Preparation and Identification of Peptides with α-Glucosidase Inhibitory Activity from Shiitake Mushroom (Lentinus edodes) Protein
Abstract
1. Introduction
2. Materials and Methods
2.1. Materials, Reagents and Instruments
2.2. Peptide Preparation and Condition Optimization
2.2.1. Preparation of Peptides
2.2.2. Optimization of Single Factor Enzymatic Hydrolysis Conditions
2.2.3. Response Surface Methodology
2.3. Determination of α-Glucosidase Inhibition Activity
2.4. Purification of α-Glucosidase Inhibition Peptides
2.4.1. Ultrafiltration
2.4.2. Gel Column Filtration
2.5. Identification and Screening of the α-Glucosidase Peptide
2.6. Molecular Docking Analysis
2.7. Peptide Synthesis
2.8. Statistical Analysis
3. Results
3.1. Protease Selection
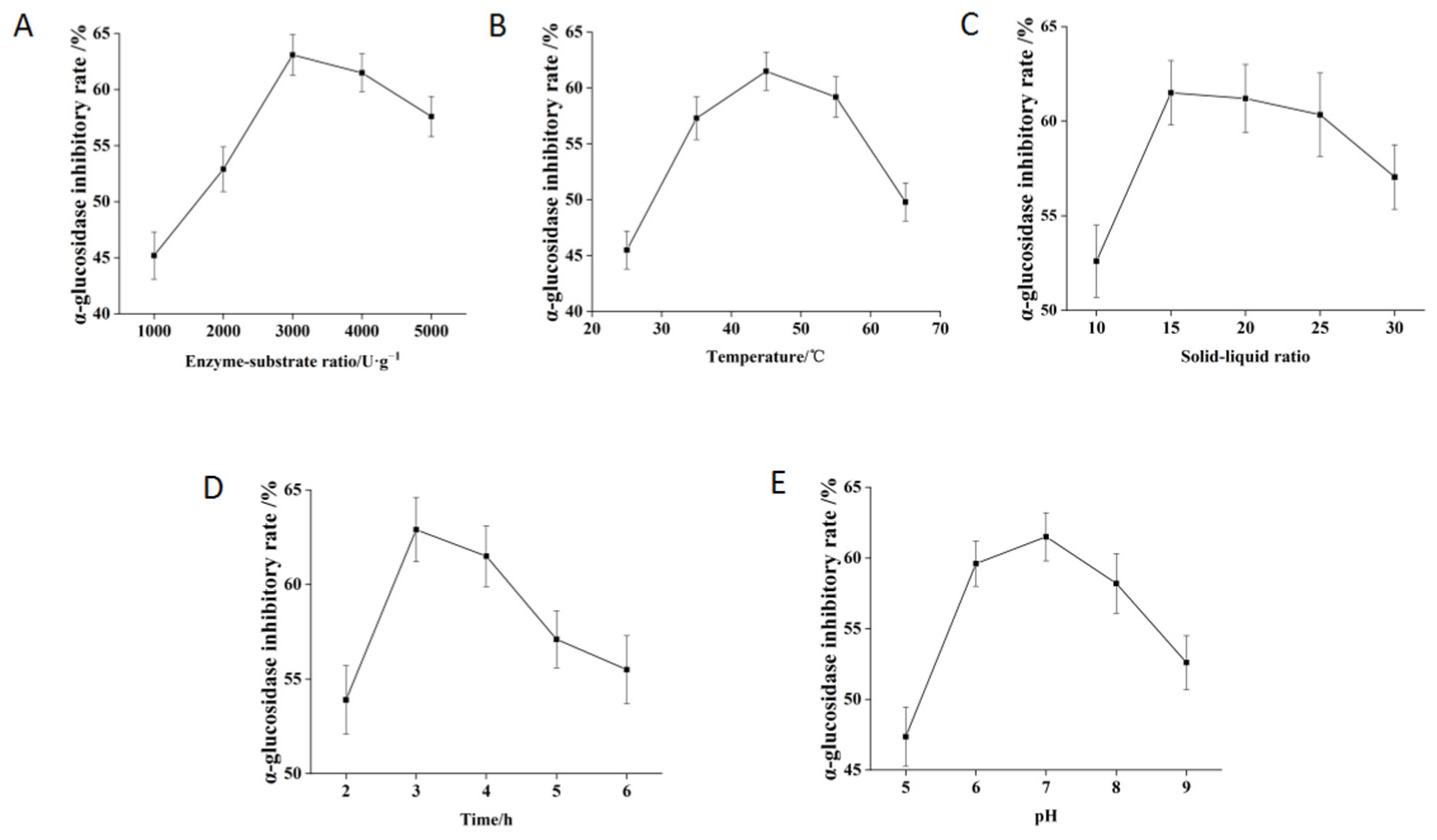
3.2. Effects of Different Enzyme Concentrations on the Activity of Hydrolysates
3.3. Effects of Different Temperature on the Activity of Hydrolysates
3.4. Effects of Different Substrate Concentrations on the Activity of Hydrolysates
3.5. Effects of Different Enzymolysis Time on the Activity of Hydrolysates
3.6. Effects of Different pH on the Activity of Hydrolysates
3.7. Response Surface Analysis
3.8. Separation of Peptides by Ultrafiltration
3.9. Separation of Peptides by Gel Filtration
3.10. Identification and Screening of α-Glucosidase Inhibitory Peptides
3.11. Molecular Mechanisms of the Active Peptides
4. Discussion
5. Conclusions
Author Contributions
Funding
Data Availability Statement
Conflicts of Interest
References
- IDF Diabetes Atlas. International Diabetes Federation 2021. Available online: https://www.diabetesatlas.org (accessed on 5 December 2022).
- Whiting, D.R.; Guariguata, L.; Weil, C.; Shaw, J. IDF diabetes atlas: Global estimates of the prevalence of diabetes for 2011 and 2030. Diabetes Res. Clin. Pract. 2011, 94, 311–321. [Google Scholar] [CrossRef] [PubMed]
- Evans, J.M.; Newton, R.W.; Ruta, D.A.; MacDonald, T.M.; Morris, A.D. Socio-economic status, obesity and prevalence of Type 1 and Type 2 diabetes mellitus. Diabet. Med. 2000, 17, 478–480. [Google Scholar] [CrossRef] [PubMed]
- Yu, Z.; Yin, Y.; Zhao, W.; Yu, Y.; Liu, B.; Liu, J.; Chen, F. Novel peptides derived from egg white protein inhibiting alpha-glucosidase. Food Chem. 2011, 129, 1376–1382. [Google Scholar] [CrossRef]
- Cole, J.B.; Florez, J.C. Genetics of diabetes mellitus and diabetes complications. Nat. Rev. Nephrol. 2020, 16, 377–390. [Google Scholar] [CrossRef] [PubMed]
- Aronson, D. Hyperglycemia and the pathobiology of diabetic complications. Adv. Cardiol. 2008, 45, 1–16. [Google Scholar] [CrossRef]
- Ponnusamy, S.; Haldar, S.; Mulani, F.; Zinjarde, S.; Thulasiram, H.; RaviKumar, A. Gedunin and Azadiradione: Human Pancreatic Alpha-Amylase Inhibiting Limonoids from Neem (Azadirachta indica) as Anti-Diabetic Agents. PLoS ONE 2015, 10, e0140113. [Google Scholar] [CrossRef]
- Konrad, B.; Anna, D.; Marek, S.; Marta, P.; Aleksandra, Z.; Jozefa, C. The Evaluation of Dipeptidyl Peptidase (DPP)-IV, alpha-Glucosidase and Angiotensin Converting Enzyme (ACE) Inhibitory Activities of Whey Proteins Hydrolyzed with Serine Protease Isolated from Asian Pumpkin (Cucurbita ficifolia). Int. J. Pept. Res. Ther. 2014, 20, 483–491. [Google Scholar] [CrossRef]
- El-Beshbishy, H.; Bahashwan, S. Hypoglycemic effect of basil (Ocimum basilicum) aqueous extract is mediated through inhibition of alpha-glucosidase and alpha-amylase activities: An in vitro study. Toxicol. Ind. Health 2012, 28, 42–50. [Google Scholar] [CrossRef]
- Zhao, Q.; Wei, G.; Li, K.; Duan, S.; Ye, R.; Huang, A. Identification and molecular docking of novel α-glucosidase inhibitory peptides from hydrolysates of Binglangjiang buffalo casein. LWT 2022, 156, 113062. [Google Scholar] [CrossRef]
- Fang, Y.; Wang, S.; Wu, J.; Zhang, L.; Wang, Z.; Gan, L.; He, J.; Shi, H.; Hou, J. The kinetics and mechanism of α-glucosidase inhibition by F5-SP, a novel compound derived from sericin peptides. Food Funct. 2017, 8, 323–332. [Google Scholar] [CrossRef]
- Fujisawa, T.; Ikegami, H.; Inoue, K.; Kawabata, Y.; Ogihara, T. Effect of two alpha-glucosidase inhibitors, voglibose and acarbose, on postprandial hyperglycemia correlates with subjective abdominal symptoms. Metabolism 2005, 54, 387–390. [Google Scholar] [CrossRef] [PubMed]
- Di Stefano, E.; Oliviero, T.; Udenigwe, C.C. Functional significance and structure–activity relationship of food-derived α-glucosidase inhibitors. Curr. Opin. Food Sci. 2018, 20, 7–12. [Google Scholar] [CrossRef]
- Qiu, L.; Deng, Z.; Zhao, C.; Xiao, T.; Weng, C.; Li, J.; Zheng, L. Nutritional composition and proteomic analysis of soft-shelled turtle (Pelodiscus sinensis) egg and identification of oligopeptides with alpha-glucosidase inhibitory activity. Food Res. Int. 2021, 145, 110414. [Google Scholar] [CrossRef] [PubMed]
- Acquah, C.; Dzuvor, C.K.O.; Tosh, S.; Agyei, D. Anti-diabetic effects of bioactive peptides: Recent advances and clinical implications. Crit. Rev. Food Sci. Nutr. 2022, 62, 2158–2171. [Google Scholar] [CrossRef] [PubMed]
- Wang, R.; Zhao, H.; Pan, X.; Orfila, C.; Lu, W.; Ma, Y. Preparation of bioactive peptides with antidiabetic, antihypertensive, and antioxidant activities and identification of alpha-glucosidase inhibitory peptides from soy protein. Food Sci. Nutr. 2019, 7, 1848–1856. [Google Scholar] [CrossRef]
- Valencia-Mejia, E.; Batista, K.A.; Fernandez, J.J.A.; Fernandes, K.F. Antihyperglycemic and hypoglycemic activity of naturally occurring peptides and protein hydrolysates from easy-to-cook and hard-to-cook beans (Phaseolus vulgaris L.). Food Res. Int. 2019, 121, 238–246. [Google Scholar] [CrossRef]
- Kamal, H.; Mudgil, P.; Bhaskar, B.; Fisayo, A.F.; Gan, C.Y.; Maqsood, S. Amaranth proteins as potential source of bioactive peptides with enhanced inhibition of enzymatic markers linked with hypertension and diabetes. J. Cereal Sci. 2021, 101, 103308. [Google Scholar] [CrossRef]
- Abbasi, S.; Moslehishad, M.; Salami, M. Antioxidant and alpha-glucosidase enzyme inhibitory properties of hydrolyzed protein and bioactive peptides of quinoa. Int. J. Biol. Macromol 2022, 213, 602–609. [Google Scholar] [CrossRef]
- Vilcacundo, R.; Martínez-Villaluenga, C.; Hernández-Ledesma, B. Release of dipeptidyl peptidase IV, α-amylase and α-glucosidase inhibitory peptides from quinoa (Chenopodium quinoa Willd.) during in vitro simulated gastrointestinal digestion. J. Funct. Foods 2017, 35, 531–539. [Google Scholar] [CrossRef]
- Mousavi, B.; Azizi, M.H.; Abbasi, S. Antidiabetic bio-peptides of soft and hard wheat glutens. Food Chem. 2022, 4, 100104. [Google Scholar] [CrossRef]
- De Matos, F.M.; De Lacerda, J.T.J.G.; Zanetti, G.; De Castro, R.J.S. Production of black cricket protein hydrolysates with α-amylase, α-glucosidase and angiotensin I-converting enzyme inhibitory activities using a mixture of proteases. Biocatal. Agric. Biotechnol. 2022, 39, 102276. [Google Scholar] [CrossRef]
- Wang, J.; Wu, T.; Fang, L.; Liu, C.; Liu, X.; Li, H.; Shi, J.; Li, M.; Min, W. Anti-diabetic effect by walnut (Juglans mandshurica Maxim.)-derived peptide LPLLR through inhibiting α-glucosidase and α-amylase, and alleviating insulin resistance of hepatic HepG2 cells. J. Funct. Foods 2020, 69, 103944. [Google Scholar] [CrossRef]
- Liu, Y.-F.; Oey, I.; Bremer, P.; Carne, A.; Silcock, P. Bioactive peptides derived from egg proteins: A review. Crit. Rev. Food Sci. Nutr. 2018, 58, 2508–2530. [Google Scholar] [CrossRef] [PubMed]
- Yu, Z.; Yin, Y.; Zhao, W.; Liu, J.; Chen, F. Anti-diabetic activity peptides from albumin against alpha-glucosidase and alpha-amylase. Food Chem. 2012, 135, 2078–2085. [Google Scholar] [CrossRef]
- Hu, S.; Fan, X.; Qi, P.; Zhang, X. Identification of anti-diabetes peptides from Spirulina platensis. J. Funct. Foods 2019, 56, 333–341. [Google Scholar] [CrossRef]
- Wang, X.; Deng, Y.; Xie, P.; Liu, L.; Zhang, C.; Cheng, J.; Zhang, Y.; Liu, Y.; Huang, L.; Jiang, J. Novel bioactive peptides from ginkgo biloba seed protein and evaluation of their alpha-glucosidase inhibition activity. Food Chem. 2023, 404, 134481. [Google Scholar] [CrossRef]
- Baba, W.N.; Mudgil, P.; Kamal, H.; Kilari, B.P.; Gan, C.Y.; Maqsood, S. Identification and characterization of novel alpha-amylase and alpha-glucosidase inhibitory peptides from camel whey proteins. J. Dairy Sci. 2021, 104, 1364–1377. [Google Scholar] [CrossRef]
- Liu, L.; Chen, J.; Li, X. Novel peptides with α-glucosidase inhibitory activity from Changii Radix hydrolysates. Process Biochem. 2021, 111, 200–206. [Google Scholar] [CrossRef]
- Jiang, T.; Feng, L.; Wang, Y. Effect of alginate/nano-Ag coating on microbial and physicochemical characteristics of shiitake mushroom (Lentinus edodes) during cold storage. Food Chem. 2013, 141, 954–960. [Google Scholar] [CrossRef]
- Huang, Q.; Qian, X.; Jiang, T.; Zheng, X. Effect of chitosan and guar gum based composite edible coating on quality of mushroom (Lentinus edodes) during postharvest storage. Sci. Hortic. 2019, 253, 382–389. [Google Scholar] [CrossRef]
- Cui, L.; Liu, Y.; Liu, M.; Ren, M.; Ahmed, A.F.; Kang, W. Identification of phytochemicals from Lentinus edodes and Auricularia auricula with UPLC-Q-Exactive Orbitrap MS. J. Future Foods 2022, 2, 253–260. [Google Scholar] [CrossRef]
- Morales, D.; Rutckeviski, R.; Villalva, M.; Abreu, H.; Soler-Rivas, C.; Santoyo, S.; Iacomini, M.; Smiderle, F.R. Isolation and comparison of α- and β-D-glucans from shiitake mushrooms (Lentinula edodes) with different biological activities. Carbohydr. Polym. 2020, 229, 115521. [Google Scholar] [CrossRef] [PubMed]
- Sun, T.; Yao, S.J.; Liu, F.S. A comparative study on nutritional compositions of Lentinula edodes in four main producing regions in China. Mod. Food Sci. Technol. 2021, 37, 97–103. [Google Scholar] [CrossRef]
- Sheng, K.; Wang, C.; Chen, B.; Kang, M.; Wang, M.; Liu, K.; Wang, M. Recent advances in polysaccharides from Lentinus edodes (Berk.): Isolation, structures and bioactivities. Food Chem. 2021, 358, 129883. [Google Scholar] [CrossRef] [PubMed]
- Chen, Y.; Zhang, Y.; Qi, Q.; Liang, F.; Wang, N.; Chen, Q.; Li, X.; Sun, S.; Wang, X.; Bai, K.; et al. Preparation and activity evaluation of angiotensin-I converting enzyme inhibitory peptides from protein hydrolysate of mulberry leaf. Front. Nutr. 2022, 9, 1064526. [Google Scholar] [CrossRef]
- Liu, W.; Li, H.; Wen, Y.; Liu, Y.; Wang, J.; Sun, B. Molecular Mechanism for the α-Glucosidase Inhibitory Effect of Wheat Germ Peptides. J. Agric. Food Chem. 2021, 69, 15231–15239. [Google Scholar] [CrossRef]
- Ren, Y.; Liang, K.; Jin, Y.; Zhang, M.; Chen, Y.; Wu, H.; Lai, F. Identification and characterization of two novel α-glucosidase inhibitory oligopeptides from hemp (Cannabis sativa L.) seed protein. J. Funct. Foods 2016, 26, 439–450. [Google Scholar] [CrossRef]
- Fadimu, G.J.; Farahnaky, A.; Gill, H.; Olalere, O.A.; Gan, C.Y.; Truong, T. In-Silico Analysis and Antidiabetic Effect of alpha-Amylase and alpha-Glucosidase Inhibitory Peptides from Lupin Protein Hydrolysate: Enzyme-Peptide Interaction Study Using Molecular Docking Approach. Foods 2022, 11, 3375. [Google Scholar] [CrossRef]
- Ibrahim, M.A.; Bester, M.J.; Neitz, A.W.H.; Gaspar, A.R.M. Structural properties of bioactive peptides with alpha-glucosidase inhibitory activity. Chem. Biol. Drug Des. 2018, 91, 370–379. [Google Scholar] [CrossRef]
- Yang, F.-J.; Chen, X.; Huang, M.-C.; Yang, Q.; Cai, X.-X.; Chen, X.; Du, M.; Huang, J.-L.; Wang, S.-Y. Molecular characteristics and structure–activity relationships of food-derived bioactive peptides. J. Integr. Agric. 2021, 20, 2313–2332. [Google Scholar] [CrossRef]
- Obaroakpo, J.U.; Liu, L.; Zhang, S.; Lu, J.; Pang, X.; Lv, J. α-Glucosidase and ACE dual inhibitory protein hydrolysates and peptide fractions of sprouted quinoa yoghurt beverages inoculated with Lactobacillus casei. Food Chem. 2019, 299, 124985. [Google Scholar] [CrossRef] [PubMed]
- Chandrasekaran, S.; Gonzalez de Mejia, E. Optimization, identification, and comparison of peptides from germinated chickpea (Cicer arietinum) protein hydrolysates using either papain or ficin and their relationship with markers of type 2 diabetes. Food Chem. 2022, 374, 131717. [Google Scholar] [CrossRef] [PubMed]
- Zhao, B.; Su, K.; Mao, X.; Zhang, X. Separation and identification of enzyme inhibition peptides from dark tea protein. Bioorganic Chem. 2020, 99, 103772. [Google Scholar] [CrossRef] [PubMed]
- Sadri, H.; Larki, N.N.; Kolahian, S. Hypoglycemic and hypolipidemic effects of leucine, zinc, and chromium, alone and in combination, in rats with type 2 diabetes. Biol. Trace Elem. Res. 2017, 180, 246–254. [Google Scholar] [CrossRef] [PubMed]
- Kang, M.-G.; Yi, S.-H.; Lee, J.-S. Production and Characterization of a New α-Glucosidase Inhibitory Peptide from Aspergillus oryzae N159-1. Mycobiology 2013, 41, 149–154. [Google Scholar] [CrossRef]
- Mudgil, P.; Kilari, B.P.; Kamal, H.; Olalere, O.A.; FitzGerald, R.J.; Gan, C.-Y.; Maqsood, S. Multifunctional bioactive peptides derived from quinoa protein hydrolysates: Inhibition of α-glucosidase, dipeptidyl peptidase-IV and angiotensin I converting enzymes. J. Cereal Sci. 2020, 96, 103130. [Google Scholar] [CrossRef]
- Wei, G.; Zhao, Q.; Wang, D.; Fan, Y.; Shi, Y.; Huang, A. Novel ACE inhibitory, antioxidant and α-glucosidase inhibitory peptides identified from fermented rubing cheese through peptidomic and molecular docking. LWT 2022, 159, 113196. [Google Scholar] [CrossRef]






| Parameters. | Level | ||||
|---|---|---|---|---|---|
| −1.68 | −1 | 0 | 1 | 1.68 | |
| E/S / U/g (A) | 1320 | 2000 | 3000 | 4000 | 4680 |
| Temperature/°C (B) | 28.2 | 35 | 45 | 55 | 61.8 |
| Time/h (C) | 1.32 | 2.00 | 3.00 | 4.00 | 4.68 |
| Number | A (E/S u/g) | B (Temperature/°C) | C (Time/h) | Inhibitory Rate/% |
|---|---|---|---|---|
| 1 | 1.68 | 0 | 0 | 58.2 |
| 2 | 0 | 0 | 0 | 64.3 |
| 3 | −1 | 1 | −1 | 43.5 |
| 4 | 0 | 0 | −1.68 | 48.5 |
| 5 | −1 | −1 | −1 | 43.8 |
| 6 | 1 | −1 | −1 | 52.8 |
| 7 | −1.68 | 0 | 0 | 49.5 |
| 8 | 0 | 0 | 0 | 63.3 |
| 9 | −1 | 1 | 1 | 55.9 |
| 10 | 0 | 0 | 0 | 64.8 |
| 11 | 1 | −1 | 1 | 57.3 |
| 12 | 0 | 0 | 0 | 63.1 |
| 13 | 0 | 0 | 0 | 64.5 |
| 14 | 0 | 0 | 0 | 63.2 |
| 15 | 1 | 1 | −1 | 52.3 |
| 16 | 0 | 0 | 1.68 | 57.7 |
| 17 | 0 | −1.68 | 0 | 48.5 |
| 18 | −1 | −1 | 1 | 49.8 |
| 19 | 0 | 1.68 | 0 | 51.3 |
| 20 | 1 | 1 | 1 | 59.2 |
| Source | Squares | df | Square | Value | Prob > F |
|---|---|---|---|---|---|
| Model | 922.97 | 9 | 102.55 | 89.15 | <0.0001 |
| A-E/S | 136.85 | 1 | 136.85 | 118.97 | <0.0001 |
| B-Temperature | 10.38 | 1 | 10.38 | 9.03 | 0.0132 |
| C-Time | 150.08 | 1 | 150.08 | 130.46 | <0.0001 |
| AB | 2.42 | 1 | 2.42 | 2.1 | 0.1776 |
| AC | 6.12 | 1 | 6.12 | 5.32 | 0.0437 |
| BC | 9.68 | 1 | 9.68 | 8.41 | 0.0158 |
| A2 | 175.52 | 1 | 175.52 | 152.58 | <0.0001 |
| B2 | 344.1 | 1 | 344.1 | 299.13 | <0.0001 |
| C2 | 203.2 | 1 | 203.2 | 176.65 | <0.0001 |
| Residual | 11.5 | 10 | 1.15 | ||
| Lack of Fit | 8.69 | 5 | 1.74 | 3.09 | 0.1207 |
| Pure Error | 2.81 | 5 | 0.56 | ||
| Cor Total | 934.48 | 19 | |||
| Model | 922.97 | 9 | 102.55 | 89.15 | <0.0001 |
| A-E/S | 136.85 | 1 | 136.85 | 118.97 | <0.0001 |
| B-Temperature | 10.38 | 1 | 10.38 | 9.03 | 0.0132 |
| C-Time | 150.08 | 1 | 150.08 | 130.46 | <0.0001 |
| AB | 2.42 | 1 | 2.42 | 2.1 | 0.1776 |
| AC | 6.12 | 1 | 6.12 | 5.32 | 0.0437 |
| Sequence | Mass | m/z | m/z Error (ppm) | RT (min) | Length | Score |
|---|---|---|---|---|---|---|
| DVFAHF | 734.3387 | 368.1776 | 2.5 | 20.7 | 6 | 82 |
| KDDLRSP | 829.4293 | 415.7215 | −1.1 | 11.98 | 7 | 83 |
| EDLRLP | 741.402 | 371.7031 | −14.1 | 15.63 | 6 | 83 |
| LLAKFE | 719.4218 | 360.7188 | 1.8 | 14.72 | 6 | 83 |
| EPLEPK | 711.3802 | 356.6971 | −0.7 | 11.21 | 6 | 86 |
| LQHLPL | 719.433 | 360.7242 | 1.3 | 15.72 | 6 | 87 |
| VLSRKL | 714.4752 | 358.2401 | −13.2 | 11.41 | 6 | 88 |
| EGEPKLP | 768.4017 | 385.208 | −0.4 | 12.45 | 7 | 88 |
| LDYGKL | 707.3854 | 354.699 | −2.6 | 13.24 | 6 | 88 |
| TPELKL | 699.4167 | 350.7144 | −3.6 | 11.89 | 6 | 88 |
| SPDEPKL | 784.3967 | 393.2057 | 0.4 | 11.35 | 7 | 90 |
| EEPLPQ | 711.3439 | 356.679 | −0.5 | 12.75 | 6 | 92 |
| VVELLK | 699.4531 | 350.7336 | −0.6 | 13.53 | 6 | 96 |
| DPEKFP | 731.3489 | 366.6822 | 1.2 | 12.79 | 6 | 97 |
| Sequence | E-Score | Site | Molecular Structural Formula |
|---|---|---|---|
| EGEPKLP | −15.42 | Lys534, Leu286, Ser521, Ser288 | ![]() |
| KDDLRSP | −15.83 | Lys534, Lys513, His645, Val779, Asp777 | ![]() |
| TPELKL | −14.25 | Lys534, Lys513, His115, Glu114 (3 binding bonds) | ![]() |
| LDYGKL | −16.31 | Lys776, Lys513 (2 binding bonds), Asp777 (2 binding bonds) | ![]() |
Disclaimer/Publisher’s Note: The statements, opinions and data contained in all publications are solely those of the individual author(s) and contributor(s) and not of MDPI and/or the editor(s). MDPI and/or the editor(s) disclaim responsibility for any injury to people or property resulting from any ideas, methods, instructions or products referred to in the content. |
© 2023 by the authors. Licensee MDPI, Basel, Switzerland. This article is an open access article distributed under the terms and conditions of the Creative Commons Attribution (CC BY) license (https://creativecommons.org/licenses/by/4.0/).
Share and Cite
Zhang, Y.; Chen, Y.; Liu, X.; Wang, W.; Wang, J.; Li, X.; Sun, S. Preparation and Identification of Peptides with α-Glucosidase Inhibitory Activity from Shiitake Mushroom (Lentinus edodes) Protein. Foods 2023, 12, 2534. https://doi.org/10.3390/foods12132534
Zhang Y, Chen Y, Liu X, Wang W, Wang J, Li X, Sun S. Preparation and Identification of Peptides with α-Glucosidase Inhibitory Activity from Shiitake Mushroom (Lentinus edodes) Protein. Foods. 2023; 12(13):2534. https://doi.org/10.3390/foods12132534
Chicago/Turabian StyleZhang, Yu, Yu Chen, Xinyang Liu, Wei Wang, Junhong Wang, Xue Li, and Suling Sun. 2023. "Preparation and Identification of Peptides with α-Glucosidase Inhibitory Activity from Shiitake Mushroom (Lentinus edodes) Protein" Foods 12, no. 13: 2534. https://doi.org/10.3390/foods12132534
APA StyleZhang, Y., Chen, Y., Liu, X., Wang, W., Wang, J., Li, X., & Sun, S. (2023). Preparation and Identification of Peptides with α-Glucosidase Inhibitory Activity from Shiitake Mushroom (Lentinus edodes) Protein. Foods, 12(13), 2534. https://doi.org/10.3390/foods12132534





