Optimization of Ultrasonic Extraction of Triterpenes from Loquat Peel and Pulp and Determination of Antioxidant Activity and Triterpenoid Components
Abstract
:1. Introduction
2. Materials and Methods
2.1. Chemicals and Instruments
- -
- Anhydrous ethanol, glacial acetic acid, ethyl acetate, and other biochemical reagents and conventional reagents (analytically pure, Sinopharm Chemical Reagents Co., Shanghai, China).
- -
- Ursolic acid (analytically pure, concentration 98.5%, Shanghai Aladdin Biochemical Technology Co., Shanghai, China).
- -
- Vanillin (Shanghai Aladdin Biochemical Technology Co., Shanghai, China).
- -
- Total antioxidant capacity (FRAP-Trolox standard) kit (Suzhou Keming Biotechnology Co., Shanghai, China).
- -
- Total antioxidant capacity ABTS test box (Suzhou Keming Biotechnology Co., Shanghai, China).
- -
- 1,1-Diphenyl-2-picrylhydrazyl (Suzhou Keming Biotechnology Co., Shanghai, China).
- -
- Mh-16kr Micro high speed refrigerated centrifuge (Shanghai Cheng Ke Instrument Co., Shanghai, China).
- -
- Tissuelyser-32 automatic sample rapid grinding instrument (Shanghai Jingxin Industrial Development Co., Shanghai, China).
- -
- Jp-040st Ultrasonic cleaning instrument (Shenzhen Jiemeng Cleaning Equipment Co., Shanghai, China).
- -
- Bhs-2 Electric Thermostatic Water Bath (Ningbo Qunan Experimental Instrument Co., Ningbo, China).
- -
- 721 Visible Spectrophotometer (Shanghai Youke Instrument Co., Shanghai, China).
- -
- BSA124S electronic analysis balance (Beijing sartorius scientific instrument Co., Beijing, China).
2.2. Plant Materials
2.3. Methods
2.3.1. Preparation of Test Solution
2.3.2. Preparation of Ursolic Acid Standard
2.3.3. Drawing of the Standard Curve
2.3.4. Determination of Total Triterpenes
2.3.5. Single-Factor Experiment
- (1)
- Screening of ultrasonic power
- (2)
- Screening of ultrasound time
- (3)
- Screening of ultrasonic temperature
- (4)
- Screening of solid–liquid ratio
- (5)
- Screening of ethanol concentration
2.4. Response Surface Methodology
2.5. Determination of Antioxidant Capacity of Extracts from Different Parts of Loquat
2.5.1. Determination of Total Antioxidant Capacity by FRAP (Ferric Ion Reducing Antioxidant Power) Method
2.5.2. Determination of Total Antioxidant Capacity by ABTS Method
2.5.3. Determination of Total Antioxidant Capacity by DPPH Method
2.6. Identification of LC-MS Components in Different Parts of Loquat
2.6.1. Sample Processing
2.6.2. Liquid Phase Conditions
- (1)
- Chromatographic column: Agilent SB-C18 1.8 µm, 2.1 mm × 100 mm;
- (2)
- Mobile phase: phase A was ultrapure water (0.1% formic acid was added), phase B was acetonitrile (0.1% formic acid was added);
- (3)
- Elution gradient: the proportion of B phase was 5% at 0.00 min, then linearly increased to 95% at 9.00 min, maintained at 95% for 1 min; at 10.00–11.10 min, the proportion of B phase decreased to 5%, and the proportion of B phase was balanced at 5% for 14.00 min;
- (4)
- Flow rate 0.35 mL/min; column temperature 40 °C; the injection volume was 4 μL.
2.6.3. Mass Spectrum Conditions
3. Results
3.1. Single-Factor Experiment (Loquat Peel)
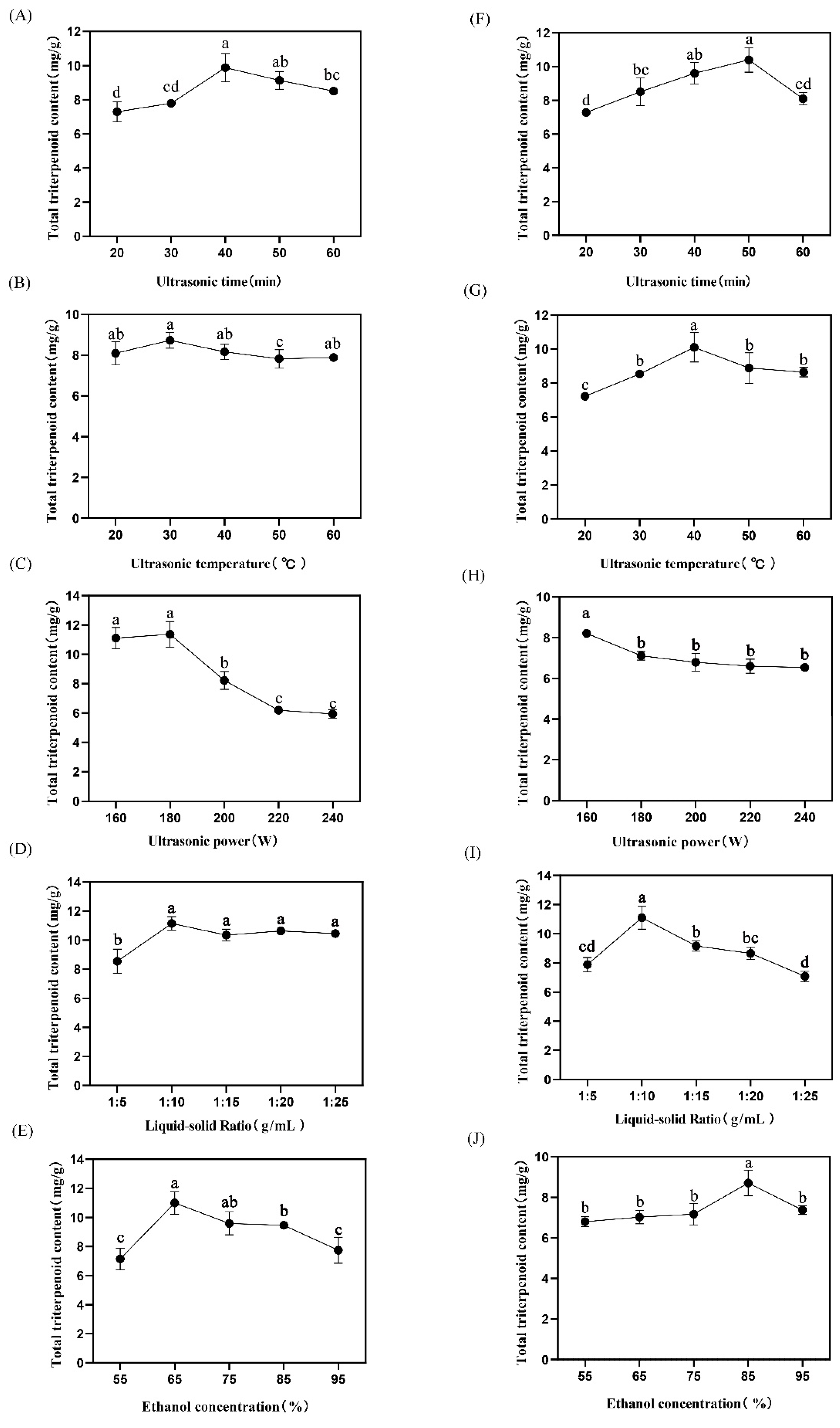
3.1.1. Effects of Different Treatments on the Extraction Rate of Total Triterpenes from Loquat Peel
3.1.2. Optimization Results of Single-Factor Test
3.1.3. Optimization by Response Surface Methodology
3.1.4. ANOVA and Significance Test
3.1.5. Analysis of the Interaction Factors of the Response Surface Methodology
3.1.6. Response Surface Optimization Results
3.2. Single-Factor Experiment (Loquat Pulp)
3.2.1. Effects of Different Treatments on the Extraction Rate of Total Triterpenes from Loquat Pulp
3.2.2. Optimization Results of Single-Factor Test
3.2.3. Optimization of Loquat Pulp by Response Surface Methodology
3.2.4. Analysis of the Interaction Factors of the Response Surface
3.2.5. Response Surface Optimization Results
3.3. Determination of Antioxidant Capacity
3.4. LC-MS Component Analysis
4. Discussion
5. Conclusions
Author Contributions
Funding
Institutional Review Board Statement
Informed Consent Statement
Data Availability Statement
Conflicts of Interest
References
- Cai, J.; Chen, T.; Zhang, Z.; Li, B.; Tian, S. Metabolic Dynamics during Loquat Fruit Ripening and Postharvest Technologies. Front. Plant Sci. 2019, 10, 619. [Google Scholar] [CrossRef] [PubMed]
- Nabavi, S.F.; Nabavi, S.M.; Moghaddam, A.H.; Hellio, C.; Ebrahimzadeh, M.A. Antihypoxic, nephroprotective and antioxidant properties of hydro-alcoholic extract of loquat flowers. Prog. Nutr. 2015, 17, 255–261. [Google Scholar]
- Yilong, L.; Wenna, Z.; Changjie, X.; Xian, L. Biological Activities of Extracts from Loquat (Eriobotrya japonica Lindl.): A review. Int. J. Mol. Sci. 2016, 17, 1983. [Google Scholar]
- Siddique, H.R.; Saleem, M. Beneficial health effects of lupeol triterpene: A review of preclinical studies. Life Sci. 2011, 88, 285–293. [Google Scholar] [CrossRef]
- Su, W.; Jing, Y.; Lin, S.; Yue, Z.; Yang, X.; Xu, J.; Wu, J.; Zhang, Z.; Xia, R.; Zhu, J.; et al. Polyploidy underlies co-option and diversification of biosynthetic triterpene pathways in the apple tribe. Proc. Natl. Acad. Sci. USA 2021, 118, 302–315. [Google Scholar] [CrossRef] [PubMed]
- Shan, Y.; Deng, C.; Hu, W.; Chen, J.; Zheng, S. Long-term, high-intensity shading enhances triterpene production of loquat leaf through increasing foliar mineral nutrients. Sci. Hortic. 2020, 260, 108873. [Google Scholar] [CrossRef]
- Tan, B.X.; Yang, L.; Huang, Y.Y.; Chen, Y.Y.; He, X.X. Bioactive triterpenoids from the leaves of Eriobotrya japonica as the natural PDE4 inhibitors. Nat. Prod. Res. 2017, 31, 2836–2841. [Google Scholar] [CrossRef]
- Xu, H.X.; Li, X.Y.; Chen, J.W. Comparison of phenolic compound contents and antioxidant capacities of loquat (Eriobotrya japonica Lindl.) fruits. Food Sci. Biotechnol. 2014, 23, 2013–2020. [Google Scholar] [CrossRef]
- Meira, E.; Megah, A.; Kusumaninrum, N.S.D. The Potential of Ganoderma Lucidum as Antimicrobial Agent for Multidrug- Resistant Mycobacterium Tuberculosis. Anti-Infect. Agents 2018, 16, 11–14. [Google Scholar]
- Lei, Y.; Han, W.; Zu, Y.G.; Zhao, C.; Lin, Z.; Chen, X.; Zhang, Z. Ultrasound-assisted extraction of the three terpenoid indole alkaloids vindoline, catharanthine and vinblastine from Catharanthus roseus using ionic liquid aqueous solutions. Chem. Eng. J. 2011, 172, 705–712. [Google Scholar]
- Wojciak-Kosior, M.; Sowa, I.; Kocjan, R.; Nowak, R. Effect of different extraction techniques on quantification of oleanolic and ursolic acid in Lamii albi flos. Ind. Crops Prod. 2013, 44, 373–377. [Google Scholar] [CrossRef]
- Dai, Q.; Yang, Y.; Chen, K.; Cheng, Z.; Ni, Y.; LI, J. Optimization of Supercritical CO2 Operative Parameters to Simultaneously Increase the Extraction Yield of Oil and Pentacyclic Triterpenes from Artichoke Leaves and Stalks by Response Surface Methodology and Ridge Analysis. Eur. J. Lipid Sci. Technol. 2019, 121, 1800120. [Google Scholar] [CrossRef]
- Lopez-Hortas, L.; Perez-Larran, P.; Jesus Gonzalez-Munoz, M.; Falque, E.; Dominguez, H. Recent developments on the extraction and application of ursolic acid. A review. Food Res. Int. 2017, 103, 130–149. [Google Scholar] [CrossRef]
- Xie, P.; Huang, L.; Zhang, C.; Deng, Y.; Wang, X.; Cheng, J. Enhanced extraction of hydroxytyrosol, maslinic acid and oleanolic acid from olive pomace: Process parameters, kinetics and thermodynamics, and greenness assessment. Food Chem. 2019, 276, 62–674. [Google Scholar] [CrossRef] [PubMed]
- Sulaiman, I.; Basri, M. Effects of temperature, time, and solvent ratio on the extraction of phenolic compounds and the anti-radical activity of Clinacanthus nutans Lindau leaves by response surface methodology. Chem. Cent. J. 2017, 11, 54. [Google Scholar] [CrossRef] [PubMed]
- Wang, L.; Fu, H.; Wang, W.; Wang, Y.; Zheng, F.; Hui, N.; Feng, C. Analysis of Reducing Sugars, Organic Acids and Minerals in 15 Cultivars of Jujube (Ziziphus jujuba Mill.) Fruits in China. J. Food Compos. Anal. 2018, 73, 10–16. [Google Scholar] [CrossRef]
- Yang, Y.N.; Liang, M.; Yang, Y.; Zheng, F.P.; Ai-Nong, Y.U. Optimization of a headspace solid-phase microextraction method for the gas chromatography-mass spectrometry analysis aroma compounds of Litsea mollis Hemsl. immature fruit. Food Sci. Technol. 2020, 40, 786–793. [Google Scholar] [CrossRef]
- Ivo, V.; Elaine, F.; Milena, V.; Almir, C.J.; Michel, P.; Samyra, B.; Otoniel, A.; Raimundo, B.F. Two Novel Cycloartane-Type Triterpenes from Trichilia casaretti C. DC. (Meliaceae). Molecules 2018, 23, 949. [Google Scholar]
- Luo, S.; Zeng, C.; Luo, F.; Li, M.; Feng, S.; Zhou, L.; Chen, T.; Yuan, M.; Huang, Y.; Ding, C. Optimization of ultrasound-assisted extraction of triterpenes from Bergenia emeiensis leaves and inhibition effect on the growth of Hela cells-ScienceDirect. J. Appl. Res. Med. Aromat. Plants 2020, 18, 100266. [Google Scholar] [CrossRef]
- Rafi, M.; Handayani, F.; Darusman, L.K.; Rohaeti, E.; Wahyu, Y.; Honda, K.; Putri, S.P. A combination of simultaneous quantification of four triterpenes and fingerprint analysis using HPLC for rapid identification of Centella asiatica from its related plants and classification based on cultivation ages. Ind. Crops Prod. 2018, 122, 93–97. [Google Scholar] [CrossRef]
- Shen, S.; Zhu, L.; Wu, Z.; Wang, G.; Ahmad, Z.; Chang, M. Production of triterpenoid compounds from Ganoderma lucidum spore powder using ultrasound-assisted extraction. Prep. Biochem. Biotechnol. 2020, 3, 302–315. [Google Scholar] [CrossRef] [PubMed]






| Number | Factor | |||
|---|---|---|---|---|
| A: Ultrasonic Power (W) | B: Ultrasonic Time (min) | C: Ethanol Concentration (%) | Total Triterpenoid Content (mg/g) | |
| 1 | 240 | 40 | 55 | 10.59 |
| 2 | 200 | 40 | 75 | 12.22 |
| 3 | 200 | 60 | 95 | 8.74 |
| 4 | 200 | 40 | 75 | 11.97 |
| 5 | 200 | 20 | 55 | 9.78 |
| 6 | 240 | 60 | 75 | 10.15 |
| 7 | 200 | 20 | 95 | 7.19 |
| 8 | 240 | 40 | 95 | 8.48 |
| 9 | 200 | 40 | 75 | 11.87 |
| 10 | 160 | 40 | 95 | 12.21 |
| 11 | 200 | 40 | 75 | 12.74 |
| 12 | 240 | 20 | 75 | 8.95 |
| 13 | 200 | 60 | 55 | 10.88 |
| 14 | 160 | 40 | 55 | 13.01 |
| 15 | 160 | 60 | 75 | 13.13 |
| 16 | 200 | 40 | 75 | 11.96 |
| 17 | 160 | 20 | 75 | 11.22 |
| Source of Variation | Sum of Square | Degree of Freedom | Mean Square | F Value | p Value |
|---|---|---|---|---|---|
| Model | 48.54 | 9 | 5.39 | 36.24 | <0.0001 |
| A | 16.25 | 1 | 16.25 | 109.17 | <0.0001 |
| B | 4.15 | 1 | 4.15 | 27.87 | 0.0011 |
| C | 7.30 | 1 | 7.30 | 49.03 | 0.0002 |
| AB | 0.1260 | 1 | 0.1260 | 0.8469 | 0.3880 |
| AC | 0.4290 | 1 | 0.4290 | 2.88 | 0.1333 |
| BC | 0.0506 | 1 | 0.0506 | 0.3402 | 0.5780 |
| A2 | 0.4251 | 1 | 0.4251 | 2.86 | 0.1348 |
| B2 | 10.88 | 1 | 10.88 | 73.10 | <0.0001 |
| C2 | 8.22 | 1 | 8.22 | 55.24 | 0.0001 |
| Residual | 1.04 | 7 | 0.1488 | ||
| Lack of fit | 0.5418 | 3 | 0.1806 | 1.45 | 0.3549 |
| Pure error | 0.4999 | 4 | 0.1250 | ||
| Total | 49.58 | 16 |
Number | Factor | |||
|---|---|---|---|---|
| A: Ultrasonic time (min) | B: Ultrasonic Temperature (°C) | C: Liquid–Solid Ratio (g/mL) | Total Triterpenoid Content (mg/g) | |
| 1 | 20 | 40 | 1:25 | 8.27 |
| 2 | 60 | 40 | 1:25 | 9.49 |
| 3 | 40 | 40 | 1:8.3 | 11.75 |
| 4 | 40 | 40 | 1:8.3 | 12.16 |
| 5 | 40 | 40 | 1:8.3 | 11.51 |
| 6 | 20 | 20 | 1:8.3 | 10.38 |
| 7 | 20 | 60 | 1:8.3 | 10.18 |
| 8 | 60 | 20 | 1:8.3 | 10.57 |
| 9 | 40 | 20 | 1:5 | 9.34 |
| 10 | 60 | 40 | 1:5 | 9.87 |
| 11 | 40 | 20 | 1:25 | 7.97 |
| 12 | 60 | 60 | 1:8.3 | 11.36 |
| 13 | 40 | 40 | 1:8.3 | 11.43 |
| 14 | 40 | 40 | 1:8.3 | 12.03 |
| 15 | 40 | 60 | 1:5 | 9.27 |
| 16 | 20 | 40 | 1:5 | 9.38 |
| 17 | 40 | 60 | 1:25 | 8.91 |
| Source of Variation | Sum of Square | Degree of Freedom | Mean Square | F Value | p Value |
|---|---|---|---|---|---|
| Model | 27.14 | 9 | 3.02 | 48.58 | <0.0001 |
| A | 1.19 | 1 | 1.19 | 19.10 | 0.0033 |
| B | 0.2664 | 1 | 0.2664 | 4.29 | 0.0770 |
| C | 1.30 | 1 | 1.30 | 20.88 | 0.0026 |
| AB | 0.2450 | 1 | 0.2450 | 3.95 | 0.0873 |
| AC | 0.1332 | 1 | 0.1332 | 2.15 | 0.1864 |
| BC | 0.2550 | 1 | 0.2550 | 4.11 | 0.0823 |
| A2 | 0.6298 | 1 | 0.6298 | 10.14 | 0.0154 |
| B2 | 2.48 | 1 | 2.48 | 39.87 | 0.0004 |
| C2 | 19.22 | 1 | 19.22 | 309.66 | <0.0001 |
| Residual | 0.4346 | 7 | 0.0621 | ||
| Lack of fit | 0.0314 | 3 | 0.0105 | 0.1040 | 0.9534 |
| error | 0.4031 | 4 | 0.1008 | ||
| Total | 27.58 | 16 |
| Identification of Parts | Formula | Compounds | CAS |
|---|---|---|---|
| Peel, Fruit | C30H48O4 | 2α-Hydroxyursolic acid | - |
| Peel, Fruit | C30H46O5 | 2α,19α-Dihydroxy-3-oxours-12-en-28-oic acid | 176983-21-4 |
| Peel, Fruit | C30H48O4 | Maslinic acid | 4373-41-5 |
| Peel, Fruit | C30H48O4 | Alphitolic acid | 19533-92-7 |
| Peel, Fruit | C30H48O4 | Corosolic acid | 4547-24-4 |
| Peel, Fruit | C30H48O4 | 3,24-Dihydroxy-17,21-semiacetal-12(13)oleanolic fruit | - |
| Peel, Fruit | C30H48O4 | 2,3-Dihydroxy-12-ursen-28-oic acid | - |
| Peel, Fruit | C30H48O5 | Tormentic acid | 13850-16-3 |
| Peel, Fruit | C30H46O5 | Rosamultic acid | 214285-76-4 |
| Peel, Fruit | C30H48O5 | Euscaphic acid | 53155-25-2 |
| Peel, Fruit | C30H48O6 | 2α,3α,19α,23-tetrahydroxy-12-ursen-28-oic acid | - |
| Peel, Fruit | C30H48O4 | Hederagenin | 465-99-6 |
| Peel, Fruit | C30H48O5 | Arjunic acid | 31298-06-3 |
| Peel, Fruit | C30H48O5 | Asiatic acid | 464-92-6 |
| Peel, Fruit | C30H46O4 | Camaldulenic acid | 71850-15-2 |
| Peel, Fruit | C36H58O11 | Nigaichigoside F1 | 95262-48-9 |
| Peel, Fruit | C30H48O6 | 2α,3α,19α,23-Tetraydroxyurs-12-en-28-oic acid | - |
| Peel, Fruit | C30H48O6 | 2α,3α,19α-Trihydroxyursolic acid | - |
| Peel, Fruit | C30H48O6 | 1β,2α,3α,19α-Tetrahydroxyurs-12-en-28-oic acid | 120211-98-5 |
| Peel, Fruit | C30H48O6 | Roxburic acid | 108657-25-6 |
| Peel, Fruit | C39H54O7 | Caffeoylhawthorn acid | - |
| Peel, Fruit | C30H48O3 | Oleanolic acid | 508-02-1 |
| Peel, Fruit | C30H48O6 | 1α,2β,3β,19α-Tetrahydroxyurs-12-en-28-oic acid | - |
| Peel, Fruit | C39H54O8 | 3-O-trans-cafeoyltormentic acid | - |
| Peel, Fruit | C39H54O7 | 3-O-cis-Coumaroyltormentic acid | - |
| Peel, Fruit | C40H56O8 | 3-O-Trans-feruloyl euscaphic acid | - |
| Peel, Fruit | C30H46O4 | 2α,3α-Dihydroxyurs-12,18-dien-28-oic acid | - |
| Peel, Fruit | C30H46O5 | Swinhoeic acid | - |
| Peel, Fruit | C30H46O5 | 1-Oxo-Siaresinolic acid | - |
| Peel | C30H48O5 | 2α,3α,23-trihydroxyolean-12-en-28-oic acid | - |
| Peel | C39H54O7 | 3-O-trans-p-coumaroylrotundic acid | - |
| Peel | C30H44O5 | Fupenzic acid | 119725-20-1 |
| Peel | C30H48O3 | Ursolic acid | 77-52-1 |
| Peel | C30H48O3 | (23S)-3β-hydroxydammara-21-oic acid 21,23-lactone | - |
| Peel | C30H46O6 | 2α,3α,19α-Trihydroxyurs-12-en-23-formyl-28-oic acid | - |
| Peel | C30H48O6 | 2α,3β,19α,23-Tetrahydroxyurs-12-en-28-oic acid | - |
| Peel | C30H48O6 | 1β,2α,3α-Trihydroxy-19-oxo-18,19-seco-urs-11,13(18)-dien-28-oic acid | - |
| Peel | C30H48O6 | 2α,3β,19α,23-Tetrahydroxyolean-12-en-28-oic acid | 55306-03-1 |
| Peel | C39H54O6 | Jacoumaric acid | 63303-42-4 |
| Peel | C30H48O7 | 2α,3β,19α,23,24-Pentahydroxyolean-12-en-28-oic acid | - |
| Peel | C31H50O4 | Corosolic Acid Methyl Ester | 4518-70-1 |
| Peel | C39H54O6 | 2α-hydroxy-3β-trans-p-hydroxycinnamoyloxy oleanolic acid | - |
| Peel | C39H54O6 | 3β-O-cis-p-Coumaroyl-2α-hydroxy-12-ursen-28-oic acid | - |
| Peel | C30H46O4 | Pomonic acid | 13849-90-6 |
| Peel | C30H46O4 | Hederagonic acid (23-Hydroxy-3-oxoolean-12-en-28-oic acid) | 466-01-3 |
| Peel | C30H44O5 | 3,11-Dioxo-19α-hydroxyurs-12-en-28-oic acid | - |
| Peel | C30H48O4 | 2α-hydroxyoleanolic acid | - |
| Peel | C39H54O6 | p-Coumaroyleuscaphic acid | - |
| Peel | C36H58O10 | Kajiichigoside F1(Euscaphic acid 28-O-β-D-glucopyranoside) | 95298-47-8 |
Publisher’s Note: MDPI stays neutral with regard to jurisdictional claims in published maps and institutional affiliations. |
© 2022 by the authors. Licensee MDPI, Basel, Switzerland. This article is an open access article distributed under the terms and conditions of the Creative Commons Attribution (CC BY) license (https://creativecommons.org/licenses/by/4.0/).
Share and Cite
Xue, Y.; Wang, F.; Zhou, C. Optimization of Ultrasonic Extraction of Triterpenes from Loquat Peel and Pulp and Determination of Antioxidant Activity and Triterpenoid Components. Foods 2022, 11, 2563. https://doi.org/10.3390/foods11172563
Xue Y, Wang F, Zhou C. Optimization of Ultrasonic Extraction of Triterpenes from Loquat Peel and Pulp and Determination of Antioxidant Activity and Triterpenoid Components. Foods. 2022; 11(17):2563. https://doi.org/10.3390/foods11172563
Chicago/Turabian StyleXue, Yanwei, Fei Wang, and Chunhua Zhou. 2022. "Optimization of Ultrasonic Extraction of Triterpenes from Loquat Peel and Pulp and Determination of Antioxidant Activity and Triterpenoid Components" Foods 11, no. 17: 2563. https://doi.org/10.3390/foods11172563
APA StyleXue, Y., Wang, F., & Zhou, C. (2022). Optimization of Ultrasonic Extraction of Triterpenes from Loquat Peel and Pulp and Determination of Antioxidant Activity and Triterpenoid Components. Foods, 11(17), 2563. https://doi.org/10.3390/foods11172563
