Enhancing Antioxidants Extraction from Agro-Industrial By-Products by Enzymatic Treatment
Abstract
1. Introduction
2. Materials and Methods
2.1. Material
2.2. Microorganisms
2.3. Solid-State Fermentation
2.4. Characterisation of the Enzymatic Extract
2.5. Enzymatic Treatment (ET)
2.6. Sequential SSF and ET
2.7. Analytical Methods
2.8. Statistical Analysis
3. Results and Discussion
3.1. Enzymatic Characterisation
3.1.1. Effect of Temperature and pH on Enzyme Activity
3.1.2. Thermostability
3.2. Enzymatic Treatment
Crude Extract Load in Enzymatic Treatment
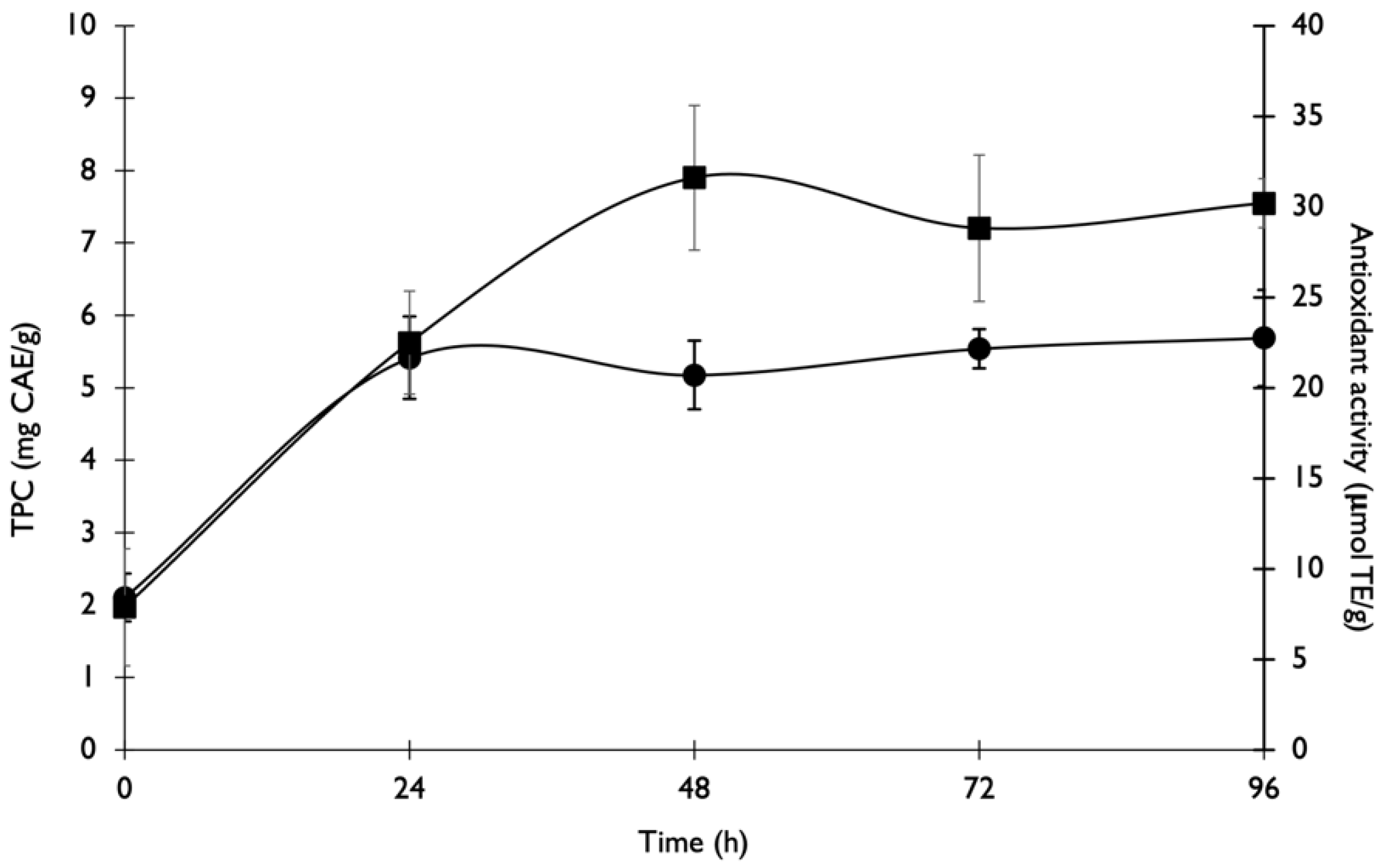
3.3. Sequential SSF and ET
4. Conclusions
Author Contributions
Funding
Institutional Review Board Statement
Informed Consent Statement
Data Availability Statement
Acknowledgments
Conflicts of Interest
References
- Allied Market Research. 2022. Available online: https://www.alliedmarketresearch.com/ (accessed on 14 November 2022).
- Statista. 2022. Available online: https://es.statista.com/ (accessed on 14 November 2022).
- Leite, P.; Belo, I.; Salgado, J.M. Co-management of agro-industrial wastes by solid-state fermentation for the production of bioactive compounds. Ind. Crops Prod. 2021, 172, 113990. [Google Scholar] [CrossRef]
- Seeram, N.P.; Lee, R.; Scheuller, H.S.; Heber, D. Identification of phenolic compounds in strawberries by liquid chromatography electrospray ionization mass spectroscopy. Food Chem. 2006, 97, 1–11. [Google Scholar] [CrossRef]
- Sadh, P.K.; Chawla, P.; Duhan, J.S. Fermentation approach on phenolic, antioxidants and functional properties of peanut press cake. Food Biosci. 2018, 22, 113–120. [Google Scholar] [CrossRef]
- Wojdyło, A.; Oszmiański, J.; Czemerys, R. Antioxidant activity and phenolic compounds in 32 selected herbs. Food Chem. 2007, 105, 940–949. [Google Scholar] [CrossRef]
- Trinh, L.T.P.; Choi, Y.-S.; Bae, H.-J. Production of phenolic compounds and biosugars from flower resources via several extraction processes. Ind. Crops Prod. 2018, 125, 261–268. [Google Scholar] [CrossRef]
- Luo, D.; Li, X.; Zhao, L.; Chen, G. Regulation of phenolic release in corn seeds (Zea mays L.) for improving their antioxidant activity by mix-culture fermentation with Monascus anka, Saccharomyces cerevisiae and Bacillus subtilis. J. Biotechnol. 2021, 325, 334–340. [Google Scholar] [CrossRef]
- Soquetta, M.B.; de Terra, L.M.; Bastos, C.P. Green technologies for the extraction of bioactive compounds in fruits and vegetables. CyTA J. Food 2018, 16, 400–412. [Google Scholar] [CrossRef]
- De la Peña-Armada, R.; Rupérez, P.; Villanueva-Suarez, M.J.; Mateos-Aparicio, I. High hydrostatic pressure assisted by food-grade enzymes as a sustainable approach for the development of an antioxidant ingredient. LWT 2022, 169, 113968. [Google Scholar] [CrossRef]
- Saharan, P.; Sadh, P.K.; Duhan, S.; Duhan, J.S. Bio-enrichment of phenolic, flavonoids content and antioxidant activity of commonly used pulses by solid-state fermentation. J. Food Meas. Charact. 2020, 14, 1497–1510. [Google Scholar] [CrossRef]
- Andlar, M.; Rezić, T.; Marđetko, N.; Kracher, D.; Ludwig, R.; Šantek, B. Lignocellulose degradation: An overview of fungi and fungal enzymes involved in lignocellulose degradation. Eng. Life Sci. 2018, 18, 768–778. [Google Scholar] [CrossRef]
- Bei, Q.; Chen, G.; Lu, F.; Wu, S.; Wu, Z. Enzymatic action mechanism of phenolic mobilization in oats (Avena sativa L.) during solid-state fermentation with Monascus anka. Food Chem. 2018, 245, 297–304. [Google Scholar] [CrossRef] [PubMed]
- Granato, D.; Fidelis, M.; Haapakoski, M.; dos Santos Lima, A.; Viil, J.; Hellström, J.; Rätsep, R.; Kaldmäe, H.; Bleive, U.; Azevedo, L.; et al. Enzyme-assisted extraction of anthocyanins and other phenolic compounds from blackcurrant (Ribes nigrum L.) press cake: From processing to bioactivities. Food Chem. 2022, 391, 133240. [Google Scholar] [CrossRef] [PubMed]
- Elsayed, N.; Marrez, D.A.; Ali, M.A.; El-maksoud, A.A.A.; Cheng, W.; Abedelmaksoud, T.G. Phenolic profiling and in-vitro bioactivities of corn (Zea mays L.) tassel extracts by combining enzyme-assisted extraction. Foods 2022, 11, 2145. [Google Scholar] [CrossRef] [PubMed]
- Fernandes, H.; Salgado, J.M.; Ferreira, M.; Vršanská, M.; Fernandes, N.; Castro, C.; Oliva-Teles, A.; Peres, H.; Belo, I. Valorization of Brewer’s Spent Grain Using Biological Treatments and its Application in Feeds for European Seabass (Dicentrarchus labrax). Front. Bioeng. Biotechnol. 2022, 10, 732948. [Google Scholar] [CrossRef] [PubMed]
- Fernandes, H.; Salgado, J.M.; Martins, N.; Peres, H.; Oliva-Teles, A.; Belo, I. Sequential bioprocessing of Ulva rigida to produce lignocellulolytic enzymes and to improve its nutritional value as aquaculture feed. Bioresour. Technol. 2019, 281, 277–285. [Google Scholar] [CrossRef] [PubMed]
- Dulf, F.V.; Vodnar, D.C.; Dulf, E.H.; Toşa, M.I. Total Phenolic Contents, Antioxidant Activities, and Lipid Fractions from Berry Pomaces Obtained by Solid-State Fermentation of Two Sambucus Species with Aspergillus niger. J. Agric. Food Chem. 2015, 63, 3489–3500. [Google Scholar] [CrossRef]
- Leite, P.; Salgado, J.M.; Venâncio, A.; Domínguez, J.M.; Belo, I. Ultrasounds pretreatment of olive pomace to improve xylanase and cellulase production by solid-state fermentation. Bioresour. Technol. 2016, 214, 737–746. [Google Scholar] [CrossRef]
- Farinas, C.S.; Loyo, M.M.; Baraldo, A.; Tardioli, P.W.; Neto, V.B.; Couri, S. Finding stable cellulase and xylanase: Evaluation of the synergistic effect of pH and temperature. New Biotechnol. 2010, 27, 810–815. [Google Scholar] [CrossRef]
- Intasit, R.; Cheirsilp, B.; Suyotha, W.; Boonsawang, P. Purification and characterization of a highly-stable fungal xylanase from Aspergillus tubingensis cultivated on palm wastes through combined solid-state and submerged fermentation. Prep. Biochem. Biotechnol. 2021, 52, 311–317. [Google Scholar] [CrossRef]
- Ezeilo, U.R.; Wahab, R.A.; Mahat, N.A. Optimization studies on cellulase and xylanase production by Rhizopus oryzae UC2 using raw oil palm frond leaves as substrate under solid state fermentation. Renew. Energy 2020, 156, 1301–1312. [Google Scholar] [CrossRef]
- Aggarwal, N.K.; Goyal, V.; Saini, A.; Yadav, A.; Gupta, R. Enzymatic saccharification of pretreated rice straw by cellulases from Aspergillus niger BK01. 3 Biotech 2017, 7, 158. [Google Scholar] [CrossRef] [PubMed]
- Khanahmadi, M.; Arezi, I.; Amiri, M.; Miranzadeh, M. Bioprocessing of agro-industrial residues for optimization of xylanase production by solid- state fermentation in flask and tray bioreactor. Biocatal. Agric. Biotechnol. 2018, 13, 272–282. [Google Scholar] [CrossRef]
- Elegbede, J.A.; Lateef, A. Valorization of Corn-Cob by Fungal Isolates for Production of Xylanase in Submerged and Solid State Fermentation Media and Potential Biotechnological Applications. Waste Biomass Valoriz. 2018, 9, 1273–1287. [Google Scholar] [CrossRef]
- Azzouz, Z.; Bettache, A.; Djinni, I.; Boucherba, N.; Benallaoua, S. Biotechnological production and statistical optimization of fungal xylanase by bioconversion of the lignocellulosic biomass residues in solid-state fermentation. Biomass Convers. Biorefin. 2020, 12, 5923–5935. [Google Scholar] [CrossRef]
- Prajapati, B.P.; Kumar Suryawanshi, R.; Agrawal, S.; Ghosh, M.; Kango, N. Characterization of cellulase from Aspergillus tubingensis NKBP-55 for generation of fermentable sugars from agricultural residues. Bioresour. Technol. 2018, 250, 733–740. [Google Scholar] [CrossRef]
- Santos, A.D.S.; Pereira, G.M.; Mazotto de Almeida, A.M.; Santos, R.R.D.; Terzi, S.D.C.; Pacheco, T.F.; Vermelho, A.B.; Cabral, L.M.C.; Couri, S.; Damaso, M.C.T. Production, concentration and partial characterization of an enzymatic extract produced by an Aspergillus niger mutant in solid state fermentation. Prep. Biochem. Biotechnol. 2022, 52, 1109–1118. [Google Scholar] [CrossRef] [PubMed]
- Kumar, S.; Haq, I.; Prakash, J.; Singh, S.K.; Mishra, S.; Raj, A. Purification, characterization and thermostability improvement of xylanase from Bacillus amyloliquefaciens and its application in pre-bleaching of kraft pulp. 3 Biotech 2017, 7, 20. [Google Scholar] [CrossRef]
- dos Santos, T.C.; Filho, G.A.; De Brito, A.R.; Pires, A.J.V.; Bonomo, R.C.F.; Franco, M. Production and characterization of cellulolytic enzymes by aspergillus niger and rhizopus sp. By solid state fermentation of prickly pear. Rev. Caatinga 2016, 29, 222–233. [Google Scholar] [CrossRef]
- Meyer, A.S.; Jepsen, S.M.; Sørensen, N.S. Enzymatic Release of Antioxidants for Human Low-Density Lipoprotein from Grape Pomace. J. Agric. Food Chem. 1998, 46, 2439–2446. [Google Scholar] [CrossRef]
- Zambrano, C.; Kotogán, A.; Bencsik, O.; Papp, T.; Vágvölgyi, C.; Mondal, K.C.; Krisch, J.; Takó, M. Mobilization of phenolic antioxidants from grape, apple and pitahaya residues via solid state fungal fermentation and carbohydrase treatment. LWT 2018, 89, 457–465. [Google Scholar] [CrossRef]
- Dulf, F.V.; Vodnar, D.C.; Socaciu, C. Effects of solid-state fermentation with two filamentous fungi on the total phenolic contents, flavonoids, antioxidant activities and lipid fractions of plum fruit (Prunus domestica L.) by-products. Food Chem. 2016, 209, 27–36. [Google Scholar] [CrossRef] [PubMed]
- Swain, M.R.; Singh, A.; Sharma, A.K.; Tuli, D.K. Chapter 11—Bioethanol Production from Rice- and Wheat Straw: An Overview. In Book Bioethanol Production from Food Crops Ray, 1st ed.; Ray, R.C., Ramachandran, S., Eds.; Elsevier: Amsterdam, The Netherlands, 2019; pp. 213–231. [Google Scholar] [CrossRef]
- Leite, P.; Silva, C.; Salgado, J.M.; Belo, I. Simultaneous production of lignocellulolytic enzymes and extraction of antioxidant compounds by solid-state fermentation of agro-industrial wastes. Ind. Crops Prod. 2019, 137, 315–322. [Google Scholar] [CrossRef]
- Ghandahari Yazdi, A.P.; Barzegar, M.; Sahari, M.A.; Ahmadi Gavlighi, H. Optimization of the enzyme-assisted aqueous extraction of phenolic compounds from pistachio green hull. Food Sci. Nutr. 2019, 7, 356–366. [Google Scholar] [CrossRef] [PubMed]





| Glucose (mg/g) | Xylose (mg/g) | Arabinose (mg/g) | ||
|---|---|---|---|---|
| COP | 0 h | 105 ± 7 | 17.2 ± 0.9 | 15.2 ± 0.5 |
| 72 h | 126 ± 9 | 21 ± 2 | 22 ± 1 | |
| EOP | 0 h | 33.80 ± 0.02 | 21.4 ± 0.2 | 17.25 ± 0.08 |
| 72 h | 49.49 ± 0.03 | 27.34 ± 0.04 | 22.7 ± 0.1 | |
| VTS | 0 h | 56 ± 2 | 39 ± 3 | 6.3 ± 0.9 |
| 72 h | 101 ± 4 | 55 ± 2 | 10.307 ± 0.005 | |
| BSG | 0 h | 220 ± 10 | 23 ± 2 | 6.81 ± 0.01 |
| 72 h | 312 ± 7 | 69 ± 2 | 20 ± 1 |
| Glucose (mg/g) | Arabinose (mg/g) | ||
|---|---|---|---|
| 0.75 g/g | 0 h | 103 ± 8 | 17.1 ± 0.2 |
| 72 h | 136 ± 10 | 24 ± 2 | |
| 1.5 g/g | 0 h | 97 ± 9 | 14 ± 2 |
| 72 h | 130 ± 11 | 22 ± 2 | |
| 2.5 g/g | 0 h | 95 ± 9 | 14 ± 2 |
| 72 h | 130 ± 11 | 22 ± 2 | |
| 5.5 g/g | 0 h | 102.2 ± 0.4 | 21.0 ± 0.8 |
| 72 h | 166 ± 17 | 29 ± 2 |
Publisher’s Note: MDPI stays neutral with regard to jurisdictional claims in published maps and institutional affiliations. |
© 2022 by the authors. Licensee MDPI, Basel, Switzerland. This article is an open access article distributed under the terms and conditions of the Creative Commons Attribution (CC BY) license (https://creativecommons.org/licenses/by/4.0/).
Share and Cite
Leite, P.; Belo, I.; Salgado, J.M. Enhancing Antioxidants Extraction from Agro-Industrial By-Products by Enzymatic Treatment. Foods 2022, 11, 3715. https://doi.org/10.3390/foods11223715
Leite P, Belo I, Salgado JM. Enhancing Antioxidants Extraction from Agro-Industrial By-Products by Enzymatic Treatment. Foods. 2022; 11(22):3715. https://doi.org/10.3390/foods11223715
Chicago/Turabian StyleLeite, Paulina, Isabel Belo, and José Manuel Salgado. 2022. "Enhancing Antioxidants Extraction from Agro-Industrial By-Products by Enzymatic Treatment" Foods 11, no. 22: 3715. https://doi.org/10.3390/foods11223715
APA StyleLeite, P., Belo, I., & Salgado, J. M. (2022). Enhancing Antioxidants Extraction from Agro-Industrial By-Products by Enzymatic Treatment. Foods, 11(22), 3715. https://doi.org/10.3390/foods11223715
