Physicochemical, Rheological, In-Vitro Digestibility, and Emulsifying Properties of Starch Extracted from Pineapple Stem Agricultural Waste
Abstract
1. Introduction
2. Materials and Methods
2.1. Materials
2.2. Extraction of Pineapple Stem Starch
2.3. Physicochemical Properties of Starches
2.3.1. Amylose Content
2.3.2. Pasting Properties
2.3.3. Visual Observation of Starch Pastes
2.3.4. Microscopic Observation of Starch Pastes
2.3.5. Determination of Freeze—Thaw Stability
2.3.6. Determination of Thermal Properties
2.4. Rheology Measurement
2.5. In-Vitro Starch Digestibility
2.6. Determination of Emulsifying Properties
2.7. Statistical Analysis
3. Results and Discussion
3.1. Amylose Content
3.2. Pasting Properties
3.3. Visual Appearance and Microscopic Observation of Starch Pastes
3.4. Freeze–Thaw Stability
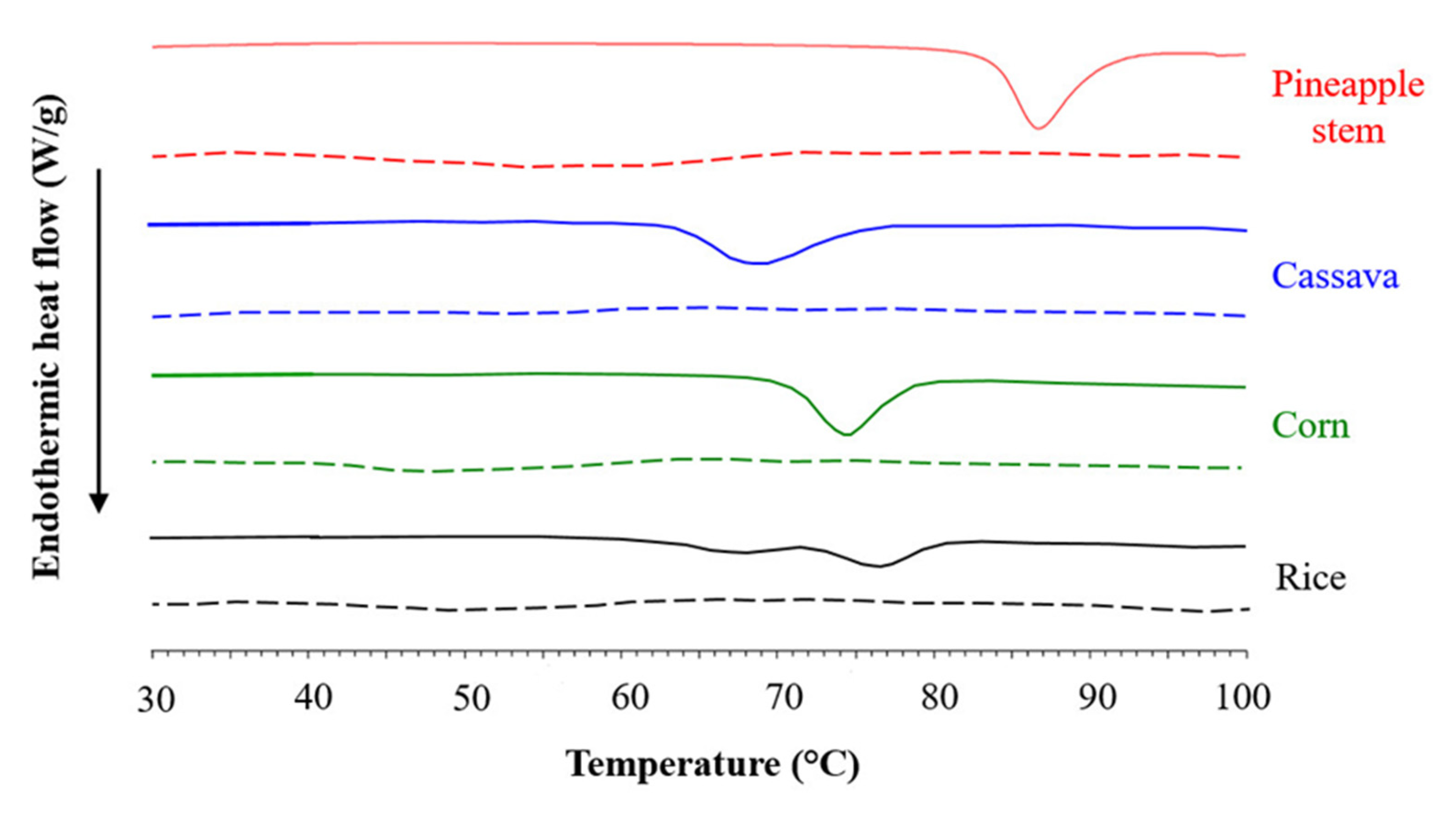
3.5. Gelatinization and Retrogradation Properties
3.6. Rheological Properties
3.7. In Vitro Starch Digestibility
3.8. Stability of Starch-Stabilized O/W Emulsions
4. Conclusions
Author Contributions
Funding
Data Availability Statement
Conflicts of Interest
References
- Nakthong, N.; Wongsagonsup, R.; Amornsakchai, T. Characteristics and potential utilizations of starch from pineapple stem waste. Ind. Crops Prod. 2017, 105, 74–82. [Google Scholar] [CrossRef]
- Rinju, R.; Harikumaran-Thampi, B.S. Characteristics of starch extracted from the stem of pineapple plant (Ananas comosus)—An agro waste from pineapple farms. Braz. Arch. Biol. Technol. 2021, 64, e21190276. [Google Scholar] [CrossRef]
- Wei, M.; Andersson, R.; Xie, G.; Salehi, S.; Boström, D.; Xiong, S. Properties of cassava stem starch being a new starch resource. Starch-Stärke 2018, 70, 1700125. [Google Scholar] [CrossRef]
- Chen, S.; Qin, L.; Chen, T.; Yu, Q.; Chen, Y.; Xiao, W.; Ji, X.; Xie, J. Modification of starch by polysaccharides in pasting, rheology, texture and in vitro digestion: A review. Int. J. Biol. Macromol. 2022, 207, 81–89. [Google Scholar] [CrossRef]
- Bello-Perez, L.A.; Flores-Silva, P.C.; Agama-Acevedo, E.; Tovar, J. Starch digestibility: Past, present, and future. J. Sci. Food Agric. 2020, 100, 5009–5016. [Google Scholar] [CrossRef]
- Englyst, H.N.; Kingman, S.M.; Cummings, J.H. Classification and measurement of nutritionally important starch fractions. Eur. J. Clin. Nutr. 1992, 46, S33–S50. [Google Scholar]
- Hikal, W.M.; Mahmoud, A.A.; Said-Al Ahl, H.A.H.; Bratovcic, A.; Tkachenko, K.G.; Kačániová, M.; Rodriguez, R.M. Pineapple (Ananas comosus L. Merr.), waste streams, characterisation and valorisation: An Overview. Open J. Ecol. 2021, 11, 610–634. [Google Scholar] [CrossRef]
- Ketnawa, S.; Chaiwut, P.; Rawdkuen, S. Pineapple wastes: A potential source for bromelain extraction. Food Bioprod. Process. 2012, 90, 385–391. [Google Scholar] [CrossRef]
- Sangkharak, K.; Wangsirikul, P.; Pichid, N.; Yunu, T.; Prasertsan, P. Partitioning of bromelain from pineapple stem (Smooth Cayenne) by aqueous two phase system and its application for recovery and purification of polyhydroxyalkanoate. Chiang Mai J. Sci. 2016, 43, 794–807. [Google Scholar]
- Chaosap, C.; Sahatsanon, K.; Sitthigripong, R.; Sawanon, S.; Setakul, J. The effects of using pineapple stem starch as an alternative starch source and ageing period on meat quality, texture profile, ribonucleotide content, and fatty acid composition of longissimus thoracis of fattening dairy steers. Foods 2021, 10, 2319. [Google Scholar] [CrossRef]
- Chu, P.H.; Jenol, M.A.; Phang, L.Y.; Ibrahim, M.F.; Prasongsuk, S.; Bankeeree, W.; Punnapayak, H.; Lotrakul, P.; Abd-Aziz, S. Starch extracted from pineapple (Ananas comosus) plant stem as a source for amino acids production. Chem. Biol. Technol. Agric. 2021, 8, 29. [Google Scholar] [CrossRef]
- Khongpradit, A.; Boonsaen, P.; Homwong, N.; Buaphan, S.; Maitreejit, W.; Karnjanasirm, K.; Sawanon, S. Effect of pineapple stem starch in concentrate diet on rumen fermentation in beef cattle and in situ dry matter degradability. Agric. Nat. Resour. 2022, 56, 277–286. [Google Scholar]
- Tangsrianugul, N.; Hongsanyatham, S.; Kapcum, C.; Sungayuth, N.; Boonsanong, N.; Somprasong, N.; Smith, S.M.; Amornsakchai, T.; Pinyo, J.; Wongsagonsup, R. Physicochemical and sensory properties of corn grits and pineapple stem starch-based extruded snacks enriched with oyster mushroom powder. Int. J. Food Sci. Technol. 2023, 58, 1528–1540. [Google Scholar] [CrossRef]
- Wongsagonsup, R.; Pujchakarn, T.; Jitrakbumrung, S.; Chaiwat, W.; Fuongfuchat, A.; Varavinit, S.; Dangtip, S.; Suphantharika, M. Effect of cross-linking on physicochemical properties of tapioca starch and its application in soup product. Carbohydr. Polym. 2014, 101, 656–665. [Google Scholar] [CrossRef]
- Sriprablom, J.; Tatikunakorn, P.; Lerdpriyanun, P.; Suphantharika, M.; Wongsagonsup, R. Effect of single and dual modifications with cross-linking and octenylsuccinylation on physicochemical, in-vitro digestibility, and emulsifying properties of cassava starch. Food Res. Int. 2023, 163, 112304. [Google Scholar] [CrossRef] [PubMed]
- Farooq, M.A.; Murtaza, M.A.; Aadil, R.M.; Arshad, R.; Rahaman, A.; Siddique, R.; Hassan, S.; Akhtar, H.M.S.; Manzoor, M.F.; Karrar, E.; et al. Investigating the structural properties and in vitro digestion of rice flours. Food Sci. Nutr. 2021, 9, 2668–2675. [Google Scholar] [CrossRef]
- Srichuwong, S.; Jane, J. Physicochemical properties of starch affected by molecular composition and structures: A review. Food Sci. Biotechnol. 2007, 16, 663–674. [Google Scholar]
- Denardin, C.C.; Boufleur, N.; Reckziegel, P.; Silva, L.P.; Walter, M. Amylose content in rice (Oryza sativa) affects performance, glycemic and lipidic metabolism in rats. Cienc. Rural 2012, 42, 381–387. [Google Scholar] [CrossRef]
- Tao, K.; Li, C.; Yu, W.; Gilbert, R.G.; Li, E. How amylose molecular fine structure of rice starch affects functional properties. Carbohydr. Polym. 2019, 204, 24–31. [Google Scholar] [CrossRef] [PubMed]
- Chung, H.-J.; Liu, Q.; Lee, L.; Wei, D. Relationship between the structure, physicochemical properties and in vitro digestibility of rice starches with different amylose contents. Food Hydrocoll. 2011, 25, 968–975. [Google Scholar] [CrossRef]
- Jane, J.; Craig, S.; Seib, P.; Hoseney, R. Characterization of granular cold water soluble starch. Starch-Stärke 1986, 38, 258–263. [Google Scholar] [CrossRef]
- Jane, J.; Shen, L.; Chen, J.; Lim, S.; Kasemsuwan, T.; Nip, W.K. Physical and chemical studies of taro starches and flours. Cereal Chem. 1992, 69, 528–535. [Google Scholar]
- Varavinit, S.; Shobsngob, S.; Varanyanond, W.; Chinachoti, P.; Naivikul, O. Effect of amylose content on gelatinization, retrogradation and pasting properties of flours from different cultivars of Thai rice. Starch-Stärke 2003, 55, 410–415. [Google Scholar] [CrossRef]
- Błaszczak, W.; Lewandowicz, G. Light microscopy as a tool to evaluate the functionality of starch in food. Foods 2020, 9, 670. [Google Scholar] [CrossRef] [PubMed]
- Yamazaki, E.; Sago, T.; Kasubuchi, Y.; Imamura, K.; Matsuoka, T.; Kurita, O.; Nambu, H.; Matsumura, Y. Improvement on the freeze-thaw stability of corn starch gel by the polysaccharide from leaves of Corchorus olitorius L. Carbohydr. Polym. 2013, 94, 555–560. [Google Scholar] [CrossRef] [PubMed]
- Zhang, B.; Bai, B.; Pan, Y.; Li, X.M.; Cheng, J.S.; Chen, H.Q. Effects of pectin with different molecular weight on gelatinization behavior, textural properties, retrogradation and in vitro digestibility of corn starch. Food Chem. 2018, 264, 58–63. [Google Scholar] [CrossRef]
- Sudheesh, C.; Sunooj, K.V.; George, J.; Kumar, S.; Sajeevkumar, V.A. Physico-chemical, morphological, pasting and thermal properties of stem flour and starch isolated from kithul palm (Caryota urens) grown in valley of Western Ghats of India. J. Food Meas. Charact. 2019, 13, 1020–1030. [Google Scholar] [CrossRef]
- Yu, S.; Ma, Y.; Sun, D.-W. Impact of amylose content on starch retrogradation and texture of cooked milled rice during storage. J. Cereal Sci. 2009, 50, 139–144. [Google Scholar] [CrossRef]
- Han, K.T.; Kim, H.R.; Moon, T.W.; Choi, S.J. Isothermal and temperature-cycling retrogradation of high-amylose corn starch: Impact of sonication on its structural and retrogradation properties. Ultrason. Sonochem. 2021, 76, 105650. [Google Scholar] [CrossRef]
- Sobolewska-Zielińska, J.; Fortuna, T. Retrogradation of starches and maltodextrins of various origin. Acta Sci. Pol. Technol. Aliment. 2010, 9, 71–81. [Google Scholar]
- Dobosz, A.; Sikora, M.; Krystyjan, M.; Tomasik, P.; Lach, R.; Borczak, B.; Berski, W.; Lukasiewicz, M. Short- and long-term retrogradation of potato starches with varying amylose content. J. Sci. Food Agric. 2019, 99, 2393–2403. [Google Scholar] [CrossRef]
- Achayuthakan, P.; Suphantharika, M. Pasting and rheological properties of waxy corn starch as affected by guar gum and xanthan gum. Carbohydr. Polym. 2008, 71, 9–17. [Google Scholar] [CrossRef]
- Banchathanakij, R.; Suphantharika, M. Effect of different β-glucans on the gelatinisation and retrogradation of rice starch. Food Chem. 2009, 114, 5–14. [Google Scholar] [CrossRef]
- George, J.; Nair, S.G.; Kumar, R.; Semwal, A.D.; Sudheesh, C.; Basheer, A.; Sunooj, K.V. A new insight into the effect of starch nanocrystals in the retrogradation properties of starch. Food Hydrocoll. Health 2021, 1, 100009. [Google Scholar] [CrossRef]
- Kumar, S.R.; Tangsrianugul, N.; Sriprablom, J.; Wongsagonsup, R.; Wansuksri, R.; Suphantharika, M. Effect of heat-moisture treatment on the physicochemical properties and digestibility of proso millet flour and starch. Carbohydr. Polym. 2023, 307, 120630. [Google Scholar] [CrossRef] [PubMed]
- Wongsagonsup, R.; Nateelerdpaisan, T.; Gross, C.; Suphantharika, M.; Belur, P.D.; Agoo, E.M.G.; Janairo, J.I.B. Physicochemical properties and in vitro digestibility of flours and starches from taro cultivated in different regions of Thailand. Int. J. Food Sci. Technol. 2021, 56, 2395–2406. [Google Scholar] [CrossRef]
- Huang, J.; Shang, Z.; Man, J.; Liu, Q.; Zhu, C.; Wei, C. Comparison of molecular structures and functional properties of high-anylose starches from rice transgenic line and commercial maize. Food Hydrocoll. 2015, 46, 172–179. [Google Scholar] [CrossRef]
- Pan, L.; Chen, F.; Yang, Y.; Li, Q.; Fan, X.; Zhao, D.; Liu, Q.; Zhang, C. The underlying starch structures of rice grains with different digestibilities but similarly high amylose contents. Food Chem. 2022, 379, 132071. [Google Scholar] [CrossRef]
- Lehmann, U.; Robin, F. Slowly digestible starch—Its structure and health implications: A review. Trends Food Sci. Technol. 2007, 18, 346–355. [Google Scholar] [CrossRef]
- Goux, A.; Breyton, A.-E.; Meynier, A.; Lambert-Porcheron, S.; Sothier, M.; Berghe, L.V.D.; Brack, O.; Normand, S.; Disse, E.; Laville, M.; et al. Design and validation of a diet rich in slowly digestible starch for type 2 diabetic patients for significant improvement in glycemic profile. Nutrients 2020, 12, 2404. [Google Scholar] [CrossRef] [PubMed]
- Kasprzak, M.M.; Macnaughtan, W.; Harding, S.; Wilde, P.; Wolf, B. Stabilisation of oil-in-water emulsions with non-chemical modified gelatinised starch. Food Hydrocoll. 2018, 81, 409–418. [Google Scholar] [CrossRef] [PubMed]
- Cheng, F.; Ai, Y.; Ghosh, S. Utilization of octenyl succinic anhydride-modified pea and corn starches for stabilizing oil-in-water emulsions. Food Hydrocoll. 2021, 118, 106773. [Google Scholar] [CrossRef]
- Latt, S.S.; Patomchaiviwat, V.; Sriamornsak, P.; Piriyaprasarth, S. Modification of pineapple starch from stem and rhizome using multiple desired response optimization and its characterization. Pharm. Sci. Asia 2019, 46, 206–217. [Google Scholar] [CrossRef]






| Sample | Amylose Content (%) | Syneresis (%) | ||||
|---|---|---|---|---|---|---|
| 1 Cycle | 2 Cycles | 3 Cycles | 4 Cycles | 5 Cycles | ||
| Pineapple stem | 30.82 ± 0.85 a | 19.52 ± 0.83 aD | 29.76 ± 0.77 aC | 51.52 ± 0.96 aB | 53.21 ± 0.74 aA | 53.39 ± 0.93 aA |
| Cassava | 18.98 ± 0.22 d | nd * | 3.82 ± 0.30 dD | 13.21 ± 0.84 dC | 21.40 ± 0.84 dB | 23.16 ± 0.86 dA |
| Corn | 22.88 ± 0.23 b | 4.15 ± 0.13 cD | 20.79 ± 0.46 bC | 31.21 ± 1.06 bB | 40.98 ± 0.59 bA | 41.13 ± 0.41 bA |
| Rice | 21.46 ± 0.32 c | 7.87 ± 0.27 bE | 16.07 ± 0.65 cD | 29.07 ± 0.66 cC | 33.28 ± 0.53 cB | 35.37 ± 0.74 cA |
| Sample | Peak Viscosity (RVU) | Trough (RVU) | Breakdown (RVU) | Final Viscosity (RVU) | Setback (RVU) | Pasting Temperature (°C) |
|---|---|---|---|---|---|---|
| Pineapple stem | 15.78 ± 0.13 d | 8.47 ± 0.13 d | 7.31 ± 0.05 b | 10.53 ± 0.48 d | 2.06 ± 0.38 d | 90.22 ± 0.53 a |
| Cassava | 111.61 ± 1.47 a | 57.06 ± 0.49 a | 54.55 ± 1.10 a | 98.17 ± 0.60 a | 41.11 ± 0.50 a | 70.86 ± 0.29 c |
| Corn | 57.06 ± 0.96 b | 49.61 ± 0.79 b | 7.45 ± 0.13 b | 57.53 ± 0.42 c | 7.92 ± 0.44 c | 81.84 ± 0.82 b |
| Rice | 40.55 ± 0.48 c | 37.64 ± 0.48 c | 2.91 ± 0.00 c | 67.47 ± 0.73 b | 29.83 ± 0.30 b | 82.87 ± 0.83 b |
| Sample | Native Starch | Retrograded Starch * | Retrogradation (%) ** | ||||||
|---|---|---|---|---|---|---|---|---|---|
| To (°C) | Tp (°C) | Tc (°C) | ΔHgel (J/g) | To (°C) | Tp (°C) | Tc (°C) | ΔHret (J/g) | ||
| Pineapple stem | 83.77 ± 0.09 a | 86.53 ± 0.13 a | 90.90 ± 0.15 a | 17.24 ± 0.10 a | 42.35 ± 0.95 a | 59.68 ± 0.45 a | 70.45 ± 0.60 a | 7.94 ± 0.07 a | 46.07 ± 0.43 a |
| Cassava | 63.23 ± 0.22 d | 68.59 ± 0.09 d | 75.80 ± 0.23 d | 15.48 ± 0.12 b | 39.20 ± 0.11 b | 53.67 ± 0.34 b | 68.02 ± 0.69 b | 2.98 ± 0.03 d | 19.23 ± 0.18 d |
| Corn | 70.29 ± 0.23 b | 74.08 ± 0.25 c | 78.83 ± 0.35 c | 14.33 ± 0.25 c | 41.50 ± 0.27 a | 52.09 ± 0.42 c | 64.23 ± 0.11 c | 5.26 ± 0.02 b | 36.71 ± 0.68 b |
| Rice | 64.91 ± 0.37 c | 76.24 ± 0.08 b | 80.89 ± 0.46 b | 11.12 ± 0.55 d | 41.75 ± 0.29 a | 52.30 ± 0.27 c | 63.40 ± 0.17 d | 3.86 ± 0.13 c | 34.73 ± 0.81 c |
| Sample | Hysteresis Area (Pa/s) | σ0 (Pa) | K (Pa.sn) | n (−) | R2 |
|---|---|---|---|---|---|
| Pineapple stem | 1850 ± 65.77 d | 6.51 ± 1.49 c | 2.017 ± 0.66 d | 0.614 ± 0.03 a | 0.987 |
| Cassava | 8941 ± 802.53 c | 1.70 ± 0.22 d | 7.608 ± 0.06 a | 0.295 ± 0.03 d | 0.978 |
| Corn | 34,950 ± 2126.62 b | 45.00 ± 1.78 b | 4.673 ± 0.40 b | 0.495 ± 0.01 c | 0.962 |
| Rice | 50,246 ± 2289.46 a | 56.40 ± 1.78 a | 3.153 ± 0.43 c | 0.536 ± 0.01 b | 0.960 |
| Sample | RDS (%) | SDS (%) | RS (%) |
|---|---|---|---|
| Pineapple stem | 35.38 ± 0.71 d | 48.84 ± 0.63 a | 15.77 ± 1.04 a |
| Cassava | 79.34 ± 0.16 a | 16.94 ± 0.86 d | 3.72 ± 0.70 c |
| Corn | 66.77 ± 0.24 b | 31.02 ± 0.27 b | 2.21 ± 0.39 d |
| Rice | 63.24 ± 0.24 c | 28.32 ± 0.39 c | 8.45 ± 0.63 b |
Disclaimer/Publisher’s Note: The statements, opinions and data contained in all publications are solely those of the individual author(s) and contributor(s) and not of MDPI and/or the editor(s). MDPI and/or the editor(s) disclaim responsibility for any injury to people or property resulting from any ideas, methods, instructions or products referred to in the content. |
© 2023 by the authors. Licensee MDPI, Basel, Switzerland. This article is an open access article distributed under the terms and conditions of the Creative Commons Attribution (CC BY) license (https://creativecommons.org/licenses/by/4.0/).
Share and Cite
Sriprablom, J.; Suphantharika, M.; Smith, S.M.; Amornsakchai, T.; Pinyo, J.; Wongsagonsup, R. Physicochemical, Rheological, In-Vitro Digestibility, and Emulsifying Properties of Starch Extracted from Pineapple Stem Agricultural Waste. Foods 2023, 12, 2028. https://doi.org/10.3390/foods12102028
Sriprablom J, Suphantharika M, Smith SM, Amornsakchai T, Pinyo J, Wongsagonsup R. Physicochemical, Rheological, In-Vitro Digestibility, and Emulsifying Properties of Starch Extracted from Pineapple Stem Agricultural Waste. Foods. 2023; 12(10):2028. https://doi.org/10.3390/foods12102028
Chicago/Turabian StyleSriprablom, Jiratthitikan, Manop Suphantharika, Siwaporn Meejoo Smith, Taweechai Amornsakchai, Jukkrapong Pinyo, and Rungtiwa Wongsagonsup. 2023. "Physicochemical, Rheological, In-Vitro Digestibility, and Emulsifying Properties of Starch Extracted from Pineapple Stem Agricultural Waste" Foods 12, no. 10: 2028. https://doi.org/10.3390/foods12102028
APA StyleSriprablom, J., Suphantharika, M., Smith, S. M., Amornsakchai, T., Pinyo, J., & Wongsagonsup, R. (2023). Physicochemical, Rheological, In-Vitro Digestibility, and Emulsifying Properties of Starch Extracted from Pineapple Stem Agricultural Waste. Foods, 12(10), 2028. https://doi.org/10.3390/foods12102028

