A Multi-Medium Analysis of Human Health Risk of Toxic Elements in Rice-Crayfish System: A Case Study from Middle Reach of Yangtze River, China
Abstract
:1. Introduction
2. Materials and Methods
2.1. Study Area and Experiment Design
2.2. Sample Collection and Analysis
2.3. Health Risk Assessment Methods
2.3.1. The Estimated Daily Intake (EDI)
2.3.2. Non-Carcinogenic Risk Assessment
2.3.3. Carcinogenic Risk Assessment
2.4. Statistical Analysis
3. Results and Discussion
3.1. Physical and Chemical Properties of Soil
3.2. Toxic Element Levels in Rice-Crayfish System
3.2.1. Levels of Toxic Elements in Topsoil
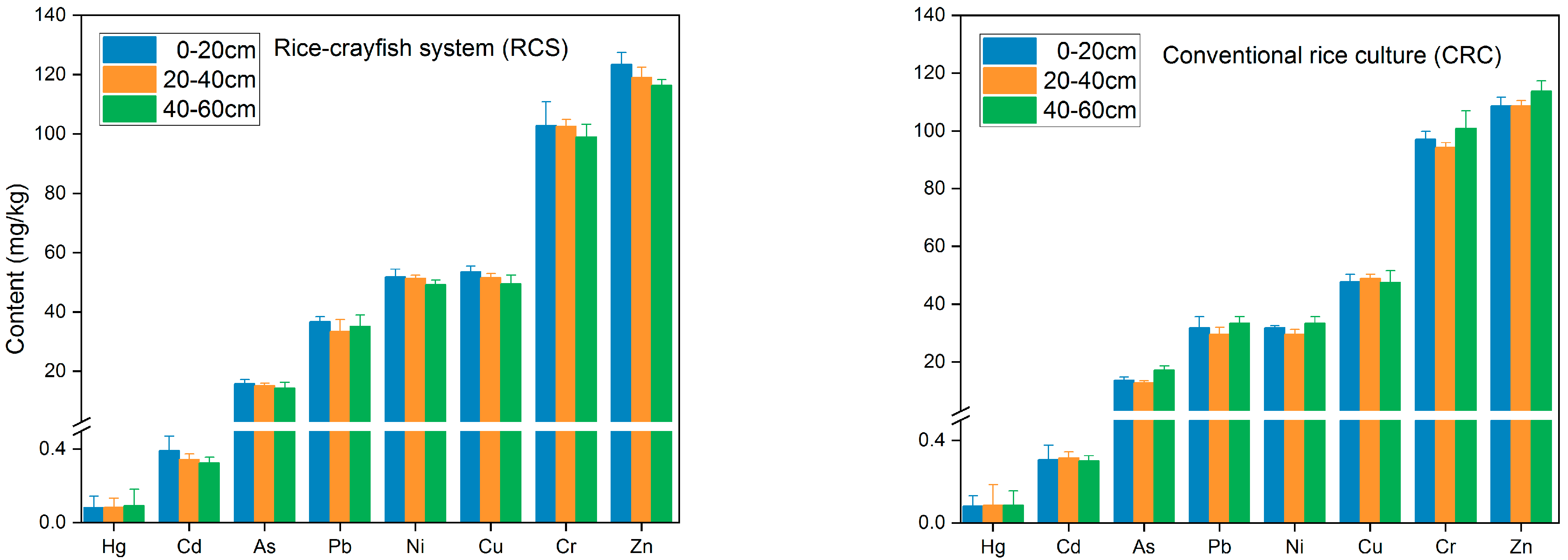
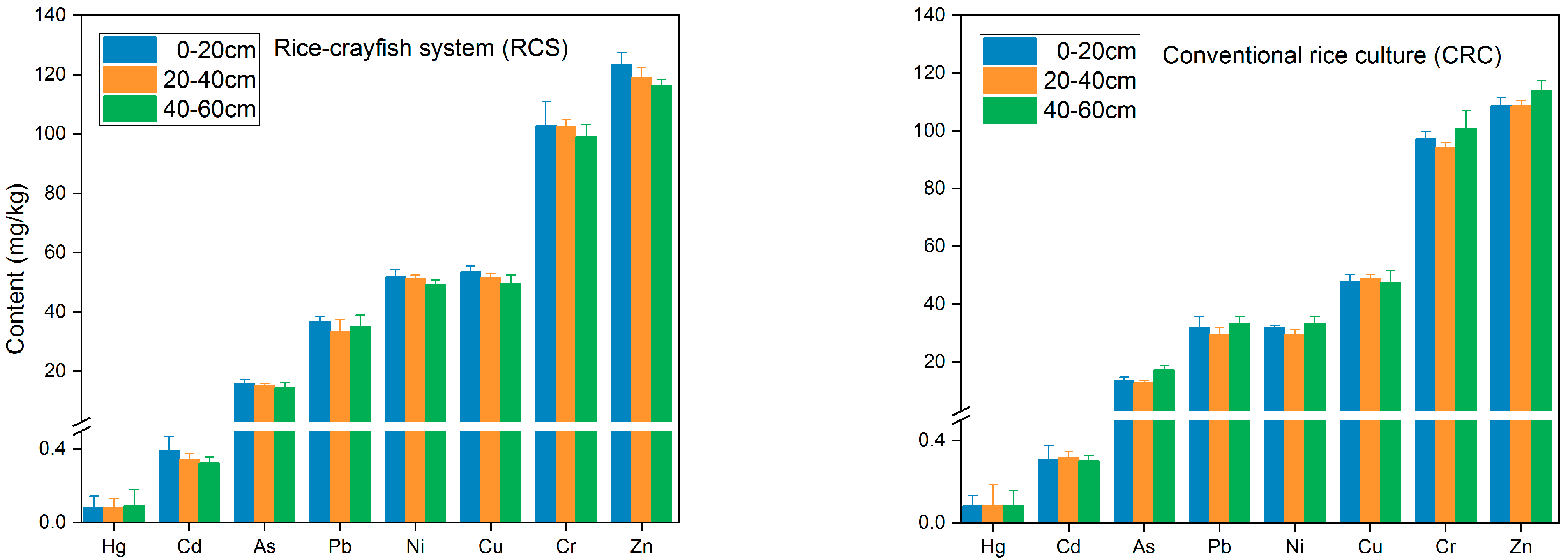
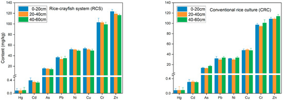
3.2.2. Vertical Distribution of Toxic Elements in Soil
3.3. Toxic Element Levels in Edible Parts
3.4. Potential Sources of Toxic Elements in Soil
3.4.1. Correlation Analysis
3.4.2. Principal Component Analysis
3.5. Potential Health Risk Assessment of Toxic Elements
3.5.1. The Estimated Daily Intake
3.5.2. Non-Carcinogenic Risk
3.5.3. Carcinogenic Risk
4. Conclusions
Supplementary Materials
Author Contributions
Funding
Institutional Review Board Statement
Informed Consent Statement
Data Availability Statement
Conflicts of Interest
References
- Anandkumar, A.; Li, J.; Prabakaran, K.; Jia, Z.X.; Leng, Z.; Nagarajan, R.; Du, D. Accumulation of toxic elements in an invasive crayfish species (Procambarus clarkii) and its health risk assessment to humans. J. Food Compos. Anal. 2020, 88, 103449. [Google Scholar] [CrossRef]
- Chen, H.; Teng, Y.; Lu, S.; Wang, Y.; Wang, J. Contamination features and health risk of soil heavy metals in China. Sci. Total Environ. 2015, 512–513, 143–153. [Google Scholar] [CrossRef] [PubMed]
- Li, X. Technical solutions for the safe utilization of heavy metal-contaminated farmland in China: A critical review. Land Degrad. Dev. 2019, 30, 1773–1784. [Google Scholar] [CrossRef]
- Li, X.; Liu, T.; Chang, C.; Lei, Y.; Mao, X. Analytical Methodologies for Agrometallomics: A Critical Review. J. Agric. Food Chem. 2021, 69, 6100–6118. [Google Scholar] [CrossRef]
- Yi, S.; Li, Y.; Shi, L.; Zhang, L.; Li, Q.; Chen, J. Characterization of Population Genetic Structure of red swamp crayfish, Procambarus clarkii, in China. Sci. Rep. 2018, 8, 5586. [Google Scholar] [CrossRef] [Green Version]
- Tan, Y.; Peng, B.; Wu, Y.; Xiong, L.; Sun, J.; Peng, G.; Bai, X. Human health risk assessment of toxic heavy metal and metalloid intake via consumption of red swamp crayfish (Procambarus clarkii) from rice-crayfish co-culture fields in China. Food Control 2021, 128, 108181. [Google Scholar] [CrossRef]
- Si, G.; Yuan, J.; Xu, X.; Zhao, S.; Peng, C.; Wu, J.; Zhou, Z. Effects of an integrated rice-crayfish farming system on soil organic carbon, enzyme activity, and microbial diversity in waterlogged paddy soil. Acta Ecol. Sin. 2018, 38, 29–35. [Google Scholar] [CrossRef]
- Huang, Y.; Wang, L.; Wang, W.; Li, T.; He, Z.; Yang, X. Current status of agricultural soil pollution by heavy metals in China: A meta-analysis. Sci. Total Environ. 2019, 651, 3034–3042. [Google Scholar] [CrossRef]
- Khoshnevisan, B.; Bashir, M.A.; Sun, Q.; Pan, J.; Wang, H.; Xu, Y.; Duan, N.; Liu, H. Optimal rice-crab co-culture system as a new paradigm to air-water-food nexus sustainability. J. Clean. Prod. 2021, 291, 125936. [Google Scholar] [CrossRef]
- Yuan, P.; Wang, J.; Li, C.; Xiao, Q.; Liu, Q.; Sun, Z.; Wang, J.; Cao, C. Soil quality indicators of integrated rice-crayfish farming in the Jianghan Plain, China using a minimum data set. Soil Tillage Res. 2020, 204, 104732. [Google Scholar] [CrossRef]
- Xie, J.; Hu, L.; Tang, J.; Wu, X.; Li, N.; Yuan, Y.; Yang, H.; Zhang, J.; Luo, S.; Chen, X. Ecological mechanisms underlying the sustainability of the agricultural heritage rice–fish coculture system. Proc. Natl. Acad. Sci. USA 2011, 108, E1381–E1387. [Google Scholar] [CrossRef] [PubMed] [Green Version]
- Braun, G.; Braun, M.; Kruse, J.; Amelung, W.; Renaud, F.G.; Khoi, C.M.; Duong, M.V.; Sebesvari, Z. Pesticides and antibiotics in permanent rice, alternating rice-shrimp and permanent shrimp systems of the coastal Mekong Delta, Vietnam. Environ. Int. 2019, 127, 442–451. [Google Scholar] [CrossRef] [PubMed]
- Hu, N.; Liu, C.; Chen, Q.; Zhu, L. Life cycle environmental impact assessment of rice-crayfish integrated system: A case study. J. Clean. Prod. 2021, 280, 124440. [Google Scholar] [CrossRef]
- Xiong, B.; Xu, T.; Li, R.; Johnson, D.; Ren, D.; Liu, H.; Xi, Y.; Huang, Y. Heavy metal accumulation and health risk assessment of crayfish collected from cultivated and uncultivated ponds in the Middle Reach of Yangtze River. Sci. Total Environ. 2020, 739, 139963. [Google Scholar] [CrossRef] [PubMed]
- Luo, M.; Yu, H.; Liu, Q.; Lan, W.; Ye, Q.; Niu, Y.; Niu, Y. Effect of river-lake connectivity on heavy metal diffusion and source identification of heavy metals in the middle and lower reaches of the Yangtze River. J. Hazard. Mater. 2021, 416, 125818. [Google Scholar] [CrossRef] [PubMed]
- Liu, C.; Hu, N.; Song, W.; Chen, Q.; Zhu, L. Aquaculture Feeds Can Be Outlaws for Eutrophication When Hidden in Rice Fields? A Case Study in Qianjiang, China. Int. J. Environ. Res. Public Health 2019, 16, 4471. [Google Scholar] [CrossRef] [Green Version]
- Dai, S.; Li, H.; Yang, Z.; Dai, M.; Dong, X.; Ge, X.; Sun, M.; Shi, L. Effects of biochar amendments on speciation and bioavailability of heavy metals in coal-mine-contaminated soil. Hum. Ecol. Risk Assess. Int. J. 2018, 24, 1887–1900. [Google Scholar] [CrossRef]
- US EPA. Risk Assessment Guidance for Superfund (RAGS) Volume III—Part a: Process for Conducting Probabilistic Risk Assessment; USEPA: Washington, DC, USA, 2001.
- Huang, J.; Wu, Y.; Sun, J.; Li, X.; Geng, X.; Zhao, M.; Sun, T.; Fan, Z. Health risk assessment of heavy metal(loid)s in park soils of the largest megacity in China by using Monte Carlo simulation coupled with Positive matrix factorization model. J. Hazard. Mater. 2021, 415, 125629. [Google Scholar] [CrossRef]
- Zeng, F.; Ali, S.; Zhang, H.; Ouyang, Y.; Qiu, B.; Wu, F.; Zhang, G. The influence of pH and organic matter content in paddy soil on heavy metal availability and their uptake by rice plants. Environ. Pollut. 2011, 159, 84–91. [Google Scholar] [CrossRef]
- Antoniadis, V.; Levizou, E.; Shaheen, S.M.; Ok, Y.S.; Sebastian, A.; Baum, C.; Prasad, M.N.V.; Wenzel, W.W.; Rinklebe, J. Trace elements in the soil-plant interface: Phytoavailability, translocation, and phytoremediation—A review. Earth-Sci. Rev. 2017, 171, 621–645. [Google Scholar] [CrossRef]
- Liu, X.; Xu, G.; Wang, Q.; Hang, Y. Effects of Insect-Proof Net Cultivation, Rice-Duck Farming, and Organic Matter Return on Rice Dry Matter Accumulation and Nitrogen Utilization. Front. Plant Sci. 2017, 8, 47. [Google Scholar] [CrossRef] [PubMed] [Green Version]
- Yao, B.-M.; Chen, P.; Zhang, H.-M.; Sun, G.-X. A predictive model for arsenic accumulation in rice grains based on bioavailable arsenic and soil characteristics. J. Hazard. Mater. 2021, 412, 125131. [Google Scholar] [CrossRef] [PubMed]
- Baltas, H.; Sirin, M.; Gökbayrak, E.; Ozcelik, A.E. A case study on pollution and a human health risk assessment of heavy metals in agricultural soils around Sinop province, Turkey. Chemosphere 2020, 241, 125015. [Google Scholar] [CrossRef] [PubMed]
- Kabata-Pendias, A. Trace Elements in Soils and Plants; CRC Press: Boca Raton, FL, USA, 2000. [Google Scholar]
- Li, H.; Yang, Z.; Dai, M.; Diao, X.; Dai, S.; Fang, T.; Dong, X. Input of Cd from agriculture phosphate fertilizer application in China during 2006–2016. Sci. Total Environ. 2020, 698, 134149. [Google Scholar] [CrossRef] [PubMed]
- Yuan, X.; Xue, N.; Han, Z. A meta-analysis of heavy metals pollution in farmland and urban soils in China over the past 20 years. J. Environ. Sci. 2021, 101, 217–226. [Google Scholar] [CrossRef] [PubMed]
- Zhou, Y.; Niu, L.; Liu, K.; Yin, S.; Liu, W. Arsenic in agricultural soils across China: Distribution pattern, accumulation trend, influencing factors, and risk assessment. Sci. Total Environ. 2018, 616, 156–163. [Google Scholar] [CrossRef]
- Palansooriya, K.N.; Shaheen, S.M.; Chen, S.S.; Tsang, D.C.W.; Hashimoto, Y.; Hou, D.; Bolan, N.S.; Rinklebe, J.; Ok, Y.S. Soil amendments for immobilization of potentially toxic elements in contaminated soils: A critical review. Environ. Int. 2020, 134, 105046. [Google Scholar] [CrossRef]
- Majumder, S.; Banik, P. Geographical variation of arsenic distribution in paddy soil, rice and rice-based products: A meta-analytic approach and implications to human health. J. Environ. Manag. 2019, 233, 184–199. [Google Scholar] [CrossRef]
- Upadhyay, A.K.; Singh, N.K.; Singh, R.; Rai, U.N. Amelioration of arsenic toxicity in rice: Comparative effect of inoculation of Chlorella vulgaris and Nannochloropsis sp. on growth, biochemical changes and arsenic uptake. Ecotoxicol. Environ. Saf. 2016, 124, 68–73. [Google Scholar] [CrossRef]
- Hu, B.; Shao, S.; Ni, H.; Fu, Z.; Hu, L.; Zhou, Y.; Min, X.; She, S.; Chen, S.; Huang, M.; et al. Current status, spatial features, health risks, and potential driving factors of soil heavy metal pollution in China at province level. Environ. Pollut. 2020, 266, 114961. [Google Scholar] [CrossRef]
- Lin, C.-Y.; Trinh, N.N.; Fu, S.-F.; Hsiung, Y.-C.; Chia, L.-C.; Lin, C.-W.; Huang, H.-J. Comparison of early transcriptome responses to copper and cadmium in rice roots. Plant Mol. Biol. 2013, 81, 507–522. [Google Scholar] [CrossRef] [PubMed]
- El-Naggar, A.; Ahmed, N.; Mosa, A.; Niazi, N.K.; Yousaf, B.; Sharma, A.; Sarkar, B.; Cai, Y.; Chang, S.X. Nickel in soil and water: Sources, biogeochemistry, and remediation using biochar. J. Hazard. Mater. 2021, 419, 126421. [Google Scholar] [CrossRef] [PubMed]
- Lv, J.; Wang, Y. Multi-scale analysis of heavy metals sources in soils of Jiangsu Coast, Eastern China. Chemosphere 2018, 212, 964–973. [Google Scholar] [CrossRef] [PubMed]
- Citeau, L.; Lamy, I.; van Oort, F.; Elsass, F. Colloidal facilitated transfer of metals in soils under different land use. Colloids Surf. A Physicochem. Eng. Asp. 2003, 217, 11–19. [Google Scholar] [CrossRef]
- Ni, R.; Ma, Y. Current inventory and changes of the input/output balance of trace elements in farmland across China. PLoS ONE 2018, 13, e0199460. [Google Scholar] [CrossRef] [Green Version]
- Kuklina, I.; Kouba, A.; Kozák, P. Real-time monitoring of water quality using fish and crayfish as bio-indicators: A review. Environ. Monit. Assess. 2013, 185, 5043–5053. [Google Scholar] [CrossRef]
- Uriu-Adams, J.Y.; Keen, C.L. Copper, oxidative stress, and human health. Mol. Asp. Med. 2005, 26, 268–298. [Google Scholar] [CrossRef]
- Peng, G.; Sun, J.; Peng, B.; Tan, Y.; Wu, Y.; Bai, X. Assessment of essential element accumulation in red swamp crayfish (Procambarus clarkii) and the highly efficient selenium enrichment in freshwater animals. J. Food Compos. Anal. 2021, 101, 103953. [Google Scholar] [CrossRef]
- Kouba, A.; Buřič, M.; Kozák, P. Bioaccumulation and Effects of Heavy Metals in Crayfish: A Review. Water Air Soil Pollut. 2010, 211, 5–16. [Google Scholar] [CrossRef]
- Peng, Q.; Nunes, L.M.; Greenfield, B.K.; Dang, F.; Zhong, H. Are Chinese consumers at risk due to exposure to metals in crayfish? A bioaccessibility-adjusted probabilistic risk assessment. Environ. Int. 2016, 88, 261–268. [Google Scholar] [CrossRef] [Green Version]
- Zhao, Q.; Wang, Y.; Cao, Y.; Chen, A.; Ren, M.; Ge, Y.; Yu, Z.; Wan, S.; Hu, A.; Bo, Q.; et al. Potential health risks of heavy metals in cultivated topsoil and grain, including correlations with human primary liver, lung and gastric cancer, in Anhui province, Eastern China. Sci. Total Environ. 2014, 470–471, 340–347. [Google Scholar] [CrossRef] [PubMed]
- Zeng, F.; Wei, W.; Li, M.; Huang, R.; Yang, F.; Duan, Y. Heavy Metal Contamination in Rice-Producing Soils of Hunan Province, China and Potential Health Risks. Int. J. Environ. Res. Public Health 2015, 12, 5005. [Google Scholar] [CrossRef]
- Zhang, C.; Shan, B.; Tang, W.; Dong, L.; Zhang, W.; Pei, Y. Heavy metal concentrations and speciation in riverine sediments and the risks posed in three urban belts in the Haihe Basin. Ecotoxicol. Environ. Saf. 2017, 139, 263–271. [Google Scholar] [CrossRef] [PubMed]
- Zhang, Y.; Chen, M.; Zhao, Y.-Y.; Zhang, A.-Y.; Peng, D.-H.; Lu, F.; Dai, C.-C. Destruction of the soil microbial ecological environment caused by the over-utilization of the rice-crayfish co-cropping pattern. Sci. Total Environ. 2021, 788, 147794. [Google Scholar] [CrossRef] [PubMed]
- WHO. World Health Organization Guidelines for Assessing Quality of Herbal Medicines with Reference to Contaminants and Residues; World Health Organization: Geneva, Switzerland, 2007.
- Hu, B.; Jia, X.; Hu, J.; Xu, D.; Xia, F.; Li, Y. Assessment of Heavy Metal Pollution and Health Risks in the Soil-Plant-Human System in the Yangtze River Delta, China. Int. J. Environ. Res. Public Health 2017, 14, 1042. [Google Scholar] [CrossRef] [PubMed] [Green Version]
- Lü, Q.; Xiao, Q.; Wang, Y.; Wen, H.; Han, B.; Zheng, X.; Lin, R. Risk assessment and hotspots identification of heavy metals in rice: A case study in Longyan of Fujian province, China. Chemosphere 2021, 270, 128626. [Google Scholar] [CrossRef] [PubMed]
- Hull, E.A.; Barajas, M.; Burkart, K.A.; Fung, S.R.; Jackson, B.P.; Barrett, P.M.; Neumann, R.B.; Olden, J.D.; Gawel, J.E. Human health risk from consumption of aquatic species in arsenic-contaminated shallow urban lakes. Sci. Total Environ. 2021, 770, 145318. [Google Scholar] [CrossRef] [PubMed]
- Li, T.; Song, Y.; Yuan, X.; Li, J.; Ji, J.; Fu, X.; Zhang, Q.; Guo, S. Incorporating Bioaccessibility into Human Health Risk Assessment of Heavy Metals in Rice (Oryza sativa L.): A Probabilistic-Based Analysis. J. Agric. Food Chem. 2018, 66, 5683–5690. [Google Scholar] [CrossRef]
- Wei, R.; Wang, X.; Tang, W.; Yang, Y.; Gao, Y.; Zhong, H.; Yang, L. Bioaccumulations and potential human health risks assessment of heavy metals in ppk-expressing transgenic rice. Sci. Total Environ. 2020, 710, 136496. [Google Scholar] [CrossRef]







| As | Hg | Cr | Cu | Ni | Zn | Cd | Pb | ||
|---|---|---|---|---|---|---|---|---|---|
| Rice-crayfish system (RCS) | Minimum | 8.72 | 0.06 | 82.70 | 35.10 | 37.30 | 86.90 | 0.23 | 28.00 |
| Maximum | 20.60 | 0.21 | 107.30 | 55.40 | 54.20 | 129.50 | 0.48 | 40.50 | |
| Median | 14.71 | 0.08 | 98.50 | 50.45 | 48.65 | 115.10 | 0.39 | 36.65 | |
| Mean | 14.98 | 0.08 | 97.84 | 49.93 | 48.13 | 114.57 | 0.38 | 35.97 | |
| SD | 2.02 | 0.02 | 5.42 | 3.77 | 3.62 | 8.45 | 0.04 | 2.59 | |
| CV (%) | 13.46 | 18.35 | 5.54 | 7.54 | 7.51 | 7.37 | 10.77 | 7.19 | |
| Conventional rice culture (CRC) | Minimum | 11.47 | 0.07 | 90.40 | 47.10 | 44.20 | 104.60 | 0.35 | 30.70 |
| Maximum | 13.72 | 0.32 | 97.10 | 51.30 | 47.60 | 111.20 | 0.42 | 34.50 | |
| Median | 13.14 | 0.08 | 93.50 | 49.60 | 46.40 | 108.50 | 0.39 | 32.80 | |
| Mean | 12.99 | 0.10 | 93.90 | 49.50 | 46.11 | 108.67 | 0.39 | 32.60 | |
| SD | 0.58 | 0.07 | 2.03 | 1.23 | 1.14 | 2.13 | 0.02 | 1.07 | |
| CV (%) | 0.04 | 0.68 | 0.02 | 0.02 | 0.02 | 0.02 | 0.05 | 0.03 | |
| Background value a | 9.00 | 0.03 | 66.5 | 20.4 | 29.8 | 62 | 0.10 | 26.6 | |
| Safety limits b | 25 | 0.5 | 200 | 100 | 90 | 250 | 0.45 | 80 | |
| Soils in China c | 8.89 | 0.07 | 67.37 | 25.81 | 27.77 | 85.86 | 0.19 | 30.74 | |
| As | Cd | Cr | Cu | Hg | Ni | Pb | Zn | ||
|---|---|---|---|---|---|---|---|---|---|
| Crayfish | |||||||||
| Tail muscle | 0.134 | 0.001 | 0.066 | 2.623 | 0.086 | 0.024 | 0.035 | 11.767 | |
| Maximum permissible limits for metals by China EPA | 0.15 | 0.20 | 1.00 | - | 0.02 | - | 0.20 | - | |
| Maximum permissible limits for Metals by the WHO | 1.00 | 0.40 | - | - | 0.02 | - | 0.20 | - | |
| Rice grain | |||||||||
| RCS | 0.040 | 0.025 | 0.068 | 3.120 | 0.010 | 0.183 | 0.035 | 11.230 | |
| CRC | 0.067 | 0.023 | 0.077 | 3.197 | 0.005 | 0.097 | 0.038 | 10.963 | |
| TFgrain/soil | RCS | 0.003 | 0.066 | 0.001 | 0.062 | 0.125 | 0.004 | 0.001 | 0.098 |
| CRC | 0.005 | 0.059 | 0.001 | 0.065 | 0.050 | 0.002 | 0.001 | 0.101 | |
| Soil from CRC (Conventional Rice Culture) | |||||||||
| pH | As | Hg | Cr | Cu | Ni | Zn | Cd | Pb | |
| pH | 1 | ||||||||
| As | −0.101 | 1 | |||||||
| Hg | −0.069 | 0.231 | 1 | ||||||
| Cr | −0.072 | 0.741 ** | −0.148 | 1 | |||||
| Cu | −0.207 | 0.761 ** | −0.086 | 0.715 ** | 1 | ||||
| Ni | −0.233 | 0.720 ** | −0.021 | 0.868 ** | 0.671 * | 1 | |||
| Zn | −0.063 | 0.914 ** | 0.079 | 0.861 ** | 0.720 ** | 0.836 ** | 1 | ||
| Cd | −0.336 | 0.141 | −0.017 | 0.173 | 0.293 | 0.094 | 0.267 | 1 | |
| Pb | 0.148 | 0.223 | 0.244 | 0.122 | 0.307 | −0.121 | 0.254 | 0.427 | 1 |
| Soil from RCS (Rice–crayfish system) | |||||||||
| pH | 1 | ||||||||
| As | 0.146 | 1 | |||||||
| Hg | −0.094 | 0.273 ** | 1 | ||||||
| Cr | −0.139 | 0.788 ** | 0.335 ** | 1 | |||||
| Cu | −0.130 | 0.748 ** | 0.375 ** | 0.884 ** | 1 | ||||
| Ni | −0.099 | 0.826 ** | 0.386 ** | 0.962 ** | 0.913 ** | 1 | |||
| Zn | −0.090 | 0.803 ** | 0.411 ** | 0.923 ** | 0.927 ** | 0.963 ** | 1 | ||
| Cd | 0.086 | 0.318 ** | 0.292 ** | 0.335 ** | 0.532 ** | 0.406 ** | 0.510 ** | 1 | |
| Pb | −0.134 | 0.785 ** | 0.427 ** | 0.848 ** | 0.793 ** | 0.864 ** | 0.856 ** | 0.325 ** | 1 |
| Component | Initial Eigenvalues | Extraction Sums of Squared Loadings | Rotation Sums of Squared Loadings | |||||||
| Total | % of Variance | Cumulative % | Total | % of Variance | Cumulative % | Total | % of Variance | Cumulative % | ||
| 1 | 4.240 | 53.005 | 53.005 | 4.240 | 53.005 | 53.005 | 4.092 | 51.156 | 51.156 | |
| 2 | 1.497 | 18.709 | 71.714 | 1.497 | 18.709 | 71.714 | 1.559 | 19.484 | 70.640 | |
| 3 | 1.098 | 13.728 | 85.442 | 1.098 | 13.728 | 85.442 | 1.184 | 14.802 | 85.442 | |
| 4 | 0.560 | 6.998 | 92.441 | |||||||
| 5 | 0.307 | 3.836 | 96.276 | |||||||
| 6 | 0.204 | 2.554 | 98.831 | |||||||
| 7 | 0.081 | 1.008 | 99.839 | |||||||
| 8 | 0.013 | 0.161 | 100.000 | |||||||
| Metals | Component Matrix a | Rotated Component Matrix a | ||||||||
| PC1 | PC2 | PC3 | PC1 | PC2 | PC3 | |||||
| Zn | 0.961 | 0.002 | 0.079 | 0.940 | 0.186 | 0.101 | ||||
| Cr | 0.911 | −0.215 | −0.102 | 0.931 | −0.143 | −0.072 | ||||
| As | 0.909 | 0.030 | 0.268 | 0.925 | 0.069 | −0.160 | ||||
| Ni | 0.871 | −0.358 | 0.073 | 0.899 | 0.113 | 0.281 | ||||
| Cu | 0.860 | 0.058 | −0.159 | 0.812 | 0.319 | −0.088 | ||||
| Pb | 0.264 | 0.846 | −0.090 | 0.124 | 0.832 | −0.175 | ||||
| Cd | 0.305 | 0.612 | −0.521 | 0.067 | 0.831 | 0.314 | ||||
| Hg | 0.036 | 0.478 | 0.837 | −0.004 | 0.044 | 0.963 | ||||
| Cr | Ni | Cu | Zn | As | Cd | Hg | Pb | |||
|---|---|---|---|---|---|---|---|---|---|---|
| RCS | Rice | Children | 0.65 | 1.76 | 29.95 | 107.81 | 0.38 | 0.24 | 0.10 | 0.34 |
| Adults | 0.33 | 0.88 | 15.02 | 54.06 | 0.19 | 0.12 | 0.05 | 0.17 | ||
| Crayfish | Children | 0.05 | 0.02 | 2.10 | 9.41 | 0.11 | 0.00 | 0.07 | 0.03 | |
| Adults | 0.05 | 0.02 | 2.08 | 9.33 | 0.11 | 0.00 | 0.07 | 0.03 | ||
| CRC | Rice | Children | 0.74 | 0.93 | 30.69 | 105.24 | 0.64 | 0.22 | 0.05 | 0.36 |
| Adults | 0.37 | 0.47 | 15.39 | 52.78 | 0.32 | 0.11 | 0.02 | 0.18 | ||
| Maximum tolerable daily intakes (MTDI) [47] | 300 | 12 | 500 | 300 | 2.14 | 0.8 | 0.23 | 1.5 | ||
| THQ | HI | ||||||||||
|---|---|---|---|---|---|---|---|---|---|---|---|
| Cr | Ni | Cu | Zn | As | Cd | Hg | Pb | ||||
| Rice | CRC | Adults | 0.0002 | 0.023 | 0.38 | 0.17 | 1.07 | 0.11 | 0.15 | 0.052 | 1.97 |
| Children | 0.0005 | 0.046 | 0.77 | 0.35 | 2.13 | 0.22 | 0.29 | 0.10 | 3.91 | ||
| RCS | Adults | 0.0002 | 0.044 | 0.37 | 0.18 | 0.63 | 0.12 | 0.29 | 0.048 | 1.70 | |
| Children | 0.0004 | 0.088 | 0.75 | 0.36 | 1.26 | 0.24 | 0.59 | 0.095 | 3.38 | ||
| Crayfish | RCS | Adults | <0.0001 | 0.0009 | 0.052 | 0.031 | 0.35 | 0.001 | 0.43 | 0.0079 | 0.87 |
| Children | <0.0001 | 0.0009 | 0.053 | 0.031 | 0.36 | 0.001 | 0.43 | 0.0080 | 0.88 | ||
Publisher’s Note: MDPI stays neutral with regard to jurisdictional claims in published maps and institutional affiliations. |
© 2022 by the authors. Licensee MDPI, Basel, Switzerland. This article is an open access article distributed under the terms and conditions of the Creative Commons Attribution (CC BY) license (https://creativecommons.org/licenses/by/4.0/).
Share and Cite
Zhou, H.; Ge, T.; Li, H.; Fang, T.; Li, H.; Shi, Y.; Zhang, R.; Dong, X. A Multi-Medium Analysis of Human Health Risk of Toxic Elements in Rice-Crayfish System: A Case Study from Middle Reach of Yangtze River, China. Foods 2022, 11, 1160. https://doi.org/10.3390/foods11081160
Zhou H, Ge T, Li H, Fang T, Li H, Shi Y, Zhang R, Dong X. A Multi-Medium Analysis of Human Health Risk of Toxic Elements in Rice-Crayfish System: A Case Study from Middle Reach of Yangtze River, China. Foods. 2022; 11(8):1160. https://doi.org/10.3390/foods11081160
Chicago/Turabian StyleZhou, Hui, Tao Ge, Hui Li, Ting Fang, Huaiyan Li, Yanhong Shi, Rong Zhang, and Xinju Dong. 2022. "A Multi-Medium Analysis of Human Health Risk of Toxic Elements in Rice-Crayfish System: A Case Study from Middle Reach of Yangtze River, China" Foods 11, no. 8: 1160. https://doi.org/10.3390/foods11081160
APA StyleZhou, H., Ge, T., Li, H., Fang, T., Li, H., Shi, Y., Zhang, R., & Dong, X. (2022). A Multi-Medium Analysis of Human Health Risk of Toxic Elements in Rice-Crayfish System: A Case Study from Middle Reach of Yangtze River, China. Foods, 11(8), 1160. https://doi.org/10.3390/foods11081160

