Influence of Beetroot Juice Ingestion on Neuromuscular Performance on Semi-Professional Female Rugby Players: A Randomized, Double-Blind, Placebo-Controlled Study
Abstract
1. Introduction
2. Materials and Methods
2.1. Participants
2.2. Experimental Protocol
2.3. Experimental Design
2.4. Countermovement Jump and Dominant Isometric Handgrip Strength
2.5. 10 and 30-Meters Sprint and Modified t-Test
2.6. Bronco Endurance Test
2.7. Rate of Perception Effort and Side Effects Questionnarie
2.8. Statistical Analysis
3. Results
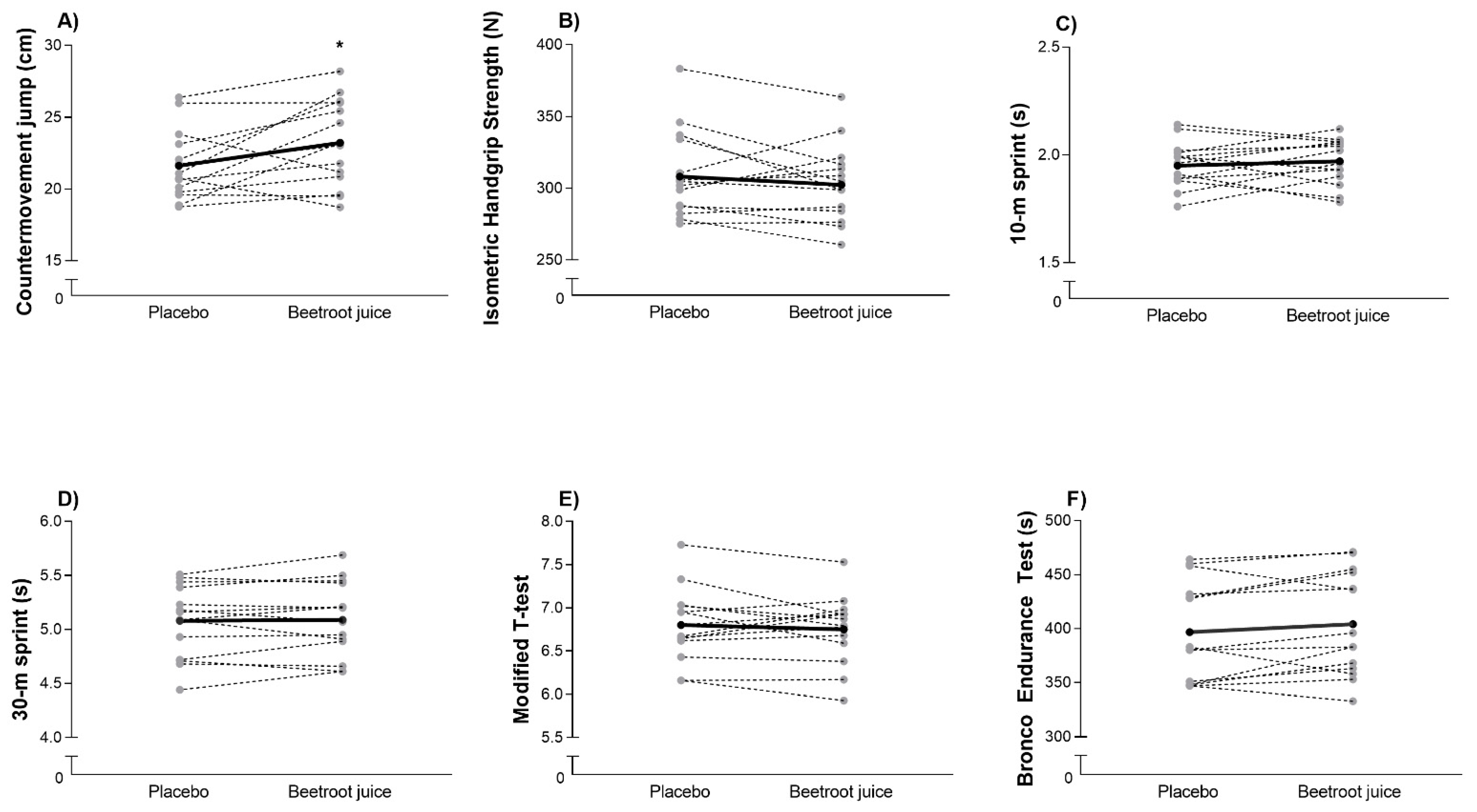
3.1. Countermovement Jump and Isometric Handgrip Strength
3.2. 10 and 30-Meters Sprint, Modified t-Test and Bronco Endurance Test
3.3. Rate of Perception Effort and Side Effects Questionnaire
4. Discussion
5. Limitations
6. Conclusions
Author Contributions
Funding
Institutional Review Board Statement
Informed Consent Statement
Data Availability Statement
Conflicts of Interest
References
- Griffin, S.A.; Perera, N.K.P.; Murray, A.; Hartley, C.; Fawkner, S.G.; Kemp, S.P.T.; Stokes, K.A.; Kelly, P. The relationships between rugby union, and health and well-being: A scoping review. Br. J. Sports Med. 2021, 55, 319–326. [Google Scholar] [CrossRef] [PubMed]
- Woodhouse, L.N.; Tallent, J.; Patterson, S.D.; Waldron, M. Elite international female rugby union physical match demands: A five-year longitudinal analysis by position and opposition quality. J. Sci. Med. Sport 2021, 24, 1173–1179. [Google Scholar] [CrossRef] [PubMed]
- Suarez-Arrones, L.; Portillo, J.; Pareja-Blanco, F.; de Villareal, E.S.; Sánchez-Medina, L.; Izquierdo, D.M. Match-play activity profile in elite women’s rugby union players. J. Strength Cond. Res. 2014, 28, 452–458. [Google Scholar] [CrossRef] [PubMed]
- Gabbett, T.J. Sprinting patterns of National Rugby League competition. J. Strength Cond. Res. 2012, 26, 121–130. [Google Scholar] [CrossRef]
- Caraballo, I.; Domínguez, R.; Guerra-Hernandez, E.J.; Sánchez-Oliver, A.J. Analysis of Sports Supplements Consumption in Young Spanish Elite Dinghy Sailors. Nutrients 2020, 12, 993. [Google Scholar] [CrossRef]
- Maughan, R.J.; Burke, L.M.; Dvorak, J.; Larson-Meyer, D.E.; Peeling, P.; Phillips, S.M.; Rawson, E.S.; Walsh, N.P.; Garthe, I.; Geyer, H.; et al. IOC consensus statement: Dietary supplements and the high-performance athlete. Br. J. Sports Med. 2018, 52, 439–455. [Google Scholar] [CrossRef]
- Potter, L.; Angove, H.; Richardson, D.; Cole, J. Nitrate reduction in the periplasm of gram-negative bacteria. Adv. Microb. Physiol. 2001, 45, 51–112. [Google Scholar] [CrossRef]
- Bailey, S.J.; Vanhatalo, A.; Winyard, P.G.; Jones, A.M. The nitrate-nitrite-nitric oxide pathway: Its role in human exercise physiology. Eur. J. Sport Sci. 2012, 12, 309–320. [Google Scholar] [CrossRef]
- Bailey, J.C.; Feelisch, M.; Horowitz, J.D.; Frenneaux, M.P.; Madhani, M. Pharmacology and therapeutic role of inorganic nitrite and nitrate in vasodilatation. Pharmacol. Ther. 2014, 144, 303–320. [Google Scholar] [CrossRef]
- Ferguson, S.K.; Holdsworth, C.T.; Wright, J.L.; Fees, A.J.; Allen, J.D.; Jones, A.M.; Musch, T.I.; Poole, D.C. Microvascular oxygen pressures in muscles comprised of different fiber types: Impact of dietary nitrate supplementation. Nitric Oxide 2015, 48, 38–43. [Google Scholar] [CrossRef]
- Bailey, S.J.; Fulford, J.; Vanhatalo, A.; Winyard, P.G.; Blackwell, J.R.; DiMenna, F.J.; Wilkerson, D.P.; Benjamin, N.; Jones, A.M. Dietary nitrate supplementation enhances muscle contractile efficiency during knee-extensor exercise in humans. J. Appl. Physiol. 2010, 109, 135–148. [Google Scholar] [CrossRef] [PubMed]
- Thompson, C.; Vanhatalo, A.; Kadach, S.; Wylie, L.J.; Fulford, J.; Ferguson, S.K.; Blackwell, J.R.; Bailey, S.J.; Jones, A.M. Discrete physiological effects of beetroot juice and potassium nitrate supplementation following 4-wk sprint interval training. J. Appl. Physiol. 2018, 124, 1519–1528. [Google Scholar] [CrossRef] [PubMed]
- Domínguez, R.; Cuenca, E.; Maté-Muñoz, J.L.; García-Fernández, P.; Serra-Paya, N.; Estevan, M.C.L.; Herreros, P.V.; Garnacho-Castaño, M.V. Effects of Beetroot Juice Supplementation on Cardiorespiratory Endurance in Athletes. A Systematic Review. Nutrients 2017, 9, 43. [Google Scholar] [CrossRef] [PubMed]
- Barnes, K.R.; Kilding, A.E. Strategies to improve running economy. Sports Med. 2015, 45, 37–56. [Google Scholar] [CrossRef]
- Pawlak-Chaouch, M.; Boissiere, J.; Gamelin, F.X.; Cuvelier, G.; Berthoin, S.; Aucouturier, J. Effect of dietary nitrate supplementation on metabolic rate during rest and exercise in human: A systematic review and a meta-analysis. Nitric Oxide 2016, 53, 65–76. [Google Scholar] [CrossRef]
- Van De Walle, G.P.; Vukovich, M.D. The Effect of Nitrate Supplementation on Exercise Tolerance and Performance: A Systematic Review and Meta-Analysis. J Strength Cond. Res. 2018, 32, 1796–1808. [Google Scholar] [CrossRef]
- McMahon, N.F.; Leveritt, M.D.; Pavey, T.G. The Effect of Dietary Nitrate Supplementation on Endurance Exercise Performance in Healthy Adults: A Systematic Review and Meta-Analysis. Sports Med. 2017, 47, 735–756. [Google Scholar] [CrossRef]
- Domínguez, R.; Maté-Muñoz, J.L.; Cuenca, E.; García-Fernández, P.; Mata-Ordoñez, F.; Lozano-Estevan, M.C.; Veiga-Herreros, P.; da Silva, S.F.; Garnacho-Castaño, M.V. Effects of beetroot juice supplementation on intermittent high-intensity exercise efforts. J. Int. Soc. Sports Nutr. 2018, 15, 2. [Google Scholar] [CrossRef]
- Tan, R.; Cano, L.; Lago-Rodriguez, A.; Dominguez, R. The Effects of Dietary Nitrate Supplementation on Explosive Exercise Performance: A Systematic Review. Int. J. Environ. Res. Public Health 2022, 19, 762. [Google Scholar] [CrossRef]
- Buck, C.L.; Henry, T.; Guelfi, K.; Dawson, B.; McNaughton, L.R.; Wallman, K. Effects of sodium phosphate and beetroot juice supplementation on repeated-sprint ability in females. Eur. J. Appl. Physiol. 2015, 115, 2205–2213. [Google Scholar] [CrossRef]
- Glaister, M.; Pattison, J.R.; Muniz-Pumares, D.; Patterson, S.D.; Foley, P. Effects of dietary nitrate, caffeine, and their combination on 20-km cycling time trial performance. J. Strength Cond. Res. 2015, 29, 165–174. [Google Scholar] [CrossRef] [PubMed]
- Jonvik, K.L.; van Dijk, J.-W.; Senden, J.M.G.; van Loon, L.J.C.; Verdijk, L.B. The Effect of Beetroot Juice Supplementation on Dynamic Apnea and Intermittent Sprint Performance in Elite Female Water Polo Players. Int. J. Sport Nutr. Exerc. Metab. 2018, 28, 468–473. [Google Scholar] [CrossRef]
- Jurado-Castro, J.M.; Campos-Perez, J.; Ranchal-Sanchez, A.; Duran-Lopez, N.; Dominguez, R. Acute Effects of Beetroot Juice Supplements on Lower-Body Strength in Female Athletes: Double-Blind Crossover Randomized Trial. Sports Health 2022, 14, 812–821. [Google Scholar] [CrossRef] [PubMed]
- Pospieszna, B.; Wochna, K.; Jerszynski, D.; Goscinna, K.; Czapski, J. Ergogenic effects of dietary nitrates in female swimmers. Trends Sport Sci. 2016, 23, 13–20. [Google Scholar]
- Wickham, K.A.; McCarthy, D.G.; Pereira, J.M.; Cervone, D.T.; Verdijk, L.B.; van Loon, L.J.C.; Power, G.A.; Spriet, L.L. No effect of beetroot juice supplementation on exercise economy and performance in recreationally active females despite increased torque production. Physiol. Rep. 2019, 7, e13982. [Google Scholar] [CrossRef] [PubMed]
- Lane, S.C.; Hawley, J.A.; Desbrow, B.; Jones, A.M.; Blackwell, J.R.; Ross, M.L.; Zemski, A.J.; Burke, L.M. Single and combined effects of beetroot juice and caffeine supplementation on cycling time trial performance. Appl. Physiol. Nutr. Metab. 2014, 39, 1050–1057. [Google Scholar] [CrossRef]
- Sanchez-Oliver, A.J.; Dominguez, R.; Lopez-Tapia, P.; Tobal, F.M.; Jodra, P.; Montoya, J.J.; Guerra-Hernandez, E.J.; Ramos-Alvarez, J.J. A Survey on Dietary Supplement Consumption in Amateur and Professional Rugby Players. Foods 2020, 10, 7. [Google Scholar] [CrossRef]
- de Jonge, X.A.K.J. Effects of the menstrual cycle on exercise performance. Sports Med. 2003, 33, 833–851. [Google Scholar] [CrossRef]
- Fernandez-Elias, V.; Courel-Ibanez, J.; Perez-Lopez, A.; Jodra, P.; Moreno-Perez, V.; Coso, J.D.; Lopez-Samanes, A. Acute Beetroot Juice Supplementation Does Not Improve Match-Play Activity in Professional Tennis Players. J. Am. Nutr. Assoc. 2022, 41, 30–37. [Google Scholar] [CrossRef]
- Burleigh, M.C.; Liddle, L.; Muggeridge, D.J.; Monaghan, C.; Sculthorpe, N.; Butcher, J.; Henriquez, F.; Easton, C. Dietary nitrate supplementation alters the oral microbiome but does not improve the vascular responses to an acute nitrate dose. Nitric Oxide 2019, 89, 54–63. [Google Scholar] [CrossRef]
- Martin-Lopez, J.; Sedliak, M.; Valades, D.; Munoz, A.; Buffet-Garcia, J.; Garcia-Oviedo, R.; Rodriguez-Aragon, M.; Perez-Lopez, A.; Lopez-Samanes, A. Impact of time-of-day and chronotype on neuromuscular performance in semi-professional female volleyball players. Chronobiol. Int. 2022, 39, 1006–1014. [Google Scholar] [CrossRef] [PubMed]
- Pueo, B.; Penichet-Tomas, A.; Jimenez-Olmedo, J.M. Reliability and validity of the Chronojump open-source jump mat system. Biol. Sport 2020, 37, 255–259. [Google Scholar] [CrossRef] [PubMed]
- López-Samanes, Á.; Moreno-Pérez, D.; Maté-Muñoz, J.L.; Domínguez, R.; Pallares, J.G.; Mora-Rodríguez, R.; Ortega, J.F. Circadian rhythm effect on physical tennis performance in trained male players. J. Sports Sci. 2017, 35, 2121–2128. [Google Scholar] [CrossRef] [PubMed]
- Munoz, A.; Lopez-Samanes, A.; Perez-Lopez, A.; Aguilar-Navarro, M.; Moreno-Heredero, B.; Rivilla-Garcia, J.; Gonzalez-Frutos, P.; Pino-Ortega, J.; Morencos, E.; Del Coso, J. Effects of Caffeine Ingestion on Physical Performance in Elite Women Handball Players: A Randomized, Controlled Study. Int. J. Sports Physiol. Perform. 2020, 15, 1406–1413. [Google Scholar] [CrossRef]
- Armstrong, R.; Greig, M. The Functional Movement Screen and modified Star Excursion Balance Test as predictors of t-test agility performance in university rugby union and netball players. Phys. Ther. Sport 2018, 31, 15–21. [Google Scholar] [CrossRef] [PubMed]
- Vachon, A.; Berryman, N.; Mujika, I.; Paquet, J.-B.; Bosquet, L. Fitness Determinants of Repeated High-Intensity Effort Ability in Elite Rugby Union Players. Int. J. Sports Physiol. Perform. 2021, 16, 1103–1110. [Google Scholar] [CrossRef]
- Jodra, P.; Dominguez, R.; Sanchez-Oliver, A.J.; Veiga-Herreros, P.; Bailey, S.J. Effect of Beetroot Juice Supplementation on Mood, Perceived Exertion, and Performance During a 30-Second Wingate Test. Int. J. Sports Physiol. Perform. 2020, 15, 243–248. [Google Scholar] [CrossRef]
- Arcos, A.L.; Yanci, J.; Mendiguchia, J.; Gorostiaga, E.M. Rating of muscular and respiratory perceived exertion in professional soccer players. J. Strength Cond. Res. 2014, 28, 3280–3288. [Google Scholar] [CrossRef]
- Cohen, J. A power primer. Psychol. Bull. 1992, 112, 155–159. [Google Scholar] [CrossRef]
- Markovic, G.; Dizdar, D.; Jukic, I.; Cardinale, M. Reliability and factorial validity of squat and countermovement jump tests. J. Strength Cond. Res. 2004, 18, 551–555. [Google Scholar]
- Lago-RodrIguez, A.; Jodra, P.; Bailey, S.; DomInguez, R. Caffeine improves performance but not duration of the countermovement jump phases. J. Sports Med. Phys. Fit. 2021, 61, 199–204. [Google Scholar] [CrossRef] [PubMed]
- Mate-Munoz, J.L.; Lougedo, J.H.; Barba, M.; Garcia-Fernandez, P.; Garnacho-Castano, M.V.; Dominguez, R. Muscular fatigue in response to different modalities of CrossFit sessions. PLoS ONE 2017, 12, e0181855. [Google Scholar] [CrossRef] [PubMed]
- Gathercole, R.; Sporer, B.; Stellingwerff, T. Countermovement Jump Performance with Increased Training Loads in Elite Female Rugby Athletes. Int. J. Sports Med. 2015, 36, 722–728. [Google Scholar] [CrossRef] [PubMed]
- McLellan, C.P.; Lovell, D.I.; Gass, G.C. The role of rate of force development on vertical jump performance. J. Strength Cond. Res. 2011, 25, 379–385. [Google Scholar] [CrossRef]
- Coggan, A.R.; Leibowitz, J.L.; Kadkhodayan, A.; Thomas, D.P.; Ramamurthy, S.; Spearie, C.A.; Waller, S.; Farmer, M.; Peterson, L.R. Effect of acute dietary nitrate intake on maximal knee extensor speed and power in healthy men and women. Nitric Oxide 2015, 48, 16–21. [Google Scholar] [CrossRef] [PubMed]
- Rodriguez-Fernandez, A.; Castillo, D.; Raya-Gonzalez, J.; Dominguez, R.; Bailey, S.J. Beetroot juice supplementation increases concentric and eccentric muscle power output. Original investigation. J. Sci. Med. Sport 2021, 24, 80–84. [Google Scholar] [CrossRef] [PubMed]
- Ranchal-Sanchez, A.; Diaz-Bernier, V.M.; De La Florida-Villagran, C.A.; Llorente-Cantarero, F.J.; Campos-Perez, J.; Jurado-Castro, J.M. Acute Effects of Beetroot Juice Supplements on Resistance Training: A Randomized Double-Blind Crossover. Nutrients 2020, 12, 1912. [Google Scholar] [CrossRef]
- Kokkinoplitis, K.; Chester, N. The effect of beetroot juice on repeated sprint performance and muscle force production. J. Phys. Educ. Sport 2014, 14, 242–247. [Google Scholar]
- Kramer, S.J.; Baur, D.A.; Spicer, M.T.; Vukovich, M.D.; Ormsbee, M.J. The effect of six days of dietary nitrate supplementation on performance in trained CrossFit athletes. J. Int. Soc. Sports Nutr. 2016, 13, 39. [Google Scholar] [CrossRef] [PubMed]
- Jonvik, K.L.; Hoogervorst, D.; Peelen, H.B.; de Niet, M.; Verdijk, L.B.; van Loon, L.J.C.; van Dijk, J.W. The impact of beetroot juice supplementation on muscular endurance, maximal strength and countermovement jump performance. Eur. J. Sport Sci. 2021, 21, 871–878. [Google Scholar] [CrossRef]
- Haider, G.; Folland, J.P. Nitrate supplementation enhances the contractile properties of human skeletal muscle. Med. Sci. Sports Exerc. 2014, 46, 2234–2243. [Google Scholar] [CrossRef] [PubMed]
- Hernandez, A.; Schiffer, T.A.; Ivarsson, N.; Cheng, A.J.; Bruton, J.D.; Lundberg, J.O.; Weitzberg, E.; Westerblad, H. Dietary nitrate increases tetanic [Ca2+]i and contractile force in mouse fast-twitch muscle. J. Physiol. 2012, 590, 3575–3583. [Google Scholar] [CrossRef]
- Farthing, J.P.; Chilibeck, P.D. The effect of eccentric training at different velocities on cross-education. Eur. J. Appl. Physiol. 2003, 89, 570–577. [Google Scholar] [CrossRef] [PubMed]
- Jones, A.M. Dietary nitrate supplementation and exercise performance. Sports Med. 2014, 44 (Suppl. 1), 35–45. [Google Scholar] [CrossRef] [PubMed]
- Loturco, I.; D’Angelo, R.A.; Fernandes, V.; Gil, S.; Kobal, R.; Abad, C.C.C.; Kitamura, K.; Nakamura, F.Y. Relationship between sprint ability and loaded/unloaded jump tests in elite sprinters. J. Strength Cond. Res. 2015, 29, 758–764. [Google Scholar] [CrossRef]
- Jones, B.; Emmonds, S.; Hind, K.; Nicholson, G.; Rutherford, Z.; Till, K. Physical Qualities of International Female Rugby League Players by Playing Position. J. Strength Cond. Res. 2016, 30, 1333–1340. [Google Scholar] [CrossRef]
- Furlong, L.-A.M.; Harrison, A.J.; Jensen, R.L. Measures of Strength and Jump Performance Can Predict 30-m Sprint Time in Rugby Union Players. J. Strength Cond. Res. 2021, 35, 2579–2583. [Google Scholar] [CrossRef]
- Ranchordas, M.K.; Pratt, H.; Parsons, M.; Parry, A.; Boyd, C.; Lynn, A. Effect of caffeinated gum on a battery of rugby-specific tests in trained university-standard male rugby union players. J. Int. Soc. Sports Nutr. 2019, 16, 17. [Google Scholar] [CrossRef]
- Lopez-Samanes, A.; Perez-Lopez, A.; Moreno-Perez, V.; Nakamura, F.Y.; Acebes-Sanchez, J.; Quintana-Milla, I.; Sanchez-Oliver, A.J.; Moreno-Perez, D.; Fernandez-Elias, V.E.; Dominguez, R. Effects of Beetroot Juice Ingestion on Physical Performance in Highly Competitive Tennis Players. Nutrients 2020, 12, 584. [Google Scholar] [CrossRef]
- Lopez-Samanes, A.; Parra, A.G.; Moreno-Perez, V.; Courel-Ibanez, J. Does Acute Beetroot Juice Supplementation Improve Neuromuscular Performance and Match Activity in Young Basketball Players? A Randomized, Placebo-Controlled Study. Nutrients 2020, 12, 188. [Google Scholar] [CrossRef]
- Sugiyama, T.; Maeo, S.; Kurihara, T.; Kanehisa, H.; Isaka, T. Change of Direction Speed Tests in Basketball Players: A Brief Review of Test Varieties and Recent Trends. Front. Sports Act. Living 2021, 3, 645350. [Google Scholar] [CrossRef] [PubMed]
- Loturco, I.; Pereira, L.A.; Moraes, J.E.; Kitamura, K.; Abad, C.C.C.; Kobal, R.; Nakamura, F.Y. Jump-Squat and Half-Squat Exercises: Selective Influences on Speed-Power Performance of Elite Rugby Sevens Players. PLoS ONE 2017, 12, e0170627. [Google Scholar] [CrossRef] [PubMed]
- Dimundo, F.; Cole, M.; Blagrove, R.C.; McAuley, A.B.T.; Till, K.; Kelly, A.L. Talent Identification in an English Premiership Rugby Union Academy: Multidisciplinary Characteristics of Selected and Non-selected Male Under-15 Players. Front. Sport Act. Living 2021, 3, 688143. [Google Scholar] [CrossRef] [PubMed]
- Vaz, L.; Kraak, W.; Batista, M.; Honorio, S.; Fernandes, H.M. Using Anthropometric Data and Physical Fitness Scores to Predict Selection in a National U19 Rugby Union Team. Int. J. Environ. Res. Public Health 2021, 18, 1499. [Google Scholar] [CrossRef] [PubMed]
- Deuchrass, R.W.; Smith, H.K.; Elliot, C.E.; Lizamore, C.E.; Hamlin, M.J. The 1.2 km shuttle run test: Reliability and comparison with the Yo-Yo intermittent recovery level 1 test in young elite rugby union players. J. Aust. Strength Cond. Assoc. 2019, 27, 14–20. [Google Scholar]
- Hoon, M.W.; Johnson, N.A.; Chapman, P.G.; Burke, L.M. The effect of nitrate supplementation on exercise performance in healthy individuals: A systematic review and meta-analysis. Int. J. Sport Nutr. Exerc. Metab. 2013, 23, 522–532. [Google Scholar] [CrossRef]
- Laursen, P.B.; Francis, G.T.; Abbiss, C.R.; Newton, M.J.; Nosaka, K. Reliability of time-to-exhaustion versus time-trial running tests in runners. Med. Sci. Sports Exerc. 2007, 39, 1374–1379. [Google Scholar] [CrossRef]
- Hopkins, W.G.; Schabort, E.J.; Hawley, J.A. Reliability of power in physical performance tests. Sports Med. 2001, 31, 211–234. [Google Scholar] [CrossRef]

| Items | Placebo | Beetroot Juice | p |
|---|---|---|---|
| Gastrointestinal upset (%) | 0 (0%) | 4 (28.6%) | 0.031 * |
| Red urine (%) | 5 (35.7%) | 6 (42.9%) | 0.699 |
| Gastric reflux (%) | 0 (0%) | 1 (7.1%) | 0.309 |
| Mild nausea (%) | 0 (0%) | 2 (14.3%) | 0.142 |
| Muscle pain (%) | 0 (0%) | 0 (0%) | 1.000 |
| Headache (%) | 0 (0%) | 0 (0%) | 1.000 |
| Increased excretion of urine (%) | 2 (14.3%) | 4 (28.6%) | 0.357 |
| Increased fatigue (%) | 0 (0%) | 1 (7.1%) | 0.309 |
| Nervousness (%) | 0 (0%) | 1 (7.1%) | 0.309 |
Publisher’s Note: MDPI stays neutral with regard to jurisdictional claims in published maps and institutional affiliations. |
© 2022 by the authors. Licensee MDPI, Basel, Switzerland. This article is an open access article distributed under the terms and conditions of the Creative Commons Attribution (CC BY) license (https://creativecommons.org/licenses/by/4.0/).
Share and Cite
López-Samanes, Á.; Ramos-Álvarez, J.J.; Miguel-Tobal, F.; Gaos, S.; Jodra, P.; Arranz-Muñoz, R.; Domínguez, R.; Montoya, J.J. Influence of Beetroot Juice Ingestion on Neuromuscular Performance on Semi-Professional Female Rugby Players: A Randomized, Double-Blind, Placebo-Controlled Study. Foods 2022, 11, 3614. https://doi.org/10.3390/foods11223614
López-Samanes Á, Ramos-Álvarez JJ, Miguel-Tobal F, Gaos S, Jodra P, Arranz-Muñoz R, Domínguez R, Montoya JJ. Influence of Beetroot Juice Ingestion on Neuromuscular Performance on Semi-Professional Female Rugby Players: A Randomized, Double-Blind, Placebo-Controlled Study. Foods. 2022; 11(22):3614. https://doi.org/10.3390/foods11223614
Chicago/Turabian StyleLópez-Samanes, Álvaro, Juan José Ramos-Álvarez, Francisco Miguel-Tobal, Sofía Gaos, Pablo Jodra, Raquel Arranz-Muñoz, Raúl Domínguez, and Juan José Montoya. 2022. "Influence of Beetroot Juice Ingestion on Neuromuscular Performance on Semi-Professional Female Rugby Players: A Randomized, Double-Blind, Placebo-Controlled Study" Foods 11, no. 22: 3614. https://doi.org/10.3390/foods11223614
APA StyleLópez-Samanes, Á., Ramos-Álvarez, J. J., Miguel-Tobal, F., Gaos, S., Jodra, P., Arranz-Muñoz, R., Domínguez, R., & Montoya, J. J. (2022). Influence of Beetroot Juice Ingestion on Neuromuscular Performance on Semi-Professional Female Rugby Players: A Randomized, Double-Blind, Placebo-Controlled Study. Foods, 11(22), 3614. https://doi.org/10.3390/foods11223614

