting. Food Chem. 2023, 423, 136241. [Google Scholar] [CrossRef]
- Hamdan, S.H.; Maiangwa, J.; Ali, M.S.M.; Normi, Y.M.; Sabri, S.; Leow, T.C. Thermostable lipases and their dynamics of improved enzymatic properties. Appl. Microbiol. Biotechnol. 2021, 105, 7069–7094. [Google Scholar] [CrossRef]
- Bi, J.; Chen, S.; Zhao, X.; Nie, Y.; Xu, Y. Computation-aided engineering of starch-debranching pullulanase from Bacillus thermoleovorans for enhanced thermostability. Appl. Microbiol. Biotechnol. 2020, 104, 7551–7562. [Google Scholar] [CrossRef]
- Yang, P.; Wang, X.; Ye, J.; Rao, S.; Zhou, J.; Du, G.; Liu, S. Enhanced Thermostability and Catalytic Activity of Streptomyces mobaraenesis Transglutaminase by Rationally Engineering Its Flexible Regions. J. Agric. Food Chem. 2023, 71, 6366–6375. [Google Scholar] [CrossRef]
- Davydova, E.K. Protein Engineering: Advances in Phage Display for Basic Science and Medical Research. Biochem. Biokhimiia 2022, 87 (Suppl. S1), S146–S167. [Google Scholar] [CrossRef]
- Valle-Rodríguez, J.O.; Siewers, V.; Nielsen, J.; Shi, S. Directed evolution of a wax ester synthase for production of fatty acid ethyl esters in Saccharomyces cerevisiae. Appl. Microbiol. Biotechnol. 2023, 107, 2921–2932. [Google Scholar] [CrossRef] [PubMed]
- Yu, H.; Huang, H. Engineering proteins for thermostability through rigidifying flexible sites. Biotechnol. Adv. 2014, 32, 308–315. [Google Scholar] [CrossRef] [PubMed]
- Saeys, Y.; Inza, I.; Larrañaga, P. A review of feature selection techniques in bioinformatics. Bioinformatics 2007, 23, 2507–2517. [Google Scholar] [CrossRef] [PubMed]
- Capriotti, E.; Fariselli, P.; Casadio, R. I-Mutant2.0: Predicting stability changes upon mutation from the protein sequence or structure. Nucleic Acids Res. 2005, 33, W306–W310. [Google Scholar] [CrossRef]
- Cheng, J.; Randall, A.; Baldi, P. Prediction of protein stability changes for single-site mutations using support vector machines. Proteins 2006, 62, 1125–1132. [Google Scholar] [CrossRef]
- Chen, C.W.; Lin, M.H.; Liao, C.C.; Chang, H.P.; Chu, Y.W. iSTable 2.0: Predicting protein thermal stability changes by integrating various characteristic modules. Comput. Struct. Biotechnol. J. 2020, 18, 622–630. [Google Scholar] [CrossRef]
- Masso, M.; Vaisman, I.I. AUTO-MUTE: Web-based tools for predicting stability changes in proteins due to single amino acid replacements. Protein Eng. Des. Sel. 2010, 23, 683–687. [Google Scholar] [CrossRef]
- Van Durme, J.; Delgado, J.; Stricher, F.; Serrano, L.; Schymkowitz, J.; Rousseau, F. A graphical interface for the FoldX forcefield. Bioinformatics 2011, 27, 1711–1712. [Google Scholar] [CrossRef]
- Parthiban, V.; Gromiha, M.M.; Schomburg, D. CUPSAT: Prediction of protein stability upon point mutations. Nucleic Acids Res. 2006, 34, W239–W242. [Google Scholar] [CrossRef]
- Li, G.; Chen, Y.; Fang, X.; Su, F.; Xu, L.; Yan, Y. Identification of a hot-spot to enhance Candida rugosa lipase thermostability by rational design methods. RSC Adv. 2018, 8, 1948–1957. [Google Scholar] [CrossRef]
- Bednar, D.; Beerens, K.; Sebestova, E.; Bendl, J.; Khare, S.; Chaloupkova, R.; Prokop, Z.; Brezovsky, J.; Baker, D.; Damborsky, J. FireProt: Energy- and Evolution-Based Computational Design of Thermostable Multiple-Point Mutants. PLoS Comput. Biol. 2015, 11, e1004556. [Google Scholar] [CrossRef] [PubMed]
- Chen, C.; Guan, B.-H.; Geng, Q.; Zheng, Y.-C.; Chen, Q.; Pan, J.; Xu, J.-H. Enhanced Thermostability of Candida Ketoreductase by Computation-Based Cross-Regional Combinatorial Mutagenesis. ACS Catal. 2023, 13, 7407–7416. [Google Scholar] [CrossRef]
- Li, Y.; Tang, X.; Chen, L.; Xu, X.; Li, J. Characterization of a Nattokinase from the Newly Isolated Bile Salt-Resistant Bacillus mojavensis LY-06. Foods 2022, 11, 2403. [Google Scholar] [CrossRef]
- Wang, J.; Zhou, L.; Shi, H.; Chern, M.; Yu, H.; Yi, H.; He, M.; Yin, J.; Zhu, X.; Li, Y.; et al. A single transcription factor promotes both yield and immunity in rice. Science 2018, 361, 1026–1028. [Google Scholar] [CrossRef] [PubMed]
- Waterhouse, A.; Bertoni, M.; Bienert, S.; Studer, G.; Tauriello, G.; Gumienny, R.; Heer, F.T.; de Beer, T.A.P.; Rempfer, C.; Bordoli, L.; et al. SWISS-MODEL: Homology modelling of protein structures and complexes. Nucleic Acids Res. 2018, 46, W296–W303. [Google Scholar] [CrossRef] [PubMed]
- Laskowski, R.A.; Macarthur, M.W.; Moss, D.S.; Thornton, J.M. PROCHECK: A program to check the stereochemical quality of protein structures. J. Appl. Crystallogr. 1993, 26, 283–291. [Google Scholar] [CrossRef]
- Ozvoldik, K.; Stockner, T.; Rammner, B.; Krieger, E. Assembly of Biomolecular Gigastructures and Visualization with the Vulkan Graphics API. J. Chem. Inf. Model. 2021, 61, 5293–5303. [Google Scholar] [CrossRef]
- Krieger, E.; Vriend, G. YASARA View—Molecular graphics for all devices—From smartphones to workstations. Bioinformatics 2014, 30, 2981–2982. [Google Scholar] [CrossRef]
- Maier, J.A.; Martinez, C.; Kasavajhala, K.; Wickstrom, L.; Hauser, K.E.; Simmerling, C. ff14SB: Improving the Accuracy of Protein Side Chain and Backbone Parameters from ff99SB. J. Chem. Theory Comput. 2015, 11, 3696–3713. [Google Scholar] [CrossRef]
- Essmann, U.; Perera, L.; Berkowitz, M.L.; Darden, T.; Lee, H.; Pedersen, L.G. A smooth particle mesh Ewald method. J. Chem. Phys. 1995, 103, 8577–8593. [Google Scholar] [CrossRef]
- Krieger, E.; Vriend, G. New ways to boost molecular dynamics simulations. J. Comput. Chem. 2015, 36, 996–1007. [Google Scholar] [CrossRef]
- Tina, K.G.; Bhadra, R.; Srinivasan, N. PIC: Protein Interactions Calculator. Nucleic Acids Res. 2007, 35, W473–W476. [Google Scholar] [CrossRef] [PubMed]
- Korkegian, A.; Black, M.E.; Baker, D.; Stoddard, B.L. Computational thermostabilization of an enzyme. Science 2005, 308, 857–860. [Google Scholar] [CrossRef][Green Version]
- Mamonova, T.B.; Glyakina, A.V.; Galzitskaya, O.V.; Kurnikova, M.G. Stability and rigidity/flexibility-two sides of the same coin? Biochim. Biophys. Acta 2013, 1834, 854–866. [Google Scholar] [CrossRef]
- Astrup, T.; Mullertz, S. The fibrin plate method for estimating fibrinolytic activity. Arch. Biochem. Biophys. 1952, 40, 346–351. [Google Scholar] [CrossRef]
- Hirata, A.; Adachi, M.; Utsumi, S.; Mikami, B. Engineering of the pH optimum of Bacillus cereus beta-amylase: Conversion of the pH optimum from a bacterial type to a higher-plant type. Biochemistry 2004, 43, 12523–12531. [Google Scholar] [CrossRef] [PubMed]
- Cockburn, D.W.; Vandenende, C.; Clarke, A.J. Modulating the pH-activity profile of cellulase by substitution: Replacing the general base catalyst aspartate with cysteinesulfinate in cellulase A from Cellulomonas fimi. Biochemistry 2010, 49, 2042–2050. [Google Scholar] [CrossRef]
- Starr, T.N.; Thornton, J.W. Epistasis in protein evolution. Protein Sci. A Publ. Protein Soc. 2016, 25, 1204–1218. [Google Scholar] [CrossRef] [PubMed]
- Ni, D.; Zhang, S.; Kırtel, O.; Xu, W.; Chen, Q.; Öner, E.T.; Mu, W. Improving the Thermostability and Catalytic Activity of an Inulosucrase by Rational Engineering for the Biosynthesis of Microbial Inulin. J. Agric. Food Chem. 2021, 69, 13125–13134. [Google Scholar] [CrossRef]
- Damnjanović, J.; Nakano, H.; Iwasaki, Y. Deletion of a dynamic surface loop improves stability and changes kinetic behavior of phosphatidylinositol-synthesizing Streptomyces phospholipase D. Biotechnol. Bioeng. 2014, 111, 674–682. [Google Scholar] [CrossRef]
- Li, Z.; Niu, C.; Yang, X.; Zheng, F.; Liu, C.; Wang, J.; Li, Q. Enhanced acidic resistance ability and catalytic properties of Bacillus 1,3-1,4-β-glucanases by sequence alignment and surface charge engineering. Int. J. Biol. Macromol. 2021, 192, 426–434. [Google Scholar] [CrossRef] [PubMed]
- Nezhad, N.G.; Rahman, R.; Normi, Y.M.; Oslan, S.N.; Shariff, F.M.; Leow, T.C. Thermostability engineering of industrial enzymes through structure modification. Appl. Microbiol. Biotechnol. 2022, 106, 4845–4866. [Google Scholar] [CrossRef] [PubMed]
- Yuan, S.; Yan, R.; Lin, B.; Li, R.; Ye, X. Improving thermostability of Bacillus amyloliquefaciens alpha-amylase by multipoint mutations. Biochem. Biophys. Res. Commun. 2023, 653, 69–75. [Google Scholar] [CrossRef] [PubMed]
- Ban, X.; Dhoble, A.S.; Li, C.; Zhang, Y.; Gu, Z.; Cheng, L.; Hong, Y.; Li, Z. Potassium and sodium ions enhance the activity and thermostability of 1,4-α-glucan branching enzyme from Geobacillus thermoglucosidasius in the presence of glycerol. Int. J. Biol. Macromol. 2017, 102, 712–717. [Google Scholar] [CrossRef]
- Guo, J.; Wang, Y.; Zhang, X.; Gao, W.; Cai, Z.; Hong, T.; Man, Z.; Qing, Q. Improvement of the Catalytic Activity of Chitosanase BsCsn46A from Bacillus subtilis by Site-Saturation Mutagenesis of Proline121. J. Agric. Food Chem. 2021, 69, 11835–11846. [Google Scholar] [CrossRef]
- Mahajan, P.M.; Nayak, S.; Lele, S.S. Fibrinolytic enzyme from newly isolated marine bacterium Bacillus subtilis ICTF-1: Media optimization, purification and characterization. J. Biosci. Bioeng. 2012, 113, 307–314. [Google Scholar] [CrossRef]
- Zhang, X.; Lyu, X.; Tong, Y.; Wang, J.; Ye, J.; Yang, R. Chitosan/casein based microparticles with a bilayer shell-core structure for oral delivery of nattokinase. Food Funct. 2020, 11, 10799–10816. [Google Scholar] [CrossRef]
- Liu, S.; Zhu, J.; Liu, C.; Li, J.; Li, Z.; Zhao, J.; Liu, H. Synthesis of sustained release/controlled release nanoparticles carrying nattokinase and their application in thrombolysis. Die Pharm. 2021, 76, 145–149. [Google Scholar] [CrossRef]








| Mutation Site | FoldX (Kcal/mol) | I-Mutant 3.0 (Kcal/mol) | MUPRO (Kcal/mol) | IStable (Kcal/mol) | CUPSAT (Kcal/mol) |
|---|---|---|---|---|---|
| N218L | −0.77 | 0.65 | 1.27 | 0.52 | 0.38 |
| N218M | −0.86 | 0.45 | 0.8 | 0.04 | 1.72 |
| S53I | −0.77 | 0.2 | 0.5 | 0.21 | 1.34 |
| H226F | −1.72 | 0.17 | 0.4 | 0.41 | 7.90 |
| S204L | −0.83 | 0.28 | 0.33 | 0.44 | 0.46 |
| S204M | −0.59 | 0.13 | 0.29 | 0.07 | 1.04 |
| R247I | −1.03 | 0.25 | 0.1 | 0.16 | 3.52 |
| S89I | −1.34 | 0.1 | 0.08 | 0.53 | 1.86 |
| S105L | −0.76 | 0.24 | 0.06 | 0.21 | 0.17 |
| Enzymes | rAprY | S33T | T174V | N218L | S33T-T174V |
|---|---|---|---|---|---|
| Specific activity (U/mg) | 377.8 ± 25.4 | 442.8 ± 31.4 | 481.8 ± 7.1 | 277.0 ± 15.4 | 471.5 ± 23.7 |
| Km (μmol/L) | 0.48 ± 0.02 | 0.41 ± 0.01 | 0.76 ± 0.03 | 0.23 ± 0.01 | 0.97 ± 0.01 |
| Kcat (S−1) | 2.65 ± 0.07 | 3.89 ± 0.09 | 6.06 ± 0.11 | 1.55 ± 0.07 | 9.64 ± 0.11 |
| Kd (×104 mol−1·S−1) | 5.48 | 9.50 | 8.02 | 6.74 | 9.94 |
| t1/2 (min) | 8.9 | 78.9 | 22.3 | 24.1 | 19.7 |
| Second Structure | rAprY | S33T | T174V | S33T-T174V |
|---|---|---|---|---|
| α-helix | 30.9% | 31.0% | 30.61% | 30.56% |
| β-sheet | 22.2% | 21.0% | 21.98% | 21.45% |
| β-turn | 13.1% | 13.7% | 13.47% | 14.54% |
| Coil | 33.4% | 33.9% | 33.44% | 33.02% |
| rAprY | S33T | T174V | S33T-T174V | |
|---|---|---|---|---|
| Hydrophobic Interactions | 258 | 258 | 265 | 271 |
| Intraprotein Main Chain–Main Chain Hydrogen Bonds | 279 | 278 | 279 | 289 |
| Intraprotein Main Chain–Side Chain Hydrogen Bonds | 127 | 124 | 121 | 142 |
| Intraprotein Side Chain–Side Chain Hydrogen Bonds | 63 | 61 | 61 | 77 |
| Intraprotein Ionic Interactions | 12 | 12 | 12 | 10 |
| Intraprotein Aromatic–Aromatic Interactions | 3 | 3 | 3 | 4 |
| Intraprotein Aromatic–Sulphur Interactions | 1 | 1 | 1 | 1 |
| Intraprotein Cation–Pi Interactions | 2 | 2 | 2 | 4 |
Disclaimer/Publisher’s Note: The statements, opinions and data contained in all publications are solely those of the individual author(s) and contributor(s) and not of MDPI and/or the editor(s). MDPI and/or the editor(s) disclaim responsibility for any injury to people or property resulting from any ideas, methods, instructions or products referred to in the content. |
© 2023 by the authors. Licensee MDPI, Basel, Switzerland. This article is an open access article distributed under the terms and conditions of the Creative Commons Attribution (CC BY) license (https://creativecommons.org/licenses/by/4.0/).
Share and Cite
Li, Y.; Chen, L.; Tang, X.; Zhu, W.; Ma, A.; Shi, C.; Li, J. Combined Computer-Aided Predictors to Improve the Thermostability of Nattokinase. Foods 2023, 12, 3045. https://doi.org/10.3390/foods12163045
Li Y, Chen L, Tang X, Zhu W, Ma A, Shi C, Li J. Combined Computer-Aided Predictors to Improve the Thermostability of Nattokinase. Foods. 2023; 12(16):3045. https://doi.org/10.3390/foods12163045
Chicago/Turabian StyleLi, Yuan, Liangqi Chen, Xiyu Tang, Wenhui Zhu, Aixia Ma, Changyu Shi, and Jinyao Li. 2023. "Combined Computer-Aided Predictors to Improve the Thermostability of Nattokinase" Foods 12, no. 16: 3045. https://doi.org/10.3390/foods12163045
APA StyleLi, Y., Chen, L., Tang, X., Zhu, W., Ma, A., Shi, C., & Li, J. (2023). Combined Computer-Aided Predictors to Improve the Thermostability of Nattokinase. Foods, 12(16), 3045. https://doi.org/10.3390/foods12163045

