The Chemical, Microbiological and Volatile Composition of Kefir-like Beverages Produced from Red Table Grape Juice in Repeated 24-h Fed-Batch Subcultures
Abstract
1. Introduction
2. Materials and Methods
2.1. Kefir Grains, Activation and Conservation
2.2. Juice Preparation and Fermentation Conditions
2.3. Microbiological Counts in the Fermentation Medium
2.4. Analytical Methods
2.5. Antibacterial Activity Quantification
2.6. Chemical Standards and Reagents
2.7. Volatile Compounds Analysis
2.8. Chromatographic Analyses
2.9. Identification and Quantification
2.10. Determination of Odor Activity Values
2.11. Enumeration of Microorganisms on the Kefir Grains
2.12. Statistical Analyses
3. Results and Discussion
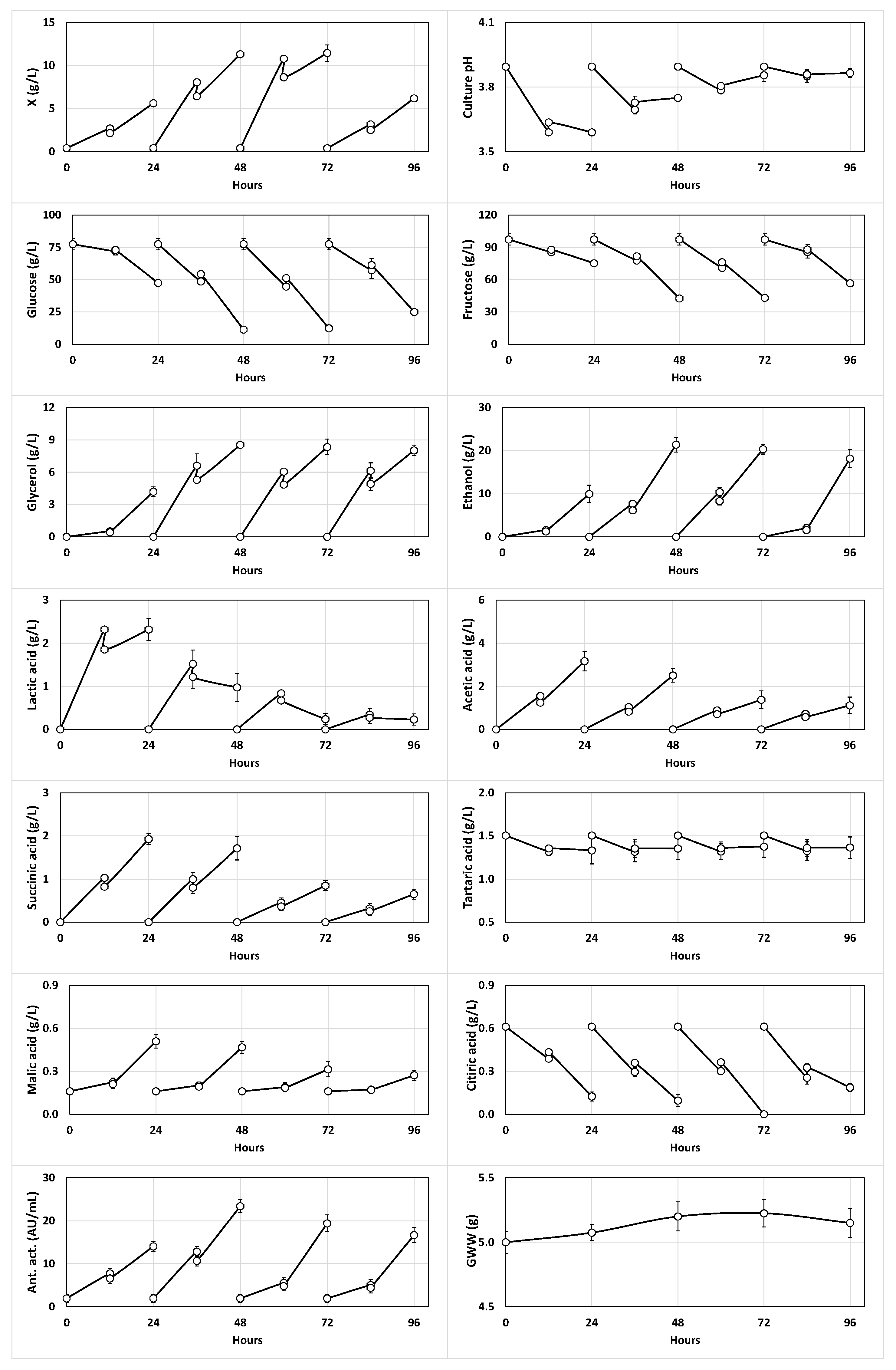
3.1. The Fed-Batch Fermentation of Red Table Grapes Juice (Initial pH 3.99) with Kefir Grains
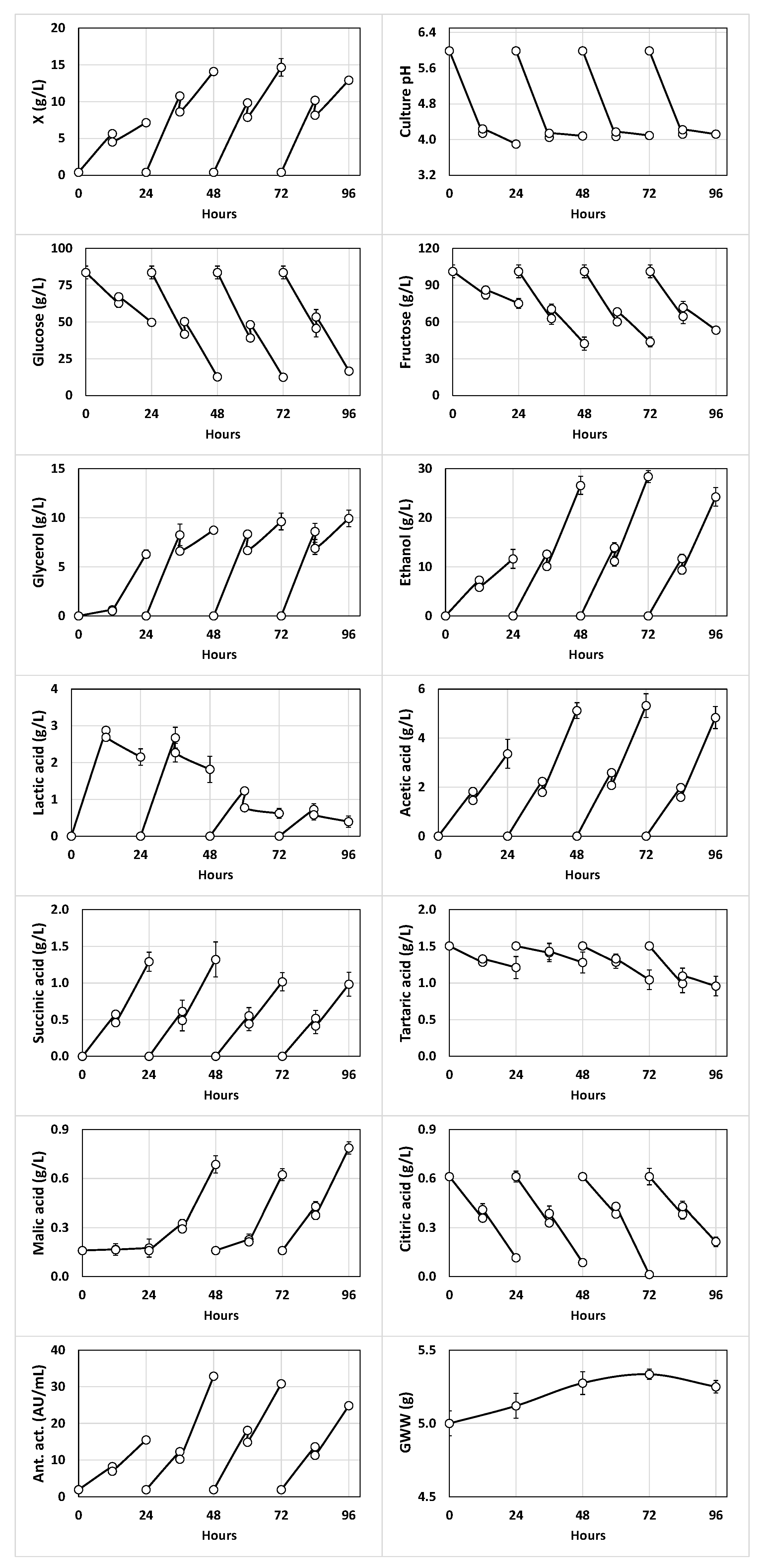
3.2. Fed-Batch Fermentation of Red Table Grapes Juice (Initial pH 5.99) with Kefir Grains
3.3. Volatile Composition of the Different Fermented Samples
3.4. Statistical Analysis of the Microbiological, Chemical and Volatile Compositions of the Fermented Samples
4. Conclusions
Author Contributions
Funding
Institutional Review Board Statement
Informed Consent Statement
Data Availability Statement
Conflicts of Interest
References
- Cais-Sokolińska, D.; Wójtowski, J.; Pikul, J. Rheological, texture and sensory properties of kefir from mare’s milk and its mixtures with goat and sheep milk. Mljekarstvo/Dairy 2016, 66, 272–281. [Google Scholar] [CrossRef]
- Farnworth, E.R.; Mainville, I. Kefir−A fermented milk product. In Handbook of Fermented Functional Foods, 2nd ed.; Farnworth, E.R., Ed.; CRC Press: Boca Raton, FL, USA; Taylor & Francis Group LLC: Boca Raton, FL, USA, 2008; pp. 103–110. [Google Scholar]
- Abraham, A.; De Antoni, G. Characteristics of kefir grain grown in milk and in soy milk. J. Dairy Res. 1999, 66, 327–333. [Google Scholar] [CrossRef]
- Piermaria, J.A.; de la Canal, M.L.; Abraham, A.G. Gelling properties of kefiran, a food-grade polysaccharide obtained from kefir grain. Food Hydrocoll. 2008, 22, 1520–1527. [Google Scholar] [CrossRef]
- Gösta, M.; López, A. Manual de Industrias Lácteas. Tetra Pak AB Processing Systems: Madrid, Spain; Mundi-Prensa Libros: Madrid, Spain, 2003. [Google Scholar]
- Fiorda, F.A.; Pereira, G.V.M.; Thomaz-Soccol, V.; Medeiros, A.P.; Rakshit, S.K.; Soccol, C.R. Development of kefir-based probiotic beverages with DNA protection and antioxidant activities using soybean hydrolyzed extract, colostrum and honey. LWT -Food Sci. Technol. 2016, 68, 690–697. [Google Scholar] [CrossRef]
- Hertzler, S.R.; Clancy, S.M. Kefir improves lactose digestion and tolerance in adults with lactose maldigestion. J. Am. Diet. Assoc. 2003, 103, 582–587. [Google Scholar] [CrossRef]
- Liu, J.R.; Wang, S.Y.; Chen, M.J.; Chen, H.L.; Yueh, P.Y.; Lin, C.W. Hypocholesterolaemic effects of milk-kefir and soyamilk-kefir in cholesterol-fed hamsters. Br. J. Nut. 2006, 95, 939–946. [Google Scholar] [CrossRef]
- Ismaiel, A.A.; Ghaly, M.F.; El-Naggar, A.K. Some physicochemical analyses of kefir produced under different fermentation conditions. J. Sci. Ind. Res. 2011, 70, 365–372. [Google Scholar]
- Puerari, C.; Magalhães, K.T.; Schwan, R.F. New cocoa pulp-based kefir beverages: Microbiological, chemical composition and sensory analysis. Food Res. Int. 2012, 48, 634–640. [Google Scholar] [CrossRef]
- Corona, O.; Randazzo, W.; Miceli, A.; Guarcello, R.; Francesca, N.; Erten, H.; Moschetti, G.; Settanni, L. Characterization of kefir-like beverages produced from vegetable juices. LWT-Food Sci. Technol. 2016, 66, 572–581. [Google Scholar] [CrossRef]
- Randazzo, W.; Corona, O.; Guarcello, R.; Francesca, N.; Germanà, M.A.; Erten, H.; Moschetti, G.; Settanni, L. Development of new non-dairy beverages from Mediterranean fruit juices fermented with water kefir microorganisms. Food Microbiol. 2016, 54, 40–51. [Google Scholar] [CrossRef]
- Shanmuganayagam, D.; Warner, T.F.; Krueger, C.G.; Reed, J.D.; Folts, J.D. Concord grape juice attenuates platelet aggregation, serum cholesterol and development of atheroma in hypercholesterolemic rabbits. Atherosclerosis 2007, 190, 135–142. [Google Scholar] [CrossRef]
- God, J.M.; Tate, P.; Larcom, L.L. Anticancer effects of four varieties of muscadine grape. J. Med. Food 2007, 10, 54–59. [Google Scholar] [CrossRef] [PubMed]
- Jung, K.; Wallig, M.; Singletary, K. Purple grape juice inhibits 7,12-dimethylbenz-[a]anthracene (DMBA)-induced rat mammary tumorigenesis and in vivo DMBA-DNA adduct formation. Cancer Lett. 2006, 233, 279–288. [Google Scholar] [CrossRef]
- Meyer, A.S.; Yi, O.S.; Pearson, D.A.; Waterhouse, A.L.; Frankel, E.N. Inhibition of human low density lipoprotein oxidation in relation to composition of phenolic antioxidants in grapes (Vitis vinifera). J. Agric. Food Chem. 1997, 45, 1638–1643. [Google Scholar] [CrossRef]
- Rodriguez-Vaquero, M.J.; Alberto, M.R.; Manca-de-Nadra, M.C. Antibacterial effect of phenolic compounds from different wines. Food Cont. 2007, 18, 93–101. [Google Scholar] [CrossRef]
- Piva, C.R.; Garcia, J.L.L.; Morgan, W. The ideal table grapes for the Spanish market. Rev. Bras. Frutic. 2006, 28, 258–261. [Google Scholar] [CrossRef]
- Costas, M.; Alonso, E.; Guerra, N.P. Nisin production in realkalized fed-batch cultures in whey with feeding with lactose- or glucose-containing substrates. Appl. Microbiol. Biotechnol. 2016, 100, 7899–7908. [Google Scholar] [CrossRef]
- Costas, M.; Alonso, E.; Outeiriño, D.; Fajardo, P.; Guerra, N.P. Combination of food wastes for an efficient production of nisin in realkalized fed-batch cultures. Biochem. Eng. J. 2017, 123, 13–23. [Google Scholar] [CrossRef]
- Poolman, B.; Konings, W.N. Relation of growth of Streptococcus lactis and Streptococcus cremoris to amino acid transport. J. Bacteriol. 1988, 170, 700–707. [Google Scholar] [CrossRef]
- Fajardo, P.; Rodríguez, I.; Pastrana, L.; Guerra, N.P. Production of a potentially probiotic culture of Lactobacillus casei subsp. casei CECT 4043 in whey. Int. Dairy J. 2008, 18, 1057–1065. [Google Scholar]
- Chen, X.H.; Lou, W.Y.; Zong, M.H.; Smith, T.J. Optimization of culture conditions to produce high yields of active Acetobacter sp. CCTCC M209061 cells for anti-prelog reduction of prochiral ketones. BMC Biotechnol. 2011, 11, 110. [Google Scholar] [CrossRef]
- Membré, J.M.; Kubaczka, M.; Chéné, C. Combined effects of pH and sugar on growth rate of Zygosaccharomyces rouxii, a bakery product spoilage yeast. Appl. Environ. Microbiol. 1999, 65, 4921–4925. [Google Scholar] [CrossRef]
- Arroyo-López, F.N.; Orlić, S.; Querol, A.; Barrio, E. Effects of temperature, pH and sugar concentration on the growth parameters of Saccharomyces cerevisiae, S. kudriavzevii and their interspecific hybrid. Int. J. Food Microbiol. 2009, 131, 120–127. [Google Scholar] [CrossRef]
- Bartowsky, E.J.; Xia, D.; Gibson, R.L.; Fleet, G.H.; Henschke, P.A. Spoilage of bottled red wine by acetic acid bacteria. Lett. Appl. Microbiol. 2003, 36, 307–314. [Google Scholar] [CrossRef] [PubMed]
- Burdock, G.A. Fenaroli’s Handbook of Flavour Ingredients, 6th ed.; CRC Press: Boca Raton, FL, USA; Taylor & Francis Group LLC: Boca Raton, FL, USA, 2010. [Google Scholar]
- Van Gemert, L.J. Odour Thresholds. Compilations of Odour Threshold Values in Air, Water and Other Media, 2nd ed.; Oliemans Punter & Partners BV: Utrecht, The Netherlands, 2011. [Google Scholar]
- Bingham, E.; Cohrssen, B.; Powell, C.H. Patty’s Toxicology, 5th ed.; John Wiley & Sons: New York, NY, USA, 2001; Volumes 1–9, pp. 6–318. [Google Scholar]
- Pino, J.A.; Quijano, C.E. Study of the volatile compounds from plum (Prunus domestica L. cv. Horvin) and estimation of their contribution to the fruit aroma. Ciência Tecnol. Aliment. 2012, 32, 76–83. [Google Scholar] [CrossRef]
- Cheirsilp, B.; Shimizu, H.; Shioya, S. Enhanced kefiran production of Lactobacillus kefiranofaciens by mixed culture with Saccharomyces cerevisiae. J. Biotechnol. 2003, 100, 43–53. [Google Scholar] [CrossRef]
- Oude, S.J.W.H.; Krooneman, J.; Gottschal, J.C.; Spoelstra, S.F.; Faber, F.; Driehuis, F. Anaerobic conversion of lactic acid to acetic acid and 1,2-propanediol by Lactobacillus buchneri. Appl. Environ. Microbiol. 2001, 67, 125–132. [Google Scholar] [CrossRef] [PubMed]
- Cheirsilp, B.; Shoji, H.; Shimizu, H.; Shioya, S. Interactions between Lactobacillus kefiranofaciens and Saccharomyces cerevisiae in mixed culture for kefiran production. J. Biosci. Bioeng. 2003, 96, 279–284. [Google Scholar] [CrossRef]
- Cheirsilp, B.; Radchabut, S. Use of whey lactose from dairy industry for economical kefiran production by Lactobacillus kefiranofaciens in mixed cultures with yeasts. New Biotechnol. 2011, 28, 574–580. [Google Scholar] [CrossRef] [PubMed]
- Felipe, M.G.; Vieira, D.C.; Vitolo, M.; Silva, S.S.; Roberto, I.C.; Manchilha, I.M. Effect of acetic acid on xylose fermentation to xylitol by Candida guilliermondii. J. Basic Microbiol. 1995, 35, 171–177. [Google Scholar] [CrossRef] [PubMed]
- Kirtadze, E.; Nutsubidze, N. Metabolic potential of alcoholic fermentation yeasts. Bull. Georgian Natl. Acad. Sci. 2009, 3, 110–116. [Google Scholar]
- Mendes, A.; Mendes-Faia, A. The role of yeasts and lactic acid bacteria on the metabolism of organic acids during winemaking. Foods 2020, 9, 1231. [Google Scholar] [CrossRef]
- Yalçin, S.K.; Özbaş, Z.Y. Determination of growth and glycerol production kinetics of a wine yeast strain Saccharomyces cerevisiae Kalecik 1 in different substrate media. World J. Microbiol. Biotechnol. 2005, 21, 1303–1310. [Google Scholar] [CrossRef]
- Azhar, S.H.M.; Abdulla, R.; Jambo, S.A.; Marbawi, H.; Gansau, J.A.; Faik, A.A.M.; Rodrigues, K.F. Yeasts in sustainable bioethanol production: A review. Biochem. Biophys. Rep. 2017, 10, 52–61. [Google Scholar]
- Lonvaud-Funel, A. Lactic acid bacteria in the quality improvement and depreciation of wine. Antonie Leeuwenhoek 1999, 76, 317–331. [Google Scholar] [CrossRef]
- Reale, A.; Di Renzo, T.; Rossi, F.; Zotta, T.; Iacumin, L.; Preziuso, M.; Parente, E.; Sorrentino, E.; Coppol, R. Tolerance of Lactobacillus casei, Lactobacillus paracasei and Lactobacillus rhamnosus strains to stress factors encountered in food processing and in the gastro-intestinal tract. LWT-Food Sci. Technol. 2015, 60, 721–728. [Google Scholar] [CrossRef]
- Sánchez, C.; Neves, A.R.; Cavalheiro, J.; dos Santos, M.M.; García-Quintáns, N.; López, P.; Santos, H. Contribution of citrate metabolism to the growth of Lactococcus lactis CRL264 at low pH. Appl. Environ. Microbiol. 2008, 74, 1136–1144. [Google Scholar] [CrossRef]
- Rimada, P.S.; Abraham, A.G. Polysaccharide production by kefir grains during whey fermentation. J. Dairy Res. 2001, 68, 653–661. [Google Scholar] [CrossRef]
- Maeda, H.; Zhu, X.; Suzuki, S.; Suzuki, K.; Kitamura, S. Structural characterization and biological activities of an exopolysaccharide kefiran produced by Lactobacillus kefiranofaciens WT-2BT. J. Agric. Food Chem. 2004, 52, 5533–5538. [Google Scholar] [CrossRef]
- Dailin, D.J.; Elsayed, A.E.; Othman, N.Z.; Malek, R.; Phin, H.S.; Aziz, R.; Wadaan, M.; El Enshasy, H.A. Bioprocess development for kefiran production by Lactobacillus kefiranofaciens in semi industrial scale bioreactor. Saudi J. Biol. Sci. 2016, 23, 495–502. [Google Scholar] [CrossRef]
- Gradova, N.B.; Khokhlacheva, A.A.; Murzina, E.D.; Myasoyedova, V.V. Microbial components of kefir grains as exopolysaccharide kefiran producers. Appl. Biochem. Microbiol. 2015, 51, 873–880. [Google Scholar] [CrossRef]
- Regulation (EU) No. 1169/2011 of the European Parliament and of the Council of October 25, 2011 on the provision of food information to consumers, amending Regulations (EC) No 1924/2006 and (EC) No 1925/2006 of the European Parliament and of the Council, and repealing Commission Directive 87/250/EEC, Council Directive 90/496/EEC, Commission Directive 1999/10/EC, Directive 2000/13/EC of the European Parliament and of the Council, Commission Directives 2002/67/EC and 2008/5/EC and Commission Regulation (EC) No 608/2004. Off. J. Eur. Union 2011, L 304/18, 34.
- Viana, R.O.; Teixeira, K.; Braga, R.A.; Dias, D.R.; Schwan, R.F. Fermentation process for production of apple-based kefir vinegar: Microbiological, chemical and sensory analysis. Braz. J. Microbiol. 2017, 48, 592–601. [Google Scholar] [CrossRef]
- Garde, T.; Lorenzo, C.; Carot, J.M.; Esteve, M.D.; Climent, M.D.; Salinas, M.R. Differentiation of barrel-aged wines according to their origin, variety, storage time and enological parameters using fermentation products. Food Cont. 2009, 20, 269–276. [Google Scholar] [CrossRef]
- Sánchez-Palomo, E.; Izquierdo Cañas, P.M.; Delgado, J.A.; Viñas, M.A.G. Sensory characterization of wines obtained by blending cencibel grapes and minority grape varieties cultivated in La Mancha region. J. Food Qual. 2018, 2018, 1–8. [Google Scholar] [CrossRef]
- Vilanova, M.; Genisheva, Z.; Graña, M.; Oliveira, J.M. Determination of odorants in varietal wines from international grape cultivars (Vitis vinifera) grown in NW Spain. S. Afr. J. Enol. Vitic. 2013, 34, 212–222. [Google Scholar] [CrossRef]
- Vilanova, M.; Freire, L. Complementary effect of blending on the volatile composition of albariño and loureira white wines (Vitis vinifera L.). S. Afr. J. Enol. Vitic. 2017, 38, 109–117. [Google Scholar] [CrossRef]
- Dragone, G.; Mussatto, S.I.; Oliveira, J.M.; Teixeira, J.A. Characterisation of volatile compounds in an alcoholic beverage produced by whey fermentation. Food Chem. 2009, 112, 929–935. [Google Scholar] [CrossRef]
- Alonso, E.; Torrado, A.; Pastrana, L.; Orriols, I.; Pérez-Guerra, N. Production and characterization of distilled alcoholic beverages obtained by solid-state fermentation of black mulberry (Morus nigra L.) and black currant (Ribes nigrum L.). J. Agric. Food Chem. 2010, 58, 2529–2535. [Google Scholar] [CrossRef] [PubMed]
- Cortés, S.; de la Peña, M.L.G.; Gómez, E.F. Volatile composition and sensory characters of commercial Galician orujo spirits. J. Agric. Food Chem. 2005, 53, 6759–6765. [Google Scholar]
- Garcia-Carpintero, E.G.; Sanchez-Palomo, E.; Gallego, M.A.G.; Gonzalez-Viñas, M.A. Volatile and sensory characterization of red wines from cv. Moravia Agriaminority grape variety cultivated in La Mancha region over five consecutive vintages. Food Res. Int. 2011, 44, 1549–1560. [Google Scholar]
- Cortés, S.; Rodriguez, R.; Domínguez, J.M.; Díaz, E. Impact odorants and sensory profile of young red wines from four Galician (NW of Spain) traditional cultivars. J. Inst. Brew. 2015, 121, 628–635. [Google Scholar] [CrossRef]
- Ferreira, V.; Culleré, L.; López, R.; Cacho, J. Determination of important odor-active aldehydes of wine through gas chromatography–mass spectrometry of their O-(2,3,4,5,6-pentafluorobenzyl)oximes formed directly in the solid phase extraction cartridge used for selective isolation. J. Chromatogr. A. 2004, 1028, 339–345. [Google Scholar] [CrossRef] [PubMed]
- Verma, D.K.; Srivastav, P.P. A paradigm of volatile aroma compounds in rice and their product with extraction and identification methods: A comprehensive review. Food Res. Int. 2020, 130, 108924. [Google Scholar] [CrossRef] [PubMed]
- Duarte, W.F.; Dias, D.R.; Oliveira, J.M.; Teixeira, J.A.; de Almeida e Silva, J.B.; Schwan, R.F. Characterization of different fruit wines made from cacao, cupuassu, gabiroba, jaboticaba and umbu. LWT - Food Sci. Technol. 2010, 43, 1564–1572. [Google Scholar] [CrossRef]
- Perestrelo, R.; Fernandes, A.; Albuquerque, F.F.; Marques, J.C.; Câmara, J.S. Analytical characterization of the aroma of Tinta Negra Mole red wine: Identification of the main odorants compounds. Anal. Chim. Acta 2006, 563, 154–164. [Google Scholar] [CrossRef]
- Ferreira, V. Volatile aroma compounds and wine sensory attributes. In Managing Wine Quality. Viticulture and Wine Quality; Reynolds, A.G., Ed.; CRC Press: Boca Raton, FL, USA; Taylor & Francis Group LLC: Boston, MA, USA, 2010; Volume 1, pp. 3–28. [Google Scholar]
- Samappito, S.; Butkhup, L. Effect of skin contact treatments on the aroma profile and chemical components of mulberry (Morus alba Linn.) wines. Afr. J. Food Sci. 2010, 4, 052–061. [Google Scholar]
- Mei, J.; Liu, F.; Fang, S.; Lan, W.; Xie, J. High-CO2 modified atmosphere packaging with superchilling (−1.3 °C) inhibit biochemical and flavor changes in turbot (Scophthalmus maximus) during storage. Molecules 2020, 25, 2826. [Google Scholar] [CrossRef] [PubMed]
- Czerny, M.; Christlbauer, M.; Christlbauer, M.; Fischer, A.; Granvogl, M.; Hammer, M.; Hartl, C.; Moran, N.; Schieberle, P. Re-investigation on odour thresholds of key food aroma compounds and development of an aroma language based on odour qualities of defined aqueous odorant solutions. Eur. Food Res. Technol. 2008, 228, 265–273. [Google Scholar] [CrossRef]
- De Sousa, M.; Narain, N.; do Socorro, M.; Nunes, M.L. Volatile compounds and descriptive odor attributes in umbu (Spondias tuberosa) fruits during maturation. Food Res. Int. 2011, 44, 1919–1926. [Google Scholar] [CrossRef]
- Arcari, S.G.; Caliari, V.; Sganzerla, M.; Godoy, H.T. Volatile composition of Merlot red wine and its contribution to the aroma: Optimization and validation of analytical method. Talanta 2017, 174, 752–766. [Google Scholar] [CrossRef]
- Welke, J.E.; Zanus, M.; Lazzarotto, M.; Zini, C.A. Quantitative analysis of headspace volatile compounds using comprehensive two-dimensional gas chromatography and their contribution to the aroma of Chardonnay wine. Food Res. Int. 2014, 59, 85–99. [Google Scholar] [CrossRef]
- Liu, S.Q.; Holland, R.; Crow, V.L. Esters and their biosynthesis in fermented dairy products: A review. Int. Dairy J. 2004, 14, 923–945. [Google Scholar] [CrossRef]
- Zhao, P.; Gao, J.; Qian, M.; Li, H. Characterization of the key aroma compounds in chinese syrah wine by gas chromatography-olfactometry-mass spectrometry and aroma reconstitution studies. Molecules 2017, 22, 1045. [Google Scholar] [CrossRef] [PubMed]
- Bowen, A.J.; Reynolds, A.G. Odor potency of aroma compounds in Riesling and Vidal blanc table wines and icewines by gas chromatography−olfactometry−mass spectrometry. J. Agric. Food Chem. 2012, 60, 2874–2883. [Google Scholar] [CrossRef] [PubMed]
- Walsh, A.M.; Crispie, F.; Kilcawley, K.; O’Sullivan, O.; O’Sullivan, M.G.; Claesson, M.J.; Cotter, P.D. Microbial succession and flavor production in the fermented dairy beverage kefir. MSystems 2016, 1, e00052-16. [Google Scholar] [CrossRef] [PubMed]
- Zhai, X.; Granvogl, M. Characterization of the key aroma compounds in two differently dried Toona sinensis (A. Juss.) Roem. by means of the molecular sensory science concept. J. Agric. Food Chem. 2019, 67, 9885–9894. [Google Scholar] [CrossRef] [PubMed]
- Brennand, C.P.; Ha, J.K.; Lindsay, R.C. Aroma properties and thresholds of some branched-chain and other minor volatile fatty acids occurring in milkfat and meat lipids. J. Sens. Stud. 1989, 4, 105–120. [Google Scholar] [CrossRef]
- Reale, A.; Di Renzo, T.; Boscaino, F.; Nazzaro, F.; Fratianni, F.; Aponte, M. Lactic acid bacteria biota and aroma profile of Italian traditional sourdoughs from the irpinian area in Italy. Front. Microbiol. 2019, 10, 1621. [Google Scholar] [CrossRef]
- Barron, L.J.R.; Redondo, Y.; Aramburu, M.; Perez-Elortondo, F.J.; Albisu, M.; Najera, A.I.; de Renobales, M. Variations in volatile compounds and flavor in Idiazabal cheese manufactured from ewe’s milk in farmhouse and factory. J. Sci. Food. Agric. 2005, 85, 1660–1671. [Google Scholar] [CrossRef]
- Dertli, E.; Çon, A.H. Microbial diversity of traditional kefir grains and their role on kefir aroma. LWT -Food Sci. Technol. 2017, 85, 151e157. [Google Scholar] [CrossRef]
- Prager, J.C. Environmental Contaminant Reference Databook; Prager, J.C., Ed.; Van Nostrand Reinhold: Florence, KY, USA, 1995; Volume 1. [Google Scholar]





| Beverage | Rod LAB | Mesophilic Coccus LAB | Total Mesophilic | Enterobacteriaceae | Pseudomonas | AAB | Yeasts |
|---|---|---|---|---|---|---|---|
| RTGJ | 2.2 ± 0.1 a | 3.2 ± 0.1 a | 3.3 ± 0.2 a | 0.7 ± 0.1 a | 0.5 ± 0.1 a | 2.0 ± 0.3 a | 2.3 ± 0.3 a |
| I-3.99 | 6.0 ± 0.4 b | 6.0 ± 0.3 b | 6.0 ± 0.7 b | 0.3 ± 0.1 b | 0.3 ± 0.1 b | 5.8 ± 0.1 b | 7.9 ± 0.1 b |
| II-3.99 | 6.5 ± 0.3 c | 6.5 ± 0.3 c | 6.5 ± 0.5 c | 0.3 ± 0.1 b | 0.3 ± 0.1 b | 6.0 ± 0.5 c,b | 8.0 ± 0.7 c,b |
| III-3.99 | 6.6 ± 0.3 d,c | 6.7 ± 0.2 d,c | 6.6 ± 0.4 d,c | nd | nd | 5.9 ± 0.3 d,b,c | 7.9 ± 0.5 d,b,c |
| IV-3.99 | 5.6 ± 0.2 e | 5.7 ± 0.3 e,b | 5.7 ± 0.1 e | 0.3 ± 0.1 b | nd | 5.0 ± 0.4 e | 6.0 ± 0.6 e |
| I-5.99 | 6.9 ± 0.4 f | 6.9 ± 0.3 f,c,d | 6.9 ± 0.7 f,c | 0.3 ± 0.1 b | 0.3 ± 0.1 b | 6.9 ± 0.7 f | 7.6 ± 0.9 f,b,c,d |
| II-5.99 | 8.3 ± 0.5 g | 8.4 ± 0.4 g | 8.4 ± 0.2 g | 0.3 ± 0.1 b | nd | 7.3 ± 0.5 g | 8.3 ± 0.2 g,c,d,f |
| III-5.99 | 8.2 ± 0.4 h,g | 8.3 ± 0.3 h,g | 8.3 ± 0.3 h,g | nd | nd | 7.2 ± 0.3 h,f,g | 8.2 ± 0.5 h,b,c,d,f,g |
| IV-6.99 | 7.3 ± 0.3 i,f | 7.3 ± 0.5 i,f | 7.2 ± 0.3 i,f | nd | 0.3 ± 0.1 b | 7.1 ± 0.6 i,f,g,h | 8.2 ± 0.3 i,c,d,f,g,h |
| Before Inoculation | At 24 h | At 48 h | At 72 h | At 96 h | |
|---|---|---|---|---|---|
| LAB (CFU/g) | 9.9 ± 1.3 × 107 | 9.6 ± 1.5 × 107 | 9.5 ± 1.4 × 107 | 9.2 ± 1.7 × 107 | 9.0 ±1.4 × 107 |
| AAB (CFU/g) | 6.8 ± 1.0 × 106 | 6.6 ± 1.2 × 106 | 6.5 ±1.2 × 106 | 6.5 ± 1.5 × 106 | 6.0 ±1.1 × 106 |
| Yeasts (CFU/g) | 7.8 ± 1.6 × 107 | 8.1 ± 1.4 × 107 | 8.9 ± 1.5 × 107 | 9.2 ±1.9 × 107 | 9.4 ±1.6 × 107 |
| Subcultures | ||||
|---|---|---|---|---|
| Variables | I | II | III | IV |
| YX/TSc | 0.100 | 0.090 | 0.093 | 0.062 |
| YLA/TSc | 0.045 | 0.008 | 0.002 | 0.002 |
| YAA/TSc | 0.061 | 0.021 | 0.012 | 0.012 |
| YSA/TSc | 0.037 | 0.014 | 0.007 | 0.007 |
| YMA/TSc | 0.007 | 0.003 | 0.001 | 0.001 |
| YEt/TSc | 0.191 | 0.177 | 0.171 | 0.195 |
| YGly/TSc | 0.080 | 0.071 | 0.070 | 0.086 |
| Subcultures | ||||
|---|---|---|---|---|
| Variables | I | II | III | IV |
| YX/TSc | 0.112 | 0.106 | 0.111 | 0.109 |
| YLA/TSc | 0.036 | 0.014 | 0.005 | 0.003 |
| YAA/TSc | 0.056 | 0.039 | 0.041 | 0.042 |
| YSA/TSc | 0.022 | 0.010 | 0.008 | 0.009 |
| YMA/TSc | 0.000 | 0.004 | 0.004 | 0.005 |
| YEt/TSc | 0.194 | 0.205 | 0.221 | 0.211 |
| YGly/TSc | 0.105 | 0.067 | 0.075 | 0.086 |
| Subcultures of 24 h | References | ||||
|---|---|---|---|---|---|
| I | II | III | IV | ||
| Fermentation A | 1.3 | 2.7 | 2.6 | 2.3 | This work |
| Fermentation B | 1.5 | 3.4 | 3.6 | 3.1 | This work |
| Apple kefir | 12.27, after 120 h of fermentation | Viana et al. [48] | |||
| Wines | |||||
| Spanish barrel-aged red wines | 12.0–14.5 | Garde et al. [49] | |||
| Rojal (red wine) | 12.52 | Sánchez-Palomo et al. [50] | |||
| Moravia Dulce (red wine) | 12.70 | ||||
| Tortosí (red wine) | 12.72 | ||||
| Cabernet-sauvignon (white wine) | 11.8 | Vilanova et al. [51] | |||
| Pinot noir (white wine) | 13.5 | ||||
| Tempranillo (white wine) | 11.6 | ||||
| Merlot (white wine) | 13.1 | ||||
| Chardonnay (red wine) | 14.1 | ||||
| Pinot blanc (red wine) | 11.6 | ||||
| Pinot gris (red wine) | 14.6 | ||||
| Riesling (red wine) | 11.0 | ||||
| Sauvignon blanc (red wine) | 13.6 | ||||
| Gewürztraminer (red wine) | 14.3 | ||||
| Albariño (white wine) | 13.82 | Vilanova and Freire [52] | |||
| Loureiro (white wine) | 12.75 | ||||
| Fermentation A | Fermentation B | |||||||||
|---|---|---|---|---|---|---|---|---|---|---|
| nº | Compound | RTGJ | I−3.99 | II−3.99 | III−3.99 | IV−3.99 | I−5.99 | II−5.99 | III−5.99 | IV−5.99 |
| Alcohols | ||||||||||
| 1 | 1-Propanol | N.d. | N.d. | 1.87 ± 1.29 | 1.19 ± 0.51 | 1.21 ± 0.00 | 0.61 ± 0.00 | 2.84 ± 1.37 | 1.36 ± 0.13 | 1.75 ± 0.19 |
| 2 | 2-Methyl-1-propanol | N.d. | 1.65 ± 0.00 | 4.29 ± 0.70 | 2.88 ± 0.43 | 3.16 ± 0.00 | 1.93 ± 0.05 | 5.95 ± 0.00 | 4.71 ± 0.91 | 5.84 ± 0.11 |
| 3 | 3-Methyl-1-pentanol | N.d. | N.d. | 0.17 ± 0.01 | 0.19 ± 0.06 | 0.14 ± 0.00 | N.d. | 0.23 ± 0.01 | 0.13 ± 0.02 | 0.13 ± 0.03 |
| 4 | 3-Methyl-1-butanol | N.d. | 43.21 ± 0.00 | 119.24 ± 1.03 | 94.07 ± 1.77 | 62.86 ± 0.00 | 27.78 ± 1.54 | 125.36 ± 8.62 | 107.13 ± 1.34 | 92.96 ± 2.09 |
| 5 | 2-Ethyl-2-hexen-1-ol | N.d. | 0.65 ± 0.00 | N.d. | N.d. | N.d. | 0.87 ± 0.00 | N.d. | N.d. | N.d. |
| 6 | 2-Phenylethanol | N.d. | 9.41 ± 0.00 | 33.33 ± 1.34 | 20.34 ± 3.93 | 24.96 ± 0.00 | 45.90 ± 0.03 | 51.46 ± 10.61 | 51.16 ± 7.96 | 44.12 ± 3.10 |
| 7 | 4-Ethyl-2-methoxyphenol | N.d. | N.d. | 0.10 ± 0.07 | 0.09 ± 0.038 | 0.12 ± 0.00 | 0.30 ± 0.00 | 0.15 ± 0.08 | 0.13 ± 0.00 | 0.13 ± 0.00 |
| 8 | 3-Methyl-4-heptanol | N.d. | 0.10 ± 0.00 | 0.13 ± 0.04 | 0.11 ± 0.06 | 0.14 ± 0.00 | 0.17 ± 0.04 | 0.21 ± 0.02 | 0.24 ± 0.16 | 0.25 ± 0.01 |
| 9 | 1-Hexanol | N.d. | 4.03 ± 0.00 | 3.47 ± 0.40 | 3.26 ± 0.27 | 2.99 ± 0.00 | 3.23 ± 0.24 | 2.59 ± 0.35 | 2.91 ± 0.00 | 2.63 ± 0.00 |
| 10 | 3-Methyl-4-penten-1-ol | N.d. | 0.11 ± 0.00 | N.d. | N.d. | N.d. | N.d. | N.d. | N.d. | N.d. |
| 11 | 1-Octin-3-ol | N.d. | 0.04 ± 0.00 | N.d. | N.d. | N.d. | N.d. | N.d. | N.d. | N.d. |
| 12 | Cis-3-methylcyclohexanol | N.d. | 0.13 ± 0.00 | 0.14 ± 0.00 | 0.14 ± 0.01 | 0.11 ± 0.00 | 0.13 ± 0.00 | 0.15 ± 0.00 | 0.18 ± 0.01 | 0.14 ± 0.05 |
| 13 | Trans-2-ethyl-2-hexen-1-ol | N.d. | 0.21 ± 0.00 | 0.19 ± 0.02 | 0.19 ± 0.04 | 0.15 ± 0.00 | 0.14 ± 0.03 | 0.19 ± 0.02 | 0.22 ± 0.00 | 0.17 ± 0.00 |
| 14 | 4-Cyclohexene-1,2-diol | N.d. | 0.11 ± 0.00 | N.d. | N.d. | N.d. | N.d. | N.d. | N.d. | N.d. |
| 15 | 1,3-Butanediol | N.d. | 0.14 ± 0.00 | 1.36 ± 0.13 | 1.40 ± 0.81 | 1.40 ± 0.00 | 1.28 ± 0.00 | 2.36 ± 0.24 | 2.05 ± 0.50 | 2.02 ± 0.35 |
| 16 | 2-Butyl-1-octanol | N.d. | N.d. | 0.06 ± 0.09 | 0.05 ± 0.08 | 0.06 ± 0.00 | 0.09 ± 0.00 | 0.06 ± 0.00 | 0.12 ± 0.00 | 0.14 ± 0.00 |
| 17 | 2-Furanmethanol | 0.372 ± 0.001 | N.d. | N.d. | N.d. | N.d. | N.d. | N.d. | N.d. | N.d. |
| 18 | 2-Cyclohexyl-3-isopropyl-pent-4-en-2-ol | 0.244 ± 0.020 | N.d. | N.d. | N.d. | N.d. | N.d. | N.d. | N.d. | N.d. |
| 19 | 1-Hexadecanol | 0.143 ± 0.011 | N.d. | N.d. | N.d. | N.d. | N.d. | N.d. | N.d. | N.d. |
| 20 | 2-Hexadecanol | 0.142 ± 0.007 | N.d. | N.d. | N.d. | N.d. | N.d. | N.d. | N.d. | N.d. |
| 21 | (Z)-2-Hexen-1-ol | 0.066 ± 0.001 | N.d. | N.d. | N.d. | N.d. | N.d. | N.d. | N.d. | N.d. |
| Number of COV | 5 | 12 | 12 | 12 | 12 | 12 | 12 | 12 | 12 | |
| Total concentrations | 0.967 ± 0.010 a | 59.81 ± 9.50 b | 164.37 ± 26.53 c | 123.91 ± 20.68 d,c | 97.32 ± 14.40 e | 82.43 ± 11.34 f | 191.54 ± 28.87 g,c | 170.36 ± 25.25 h,c | 150.28 ± 21.86 c | |
| Esters | ||||||||||
| 22 | Pentyl acetate | N.d. | 0.62 ± 0.00 | 2.56 ± 0.15 | 1.62 ± 0.11 | 0.30 ± 0.00 | 1.27 ± 0.00 | 1.79 ± 0.26 | 1.71 ± 0.03 | 0.87 ± 0.19 |
| 23 | Ethyl hexanoate | N.d. | 0.54 ± 0.00 | 1.12 ± 0.40 | 0.81 ± 0.14 | 0.26 ± 0.00 | 0.58 ± 0.00 | 0.61 ± 0.17 | 1.01 ± 0.07 | 0.79 ± 0.01 |
| 24 | 2-Methylamyl acetate | N.d. | 0.31 ± 0.00 | N.d. | N.d. | N.d. | N.d. | N.d. | N.d. | N.d. |
| 25 | 2-Phenylethyl acetate | N.d. | 0.31 ± 0.00 | 0.46 ± 0.14 | 0.36 ± 0.19 | 0.32 ± 0.00 | 0.81 ± 0.26 | 0.92 ± 0.32 | 0.76 ± 0.07 | 0.63 ± 0.06 |
| 26 | 3-(Methylthio) propylnonanoate | N.d. | 3.37 ± 0.00 | 4.96 ± 1.97 | 3.26 ± 2.13 | 7.48 ± 0.01 | 5.87 ± 0.92 | 6.12 ± 0.96 | 3.27 ± 1.30 | 6.93 ± 0.21 |
| 27 | 2,2-Dimethyl-1-propanol-acetate | N.d. | 0.69 ± 0.00 | N.d. | N.d. | N.d. | 1.69 ± 0.00 | 1.75 ± 0.29 | N.d. | N.d. |
| 28 | Ethyl octanoate (ethyl caprylate) | N.d. | 0.24 ± 0.00 | 0.70 ± 0.14 | 0.50 ± 0.03 | 0.13 ± 0.00 | 0.32 ± 0.02 | 0.34 ± 0.06 | 0.44 ± 0.05 | 0.26 ± 0.09 |
| 29 | 2-Oxo-2-phenylethyl-(benzoylsulfanyl) acetate | 0.27 ± 0.00 | N.d. | N.d. | N.d. | N.d. | 0.13 ± 0.00 | N.d. | N.d. | N.d. |
| 30 | 3-Methylene-4-pentenyl acrylate | 0.82 ± 0.01 | N.d. | N.d. | N.d. | N.d. | N.d. | N.d. | N.d. | N.d. |
| 31 | 2-Propenyl formate | 2.23 ± 0.02 | N.d. | N.d. | N.d. | N.d. | N.d. | N.d. | N.d. | N.d. |
| 32 | Heptyl 2-(methoxycarbonylamino) propanoate | 0.64 ± 0.00 | N.d. | N.d. | N.d. | N.d. | N.d. | N.d. | N.d. | N.d. |
| 33 | 2-O-cyclobutyl 1-O-heptyl oxalate | 0.46 ± 0.01 | N.d. | N.d. | N.d. | N.d. | N.d. | N.d. | N.d. | N.d. |
| 34 | S-heptyl propanethioate | 0.64 ± 0.01 | N.d. | N.d. | N.d. | N.d. | N.d. | N.d. | N.d. | N.d. |
| Number of COV | 6 | 7 | 5 | 5 | 5 | 7 | 6 | 5 | 5 | |
| Total concentrations | 5.07 ± 0.63 a | 6.09 ± 0.91 b,a | 9.79 ± 1.46 c | 6.56 ± 0.96 d,a,b | 8.50 ± 2.05 e,a,b,c,d | 10.67 ± 1.61 f,c,e | 11.54 ± 1.70 g,c,f | 7.19 ± 0.98 h,b,c,d,e | 9.48 ± 1.89 c,d,e,f,g,h | |
| Aldehydes | ||||||||||
| 35 | 2-Ethyl hexanal | N.d. | N.d. | 0.18 ± 0.06 | 0.15 ± 0.07 | 0.20 ± 0.00 | 0.18 ± 0.13 | 0.30 ± 0.05 | 0.40 ± 0.21 | 0.39 ± 0.03 |
| 36 | 3-(Methylthio)-nonanal | N.d. | 0.064 ± 0.001 | N.d. | N.d. | N.d. | N.d. | N.d. | N.d. | N.d. |
| 37 | (E)-2-nonenal | N.d. | 0.09 ± 0.00 | 0.19 ± 0.06 | 0.18 ± 0.03 | 0.13 ± 0.01 | 0.08 ± 0.00 | 0.12 ± 0.02 | 0.15 ± 0.01 | 0.14 ± 0.03 |
| 38 | 2,2-Dimethyl propanal | N.d. | N.d. | 0.01 ± 0.00 | 0.02 ± 0.00 | N.d. | 0.17 ± 0.00 | 0.22 ± 0.00 | 0.22 ± 0.00 | 0.16 ± 0.00 |
| 39 | (E)-2-Hexenal | 0.29 ± 0.00 | N.d. | N.d. | N.d. | N.d. | N.d. | N.d. | N.d. | N.d. |
| 40 | 5-Methyl-2-furancarboxaldehyde | 0.09 ± 0.00 | N.d. | N.d. | N.d. | N.d. | N.d. | N.d. | N.d. | N.d. |
| Number of COV | 2 | 2 | 3 | 3 | 2 | 3 | 3 | 3 | 3 | |
| Total concentrations | 0.39 ± 0.12 a | 0.15 ± 0.04 b | 0.37 ± 0.09 c,a | 0.35 ± 0.08 d,a,c | 0.33 ± 0.09 e,a,b,c,d | 0.43 ± 0.09 f,a,c,d,e | 0.65 ± 0.13 g,c,f | 0.76 ± 0.16 h,g | 0.69 ± 0.15 g,h | |
| Organic acids | ||||||||||
| 41 | Hexanoic acid (caproic) | N.d. | 0.85 ± 0.00 | 1.16 ± 0.69 | 1.45 ± 1.21 | 2.59 ± 0.01 | 4.49 ± 1.76 | 3.36 ± 2.82 | 2.01 ± 0.21 | 1.76 ± 0.56 |
| 42 | Octanoic acid (caprylic) | N.d. | 0.56 ± 0.00 | 1.22 ± 0.99 | 1.83 ± 1.63 | 1.68 ± 0.01 | 4.83 ± 0.01 | 3.41 ± 3.28 | 2.04 ± 0.12 | 2.35 ± 1.10 |
| 43 | Nonanoic acid (pelargonic) | N.d. | N.d. | 0.09 ± 0.06 | 0.11 ± 0.08 | 0.07 ± 0.00 | 0.16 ± 0.00 | 0.20 ± 0.11 | 0.24 ± 0.12 | 0.25 ± 0.02 |
| 44 | Acetic acid | 0.70 ± 0.03 | 1.05 ± 0.00 | 1.04 ± 0.36 | 1.62 ± 0.53 | 3.90 ± 0.47 | 0.95 ± 0.24 | 0.87 ± 0.03 | 1.53 ± 0.11 | 2.08 ± 0.43 |
| 45 | Pentanoic acid | N.d. | 0.08 ± 0.00 | 0.22 ± 0.17 | 0.25 ± 0.22 | 0.31 ± 0.00 | 0.20 ± 0.11 | 0.43 ± 0.25 | 0.43 ± 0.36 | 0.37 ± 0.21 |
| 46 | 4-Methyl pentanoic acid | 0.11 ± 0.00 | N.d. | N.d. | N.d. | N.d. | N.d. | N.d. | N.d. | N.d. |
| 47 | 2-Methyl-hexanoic acid | N.d. | 0.16 ± 0.00 | 0.34 ± 0.06 | 0.21 ± 0.05 | 0.16 ± 0.00 | 0.60 ± 0.00 | 0.62 ± 0.10 | 0.63 ± 0.36 | 0.52 ± 0.25 |
| Number of COV | 2 | 5 | 6 | 6 | 6 | 6 | 6 | 6 | 6 | |
| Total concentrations | 0.82 ± 0.26 a | 2.69 ± 0.43 b | 4.06 ± 0.53 c | 5.47 ± 0.81 d,c | 8.72 ± 1.53 e | 11.23 ± 2.11 f | 8.89 ± 1.47 g,e | 6.89 ± 0.86 h,d,e,g | 7.33 ± 0.98 d,e,g,h | |
| Ketones | ||||||||||
| 48 | 3,3-Dimethyl-2-butanone | 0.04 ± 0.00 | N.d. | N.d. | N.d. | N.d. | N.d. | N.d. | N.d. | N.d. |
| 49 | 4-Methyl-2-hexanone | 0.05 ± 0.00 | 0.05 ± 0.00 | 0.05 ± 0.00 | 0.05 ± 0.00 | 0.05 ± 0.00 | 0.04 ± 0.00 | 0.04 ± 0.00 | 0.06 ± 0.00 | 0.05 ± 0.00 |
| 50 | 3-Hexanone | 0.16 ± 0.00 | 0.16 ± 0.00 | 0.14 ± 0.00 | 0.16 ± 0.00 | 0.16 ± 0.00 | 0.12 ± 0.00 | 0.14 ± 0.00 | 0.12 ± 0.00 | 0.11 ± 0.00 |
| 51 | 2,6-Dimethyl-4-heptanone | 0.27 ± 0.00 | 0.66 ± 0.00 | 0.67 ± 0.00 | 0.71 ± 0.00 | 0.77 ± 0.01 | 0.47 ± 0.00 | 0.56 ± 0.00 | 0.39 ± 0.00 | 0.52 ± 0.00 |
| 52 | 5-Dodecanone | 0.09 ± 0.00 | N.d. | N.d. | N.d. | N.d. | N.d. | N.d. | N.d. | N.d. |
| 53 | Dihydroxyacetone | 0.35 ± 0.00 | N.d. | N.d. | N.d. | N.d. | N.d. | N.d. | N.d. | N.d. |
| 54 | 1-Acetyloxy-2-propanone | 0.13 ± 0.00 | N.d. | N.d. | N.d. | N.d. | N.d. | N.d. | N.d. | N.d. |
| Number of COV | 7 | 3 | 3 | 3 | 3 | 3 | 3 | 3 | 3 | |
| Total concentrations | 1.09 ± 0.12 a | 0.87 ± 0.24 b,a | 0.86 ± 0.25 c,a,b | 0.93 ± 0.26 d,a,b,c | 0.98 ± 0.28 e,a,b,c,d | 0.63 ± 0.17 f,b | 0.75 ± 0.21 g,b,c,d,f | 0.57 ± 0.14 h,b,f,g | 0.68 ± 0.19 b,d,f,g,h | |
| Furans | ||||||||||
| 55 | 3-Butyldihydro-2(3H)-furanone | 0.10 ± 0.00 | N.d. | N.d. | N.d. | N.d. | N.d. | N.d. | N.d. | N.d. |
| 56 | 5-Methyl-2(3H)-furanone | 0.96 ± 0.02 | N.d. | N.d. | N.d. | N.d. | N.d. | N.d. | N.d. | N.d. |
| 57 | Tetrahydro-2,5-dimethyl-furan | 0.10 ± 0.00 | 0.20 ± 0.00 | 0.18 ± 0.00 | 0.22 ± 0.00 | 0.38 ± 0.00 | 0.72 ± 0.00 | 0.49 ± 0.00 | 0.43 ± 0.00 | 0.64 ± 0.00 |
| Number of COV | 3 | 1 | 1 | 1 | 1 | 1 | 1 | 1 | 1 | |
| Total concentrations | 1.16 ± 0.01 a | 0.20 ± 0.12 b | 0.18 ± 0.11 c,b | 0.22 ± 0.12 d,b,c | 0.38 ± 0.22 e,b,c,d | 0.72 ± 0.42 f,a,b,d,e | 0.49 ± 0.28 g,b,c,e,f | 0.43 ± 0.25 h,b,d,e,g | 0.64 ± 0.37 a,b,d,e,f,g | |
| Ethers | ||||||||||
| 58 | 1-Butoxy-3-methyl-2-butene | 0.14 ± 0.00 | N.d. | N.d. | N.d. | N.d. | N.d. | N.d. | N.d. | N.d. |
| 59 | Ethyl-1-propenyl ether | 0.19 ± 0.00 | N.d. | N.d. | N.d. | N.d. | N.d. | N.d. | N.d. | N.d. |
| Number of COV | 2 | N.d. | N.d. | N.d. | N.d. | N.d. | N.d. | N.d. | N.d. | |
| Total concentrations | 0.33 ± 0.04 | N.d. | N.d. | N.d. | N.d. | N.d. | N.d. | N.d. | N.d. | |
| Hydrocarbons | ||||||||||
| 60 | 2,4-Dimethyl-2-pentene | 0.06 ± 0.00 | N.d. | N.d. | N.d. | N.d. | N.d. | N.d. | N.d. | N.d. |
| 61 | (Z)-3-Dodecene | 0.26 ± 0.00 | 0.26 ± 0.00 | 0.24 ± 0.00 | 0.23 ± 0.00 | 0.29 ± 0.00 | 0.23 ± 0.00 | 0.22 ± 0.00 | 0.29 ± 0.00 | 0.29 ± 0.00 |
| 62 | 4-Cyclopenten-1,3-dione | 0.45 ± 0.01 | N.d. | N.d. | N.d. | N.d. | N.d. | N.d. | N.d. | N.d. |
| 63 | 1,2,3-Trimethyl-benzene | 0.42 ± 0.01 | 0.35 ± 0.00 | 0.33 ± 0.00 | 0.35 ± 0.00 | 0.36 ± 0.00 | 0.41 ± 0.00 | 0.44 ± 0.00 | 0.45 ± 0.00 | 0.53 ± 0.00 |
| 64 | Butylhydroxytoluene | 1.43 ± 0.02 | 1.53 ± 0.02 | 1.45 ± 0.01 | 1.63 ± 0.02 | 1.78 ± 0.01 | 1.16 ± 0.02 | 1.61 ± 0.02 | 1.83 ± 0.03 | 1.95 ± 0.02 |
| 65 | Trichloromethane | 0.27 ± 0.01 | N.d. | N.d. | N.d. | N.d. | 0.32 ± 0.00 | N.d. | N.d. | 0.32 ± 0.01 |
| Number of COV | 6 | 3 | 3 | 3 | 3 | 4 | 3 | 3 | 4 | |
| Total concentrations | 2.90 ± 0.48 a | 2.14 ± 0.59 b | 2.02 ± 0.56 c,a,b | 2.22 ± 0.64 d,a,b,c | 2.43 ± 0.69 e,a,b,c,d | 2.13 ± 0.43 f,a,b,c,d,e | 2.27 ± 0.63 a,b,c,d,f | 2.57 ± 0.71 a,b,c,d,f | 3.09 ± 0.73 a,b,c | |
| Other compounds | ||||||||||
| 66 | 3-Trifluoroacetoxy dodecane | 0.08 ± 0.00 | N.d. | 0.04 ± 0.00 | N.d. | N.d. | N.d. | N.d. | N.d. | N.d. |
| 67 | 1-Hydroperoxyhexane | 0.14 ± 0.00 | N.d. | N.d. | N.d. | N.d. | N.d. | N.d. | N.d. | N.d. |
| 68 | Cis-2-methyl-3-propyl-oxirane | 0.34 ± 0.01 | N.d. | N.d. | N.d. | N.d. | 0.09 ± 0.00 | N.d. | N.d. | 0.06 ± 0.00 |
| Number of COV | 3 | 0 | 1 | 0 | 0 | 1 | 0 | 0 | 1 | |
| Total concentrations | 0.57 ± 0.14 a | 0 b | 0.04 ± 0.02 c | 0 b | 0 b | 0.09 ± 0.05 c | 0 b | 0 b | 0.06 ± 0.03 c | |
| OVA | ||||||||||||
|---|---|---|---|---|---|---|---|---|---|---|---|---|
| No. | Compound | ODT (mg/L) | Descriptor | RTGJ | I−3.99 | II−3.99 | III−3.99 | IV−3.99 | I−5.99 | II−5.99 | III−5.99 | IV−5.99 |
| 1 | 1-Propanol | 9 [28] | ripe fruit, alcohol [63] | 0.21 | 0.13 | 0.14 | 0.07 | 0.32 | 0.15 | 0.20 | ||
| 2 | 2-Methyl-1-propanol | 0.55 [28] | alcohol, banana, medicinal, solvent, nail polish [53] | 3.01 | 7.81 | 5.23 | 5.75 | 3.51 | 10.82 | 8.56 | 10.61 | |
| 3 | 3-Methyl-1-pentanol | 0.0075 [28] | vinous, herbaceous, cacao [56] | 2.33 | 2.49 | 1.84 | 3.03 | 1.71 | 1.76 | |||
| 4 | 3-Methyl-1-butanol | 50–70 [28] | whiskey, malt, burned, harsh, nail polish [57] | 0.72 * | 1.99 * | 1.57 * | 1.05 * | 0.46 * | 2.09 * | 1.79 * | 1.55 * | |
| 5 | 2-Ethyl-2-hexen-1-ol | Nf | citrus, floral, sweet [64] | |||||||||
| 6 | 2-Phenylethanol | 0.5642 [28] | rose, sweetish, perfumed [53] | 16.67 | 59.07 | 36.05 | 44.24 | 81.34 | 91.21 | 90.68 | 78.19 | |
| 7 | 4-Ethyl-2-methoxyphenol | 0.08925 [28] | smoky, gammon-like [65] | 1.17 | 0.99 | 1.36 | 3.36 | 1.68 | 1.48 | 1.46 | ||
| 8 | 3-Methyl-4-heptanol | 0.078–0.420 [28] | Nf | 0.41 * | 0.52 * | 0.43 * | 0.58 * | 0.69 * | 0.84 * | 0.96 * | 1.00 * | |
| 9 | 1-Hexanol | 0.0056 [28] | coconut, harsh, pungent [53] | 71.96 | 61.96 | 58.25 | 53.46 | 57.70 | 46.18 | 52.00 | 46.93 | |
| 10 | 3-Methyl-4-penten-1-ol | Nf | Nf | |||||||||
| 11 | 1-Octin-3-ol | Nf | Nf | |||||||||
| 12 | Cis-3-methylcyclohexanol | Nf | Nf | |||||||||
| 13 | Trans-2-ethyl-2-hexen-1-ol | Nf | Nf | |||||||||
| 14 | 4-Cyclohexene-1,2-diol | Nf | Nf | |||||||||
| 15 | 1,3-Butanediol | 10–20 [28] | Woody [66] | 0.01 * | 0.09 * | 0.09 * | 0.09 * | 0.08 * | 0.16 * | 0.14 * | 0.13 * | |
| 16 | 2-Butyl-1-octanol | Nf | Nf | |||||||||
| 17 | 2-Furanmethanol | 4.5 [28] | burned sugar [64] | 0.08 | ||||||||
| 18 | 2-Cyclohexyl-3-isopropyl-pent-4-en-2-ol | Nf | Nf | |||||||||
| 19 | 1-Hexadecanol | 0.75 [30] | floral, waxy [67] | 0.19 | ||||||||
| 20 | 2-Hexadecanol | Nf | Nf | |||||||||
| 21 | (Z)-2-Hexen-1-ol | 0.3593 [28] | green grass, herb [68] | 0.184 | ||||||||
| 22 | Pentyl acetate | 0.043 [28] | fruity [69] | 14.46 | 59.60 | 37.67 | 7.02 | 29.49 | 41.70 | 39.84 | 20.19 | |
| 23 | Ethyl hexanoate | 0.005 [28] | Fruity [70] | 108.00 | 223.20 | 162.80 | 52.20 | 115.60 | 122.20 | 201.80 | 157.20 | |
| 24 | 2-Methylamyl acetate | Nf | Nf | |||||||||
| 25 | 2-Phenylethyl acetate | 0.25 [28] | rose, honey [71] | 1.24 | 1.83 | 1.44 | 1.30 | 3.25 | 3.69 | 3.02 | 2.54 | |
| 26 | 3-(Methylthio) propylnonanoate | Nf | Nf | |||||||||
| 27 | 2,2-Dimethyl-1-propanol-acetate | Nf | Nf | |||||||||
| 28 | Ethyl octanoate (ethyl caprylate) | 0.0193 [28] | fruity, floral [71] | 12.54 | 36.17 | 26.11 | 6.94 | 16.74 | 17.67 | 22.90 | 13.42 | |
| 29 | 2-Oxo-2-phenylethyl-(benzoylsulfanyl)acetate | Nf | Nf | |||||||||
| 30 | 3-Methylene-4-pentenyl acrylate | Nf | Nf | |||||||||
| 31 | 2-Propenyl formate | Nf | Nf | |||||||||
| 32 | Heptyl 2-(methoxycarbonylamino) propanoate | Nf | Nf | |||||||||
| 33 | 2-O-cyclobutyl 1-O-heptyl oxalate | Nf | Nf | |||||||||
| 34 | S-heptyl propanethioate | Nf | Nf | |||||||||
| 35 | 2-Ethyl hexanal | 41 [27] | Beany [27] | 0.004 | 0.004 | 0.005 | 0.004 | 0.007 | 0.010 | 0.009 | ||
| 36 | 3-(Methylthio)-nonanal | Nf | Nf | |||||||||
| 37 | (E)-2-nonenal | 0.00019 [28] | fatty, tallow, beans, cucumber, woody-like [59] | 457.89 | 984.21 | 926.32 | 710.53 | 436.84 | 652.63 | 778.95 | 736.84 | |
| 38 | 2,2-Dimethyl propanal | Nf | Nf | |||||||||
| 39 | (E)-2-Hexenal | 0.11 [28] | fresh, fruity, green-like, sweet [59] | 2.67 | ||||||||
| 40 | 5-Methyl-2-furancarboxaldehyde | Nf | Nf | |||||||||
| 41 | Hexanoic acid (caproic) | 3.0 [28] | sweet, cheesy [59] | 0.28 | 0.39 | 0.48 | 0.86 | 1.49 | 1.12 | 0.67 | 0.59 | |
| 42 | Octanoic acid (caprylic) | 8.8 [28] | sweet, cheesy [59] | 0.06 | 0.14 | 0.21 | 0.19 | 0.55 | 0.39 | 0.23 | 0.27 | |
| 43 | Nonanoic acid (pelargonic) | 4.6–9.0 [28] | fatty-like [59] | 0.01 * | 0.02 * | 0.01 * | 0.02 * | 0.03 * | 0.04 * | 0.04 * | ||
| 44 | Acetic acid | 99 [28] | vinegar, peppers, green, fruity, floral, sour [72] | 0.01 | 0.01 | 0.01 | 0.02 | 0.04 | 0.01 | 0.01 | 0.02 | 0.02 |
| 45 | Pentanoic acid | 11 [28] | sweaty, fruity [65] | 0.01 | 0.02 | 0.02 | 0.03 | 0.02 | 0.04 | 0.04 | 0.03 | |
| 46 | 4-Methylpentanoic acid | 0.81 [28] | Sweaty [73] | 0.14 | ||||||||
| 47 | 2-Methylhexanoic acid | 0.92–2.70 [28] | sweat, oily [74] | 0.09 * | 0.19 * | 0.12 * | 0.09 * | 0.33 * | 0.34 * | 0.35 * | 0.29 * | |
| 48 | 3,3-Dimethyl-2-butanone | Nf | Nf | |||||||||
| 49 | 4-Methyl-2-hexanone | 0.00081–0.0041 [28] | Fruity [75] | 19.55 * | 19.15 * | 19.55 * | 20.37 * | 19.55 * | 17.11 * | 17.92 * | 22.81 * | 19.55 * |
| 50 | 3-Hexanone | 0.041–0.081 [28] | ethereal, grape [76] | 2.57 * | 2.66 * | 2.33 * | 2.71 * | 2.67 * | 1.90 * | 2.34 * | 2.00 * | 1.88 * |
| 51 | 2,6-Dimethyl-4-heptanone | 0.11 [29] | fruity, sweet [77] | 2.50 | 6.04 | 6.11 | 6.49 | 6.99 | 4.29 | 5.12 | 3.54 | 4.69 |
| 52 | 5-Dodecanone | Nf | Nf | |||||||||
| 53 | Dyhidroyiacetone | Nf | Nf | |||||||||
| 54 | 1-Acetyloxy-2-propanone | Nf | Nf | |||||||||
| 55 | 3-Butyldihydro-2(3H)-furanone | Nf | Nf | |||||||||
| 56 | 5-Methyl-2(3H)-furanone | Nf | Nf | |||||||||
| 57 | Tetrahydro-2,5-dimethyl-furan | Nf | Nf | |||||||||
| 58 | 1-Butoxy-3-methyl-2-butene | Nf | Nf | |||||||||
| 59 | Ethyl-1-propenyl ether | Nf | Nf | |||||||||
| 60 | 2,4-Dimethyl-2-pentene | Nf | Nf | |||||||||
| 61 | (Z)-3-Dodecene | Nf | Nf | |||||||||
| 62 | 4-Cyclopenten-1,3-dione | Nf | Nf | |||||||||
| 63 | 1,2,3-Trimethyl-benzene | Nf | Nf | |||||||||
| 64 | Butylhydroxytoluene | Nf | Nf | |||||||||
| 65 | Trichloromethane | 0.12 [28] | pleasant, etheric, nonirritating [78] | 2.29 | 2.69 | 2.65 | ||||||
| 66 | 3-Trifluoroacetoxy dodecane | Nf | Nf | |||||||||
| 67 | 1-Hydroperoxyhexane | Nf | Nf | |||||||||
| 68 | Cis-2-methyl-3-propyl-oxirane | Nf | Nf | |||||||||
Publisher’s Note: MDPI stays neutral with regard to jurisdictional claims in published maps and institutional affiliations. |
© 2022 by the authors. Licensee MDPI, Basel, Switzerland. This article is an open access article distributed under the terms and conditions of the Creative Commons Attribution (CC BY) license (https://creativecommons.org/licenses/by/4.0/).
Share and Cite
Bazán, D.L.; del Río, P.G.; Domínguez, J.M.; Cortés-Diéguez, S.; Mejuto, J.C.; Pérez-Guerra, N. The Chemical, Microbiological and Volatile Composition of Kefir-like Beverages Produced from Red Table Grape Juice in Repeated 24-h Fed-Batch Subcultures. Foods 2022, 11, 3117. https://doi.org/10.3390/foods11193117
Bazán DL, del Río PG, Domínguez JM, Cortés-Diéguez S, Mejuto JC, Pérez-Guerra N. The Chemical, Microbiological and Volatile Composition of Kefir-like Beverages Produced from Red Table Grape Juice in Repeated 24-h Fed-Batch Subcultures. Foods. 2022; 11(19):3117. https://doi.org/10.3390/foods11193117
Chicago/Turabian StyleBazán, Delicia L., Pablo G. del Río, José Manuel Domínguez, Sandra Cortés-Diéguez, Juan C. Mejuto, and Nelson Pérez-Guerra. 2022. "The Chemical, Microbiological and Volatile Composition of Kefir-like Beverages Produced from Red Table Grape Juice in Repeated 24-h Fed-Batch Subcultures" Foods 11, no. 19: 3117. https://doi.org/10.3390/foods11193117
APA StyleBazán, D. L., del Río, P. G., Domínguez, J. M., Cortés-Diéguez, S., Mejuto, J. C., & Pérez-Guerra, N. (2022). The Chemical, Microbiological and Volatile Composition of Kefir-like Beverages Produced from Red Table Grape Juice in Repeated 24-h Fed-Batch Subcultures. Foods, 11(19), 3117. https://doi.org/10.3390/foods11193117

