Transmembrane Pressure during Micro- and Diafiltration of Milk Affects the Release of Non-Sedimentable Caseins
Abstract
1. Introduction
2. Materials and Methods
2.1. Sample Preparation
2.2. Protein Analysis
2.3. Retentate Viscosity
2.4. Calcium and Phosphate Analysis
2.5. Statistical Analysis
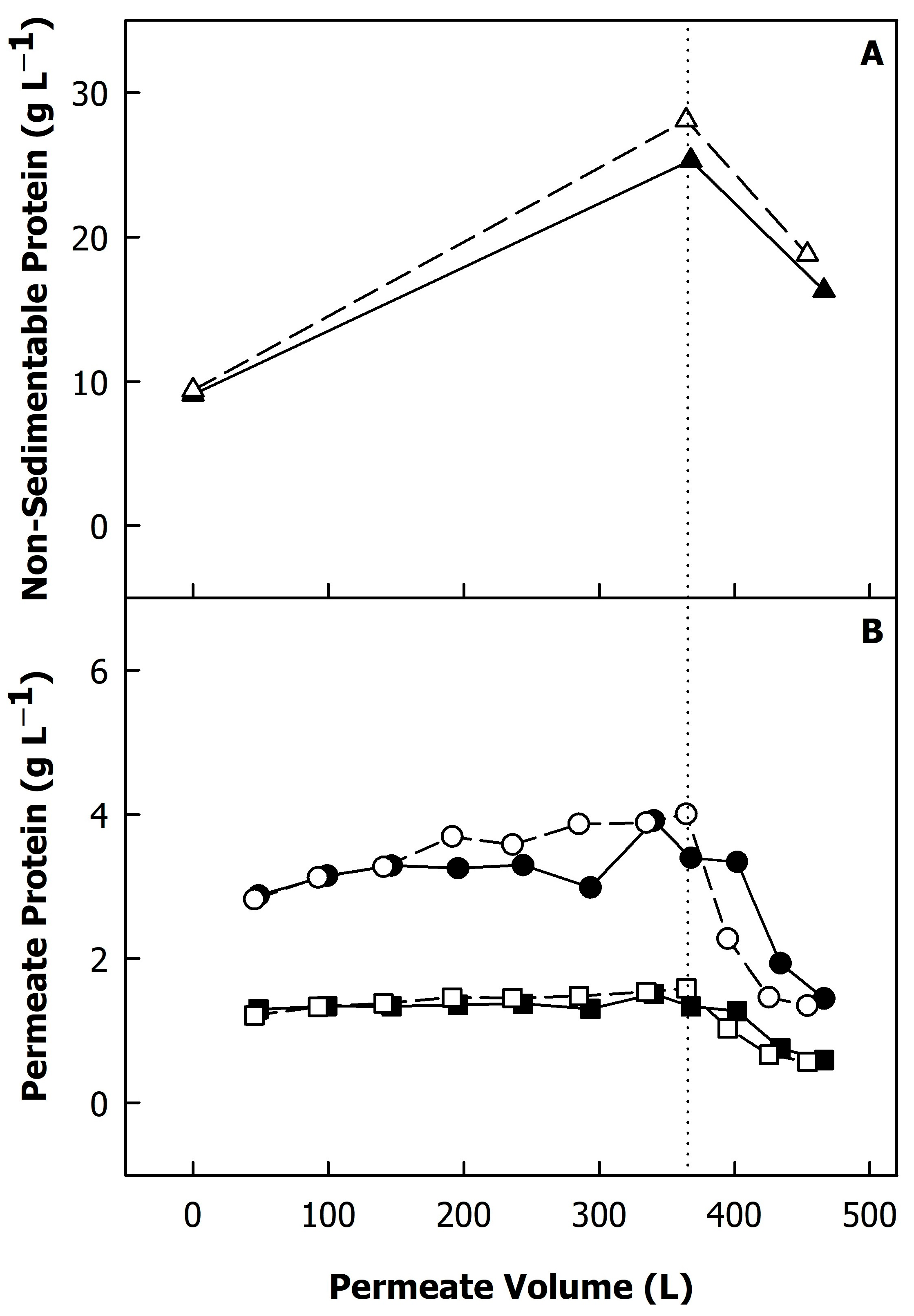
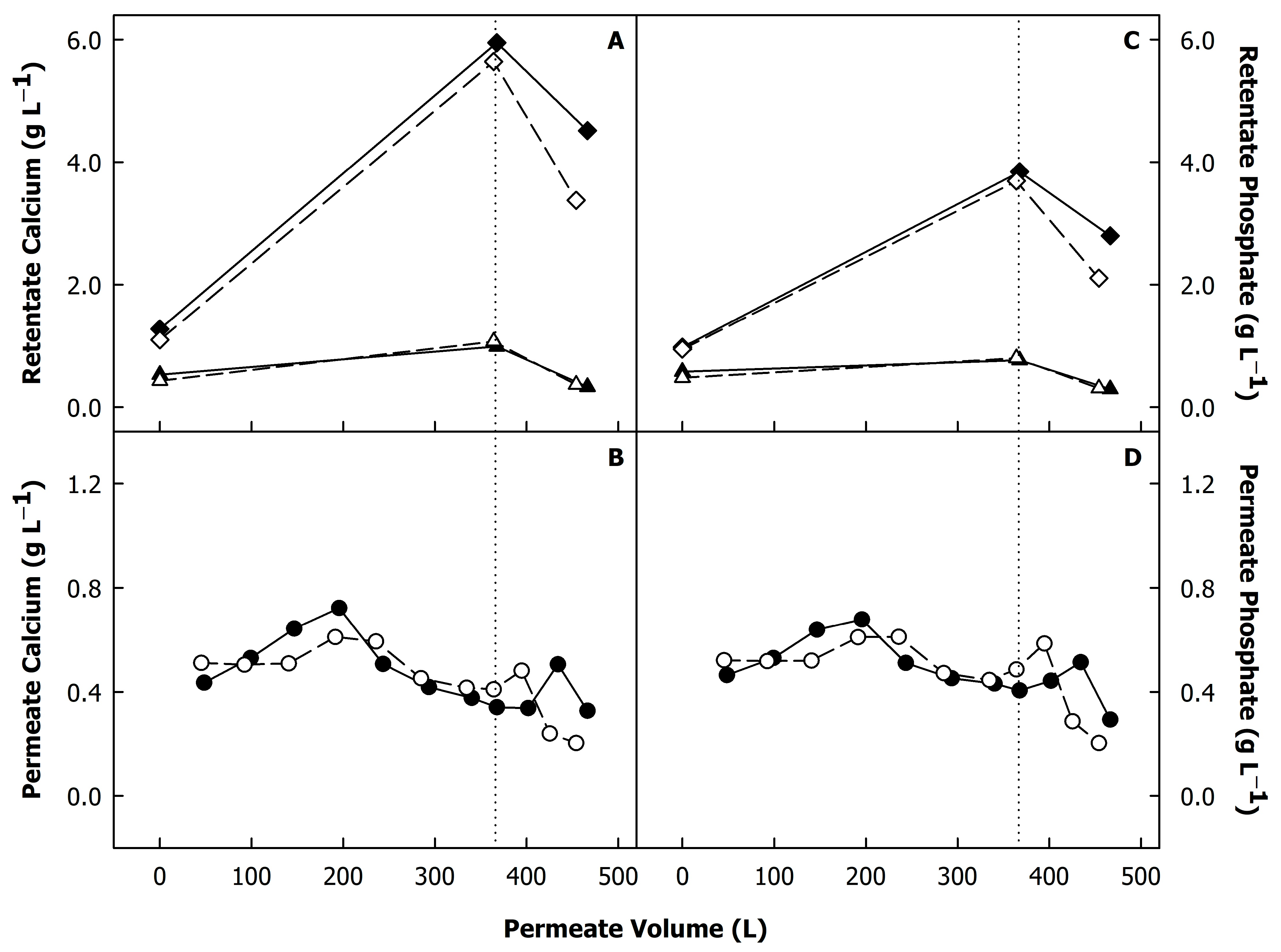
3. Results
4. Conclusions
Author Contributions
Funding
Data Availability Statement
Acknowledgments
Conflicts of Interest
References
- Raak, N.; Corredig, M. Manufacture of milk and whey products: Caseins, caseinates and micellar casein. In Encyclopedia of Dairy Sciences, 3rd ed.; McSweeney, P.L.H., McNamara, J.P., Eds.; Elsevier: Amsterdam, The Netherlands, 2022; Volume 5, pp. 8–17. [Google Scholar] [CrossRef]
- Carter, B.G.; Cheng, N.; Kapoor, R.; Meletharayil, G.H.; Drake, M.A. Microfiltration-derived casein and whey proteins from milk. J. Dairy Sci. 2021, 104, 2465–2479. [Google Scholar] [CrossRef] [PubMed]
- Hammam, A.R.A.; Martínez-Monteagudo, S.I.; Metzger, L.E. Progress in micellar casein concentrate: Production and applications. Comp. Rev. Food Sci. Food Safety 2021, 20, 4426–4449. [Google Scholar] [CrossRef] [PubMed]
- Hausmann, A.; Duke, M.C.; Demmer, T. Principles of membrane filtration. In Membrane Processing: Dairy and Beverage Applications, 1st ed.; Tamime, A.Y., Ed.; Blackwell Publishing Ltd.: Hoboken, NJ, USA, 2013; pp. 18–51. [Google Scholar] [CrossRef]
- Hartinger, M.; Kulozik, U. Milk protein fractionation by spiral-wound microfiltration membranes in diafiltration mode—Influence of feed protein concentration and composition on the filtration performance. Int. Dairy J. 2020, 102, 104606. [Google Scholar] [CrossRef]
- Li, Z.; Liu, D.; Xu, S.; Zhang, W.; Zhou, P. Transmission of major and minor serum proteins during microfiltration of skim milk: Effects of pore diameters, concentration factors and processing stages. Foods 2021, 10, 888. [Google Scholar] [CrossRef]
- Schäfer, J.; Mesch, I.; Atamer, Z.; Nöbel, S.; Kohlus, R.; Hinrichs, J. Calcium reduced skim milk retentates obtained by means of microfiltration. J. Food Eng. 2019, 247, 168–177. [Google Scholar] [CrossRef]
- Hartinger, M.; Heidebrecht, H.-J.; Schiffer, S.; Dumpler, J.; Kulozik, U. Milk protein fractionation by means of spiral-wound microfiltration membranes: Effect of the pressure adjustment mode and temperature on flux and protein permeation. Foods 2019, 8, 180. [Google Scholar] [CrossRef]
- Schiffer, S.; Hartinger, M.; Matyssek, A.; Kulozik, U. On the reversibility of deposit formation in low temperature milk microfiltration with ceramic membranes depending on mode of adjustment of transmembrane pressure and wall shear stress. Sep. Purif. Technol. 2020, 247, 116962. [Google Scholar] [CrossRef]
- Weinberger, M.E.; Andlinger, D.J.; Kulozik, U. A novel approach for characterisation of stabilising bonds in milk protein deposit layers on microfiltration membranes. Int. Dairy J. 2021, 118, 105044. [Google Scholar] [CrossRef]
- Steinhauer, T.; Kühnl, W.; Kulozik, U. Impact of protein interactions and transmembrane pressure on physical properties of filter cakes formed during filtration of skim milk. Procedia Food Sci. 2011, 1, 886–892. [Google Scholar] [CrossRef]
- Steinhauer, T.; Kulozik, U.; Gebhardt, R. Structure of milk protein deposits formed by casein micelles and β-lactoglobulin during frontal microfiltration. J. Membrane Sci. 2014, 468, 126–132. [Google Scholar] [CrossRef]
- Reitmaier, M.; Barbosa, B.; Sigler, S.; Heidebrecht, H.-J.; Kulozik, U. Impact of different aqueous phases on casein micelles: Kinetics of physicochemical changes under variation of water hardness and diafiltration conditions. Int. Dairy J. 2020, 109, 104776. [Google Scholar] [CrossRef]
- Song, B.; Zhang, Y.; Lu, J.; Pang, X.; Wei, M.; Zheng, S.; Zhang, M.; Zhang, S.; Lv, J. Effect of different diafiltration process on the protein fractionation of skim milk by cross flow microfiltration. LWT 2021, 152, 112330. [Google Scholar] [CrossRef]
- Corredig, M.; Krishnankutty Nair, P.; Li, Y.; Eshpari, H.; Zhao, Z. Understanding the behavior of caseins in milk concentrates. J. Dairy Sci. 2019, 102, 4772–4782. [Google Scholar] [CrossRef]
- Coşkun, Ö.; Wiking, L.; Rahimi Yazdi, S.; Corredig, M. Molecular details of the formation of soluble aggregates during ultrafiltration or microfiltration combined with diafiltration of skim milk. Food Hydrocoll. 2022, 124 Pt A, 107244. [Google Scholar] [CrossRef]
- Li, Y.; Corredig, M. Acid induced gelation behaviour of skim milk concentrated by membrane filtration. J. Texture Stud. 2020, 51, 101–110. [Google Scholar] [CrossRef]
- Raak, N.; Pedersen, J.S.; Corredig, M. Structural and colloidal changes of casein micelles induced by membrane concentration and their dependence on the milieu exchange conditions. Coll. Surf. A 2023, 670, 131580. [Google Scholar] [CrossRef]
- Krishnankutty Nair, P.; Corredig, M. Sodium caseinate hinders chymosin-induced aggregation of caseins in concentrated milk: The role of soluble caseins and calcium ions. JDS Commun. 2021, 2, 309–312. [Google Scholar] [CrossRef]
- Li, Y.; Dalgleish, D.; Corredig, M. Influence of heating treatment and membrane concentration on the formation of soluble aggregates. Food Res. Int. 2015, 76, 309–316. [Google Scholar] [CrossRef]
- Coşkun, Ö.; Raak, N.; Corredig, M. Heat induced interactions in whey protein depleted milk concentrates: Comparison of ultrafiltration and microfiltration. Food Hydrocoll. 2023, 137, 108354. [Google Scholar] [CrossRef]
- France, T.C.; Kelly, A.L.; Crowley, S.V.; O’Mahony, J.A. The effects of temperature and transmembrane pressure on protein, calcium and plasmin partitioning during microfiltration of skim milk. Int. Dairy J. 2021, 114, 104930. [Google Scholar] [CrossRef]
- Renhe, I.R.T.; Corredig, M. Effect of partial whey protein depletion during membrane filtration on thermal stability of milk concentrates. J. Dairy Sci. 2018, 101, 8757–8766. [Google Scholar] [CrossRef] [PubMed]
- Krishnankutty Nair, P.; Corredig, M. Rennet-induced gelation of concentrated milk in the presence of sodium caseinate: Differences between milk concentration using ultrafiltration and osmotic stressing. J. Dairy Sci. 2015, 98, 27–36. [Google Scholar] [CrossRef] [PubMed]





Disclaimer/Publisher’s Note: The statements, opinions and data contained in all publications are solely those of the individual author(s) and contributor(s) and not of MDPI and/or the editor(s). MDPI and/or the editor(s) disclaim responsibility for any injury to people or property resulting from any ideas, methods, instructions or products referred to in the content. |
© 2023 by the authors. Licensee MDPI, Basel, Switzerland. This article is an open access article distributed under the terms and conditions of the Creative Commons Attribution (CC BY) license (https://creativecommons.org/licenses/by/4.0/).
Share and Cite
Raak, N.; Coşkun, Ö.; Corredig, M. Transmembrane Pressure during Micro- and Diafiltration of Milk Affects the Release of Non-Sedimentable Caseins. Foods 2023, 12, 2234. https://doi.org/10.3390/foods12112234
Raak N, Coşkun Ö, Corredig M. Transmembrane Pressure during Micro- and Diafiltration of Milk Affects the Release of Non-Sedimentable Caseins. Foods. 2023; 12(11):2234. https://doi.org/10.3390/foods12112234
Chicago/Turabian StyleRaak, Norbert, Özgenur Coşkun, and Milena Corredig. 2023. "Transmembrane Pressure during Micro- and Diafiltration of Milk Affects the Release of Non-Sedimentable Caseins" Foods 12, no. 11: 2234. https://doi.org/10.3390/foods12112234
APA StyleRaak, N., Coşkun, Ö., & Corredig, M. (2023). Transmembrane Pressure during Micro- and Diafiltration of Milk Affects the Release of Non-Sedimentable Caseins. Foods, 12(11), 2234. https://doi.org/10.3390/foods12112234

