Diversity of Legumes in the Cashew Agroforestry System in East Timor (Southeast Asia)
Abstract
1. Introduction
2. Materials and Methods
2.1. Studied Area
2.2. Diversity of Legumes in Cashew Agroforestry Systems
2.2.1. Sampling
2.2.2. Database Construction
2.3. Mineral Analyses
2.4. Statistical Analysis
3. Results
3.1. Diversity of the Legume Species in Cashew Agroforestry Systems
3.2. Legume Beans in Cashew Agroforestry Systems
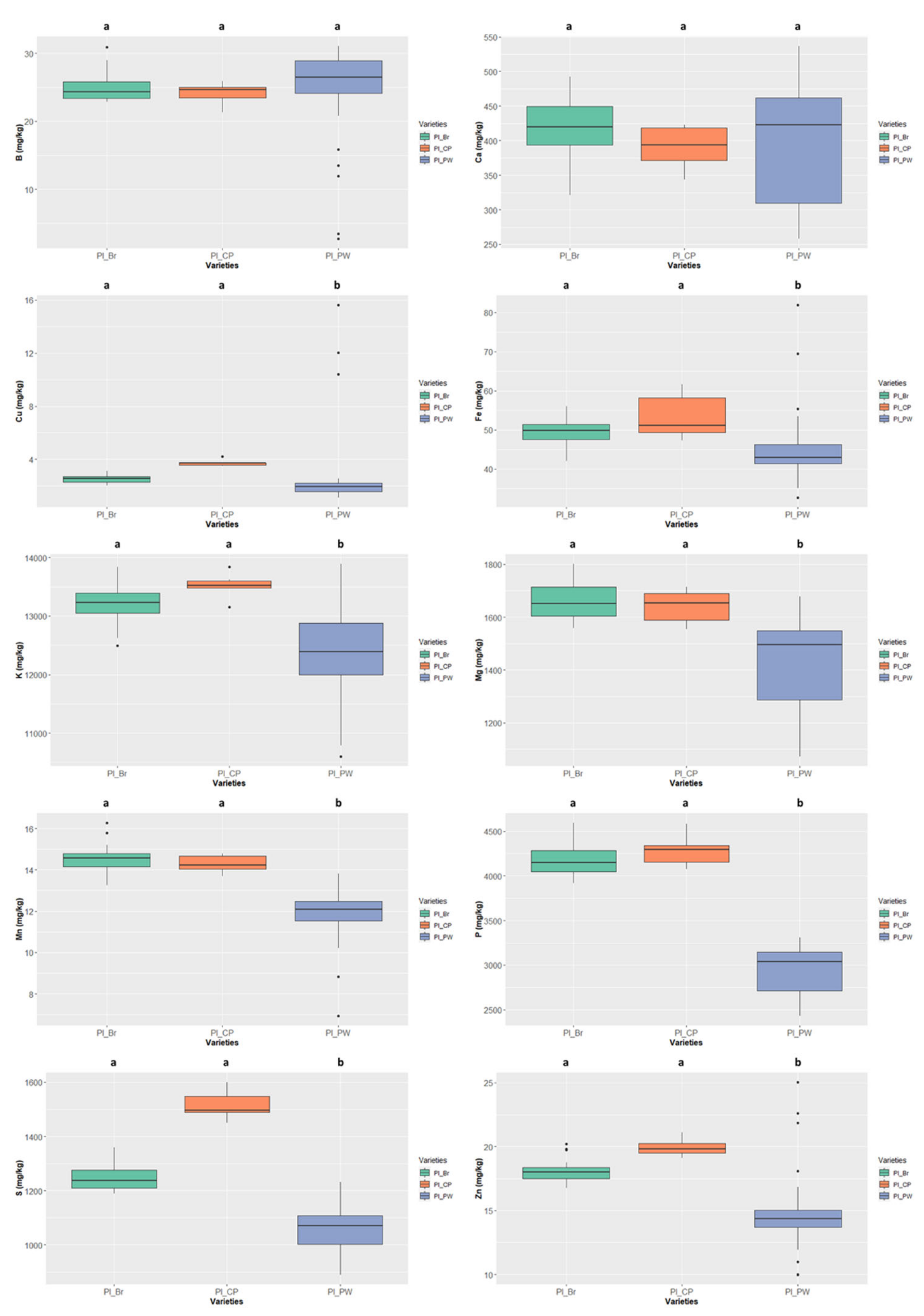
3.3. Mineral Composition
3.3.1. Mineral Profiles of the Six Legume Species
3.3.2. Mineral Profiles Variability in Seed Colour Types
4. Discussion
5. Conclusions
Supplementary Materials
Author Contributions
Funding
Data Availability Statement
Acknowledgments
Conflicts of Interest
References
- Workie, E.; Mackolil, J.; Nyika, J.; Ramadas, S. Deciphering the impact of COVID-19 pandemic on food security, agriculture, and livelihoods: A review of the evidence from developing countries. Curr. Opin. Environ. Sustain. 2020, 2, 100014. [Google Scholar] [CrossRef] [PubMed]
- Lin, H.I.; Yu, Y.Y.; Wen, F.I.; Liu, P.T. Status of Food Security in East and Southeast Asia and Challenges of Climate Change. Climate 2022, 10, 40. [Google Scholar] [CrossRef]
- World Bank. Timor-Leste: Share of Economic Sectors in the Gross Domestic Product (GDP) from 2010 to 2020. Available online: https://www.statista.com/statistics/728875/share-of-economic-sectors-in-the-gdp-in-timor-leste/ (accessed on 18 October 2022).
- Government of East-Timor. Population and Housing Census 2015: Preliminary Results. Direcção Geral de Estatística de East-Timor. Available online: http://www.statistics.gov.tl/wp-content/uploads/2015/10/1-Preliminary-Results-4-Printing-Company-19102015.pdf (accessed on 7 March 2022).
- Fox, J.J. Drawing from the past to prepare for the future: Responding to the challenges of food security in East Timor. In Agriculture: New Directions for a New Nation East Timor (Timor-Leste); ACIAR Proceedings: Dili, East Timor, 2003; Volume 113, pp. 105–114. [Google Scholar]
- Costa, H. The evolution of agricultural policies in East Timor. In Agriculture: New Directions for a New Nation East Timor (Timor-Leste); ACIAR Proceedings: Dili, East Timor, 2002; Volume 113, pp. 45–56. [Google Scholar]
- FAO. Evaluation of FAO’s Contribution to the Democratic Republic of Timor-Leste—2015–2018 Food and Agriculture Organization of the United Nations, Rome. Available online: http://www.fao.org/3/ca5653en/ca5653en.pdf (accessed on 16 June 2021).
- FAO. Timor-Leste at a Glance. Available online: https://www.fao.org/timor-leste/fao-in-timor-leste/timor-leste-at-a-glance/en/ (accessed on 16 March 2022).
- República Democrática de Timor-Leste. East-Timor Strategic Development Plan 2011–2030. Available online: https://www.adb.org/sites/default/files/linked-documents/cobp-tim-2014-2016-sd-02.pdf (accessed on 2 March 2022).
- Leakey, R. Definition of agroforestry revisited. Agrofor. Today 1996, 8, 5. [Google Scholar]
- Ribeiro-Barros, A.I.; Silva, M.J.; Moura, I.; Ramalho, J.C.; Máguas-Hanson, C.; Ribeiro, N.S. The potential of tree and shrub legumes in agroforestry systems. In Nitrogen in Agriculture-Updates; Amanullah, K., Fahad, S., Eds.; IntechOpen: London, UK, 2018; pp. 223–239. [Google Scholar] [CrossRef]
- Hartutik, S.; Fernandez, P.T.; Ratnawaty, S. Evaluation of legume herbs nutritive value as a ruminant feed and nitrogen supply on soil in West Timor, Indonesia. Pak. J. Agric. Sci. 2012, 25, 323–331. [Google Scholar]
- Bruning, B.; Rozema, J. Symbiotic nitrogen fixation in legumes: Perspectives for saline agriculture. Environ. Exp. Bot 2013, 92, 134–143. [Google Scholar] [CrossRef]
- Gutteridge, R.C.; Shelton, H.M. The role of forage tree legumes in cropping and grazing systems. In Forage Tree Legumes in Tropical Agriculture; Mathison, G.W., Ed.; Cab International: Wallingford, UK, 1994; pp. 3–11. [Google Scholar]
- Vidigal, P.; Romeiras, M.M.; Monteiro, F. Crops Diversification and the Role of Orphan Legumes to Improve the Sub-Saharan Africa Farming Systems; IntechOpen: London, UK, 2019; pp. 1–20. [Google Scholar]
- Stagnari, F.; Maggio, A.; Galieni, A.; Pisante, M. Multiple benefits of legumes for agriculture sustainability: An overview. Chem. Biol. Technol. 2017, 4, 1–13. [Google Scholar] [CrossRef]
- Saikia, P.; Nag, A.; Anurag, S.; Chatterjee, S.; Khan, M.L. Tropical Legumes: Status, Distribution, Biology and Importance. In The Plant Family Fabaceae; Hasanuzzaman, M., Araújo, S., Gill, S., Eds.; Springer: Singapore, 2020; pp. 27–41. [Google Scholar] [CrossRef]
- Rubiales, D.; Mikic, A. Introduction: Legumes in Sustainable Agriculture. Crit. Rev. Plant Sci. 2015, 34, 2–3. [Google Scholar] [CrossRef]
- Catarino, S.; Duarte, M.C.; Costa, E.; Carrero, P.G.; Romeiras, M.M. Conservation and sustainable use of the medicinal Leguminosae plants from Angola. PeerJ 2019, 7, e6736. [Google Scholar] [CrossRef]
- Zhong, L.; Fang, Z.; Wahlqvist, M.L.; Wu, G.; Hodgson, J.M.; Johnson, S.K. Seed coats of pulses as a food ingredient: Characterization, processing, and applications. Trends Food Sci. Technol. 2018, 80, 35–42. [Google Scholar] [CrossRef]
- Rawal, V.; Navarro, D.K. The Global Economy of Pulses; FAO: Rome, Italy, 2019; p. 190. [Google Scholar]
- Charrua, A.; Havik, P.; Bandeira, S.; Catarino, L.; Ribeiro-Barros, A.; Cabral, P.; Moldão, M.; Romeiras, M. Food security and nutrition in Mozambique: Comparative study with bean species commercialised in informal markets. Sustainability 2021, 13, 8839. [Google Scholar] [CrossRef]
- Catarino, S.; Brilhante, M.; Essoh, A.P.; Charrua, A.B.; Rangel, J.; Roxo, G.; Varela, E.; Moldão, M.; Ribeiro-Barros, A.; Bandeira, S.; et al. Exploring physicochemical and cytogenomic diversity of African cowpea and common bean. Sci. Rep. 2021, 11, 12838. [Google Scholar] [CrossRef] [PubMed]
- Shankar, A.H. Mineral deficiencies. In Hunter’s Tropical Medicine and Emerging Infectious Diseases; Magill, A.J., Ryan, E.T., Hill, D.R., Solomon, T., Eds.; Elsevier: North York, ON, Canada, 2020; pp. 1048–1054. [Google Scholar]
- Andersen, A.B.; Pant, J.; Thilsted, S.H. Food and Nutrition Security in Timor-Leste. WorldFish. Available online: https://aquadocs.org/handle/1834/28742 (accessed on 17 March 2022).
- Paudel, S.; Baral, H.; Rojario, A.; Bhatta, K.P.; Artati, Y. Agroforestry: Opportunities and Challenges in Timor-Leste. Forests 2022, 13, 41. [Google Scholar] [CrossRef]
- Roos, M.C.; Keßler, P.J.A.; Gradstein, S.R.; Baas, P. Species diversity and endemism of five major Malesian islands: Diversity-area relationships. J. Biogeogr. 2004, 31, 1893–1908. [Google Scholar] [CrossRef]
- Sodhi, N.S.; Koh, L.P.; Brook, B.W.; Ng, P.K. Southeast Asian biodiversity: An impending disaster. Trends Ecol. Evol. 2004, 19, 654–660. [Google Scholar] [CrossRef]
- Van Welzen, P.C.; Slik, J.W.F.; Alahuhta, J. Plant distribution patterns and plate tectonics in Malesia. In Proceedings of the Plant Diversity and Complexity Patterns: Local, Regional, and Global Dimensions. International Symposium Held at the Royal Danish Academy of Sciences and Letters, Copenhagen, Denmark, 25–28 May 2003; p. 199. [Google Scholar]
- Morrone, J.J. Biogeographical regionalisation of the world: A reappraisal. Aust. Syst. Bot. 2015, 28, 81–90. [Google Scholar] [CrossRef]
- Molyneux, N.; Da Cruz, G.R.; Williams, R.L.; Andersen, R.; Turner, N.C. Climate change and population growth in Timor Leste: Implications for food security. Ambio 2012, 41, 823–840. [Google Scholar] [CrossRef] [PubMed]
- Bouma, G.A.; Kobryn, H.T. Change in vegetation cover in East Timor, 1989–1999. In Natural Resources Forum; Blackwell Publishing Ltd.: Oxford, UK, 2004; pp. 1–12. [Google Scholar]
- Ministry of Finance and Ministry of Agriculture and Fisheries. National Report on Final Census Results Timor-Leste Agriculture Census 2019. Available online: https://www.statistics.gov.tl/wp-content/uploads/2020/11/FINAL-MAIN-REPORT-TLAC2019.pdf (accessed on 21 March 2022).
- Food and Agriculture Organization of the United Nations. FAOSTAT Statistical Database on Crops and Livestock Products, Area Harvested. Available online: https://www.fao.org/faostat/en/#data/QCL (accessed on 18 October 2022).
- Plants of the World Online. Available online: http://www.plantsoftheworldonline.org/ (accessed on 17 April 2022).
- International Legume Database and Information Service. Available online: https://www.ildis.org/ (accessed on 17 April 2022).
- Catarino, L.; Romeiras, M.M.; Bancessi, Q.; Duarte, D.; Faria, D.; Monteiro, F.; Moldão, M. Edible leafy vegetables from West Africa (Guinea-Bissau): Consumption, trade and food potential. Foods 2019, 8, 493. [Google Scholar] [CrossRef]
- Shapiro, S.S.; Wilk, M.B. An analysis of variance test for normality (complete samples). Biometrika 1965, 52, 591–611. [Google Scholar] [CrossRef]
- Ogle, D.; Ogle, M.D. Package ‘FSA’; CRAN Repos. 2017, pp. 1–206. Available online: https://CRAN.R-project.org/package=FSA (accessed on 17 April 2022).
- Oksanen, J.; Kindt, R.; Legendre, P.; O’Hara, B.; Stevens, M.H.H.; Oksanen, M.J.; Suggests, M.A.S.S. The vegan package. Community Ecol. Package 2007, 10, 719. [Google Scholar]
- Wickham, H. ggplot2: Elegant Graphics for Data Analysis; Springer: New York, NY, USA, 2016. [Google Scholar]
- R Core Team: A Language and Environment for Statistical Computing. R Foundation for Statistical Computing: Vienna, Austria. Available online: https://www.R-project.org/ (accessed on 29 March 2021).
- Useful Tropical Plants Database. Available online: https://tropical.theferns.info/ (accessed on 17 March 2022).
- Plant Resources of Tropical Africa. Available online: https://www.prota4u.org/database/ (accessed on 17 March 2022).
- Wortmann, C.S.; Allen, D.J. African Bean Production Environments: Their Definition, Characteristics and Constraints. Centro Internacional de Agricultura Tropical (CIAT). Occas. Publ. Ser. 1994, 11, 47. [Google Scholar]
- Gorton, C. Food and nutrition security in Timor-Leste: Challenges and Prospects. Future Directions International. Available online: https://apo.org.au/sites/default/files/resource-files/2018-08/aponid186806.pdf (accessed on 7 March 2022).
- Lopes, M.; Nesbitt, H. Improving food security in Timor-Leste with higher yield crop varieties. In Proceedings of the 56th AARES annual conference, Fremantle, Australia, 7–10 February 2021. [Google Scholar] [CrossRef]
- Adiga, J.D.; Kalaivanan, D. Cashew Based Cropping Systems. In Cashew: Improvement, Production and Processing; Saroj, P.L., Ed.; Astral International Ltd.: New Delhi, India, 2017; pp. 277–293. [Google Scholar]
- Famaye, A.O.; Adeyemi, E.A. Effect of cashew/rice/plantain intercropped on Weed incidence in Edo State, Nigeria. ARPN J. Agric. Biol. Sci. 2011, 6, 62–65. [Google Scholar]
- Abeysinghe, D.C.; Sangakkara, U.R.; Jayasekera, S.J.B.A. Intercropping.of young cashew (Anacardium occidentale L.) and its effects on crop productivity and land utilization. Trop. Agric. Res. 2003, 15, 10–19. [Google Scholar]
- Gajbhiye, R.C.; Pawar, S.N.; Zote, V.K.; Sawant, B.N. Intercropping of Different Vegetable Crops in New Cashew Plantation under Konkan Conditions of Maharashtra, India. Int. J. Curr. Microbiol. App. Sci. 2020, 9, 448–455. [Google Scholar] [CrossRef]
- Grosvenor, P.W.; Gothard, P.K.; McWilliam, N.C.; Supriono, A.; Gray, D.O. Medicinal plants from Riau Province, Sumatra, Indonesia. Part 1: Uses. J. Ethnopharmacol. 1995, 45, 75–95. [Google Scholar] [CrossRef]
- Chew, Y.L.; Ling Chan, E.W.; Tan, P.L.; Lim, Y.Y.; Stanslas, J.; Goh, J.K. Assessment of phytochemical content, polyphenolic composition, antioxidant and antibacterial activities of Leguminosae medicinal plants in Peninsular Malaysia. BMC Complement. Med. Ther. 2011, 11, 12. [Google Scholar] [CrossRef] [PubMed]
- Sutjaritjai, N.; Wangpakapattanawong, P.; Balslev, H.; Inta, A. Traditional uses of Leguminosae among the Karen in Thailand. Plants 2019, 8, 600. [Google Scholar] [CrossRef] [PubMed]
- Dangi, P.; Chaudhary, N.; Gajwani, D. Antinutritional Factors in Legumes. In Handbook of Cereals, Pulses, Roots, and Tubers; CRC Press: Boca Raton, FL, USA, 2021; pp. 305–318. [Google Scholar]
- Ekanayake, S.; Skog, K.; Asp, N.G. Canavanine content in sword beans (Canavalia gladiata): Analysis and effect of processing. Food Chem. Toxicol. 2007, 45, 797–803. [Google Scholar] [CrossRef]
- Friday, J.B. Agroforestry opportunities for East-Timor. Forage banks and forage gardens. In Timor-Leste Agricultural Rehabilitation, Economic Growth, and Sustainable Natural Resources Management Project. University of Hawaii at Manoa; U.S. Agency for International Development: Washington, DC, USA, 2005. [Google Scholar]
- Monteiro, F.; Romeiras, M.; Figueiredo, A.; Sebastiana, M.; Baldé, A.; Catarino, L.; Batista, D. Tracking cashew economically important diseases in the West African region using metagenomics. Front. Plant Sci. 2015, 6, 482. [Google Scholar] [CrossRef]
- Monteiro, F.; Catarino, L.; Batista, D.; Indjai, B.; Duarte, M.C.; Romeiras, M.M. Cashew as a high agricultural commodity in West Africa: Insights towards sustainable production in Guinea-Bissau. Sustainability 2017, 9, 1666. [Google Scholar] [CrossRef]
- Erskine, W.; Ximenes, A.; Glazebrook, D.; da Costa, M.; Lopes, M.; Spyckerelle, L.; Williams, R.; Nesbitt, H. The role of wild foods in food security: The example of Timor-Leste. Food Secur. 2015, 7, 55–65. [Google Scholar] [CrossRef]
- Adeparusi, E.O. Effect of processing on the nutrients and anti-nutrients of lima bean (Phaseolus lunatus L.) flour. Food 2001, 45, 94–96. [Google Scholar] [CrossRef]
- Abbaspour, N.; Hurrell, R.; Kelishadi, R. Review on iron and its importance for human health. J Res Med. Sci. 2014, 19, 164–174. [Google Scholar]
- Maares, M.; Haase, H. Zinc and immunity: An essential interrelation. Arch. Biochem. Biophys. 2016, 611, 58–65. [Google Scholar] [CrossRef]
- General Directorate of Statistics, Ministry of Health and ICF. Timor-Leste Demographic and Health Survey 2016. Dili, Timor-Leste and Rockville, Maryland, USA: GDS and ICF. Available online: https://www.dhsprogram.com/pubs/pdf/FR329/FR329.pdf (accessed on 21 March 2022).
- Tiwari, B.K.; Singh, N. Pulse Chemistry and Technology; Royal Society of Chemistry: Cambridge, UK, 2011. [Google Scholar]
- Brilhante, M.; Varela, E.; Essoh, A.P.; Fortes, A.; Duarte, M.C.; Monteiro, F.; Ferreira, V.; Correia, A.M.; Duarte, M.P.; Romeiras, M.M. Tackling Food Insecurity in Cabo Verde Islands: The Nutritional, Agricultural and Environmental Values of the Legume Species. Food 2021, 10, 206. [Google Scholar] [CrossRef] [PubMed]
- Lattanzio, V.; Cardinali, A.; Linsalata, V.; Perrino, P.; Ng, N.Q. A chemosystematic study of the flavonoids of Vigna. Genet. Resour. Crop Evol. 1996, 43, 493–504. [Google Scholar] [CrossRef]
- Lattanzio, V.; Terzano, R.; Cicco, N.; Cardinali, A.; Venere, D.D.; Linsalata, V. Seed coat tannins and bruchid resistance in stored cowpea seeds. J. Sci. Food Agric. 2005, 85, 839–846. [Google Scholar] [CrossRef]
- Ojwang, L.O.; Dykes, L.; Awika, J.M. Ultra-performance liquid chromatography–tandem quadrupole mass spectrometry profiling of anthocyanins and flavonols in cowpea (Vigna unguiculata) of varying genotypes. J. Agric. Food Chem. 2012, 60, 3735–3744. [Google Scholar] [CrossRef]
- Sombié, P.A.E.D.; Compaoré, M.; Coulibaly, A.Y.; Ouédraogo, J.T.; Tignégré, J.B.D.L.S.; Kiendrébéogo, M. Antioxidant and phytochemical studies of 31 cowpeas (Vigna unguiculata (L.) Walp.) genotypes from Burkina Faso. Foods 2018, 7, 143. [Google Scholar] [CrossRef]
- Adedayo, B.C.; Anyasi, T.A.; Taylor, M.J.; Rautenbauch, F.; Roes-Hill, L.; Jideani, V.A. Phytochemical composition and antioxidant properties of methanolic extracts of whole and dehulled Bambara groundnut (Vigna subterranea) seeds. Sci. Rep. 2021, 11, 14116. [Google Scholar] [CrossRef]
- Ranilla, L.G.; Genovese, M.I.; Lajolo, F.M. Polyphenols and antioxidant capacity of seed coat and cotyledon from Brazilian and Peruvian bean cultivars (Phaseolus vulgaris L.). J. Agric. Food Chem. 2007, 55, 90–98. [Google Scholar] [CrossRef]
- Spyckerelle, L.; Agostinho, O.F.; dos Santos, S.; Branco, L.V.; Imron, J. Advances in food availability in Timor-Leste. In Food Security in Timor-Leste through Crop Production; Nesbitt, H., Erskine, W., da Cruz, C.J., Moorhead, A., Eds.; Australian Centre for International Agricultural Research (ACIAR): Canberra, Australia, 2016; pp. 38–45. [Google Scholar]












| Location | Coordinates | Altitude (m) | Taxon 1 | No. of Samples | Main Seed Colour 1 | Code 2 |
|---|---|---|---|---|---|---|
| Batugadé | −8.966868° 124.966229° | 45 | Cajanus cajan (a) | 5 | Cream | CCa.C |
| 5 | Black | CCa.Bl | ||||
| 5 | Brownish | CCa.Br | ||||
| 6 | Cream and brown | CCa.CBr | ||||
| Beseuc | −9.432905° 125.108694° | 7 | Cajanus cajan (b) | 5 | Cream | CCb.C |
| 5 | Black | CCb.Bl | ||||
| 3 | Brownish | CCb.Br | ||||
| 5 | Cream and brown | CCb.CBr | ||||
| Kefamenanu | −9.441529° 124.483582° | 426 | Phaseolus lunatus (a) | 10 | Purple and white | PLa.PW |
| 1 | Cream and purple | PLa.CP | ||||
| 4 | Brownish | PLa.Br | ||||
| Fatucahi | −9.037613° 125.971621° | 51 | Phaseolus lunatus (b) | 10 | Purple and white | PLb.PW |
| 1 | Cream and purple | PLb.CP | ||||
| 4 | Brownish | PLb.Br | ||||
| Ai-oan | −9.410409° 125.147416° | 7 | Phaseolus vulgaris | 5 | Brown | PV.Br |
| 5 | Brown | PV.Br | ||||
| 5 | Brown | PV.Br | ||||
| Baucau | −8.487492° 126.370399° | 513 | Vigna angularis | 5 | Bordeaux | VA.Bo |
| 5 | Bordeaux | VA.Bo | ||||
| 5 | Bordeaux | VA.Bo | ||||
| Fatucahi | −9.037613° 125.971621° | 51 | Vigna radiata | 5 | Green | VR.G |
| 5 | Green | VR.G | ||||
| 5 | Green | VR.G | ||||
| Fatucahi | −9.021160° 125.964844° | 51 | Vigna unguiculata (a) | 5 | Bordeaux | VUa.Bo |
| 5 | Bordeaux | VUa.Bo | ||||
| 5 | Bordeaux | VUa.Bo | ||||
| Fatucahi | −9.037613° 125.971621° | 51 | Vigna unguiculata(b) | 5 | Black | VUb.Bl |
| 5 | Black | VUb.Bl | ||||
| 5 | Black | VUb.Bl |
| Species | Status | Habit | Common Name (Language) | Location 1 | Food | Fodder/Forage | Medicine | Domestic Uses |
|---|---|---|---|---|---|---|---|---|
| Acacia ancistrocarpa Maiden & Blakely | I | T | Ai-kasi (Tt) | Bobonaro (Batugadé); Manatuto (Cribas, Manatuto) | ● | ● | ||
| Acacia auriculiformis A.Cunn. ex Benth. | N? | T | Ai-kasi, ai-bubur mutin (Tt) | Cova Lima (Ai-oan); Manatuto (Cribas) | ● | ● | ||
| Acacia dealbata Link | I | T | Ai-kafe malae, funan kinur (Tt) | Bobonaro (Sanirin); Manatuto (Natarbora) | ● | ● | ||
| Acacia iteaphylla F.Muell. ex Benth. | I | T | Ai-tasi tarak, funan kinur (Tt) | Bobonaro (Sanirin); Manatuto (Cribas, Manatuto) | ● | |||
| Acacia mangium Willd. | I | T | Ai-bubur (Tt) | Manatuto (Cribas) | ● | ● | ||
| Acacia stenophylla A.Cunn. ex Benth. | I | T | Ai-kasi, tarak funan kinur (Tt) | Bobonaro (Batugadé, Sanirin); Manatuto (Manatuto) | ● | ● | ||
| Afzelia quanzensis Welw. | I | T | Musan matan mean (Tt) | Manatuto (Natarbora) | ● | |||
| Albizia julibrissin Durazz. | I | T | Samtuku malae (Tt) | Bobonaro (Batugadé) | ● | ● | ||
| Alysicarpus vaginalis (L.) DC. | I | S | Duút (Tt) | Manatuto (Cribas, Natarbora) | ● | ● | ||
| Arachis hypogaea L. | I | S | Fore-rai (Tt) | Bobonaro (Batugadé) | ● | ● | ● | |
| Arachis pintoi Krapov. & W.C.Greg. | I | S | Fore-fuik | Manatuto (Cribas, Natarbora) | ● | |||
| Bauhinia cheilantha (Bong.) Steud. | I | T | Manatuto (Cribas) | ● | ||||
| Caesalpinia pulcherrima (L.) Sw. | I | T | A-funan tarak, Ai-manu-ikun | Manatuto (Natarbora) | ● | ● | ● | |
| Cajanus cajan (L.) Huth (=Cajanus indicus Spreng.) | I | S | Tunis, Tunis makerek, metan, mutin (Tt) | Bobonaro (Batugadé) [Also in: Aileu (Aileu); Ainaro (Maubisse); Baucau (Gariuri, Triloca, Venilale); Cova Lima (Beseuc, Suai, Suai Loro); Dili (Ataúro-Makili); Ermera (Gleno, Railaco); Liquiçá (Liquiçá); Manatuto (Cribas)] | ● | ● | ● | |
| Calopogonium mucunoides Desv. | I | C | Lehe mutin fuik (Tt) | Manatuto (Cribas) | ● | ● | ● | |
| Canavalia gladiata (Jacq.) DC. | I | C | Koto-moruk (Tt) | Cova Lima (Beseuc) | ● | ● | ||
| Cassia javanica Vell. | N | T | Laiki (Mc); Ai-kasi moruk (Tt) | Manatuto (Cribas) | ● | ● | ||
| Centrosema pubescens Benth. | I | C | Koto fuik (Tt), Fore-mungo fuik (Tt) | Bobonaro (Batugadé) | ● | |||
| Chamaecrista nictitans (L.) Moench | N | S | Du’ut maria moe dor (Tt) | Manatuto (Manatuto); Viqueque (Viqueque) | ● | |||
| Crotalaria pallida Aiton | I | S | Kalaur fuik (Tt) | Bobonaro (Maliana-Maumali) | ● | ● | ||
| Delonix regia (Bojer ex Hook.) Raf. | I | T | Ai-kasi funan mean (Tt) | Bobonaro (Sanirin); Manatuto (Cribas, Natarbora) | ● | ● | ● | |
| Erythrina abyssinica Lam. | I | T | Ai-dik funan mean (Tt) | Manatuto (Cribas) | ● | |||
| Erythrina americana Mill. (=Erythrina coralloides Moc. & Sessé ex DC.) | I | T | Ai-dik malae funan mean (Tt) | Bobonaro (Batugadé) | ● | |||
| Erythrina fusca Lour. | I | T | Ai-dik malae funan mean (Tt) | Bobonaro (Batugadé) | ● | |||
| Erythrina lysistemon Hutch. | I | T | Manatuto (Natarbora) | ● | ||||
| Erythrina speciosa Andrews | I | T | Ai-dik funan mean (Tt) | Bobonaro (Batugadé); Manatuto (Natarbora) | ● | |||
| Gliricidia sepium (Jacq.) Kunth | I | S | Amare (Tt); Gamal (Ml) | Baucau (Triloca); Bobonaro (Batugadé, Maliana-Maumali, Sanirin); Lautém (Lospalos); Manatuto (Cribas, Natarbora) | ● | ● | ● | ● |
| Glycine max (L.) Merr. | I | S | Fore-keli | Bobonaro (Sanirin) | ● | ● | ● | |
| Indigofera suffruticosa Mill. | I | S | Ai-Taun (Tt), daru (Mc) | Bobonaro (Batugadé, Maliana-Maumali, Sanirin); Manatuto (Cribas, Natarbora) | ● | |||
| Lathyrus oleraceus Lam. (=Pisum sativum L.) | I | S | Ervilha (Mc) | Manufahi (Fatucahi) | ● | ● | ||
| Leucaena leucocephala (Lam.) de Wit | I | T | Ai-kafe Timor (Tt) | Baucau (Baucau); Bobonaro (Batugadé, Sanirin); Manatuto (Cribas) | ● | ● | ● | ● |
| Mimosa pudica L. | I | S | Duút Maria Moe dor (Tt) | Bobonaro (Maliana-Maumali); Manatuto (Cribas) | ● | |||
| Moringa oleifera Lam. | I | T | Marungi (Tt) | Bobonaro (Sanirin); Manatuto (Cribas, Natarbora); Manufahi (Fatucahi) | ● | ● | ||
| Mucuna pruriens (L.) DC. | I | C | Lehe metan (Tt) | Manatuto (Cribas, Natarbora) | ● | ● | ● | |
| Pachyrhizus erosus (L.) Urb. | I | T | Sinkumas (Tt) | Bobonaro (Batugadé); Manatuto (Cribas) | ● | ● | ||
| Phaseolus lunatus L. | I | C | Koto moruk (Tt) Koto mean | West Timor (Indonesia), Kupang District (Kefamenanu) [Also in: Baucau (Baguia, Venilale); Covalima (Suai); Manufahi (Fatucahi, Same)] | ● | ● | ● | |
| Phaseolus vulgaris L | I | C | Koto mean (Tt) | Manufahi (Fatucahi) [Also in: Baucau (Baguia, Fatumaca, Quelicai, Venilale); Aileu (Liquidoe, Seloi); Ainaro (Ainaro, Hatu Builico, Maubisse); Cova Lima (Ai-oan)] | ● | ● | ||
| Samanea saman (Jacq.) Merr. (=Albizia saman (Jacq.) F.Muell.) | I | T | Ai-matan dukur (Tt) | Bobonaro (Maliana-Maumali, Tunu-bibi); Manatuto (Cribas) | ● | ● | ● | |
| Senna alata (L.) Roxb. | I | S | Senna | Manatuto (Natarbora) | ● | |||
| Senna occidentalis (L.) Link | I | S | Bobonaro (Maliana-Maumali) | ● | ● | ● | ||
| Senna siamea (Lam.) H.S.Irwin & Barneby (=Cassia siamea Lam.) | I | T | Ai-kaixote ou ai-kasi (Tt) | Bobonaro (Sanirin); Manatuto (Cribas) | ● | ● | ● | ● |
| Senna tora (L.) Roxb. (=Cassia tora L.) | I | S | Fore-rai fuik (Tt), Bibu hure (Km) | Bobonaro (Sanirin); Manatuto (Cribas) | ● | ● | ● | |
| Sesbania grandiflora (L.) Poir. | I | S | Ai-turi (Tt) | Baucau (Baucau); Bobonaro (Sanirin); Manufahi (Fatucahi) | ● | ● | ● | ● |
| Styphnolobium japonicum (L.) Schott | I | T | Ai-kaixote, Ai-Kasi funan mutin (Tt) | Manatuto (Cribas, Natarbora) | ● | |||
| Tamarindus indica L. | I | T | Sukaer | Bobonaro (Batugadé, Sanirin) | ● | ● | ● | ● |
| Vachellia farnesiana (L.) Wight & Arn | I | T | Xira (Mc) | Bobonaro (Batugadé, Sanirin); Manatuto (Cribas); Manufahi (Fatucahi) | ● | |||
| Vigna angularis (Willd.) Ohwi & H.Ohashi | I | C | Fore-masin (Tt) | Baucau (Baucau); Cova Lima (Ai-oan, Beseuc, Suai) [Also in: Aileu] | ● | ● | ||
| Vigna mungo (L.) Hepper | I | C | Fore-mungo metan | Cova Lima (Suai) | ● | |||
| Vigna radiata (L.) R.Wilczek | N | C | Fore-mungo (Tt) | Cova Lima (Ai-oan) [Also in: Liquiçá (Liquiçá); Cova Lima (Suai); Manufahi (Betano, Fatucahi, Same)] | ● | ● | ● | |
| Vigna unguiculata (L.) Walp. | I | C | Foretali mean; Foretali metan (Tt) | Baucau (Baucau); Bobonaro (Batugadé); Cova Lima (Ai-oan); Manufahi (Fatucahi) [Also in: Aileu (Aileu); Ainaro (Ainaro, Maubisse); Baucau (Baguia, Baucau, Bercoli, Bucoli, Buruma, Gariuri, Laga, Quelicai, Seiçal, Triloca, Uailili, Venilale); Dili (Ataúro); Ermera (Gleno, Railaco); Lautém (Lospalos); Liquiçá (Liquiçá); Manatuto (Laclubar, Manatuto); Manufahi (Fatucahi); Oecussi-Ambeno (Naimeco, Padiae)] | ● | ● | ● |
Publisher’s Note: MDPI stays neutral with regard to jurisdictional claims in published maps and institutional affiliations. |
© 2022 by the authors. Licensee MDPI, Basel, Switzerland. This article is an open access article distributed under the terms and conditions of the Creative Commons Attribution (CC BY) license (https://creativecommons.org/licenses/by/4.0/).
Share and Cite
Guterres, L.; Duarte, M.C.; Catarino, S.; Roxo, G.; Barnabé, J.; Sebastiana, M.; Monteiro, F.; Romeiras, M.M. Diversity of Legumes in the Cashew Agroforestry System in East Timor (Southeast Asia). Foods 2022, 11, 3503. https://doi.org/10.3390/foods11213503
Guterres L, Duarte MC, Catarino S, Roxo G, Barnabé J, Sebastiana M, Monteiro F, Romeiras MM. Diversity of Legumes in the Cashew Agroforestry System in East Timor (Southeast Asia). Foods. 2022; 11(21):3503. https://doi.org/10.3390/foods11213503
Chicago/Turabian StyleGuterres, Lara, Maria Cristina Duarte, Silvia Catarino, Guilherme Roxo, João Barnabé, Mónica Sebastiana, Filipa Monteiro, and Maria Manuel Romeiras. 2022. "Diversity of Legumes in the Cashew Agroforestry System in East Timor (Southeast Asia)" Foods 11, no. 21: 3503. https://doi.org/10.3390/foods11213503
APA StyleGuterres, L., Duarte, M. C., Catarino, S., Roxo, G., Barnabé, J., Sebastiana, M., Monteiro, F., & Romeiras, M. M. (2022). Diversity of Legumes in the Cashew Agroforestry System in East Timor (Southeast Asia). Foods, 11(21), 3503. https://doi.org/10.3390/foods11213503

